Abstract
Prostatitis, a general term describing prostate inflammation, is a common disease that could be sustained by bacterial or non-bacterial infectious agents. The efficacy of herbal extracts with antioxidant and anti-inflammatory effects for blunting the burden of inflammation and oxidative stress, with possible improvements in clinical symptoms, is under investigation. Pollen extracts have been previously reported as promising agents in managing clinical symptoms related to prostatitis. The aim of the present work was to evaluate the protective effects of Graminex pollen (GraminexTM, Deshler, OH, USA), a commercially available product based on standardized pollen extracts, in rat prostate specimens, ex vivo. In this context, we studied the putative mechanism of action of pollen on multiple inflammatory pathways, including the reduction of prostaglandin E2 (PGE2), nuclear factor kappa-light-chain-enhancer of activated B cells (NFκB), and malondialdehyde (MDA), whose activities were significantly increased by inflammatory stimuli. We characterized by means of chromatographic and colorimetric studies the composition of Graminex pollen to better correlate the activity of pollen on immortalized prostate cells (PC3), and in rat prostate specimens challenged with Escherichia coli lipopolysaccharide (LPS). We found that Graminex pollen was able to reduce radical oxygen species (ROS) production by PC3 cells and MDA, NFκB mRNA, and PGE2 levels, in rat prostate specimens. According to our experimental evidence, Graminex pollen appears to be a promising natural product for the management of the inflammatory components in the prostate.
1. Introduction
Prostatitis, a general term describing prostate inflammation, is a common disease that could be sustained by bacterial or non-bacterial infectious agents [1]. Considering the inflammatory pathways involved in prostatitis, the efficacy of herbal extracts endowed with antioxidant and anti-inflammatory effects for reducing the burden of inflammation and oxidative stress, with possible improvements in clinical symptoms [2,3], is under investigation. Pollen extract has been previously reported as a promising natural product in managing clinical symptoms related to prostatitis [4]. Its efficacy was comparable with that of the anti-inflammatory drug ibuprofen, and has been related, albeit partially, to the reduced activity of pro-inflammatory interleukin (IL)-8 [5]. This is consistent with the reported anti-inflammatory effects related to pollen in multiple experimental models of inflammation and oxidative stress [4].
Pollen was reported to be characterized by a large plethora of substances, such as complex mixtures of carbohydrates, proteins, amino acids, phenolic compounds, minerals, vitamins, lipids, and organic acids [6]. This valuable natural product might be further analyzed in terms of its phenolic pattern, due to the recognized diversity of its mixed botanical origin, seasonal variation, and organoleptic properties. For example, specific secondary metabolites were proposed as analytical/floral markers for the palynological analysis of pollen. Furthermore, according to storage conditions and traditional consumption, bee pollen could undergo enzymatic and thermal degradation. Although analytical high performance liquid chromatography (HPLC-PDA) detection and quantitation of specific phenolics is a wide and routine analytical approach for characterizing the quali-quantitative composition, no data in the literature shed light on the colorimetric parameters influencing the pollen color and the means by which they change under stressing working conditions (e.g., artificial heating at high temperature) [7].
In this context, the aims of the present work were to characterize, by means of chromatographic and colorimetric studies, the composition of Graminex pollen (GraminexTM) as a mixture of standardized pollen of rye grass (Secale cereale L.), corn (Zea mays L.), and timothy (Phleum pratense L.), beyond the reported data specified by the producer. This was undertaken in order to evaluate the antiproliferative activity of pollen on immortalized prostate cells (PC3), and the protective effects in an experimental model of tissue inflammation constituted by ex vivo prostate specimens challenged with Escherichia coli lipopolysaccharide (LPS). In addition, we studied the putative mechanism of action of pollen on multiple inflammatory pathways, including the impact on prostaglandin E2 (PGE2) and nuclear factor kappa-light-chain-enhancer of activated B cells (NFκB), whose activities were significantly increased by inflammatory stimuli, including LPS [8,9]. Finally, we investigated the protective ability of pollen regarding radical oxygen species (ROS) production, the levels of malondialdehyde (MDA), a well-established marker of lipid peroxidation [10,11], as well as the antioxidant activity and chelating properties. This evidence justifies a proper recommendation of the tested Graminex pollen as a novel protective product against prostate inflammation. To further corroborate the biological potential of this complex natural product, we also evaluated the inhibitory activity against a panel of target enzymes (cholinesterases, tyrosinase, α-amylase, and α-glucosidase) that are important for other diseases, albeit diseases which are partially correlated to prostatitis.
2. Material and Methods
2.1. Chemicals and Standards
Flower Pollen 63/GraminexTM G63 powder (α-amino acids not less than 3.6 mg/250 mg and phytosterols not less than 0.2 mg/250 mg) was kindly provided by Idipharma (Catania, Italy); the batch number was 1500-06-00-1; this product is commercially available on the market in Italy.
Chemical standards used for the validated HPLC procedure: catechin, gallic acid, 4-hydroxybenzoic and chlorogenic acid, epicatechin, vanillic and syringic acid, crocin, 3-hydroxybenzoic acid, 3-hydroxy-4-methoxybenzaldehyde, p-coumaric and sinapinic acid, rutin, t-ferulic acid, naringin, 2,3-dimethoxybenzoic acid, benzoic acid, o-coumaric acid, quercetin, harpagoside, t-cinnamic acid, naringenin, and carvacrol (>98%) were purchased from Sigma-Aldrich (Milan, Italy). Solvents such as acetonitrile (HPLC-grade), methanol (HPLC-grade), and acetic acid (≥99%) were obtained from Carlo Erba Reagents (Milan, Italy). Safranal (>88%) was purchased from Sigma-Aldrich (Milan, Italy) and further purified by column chromatography on silica gel (high purity grade, pore size 60 Å, 230–400 mesh particle size) using ethyl acetate:n-hexane (1:3) as the eluent. 1H and 13C NMR and IR spectra of the purified product were in agreement with those reported in the literature [12]. A centrifuge, model 5804 (Eppendorf, Hamburg, Germany), vortex (VELP Scientifica Srl, Usmate, Italy), and ultrasound bath (Falc Instruments, Treviglio, Italy) were used as additional equipment. All the other chemicals for in vitro assays were purchased from Sigma-Aldrich (Milan, Italy).
2.2. HPLC-PDA Analyses
A validated HPLC-PDA polyphenolic pattern was applied as previously reported [13] by means of HPLC Waters liquid chromatograph (model 600 solvent pump, 2996 PDA, Waters Spa, Milford, MA, USA), connected to a C18 reversed-phase column (Prodigy ODS-3, 4.6 × 150 mm, 5 µm; Phenomenex, Torrance, CA, USA). The mobile phase was directly on-line degassed by using a Biotech 4CH DEGASI Compact (Onsala, Sweden). Empower v.2 Software (Waters Spa, Milford, MA, USA) was used to collect and analyze data. All samples were accurately weighed and dissolved in the mobile phase, sonicated, centrifuged at 12000 g, and directly injected (20 µL) into HPLC-PDA system. For over range samples, 1:10 dilution factor was applied. Data are reported as mean ± standard deviation of three independent measurements.
2.3. Colorimetric Analysis
The pollen samples, as powder, were submitted to colorimetric analyses and monitored for colour modification during storage at 55 °C for prolonged periods. CIELAB (as defined by the “Commission Internationale de l’Eclairage”), parameters, namely L*, a*, b*, C*ab and hab, were measured using a colorimeter X-Rite SP-62 (X-Rite Europe GmbH, Regensdorf, Switzerland), equipped with a D65 illuminant, an observer angle of 10°, and an integration sphere, to determine the colour reflectance.
For the measurements, the powder sample was divided into four portions that were subject to analysis at t°, and then stored at 55 ± 1 °C in a closed recipient and analysed at t = 24, 48, 72, 144, 216, and 288 h. Each reported value is the median of ten measurements, performed randomly on the surface of the cell. Colour description is based on three parameters: L* defines the lightness, and varies between 0 (absolute black) and 100 (absolute white); a* measures the greenness (−a*) or the redness (+a*), and b* that measures the blueness (−b*) and the yellowness (+b*); C*ab (chroma, saturation) expresses a measure of colour intensity, while hab (hue, colour angle) is the attribute of appearance by which a colour is identified according to its resemblance to red, yellow, green, or blue, or to a combination of two of these attributes in sequence. Cylindrical coordinates C*ab and hab are calculated from the parameters a* and b* using the equations C*ab = (a*2 + b*2)½ and hab = tan−1 (b*/a*) [14].
2.4. In Vitro Studies
PC3 cells were cultured in DMEM (Dulbecco's Modified Eagle Medium, Euroclone, Pero, Italy) supplemented with 10% (v:v) heat-inactivated fetal bovine serum, and 1.2% (v:v) penicillin G/streptomycin, in a 75 cm2 tissue culture flask (n = 5 individual culture flasks for each condition). The cultured cells were maintained in a humidified incubator with 5% CO2 at 37 °C. For cell differentiation, PC3 cell suspensions at a density of 1 × 106 cells/mL were treated with various concentrations (10, 50, and 100 ng/mL) of phorbol myristate acetate (PMA, Fluka, Milan, Italy) for 24 h or 48 h (induction phase). Thereafter, the PMA-treated cells were washed twice with an ice-cold pH 7.4 phosphate buffer solution (PBS) to remove PMA and non-adherent cells, whereas the adherent cells were further maintained for 48 h (recovery phase). The morphology of cells was examined under an inverted phase-contrast microscope [15]. To assess the basal cytotoxicity of the extracts, a preliminary viability assay was performed on 96 microwell plates, using 3-(4,5-dimethylthiazol-2-yl)-2,5-diphenyltetrazolium bromide (MTT) test. Cells were incubated with aqueous pollen extracts (ranging concentration 10–500 μg/mL) for 24 h. 10 μL of MTT solution (5 mg/mL) were added to each well and incubated for 3 h. The formazan dye formed was extracted with dimethyl sulfoxide, and absorbance recorded as previously described [16]. Effects on cell viability were evaluated in comparison to the untreated control group.
2.5. ROS Generation
ROS generation was assessed using a ROS-sensitive fluorescence indicator, 2′,7′-dichlorodihydrofluorescein diacetate (DCFH-DA). When DCFH-DA is introduced into viable cells, it penetrates the cell and is deacetylated by intracellular esterases, to form 2′,7′-dichlorodihydrofluorescein (DCFH), which can react quantitatively with ROS within the cell, and be converted to 2′,7′-dichlorofluorescein (DCF), which is detected by a fluorescence spectrophotometer. To determine intracellular effects on ROS production, cells were seeded in a black 96-well plate (1.5 × 104 cells/well) in a medium containing scalar concentrations of aqueous pollen extracts. Immediately after seeding, the cells were stimulated for 1 h with H2O2 (1 mM). After incubation with DCFH-DA (20 μM) for 30 min, the fluorescence intensity was measured at an excitation wavelength of 485 nm, and an emission wavelength of 530 nm, using a fluorescence microplate reader [16].
2.6. Ex Vivo Studies
Male adult Sprague-Dawley rats (200–250 g) were housed in Plexiglas cages (40 cm × 25 cm × 15 cm), two rats per cage, in climatized colony rooms (22 ± 1 °C; 60% humidity), on a 12 h/12 h light/dark cycle (light phase: 07:00–19:00 h), with free access to tap water and food, 24 h/day throughout the study, with no fasting periods, as previously described [17]. Housing conditions and experimentation procedures were strictly in accordance with the European Union ethical regulations on the care of animals for scientific research. According to the recognized ethical principles of “Replacement, Refinement and Reduction of Animals in Research”, prostate specimens were obtained as residual material from vehicle-treated rats randomized in our previous experiments, approved by Local Ethical Committee (University “G. d’Annunzio” of Chieti-Pescara) and Italian Health Ministry (Project N. 880 definitely approved by Italian Health Ministry on 24 August 2015). Considering the physiological circadian rhythms of animals, rats were sacrificed at 9:00 a.m., as previously reported [18], and whole prostates (including all four lobes: ventral, dorsal, lateral, and anterior) were immediately collected and maintained in a humidified incubator with 5% CO2 at 37 °C for 4 h, and entirely submerged in 2 mL of an RPMI buffer with added bacterial LPS (10 µg/mL) (incubation period). During the incubation period, tissues were treated with the aqueous pollen extract (100 μg/mL). Tissue samples were collected, and PGE2 levels (ng/mg wet tissue) were measured by radioimmunoassay (RIA), as previously reported [19,20]. In addition, we evaluated the gene expression of NFκB following treatment, as previously reported [21,22]. Finally, the MDA level was determined by the thiobarbituric acid reactive substances (TBARS) method [23]. Briefly, tissue specimens were added with 1% H3PO4 and 0.6% thiobarbituric acid, and then incubated at 96 °C for 20 min. Finally, absorbance was recorded at 532 nm, and the MDA level was expressed as µg/mL.
2.7. Total Antioxidant Activity by Phosphomolybdenum Assay
The total antioxidant activity of pollen (dissolved in DMSO) was evaluated by the phosphomolybdenum method, according to Zengin et al. [24]. The sample solution (0.3 mL) was combined with a 3 mL of reagent solution (0.6 M sulphuric acid, 28 mM sodium phosphate and 4 mM ammonium molybdate), and the absorbance was recorded at 695 nm after 90 min incubation at 95 °C. Trolox was used as reference drug, and the results were expressed as trolox equivalents (mg TE/g) [13].
2.8. Radical Scavenging Activity
The radical scavenging effect of pollen (dissolved in DMSO) on the 1,1-diphenyl-2-picrylhydrazyl (DPPH) radical was estimated, according to Zengin et al. [24]. The sample solution in DMSO (1 mL) was added to 4 mL of a 0.004% solution of DPPH in methanol. The sample absorbance was recorded at 517 nm after 30 min incubation at room temperature in the dark.
The scavenging activity of pollen extract on the ABTS [2,2′-azino-bis(3-ethylbenzothiazoline)-6-sulphonic acid] radical cation was measured according to the method of Zengin et al. [13]. ABTS+ was produced directly by reacting a 7 mM ABTS solution with 2.45 mM potassium persulphate, and allowing the mixture to incubate for 12–16 h in the dark at room temperature. Prior to initiating the assay, the ABTS solution was diluted with methanol to an absorbance of 0.700 ± 0.02 at 734 nm. The sample solution in DMSO (1 mL) was added to ABTS+ solution (2 mL) and mixed, and the sample absorbance was recorded at 734 nm after 30 min incubation at room temperature. Trolox was used as reference drug, and the results were expressed as trolox equivalents (mg TE/g) [13].
2.9. Reducing Power (CUPRAC and FRAP Tests)
The cupric ion reducing activity (CUPRAC) was determined according to the method of Zengin et al. [13]. The sample solution in DMSO (0.5 mL) was added to a premixed reaction mixture containing CuCl2 (1 mL, 10 mM), neocuproine (1 mL, 7.5 mM) and NH4Ac buffer (1 mL, 1 M, pH 7.0). Similarly, a blank was prepared by adding the sample solution in DMSO (0.5 mL) to a premixed reaction mixture (3 mL) without CuCl2. The sample or blank absorbance was subsequently recorded at 450 nm after 30 min incubation at room temperature. The FRAP (ferric reducing antioxidant power) assay was carried out, as described by Zengin et al. [13]. The sample solution in DMSO (0.1 mL) was added to the premixed FRAP reagent (2 mL) containing an acetate buffer (0.3 M, pH 3.6), 2,4,6-tris(2-pyridyl)-s-triazine (10 mM) in 40 mM HCl, and ferric chloride (20 mM) in a ratio of 10:1:1 (v:v:v). The sample absorbance was subsequently recorded at 593 nm after 30 min incubation at room temperature. Trolox was used as reference drug, and the results were expressed as trolox equivalents (mg TE/g) [13].
2.10. Metal Chelating Activity on Ferrous Ions
Metal chelating activity on ferrous ions was evaluated by the method described by Zengin et al. [13]. Briefly, the sample solution in DMSO (2 mL) was added to FeCl2 solution (0.05 mL, 2 mM). The reaction was initiated by the addition of 5 mM ferrozine (0.2 mL). Similarly, a blank was prepared by adding a sample solution (2 mL) to FeCl2 solution (0.05 mL, 2 mM) and water (0.2 mL) without ferrozine. Then, the sample and blank absorbance were read at 562 nm after incubation for 10 min at room temperature. EDTA was used as a positive control and the results were expressed as EDTA equivalents (mg EDTAE/g) [13].
2.11. Enzyme Inhibition
2.11.1. Cholinesterase Inhibition
The test solution (50 µL) was mixed with DTNB (5,5′-dithiobis(2-nitrobenzoic acid), 125 µL) and an enzyme (AChE or BChE) solution (25 µL) in Tris-HCl buffer (pH 8.0) in a 96-well microplate, and incubated for 15 min at room temperature. The reaction was then started with the addition of the corresponding substrates (acetylthiocholine iodide (ATCI) or butyrylthiocholine chloride (BTCl)) (25 µL). Similarly, a blank was prepared for each sample without the enzyme (AChE or BChE) solution. The absorbances of the sample and blank were registered at 405 nm after 10 min incubation at 25 °C. Results were given as milligrams of galantamine equivalents (GALAEs/g) [25].
2.11.2. α-Amylase Inhibition
The test solution (25 µL) was mixed with α-amylase solution (50 µL) in a phosphate buffer (pH 6.9 with 6 mM sodium chloride) in a 96-well microplate, and incubated for 10 min at 37 °C. After this incubation, the reaction was started with the addition of starch solution (50 µL, 0.05%). Similarly, a blank was prepared for each sample (without the enzyme solution). The reaction mixture was incubated 10 min at 37 °C. The reaction was stopped with the addition of HCl (25 µL, 1 M), then the iodine-potassium iodide solution was added (100 µL). The absorbances of the sample and blank were evaluated at 630 nm. The absorbance of the blank was subtracted from that of the sample. Results were given as millimoles of acarbose equivalents (ACAEs/g) [26].
2.11.3. α-Glucosidase Inhibition
Test solution (50 µL) was mixed with glutathione (50 µL), α-glucosidase solution (50 µL), in a phosphate buffer (pH 6.8) and PNPG (p-nitrophenyl-β-d-glucuronide, 50 µL) in a 96-well microplate, and incubated for 15 min at 37 °C. Similarly, a blank was prepared for each sample (without the enzyme solution). The reaction was stopped with sodium carbonate (50 µL, 0.2 M). The absorbances of the sample and blank were noted at 400 nm. Results were expressed as millimoles of acarbose equivalents (ACAEs/g) [24].
2.11.4. Tyrosinase Inhibition
The test solution (25 µL) was mixed with a tyrosinase solution (40 µL) and phosphate buffer (100 µL, pH 6.8) in a 96-well microplate, and incubated for 15 min at 25 °C. The reaction was then started with L-DOPA (40 µL). Similarly, a blank was done for each sample (without containing the enzyme solution). The absorbances of the sample and blank were recorded at 492 nm after 10 min incubation at the room temperature. Results were expressed as milligrams of kojic acid equivalents (KAE/g) [24].
2.12. Statistical Analysis
Statistical analysis was performed using GraphPad Prism version 5.01 for Windows (GraphPad Software, San Diego, CA, USA). Means ± S.E.M. were determined for each experimental group and analyzed by one-way analysis of variance (ANOVA), followed by Newman-Keuls comparison multiple test. Statistical significance was set at p < 0.05. Regarding gene expression analysis, the comparative 2−ΔΔCt method was used to quantify the relative abundance of mRNA, and then to determine the relative changes in individual gene expression (relative quantification) [27]. Finally, with regards to the animals that were randomized for each experimental group, the number was calculated on the basis of the “Resource Equation” [28], according to the guidelines suggested by the “National Centre for the Replacement, Refinement and Reduction of Animals in Research” (NC3RS).
3. Results and Discussion
The MTT test revealed that the aqueous pollen extract was well tolerated by the PC3 cell line in the range 10–100 µg/mL, in agreement with the reported clinical studies by Cai et al. [4,5]. In contrast, at the highest tested concentration (500 µg/mL), we observed a reduction of cell viability related to the presence of the extract (Figure 1), thus supporting a possible anti-proliferative effect at high concentration.
Figure 1.
Effects of aqueous pollen extract (10–500 μg/mL) on PC3 cell line viability (ANOVA, p < 0.0001; post-hoc test *** p < 0.001 vs. vehicle group).
The inhibitory effects on cell viability could be related to the capability of steroid fraction of pollen to induce PC3 cell apoptosis [29]. On the other hand, the aqueous pollen extract did not modify the viability of intestinal Caco-2, spermatogonial stem cells and sertoli cell lines [30,31]. In PC3 cells, we also observed a protective effect induced by the aqueous pollen extract (10–100 μg/mL) supplementation, which was able to inhibit hydrogen peroxide-induced ROS production (Figure 2).
Figure 2.
Effects of aqueous pollen extract (10–500 μg/mL) on ROS production from PC3 cell line (ANOVA, p < 0.0001; post-hoc test ** p < 0.01, *** p < 0.001 vs. hydrogen peroxide group).
Concerning this result, we performed a second set of experiments with the aim of elucidating the mechanism of the antioxidant role exerted by pollen, that emerged as a promising antioxidant agent in the employed biological models. In particular, we tested the in vitro antioxidant and chelating properties, finding that pollen displayed scavenging effects in phosphomolybdenum, ABTS, CUPRAC and FRAP tests better than Trolox, used as reference. In addition, we observed a discrete chelating ability (p < 0.05, Table 1).
Table 1.
Anti-oxidant and chelating activities of Graminex pollen.
The in vitro antioxidant effects induced by the pollen extract are consistent with the reported antiradical role of polyphenolic constituents of bee pollen [32,33]. On the other hand, it is not possible to exclude direct interactions between the treatments present in cell medium. The preliminary in vitro test revealed a valuable index of non-toxic and effective concentrations, which is useful to define the concentration for prostate tissue treatment. In a third set of experiments, we evaluated the modulatory effects using a aqueous pollen extract (100 μg/mL) supplementation on multiple inflammatory pathways, including PGE2 production and NFκB gene expression, in rat prostate specimens challenged with LPS. In this context, we evaluated the protective effect of pollen co-treated with LPS, compared to the inflammatory stimulus (LPS) alone. Additionally, in order to discriminate the inflammatory stimulus from the basal tissue levels of the tested inflammatory biomarkers, we included a negative control group constituted by the vehicle alone, without any treatment. As reported in multiple studies [9,34], ex vivo tissues challenged with LPS is a toxicity model for the evaluation of the efficacy of herbal extracts and drugs involved in inflammatory and oxidative stress modulation. Additionally, the stimulation of inflammatory and oxidative stress pathways in peripheral and central nervous system tissues has long been reported. For instance, lipid peroxidation and inflammatory biomarker production was described in brain synaptosomes, an ex vivo experimental model of brain tissues explants stimulated with drugs, herbal extracts and inflammatory stimuli soon after rat sacrifice [35,36]. Ex vivo tissues are sensitive to inflammatory stimuli until 4 h after sacrifice. We confirmed a protective effect induced by the extract that was able to blunt the increased PGE2 level and NFκB gene expression induced by LPS in prostate specimens (Figure 3 and Figure 4).
Figure 3.
Effects of aqueous pollen extracts (100 μg/mL) on PGE2 production from isolated rat prostate specimens challenged with LPS (ANOVA, p < 0.0001; post-hoc test *** p < 0.001 vs. LPS group). Pollen extracts were given simultaneously with LPS.
Figure 4.
Effects of aqueous pollen extracts (100 μg/mL) on NFκB gene expression from isolated rat prostate specimens challenged with LPS (ANOVA, p < 0.0001; post-hoc test *** p < 0.001 vs. LPS group). Pollen extracts were given simultaneously with LPS.
The reported anti-inflammatory effects were consistent with previously published papers, that showed the capability of pollen to inhibit the production of IL-8 [5] and the activities of cyclooxygenase (COX)-2 and inducible nitric oxide synthase (iNOS), evaluated as a reduction of PGE2 and nitrites levels, respectively [37,38,39]. In the present work, together with the expression of NFκB, we also indirectly evaluated the activity of both enzymes. Actually, the inhibitory effect on NFκB gene expression could explain, albeit partially, this multitarget anti-inflammatory role. NFκB is a transcriptor factor involved in the expression of cytokines and inflammatory enzymes such as iNOS and COX-2 [40,41]. Previously, we reported the capability of a hydroalchoholic chamomile extract, containing a significant polyphenolic fraction, to simultaneously inhibit NFκB, PGE2, and nitrites pathways, in tissue specimens challenged with LPS [9]. The anti-inflammatory effects displayed by pollen ex vivo further confirm its efficacy for the prevention of prostatitis [4]. We also evaluated the effect of pollen supplementation (100 μg/mL) on lipid peroxidation, finding a significant reduction of MDA levels in pollen-treated group, compared to LPS group (Figure 5). MDA is a marker of lipid peroxidation mainly produced in the pathway NO-myeloperoxidase-MDA, in which NO levels were significantly increased during inflammatory process through the up-regulation of inducible iNOS [39].
Figure 5.
Effects of aqueous pollen extracts (100 μg/mL) on MDA production from isolated rat prostate specimens challenged with LPS (ANOVA, p < 0.0001; post-hoc test *** p < 0.001 vs. LPS group). Pollen extracts were given simultaneously with LPS.
Oxidative stress and lipid peroxidation have been related to structural changes in the prostate gland [42,43]. As previously reported [9], LPS stimulus was able to increase tissue lipid peroxidation ex vivo. The reduced MDA levels following pollen treatment were consistent with our findings of anti-oxidant and chelating properties displayed by pollen extract in vitro (Table 1). In order to highlight the presence in the tested agent of potentially active molecules, we investigated the phenolic composition of the pollen extract. A validated HPLC procedure was applied to identify and quantitate the amount of important secondary metabolites that could be responsible for the above reported biological activities, as previously demonstrated [44]. From the data in Table 2, reported as µg/g of pollen, this natural product was characterized by the high presence of specific secondary metabolites, including chlorogenic acid, gallic acid, rutin, quercetin, and carvacrol.
Table 2.
Phenolic pattern of Graminex pollen.
Rutin, carvacrol, and chlorogenic acid were reported to display inhibitory effects on NFκB activity [45,46,47]. On the other hand, all these metabolites could exert anti-oxidant and radical scavenger activities, further supporting the protective role of pollen extract supplementation [48,49,50,51]. Multiple clinical trials have also demonstrated the efficacy of bee pollen, administered orally, in blunting pain in patients suffering from chronic prostatitis [52,53]. On the other hand, the putative mechanism of action has not been completely investigated. Our observations indicated a multitarget action following pollen supplementation, with possible protective effects related to the reduction of multiple oxidative stress and inflammatory mediator levels, and to a significant cytotoxic effects on prostate cancer PC3 cell line, at the highest tested concentration (500 μg/mL). According to our experimental evidence, Graminex pollen appears to be a promising agent for the management of prostate inflammation. Finally, considering the relationship between prostatic inflammation and prostate cancer [54], we can also hypothesize a chemo-preventive effect induced by Graminex pollen as regards prostate cancer.
In addition, also if not biologically related to inflammation, we aimed at evaluating the pharmacological potential of this pollen against a panel of important target enzymes for the treatment of other human diseases. As reported in Table 3, this natural compound showed weak inhibitory activity against cholinesterases, α-amylase and α-glucosidase (inferior to standard drugs); however, discrete activity against tyrosinase with respect to kojic acid was observed.
Table 3.
Enzyme inhibition data for Graminex pollen.
Tyrosinase was evaluated in analogy with the recent study performed by Seo et al. (2018) [55], indicating the possible use of finasteride, the principle drug used in prostate diseases, as an inhibitor of melanogenesis, possibly related to its inhibition of tyrosinase activity. Additionally, a recent paper in press by Shoskes et al. (2018) [56] revealed a significant relationship between prostate dysfunctions and systemic conditions, including diabetes, cardiovascular and neurologic diseases. In this context, the inhibitory effects exerted on these enzymes including α-glucosidase, α-amylase and cholinesterases, could improve our knowledge of the possible clinical use of graminex pollen. Finally, regarding α-glucosidase activity, we investigated the effects of Graminex pollen on this enzyme, considering that Graminex pollen could potentially be used by patients suffering from prostate cancer who had undergone radiotherapy. In these patients, the inhibition of α-glucosidase could induce intestinal untoward reactions [57].
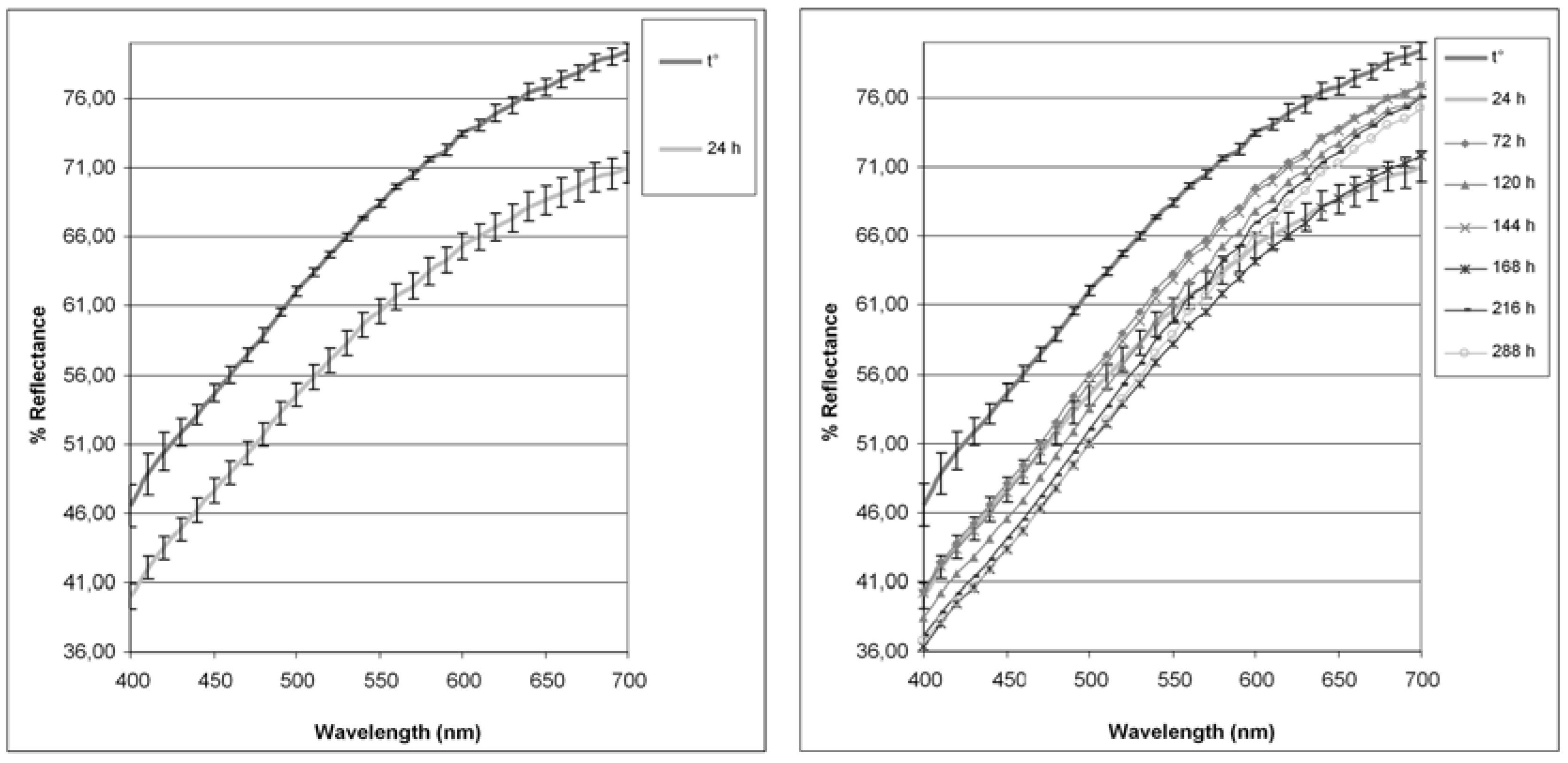
As previously described [58], pollen powder was divided into four different samples and subjected to colorimetric measurements. The four samples were then stored in airtight containers, placed at 55 ± 1 °C and analysed at 24, 72, 120, 144, 168, 216 and 288 h. The resulting mean values, completed by the standard deviation of the four analysed samples, are reported in Table 4.
Table 4.
Color coordinates of Graminex pollen powder samples at the initial time and after storage at 55 °C.
The samples showed a pale but dominant yellow colour, as demonstrated by the high value of L* (86.05), the low a* value (1.71), and the positive b* value (11.96), that both slightly darken in the first 24 h of storage at 55 °C, as shown by a decrease of L* and overlapping a* and b* values (81.14, 1.75, 12.05, respectively). The next measurements, as better demonstrated in Figure 6 where reflectance curves of the samples stored at 55 °C for up to twelve days (288 h) were reported, evidenced that, for times longer than 24 h, the browning process stopped (as well as demonstrated by the slopes between 600 and 700 nm), but that of red and yellow components rose, with a curve lowering in the region 400–550 nm (Figure 6).
Figure 6.
Spectral reflectance curves obtained by CIELAB colour analysis for Graminex pollen.
To our knowledge, no reports exist about the colorimetric analysis of pollen, and only a few papers dealt about the colorimetric evaluation of honey [59,60]. Moreover, literature data only reported colorimetric parameters for solved samples analysed by spectrophotometry, and did not show any reflectance curves. For this reason, the interpretation of the real mean of these trends, that could involve more than a modification process, such as Maillard reaction or Strecker degradation, is difficult. It will be of interest to evaluate the occurrence, in more and different pollen samples, of carotenoids or other pigments, that could undergo bleaching rather than polymerization processes [61], in order to better understand these preliminary colorimetric analyses.
4. Conclusions
Herbal extracts characterized by known antioxidant and anti-inflammatory effects are under investigation for the efficacy in prostatitis treatment. The aim of the present work was to evaluate the protective effects of Graminex pollen in rat prostate specimens. We studied the role of pollen on multiple inflammatory pathways, including the reduction of PGE2, NFκB mRNA and malondialdehyde.
We also characterized, by means of chromatographic and colorimetric studies, the composition of Graminex pollen to better correlate the activity of pollen on immortalized prostate cells (PC3) and in rat prostate specimens challenged with E. coli lipopolysaccharide (LPS). We found that Graminex pollen was able to reduce ROS production by PC3 cells and MDA, NFκB mRNA, and PGE2 levels, in rat prostate specimens.
In conclusion, according to our experimental evidence, Graminex pollen appears to be a promising natural product for the management of the inflammatory components in the prostate. Considering the employed experimental model [25,42], our findings suggest protective effects of the Graminex pollen when applied before or with onset of the inflammation. Additionally, Graminex pollen was also revealed to be a promising enzyme inhibitory agent. However, the inhibitory effect on α-glucosidase would preclude its use in patients suffering from prostate cancer who had been subjected to radiotherapy.
Author Contributions
G.O., L.B., N.M. and L.M. designed the study. S.C., M.L. and S.Ce. performed analytical studies. L.R., S.L., C.F. and A.C. performed pharmacological tests and analyzed the data. G.Z. and L.L. performed biological assays. C.F. and S.C. wrote the paper. All the authors revised and approved the manuscript.
Funding
This work was supported by local grants from Italian MIUR (FAR 2016).
Conflicts of Interest
The authors declare no conflict of interest.
References
- Steenkamp, V.; Gouws, M.C.; Gulumian, M.; Elgorashi, E.E.; van Staden, J. Studies on antibacterial, anti-inflammatory and anti-oxidant activity of herbal remedies used in the treatment of benign prostatic hyperplasia and prostatitis. J. Ethnopharmacol. 2006, 103, 71–75. [Google Scholar] [CrossRef] [PubMed]
- Marzano, R.; Dinelli, N.; Ales, V.; Bertozzi, M.A. Effectiveness on urinary symptoms and erectile function of Prostamev Plus® vs. only extract Serenoa repens. Arch. Ital. Urol. Androl. 2015, 87, 25–27. [Google Scholar] [CrossRef] [PubMed]
- Liu, Y.J.; Song, G.H.; Liu, G.T. Investigation of the effect of traditional Chinese medicine on pain and inflammation in chronic nonbacterial prostatitis in rats. Andrologia 2016, 48, 714–722. [Google Scholar] [CrossRef] [PubMed]
- Cai, T.; Verze, P.; La Rocca, R.; Anceschi, U.; De Nunzio, C.; Mirone, V. The role of flower pollen extract in managing patients affected by chronic prostatitis/chronic pelvic pain syndrome: A comprehensive analysis of all published clinical trials. BMC Urol. 2017, 17, 32–39. [Google Scholar] [CrossRef] [PubMed]
- Cai, T.; Verze, P.; La Rocca, R.; Palmieri, A.; Tiscione, D.; Luciani, L.G.; Mazzoli, S.; Mirone, V.; Malossini, G. The clinical efficacy of pollen extract and vitamins on chronic prostatitis/chronic pelvic pain syndrome is linked to a decrease in the pro-inflammatory cytokine interleukin-8. World J. Mens Health 2017, 35, 120–128. [Google Scholar] [CrossRef] [PubMed]
- Negri, G.; Teixeira, E.W.; Alves, M.L.; Moreti, A.C.; Otsuk, I.P.; Borguini, R.G.; Salatino, A. Hydroxycinnamic acid amide derivatives, phenolic compounds and antioxidant activities of extracts of pollen samples from southeast Brazil. J. Agric. Food Chem. 2011, 59, 5516–5522. [Google Scholar] [CrossRef] [PubMed]
- Bonvehí, J.S.; Torrentó, M.S.; Lorente, E.C. Evaluation of polyphenolic and flavonoid compounds in honeybee-collected pollen produced in Spain. J. Agric. Food Chem. 2001, 49, 1848–1853. [Google Scholar] [CrossRef]
- Iglesias-Gato, D.; Carsten, T.; Vesterlund, M.; Pousette, A.; Schoop, R.; Norstedt, G. Androgen-independent effects of Serenoa repens extract (Prostasan®) on prostatic epithelial cell proliferation and inflammation. Phytother. Res. 2012, 26, 259–264. [Google Scholar] [CrossRef] [PubMed]
- Menghini, L.; Ferrante, C.; Leporini, L.; Recinella, L.; Chiavaroli, A.; Leone, S.; Pintore, G.; Vacca, M.; Orlando, G.; Brunetti, L. An hydroalcoholic chamomile extract modulates inflammatory and immune response in HT29 cells and isolated rat colon. Phytother. Res. 2016, 30, 1513–1518. [Google Scholar] [CrossRef] [PubMed]
- Cesa, S.; Casadei, M.A.; Cerreto, F.; Paolicelli, P. Infant milk formulas: Effect of storage conditions on the stability of powdered products towards autoxidation. Foods 2015, 4, 487–500. [Google Scholar] [CrossRef] [PubMed]
- Cesa, S. Malondialdehyde contents in infant milk formulas. J. Agric. Food Chem. 2004, 52, 2119–2122. [Google Scholar] [CrossRef] [PubMed]
- De Monte, C.; Carradori, S.; Chimenti, P.; Secci, D.; Mannina, L.; Alcaro, F.; Petzer, A.; N’Da, C.I.; Gidaro, M.C.; Costa, G.; et al. New insights into the biological properties of Crocus sativus L.: Chemical modifications, human monoamine oxidases inhibition and molecular modeling studies. Eur. J. Med. Chem. 2014, 82, 164–171. [Google Scholar] [CrossRef] [PubMed]
- Zengin, G.; Ceylan, R.; Guler, G.O.; Carradori, S.; Uysal, S.; Aktumsek, A. Enzyme inhibitory effect and antioxidant properties of Astragalus lagurus extracts. Curr. Enzym. Inhib. 2016, 12, 177–182. [Google Scholar] [CrossRef]
- Clydesdale, F.M.; Ahmed, E.M. Colorimetry-methodology and applications. CRC Crit. Rev. Food Sci. Nutr. 1978, 10, 243–301. [Google Scholar] [CrossRef] [PubMed]
- Sintiprungrat, K.; Singhto, N.; Sinchaikul, S.; Chen, S.T.; Thongboonkerd, V. Alterations in cellular proteome and secretome upon differentiation from monocyte to macrophage by treatment with phorbol myristate acetate: Insights into biological processes. J. Proteom. 2010, 73, 602–618. [Google Scholar] [CrossRef] [PubMed]
- Ferrante, C.; Recinella, L.; Locatelli, M.; Guglielmi, P.; Secci, D.; Leporini, L.; Chiavaroli, A.; Leone, S.; Martinotti, S.; Brunetti, L.; et al. Protective Effects Induced by Microwave-Assisted Aqueous Harpagophytum Extract on Rat Cortex Synaptosomes Challenged with Amyloid β-Peptide. Phytother. Res. 2017, 31, 1257–1264. [Google Scholar] [CrossRef] [PubMed]
- Brunetti, L.; Di Nisio, C.; Recinella, L.; Orlando, G.; Ferrante, C.; Chiavaroli, A.; Leone, S.; Di Michele, P.; Shohreh, R.; Vacca, M. Obestatin inhibits dopamine release in rat hypothalamus. Eur. J. Pharmacol. 2010, 641, 142–147. [Google Scholar] [CrossRef] [PubMed]
- Ferrante, C.; Orlando, G.; Recinella, L.; Leone, S.; Chiavaroli, A.; Di Nisio, C.; Shohreh, R.; Manippa, F.; Ricciuti, A.; Vacca, M.; et al. Central inhibitory effects on feeding induced by the adipo-myokine irisin. Eur. J. Pharmacol. 2016, 791, 389–394. [Google Scholar] [CrossRef] [PubMed]
- Menghini, L.; Leporini, L.; Vecchiotti, G.; Locatelli, M.; Carradori, S.; Ferrante, C.; Zengin, G.; Recinella, L.; Chiavaroli, A.; Leone, S.; et al. Crocus sativus L. stigmas and byproducts: Qualitative fingerprint, antioxidant potentials and enzyme inhibitory activities. Food Res. Int. 2018, 109, 91–98. [Google Scholar] [CrossRef]
- Chiavaroli, A.; Brunetti, L.; Orlando, G.; Recinella, L.; Ferrante, C.; Leone, S.; Di Michele, P.; Di Nisio, C.; Vacca, M. Resveratrol inhibits isoprostane production in young and aged rat brain. J. Biol. Regul. Homeost. Agents 2010, 24, 441–446. [Google Scholar] [PubMed]
- Brunetti, L.; Ferrante, C.; Orlando, G.; Recinella, L.; Leone, S.; Chiavaroli, A.; Di Nisio, C.; Shohreh, R.; Manippa, F.; Ricciuti, A.; et al. Orexigenic effects of endomorphin-2 (EM-2) related to decreased CRH gene expression and increased dopamine and norepinephrine activity in the hypothalamus. Peptides 2013, 48, 83–88. [Google Scholar] [CrossRef] [PubMed]
- Brunetti, L.; Orlando, G.; Ferrante, C.; Recinella, L.; Leone, S.; Chiavaroli, A.; Di Nisio, C.; Shohreh, R.; Manippa, F.; Ricciuti, A.; et al. Peripheral chemerin administration modulates hypothalamic control of feeding. Peptides 2014, 51, 115–121. [Google Scholar] [CrossRef] [PubMed]
- Mihara, M.; Uchiyama, M.; Fukuzawa, K. Thiobarbituric acid value on fresh homogenate of rat as a parameter of lipid peroxidation in aging, CCl4 intoxication, and vitamin E deficiency. Biochem. Med. 1980, 23, 302–311. [Google Scholar] [CrossRef]
- Zengin, G.; Locatelli, M.; Carradori, S.; Mocan, A.; Aktumsek, A. Total phenolics, flavonoids, condensed tannins content of eight Centaurea species and their broad inhibitory activities against cholinesterase, tyrosinase, α-amylase and α-glucosidase. Not. Bot. Horti Agrobot. Cluj-Napoca 2016, 44, 195–200. [Google Scholar] [CrossRef]
- Chiavaroli, A.; Recinella, L.; Ferrante, C.; Locatelli, M.; Carradori, S.; Leporini, L.; Leone, S.; Martinotti, S.; Brunetti, L.; Vacca, M.; et al. Crocus sativus, Serenoa repens and Pinus massoniana extracts modulate inflammatory response in isolated rat prostate challenged with LPS. J. Biol. Regul. Homeost. Agents 2017, 31, 531–541. [Google Scholar] [PubMed]
- Locatelli, M.; Zengin, G.; Uysal, A.; Carradori, S.; De Luca, E.; Bellagamba, G.; Aktumsek, A.; Lazarova, I. Multicomponent pattern and biological activities of seven Asphodeline taxa: Potential sources of natural-functional ingredients for bioactive formulations. J. Enzyme Inhib. Med. Chem. 2017, 32, 60–67. [Google Scholar] [CrossRef] [PubMed]
- Livak, K.J.; Schmittgen, T.D. Analysis of relative gene expression data using real-time quantitative PCR and the 2(-Delta Delta C(T)). Methods 2001, 25, 402–408. [Google Scholar] [CrossRef] [PubMed]
- Charan, J.; Kantharia, N.D. How to calculate sample size in animal studies? J. Pharmacol. Pharmacother. 2013, 4, 303–306. [Google Scholar] [CrossRef] [PubMed]
- Wu, Y.D.; Lou, Y.J. A steroid fraction of chloroform extract from bee pollen of Brassica campestris induces apoptosis in human prostate cancer PC-3 cells. Phytother. Res. 2007, 21, 1087–1091. [Google Scholar] [CrossRef] [PubMed]
- Sousa, C.; Moita, E.; Valentão, P.; Fernandes, F.; Monteiro, P.; Andrade, P.B. Effects of colored and noncolored phenolics of Echium plantagineum L. bee pollen in Caco-2 cells under oxidative stress induced by tert-butyl hydroperoxide. J. Agric. Food Chem. 2015, 63, 2083–2091. [Google Scholar] [CrossRef] [PubMed]
- Mahaldashtian, M.; Makoolati, Z.; Ghorbanian, M.T.; Naghdi, M.; Kouhpayeh, S.A. In vitro cytotoxicity effects of date palm (Phoenix dactylifera L.) pollen on neonate mouse spermatogonial stem cells. Nat. Prod. Res. 2015, 29, 578–581. [Google Scholar] [CrossRef] [PubMed]
- Fatrcová-Šramková, K.; Nôžková, J.; Máriássyová, M.; Kačániová, M. Biologically active antimicrobial and antioxidant substances in the Helianthus annuus L. bee pollen. J. Environ. Sci. Health B 2016, 51, 176–181. [Google Scholar] [CrossRef] [PubMed]
- Melucci, D.; Locatelli, M.; Locatelli, C.; Zappi, A.; De Laurentiis, F.; Carradori, S.; Campestre, C.; Leporini, L.; Zengin, G.; Picot, C.M.N.; et al. A comparative assessment of biological effects and chemical profile of Italian Asphodeline lutea extracts. Molecules 2018, 23, 461. [Google Scholar] [CrossRef] [PubMed]
- Locatelli, M.; Ferrante, C.; Carradori, S.; Secci, D.; Leporini, L.; Chiavaroli, A.; Leone, S.; Recinella, L.; Orlando, G.; Martinotti, S.; et al. Optimization of aqueous extraction and biological activity of Harpagophytum procumbens root on ex vivo rat colon inflammatory model. Phytother. Res. 2017, 31, 937–944. [Google Scholar] [CrossRef] [PubMed]
- Brunetti, L.; Orlando, G.; Michelotto, B.; Recinella, L.; Di Nisio, C.; Ciabattoni, G.; Vacca, M. Identification of 8-iso-prostaglandin F(2alpha) in rat brain neuronal endings: A possible marker of membrane phospholipid peroxidation. Life Sci. 2002, 71, 2447–2455. [Google Scholar] [CrossRef]
- Brunetti, L.; Michelotto, B.; Orlando, G.; Recinella, L.; Di Nisio, C.; Ciabattoni, G.; Vacca, M. Aging increases amyloid beta-peptide-induced 8-iso-prostaglandin F2alpha release from rat brain. Neurobiol. Aging 2004, 25, 125–129. [Google Scholar] [CrossRef]
- Moita, E.; Gil-Izquierdo, A.; Sousa, C.; Ferreres, F.; Silva, L.R.; Valentão, P.; Domínguez-Perles, R.; Baenas, N.; Andrade, P.B. Integrated analysis of COX-2 and iNOS derived inflammatory mediators in LPS-stimulated RAW macrophages pre-exposed to Echium plantagineum L. bee pollen extract. PLoS ONE 2013, 8, e59131. [Google Scholar] [CrossRef] [PubMed]
- Shirahama, T.; Sakakura, C. Overexpression of cyclooxygenase-2 in squamous cell carcinoma of the urinary bladder. Clin. Cancer Res. 2001, 7, 558–561. [Google Scholar] [PubMed]
- Tsikas, D. Assessment of lipid peroxidation by measuring malondialdehyde (MDA) and relatives in biological samples: Analytical and biological challenges. Anal. Biochem. 2017, 524, 13–30. [Google Scholar] [CrossRef] [PubMed]
- Piva, R.; Belardo, G.; Santoro, M.G. NF-kappaB: A stress-regulated switch for cell survival. Antioxid. Redox Signal. 2006, 8, 478–486. [Google Scholar] [CrossRef] [PubMed]
- Hartman, Z.C.; Yang, X.Y.; Glass, O.; Lei, G.; Osada, T.; Dave, S.S.; Morse, M.A.; Clay, T.M.; Lyerly, H.K. HER2 overexpression elicits a proinflammatory IL-6 autocrine signaling loop that is critical for tumorigenesis. Cancer Res. 2011, 71, 4380–4391. [Google Scholar] [CrossRef] [PubMed]
- Thurmond, P.; Yang, J.H.; Li, Y.; Lerner, L.B.; Azadzoi, K.M. Structural modifications of the prostate in hypoxia, oxidative stress, and chronic ischemia. Korean J. Urol. 2015, 56, 187–196. [Google Scholar] [CrossRef] [PubMed]
- Rifaioglu, M.M.; Nacar, A.; Yuksel, R.; Yonden, Z.; Karcioglu, M.; Zorba, O.U.; Davarci, I.; Sefil, N.K. Antioxidative and anti-inflammatory effect of thymoquinone in an acute Pseudomonas prostatitis rat model. Urol. Int. 2013, 91, 474–481. [Google Scholar] [CrossRef] [PubMed]
- Zengin, G.; Menghini, L.; Malatesta, L.; De Luca, E.; Bellagamba, G.; Uysal, S.; Aktumsek, A.; Locatelli, M. Comparative study of biological activities and multicomponent pattern of two wild Turkish species: Asphodeline anatolica and Potentilla speciosa. J. Enzyme Inhib. Med. Chem. 2016, 31, 203–208. [Google Scholar] [CrossRef] [PubMed]
- Shan, J.; Fu, J.; Zhao, Z.; Kong, X.; Huang, H.; Luo, L.; Yin, Z. Chlorogenic acid inhibits lipopolysaccharide-induced cyclooxygenase-2 expression in RAW264.7 cells through suppressing NF-kappaB and JNK/AP-1 activation. Int. Immunopharmacol. 2009, 9, 1042–1048. [Google Scholar] [CrossRef] [PubMed]
- Cui, Z.W.; Xie, Z.X.; Wang, B.F.; Zhong, Z.H.; Chen, X.Y.; Sun, Y.H.; Sun, Q.F.; Yang, G.Y.; Bian, L.G. Carvacrol protects neuroblastoma SH-SY5Y cells against Fe(2+)-induced apoptosis by suppressing activation of MAPK/JNK-NF-κB signaling pathway. Acta Pharmacol. Sin. 2015, 36, 1426–1436. [Google Scholar] [CrossRef] [PubMed]
- Hao, G.; Dong, Y.; Huo, R.; Wen, K.; Zhang, Y.; Liang, G. Rutin inhibits neuroinflammation and provides neuroprotection in an experimental rat model of subarachnoid hemorrhage, possibly through suppressing the RAGE-NF-κB inflammatory signaling pathway. Neurochem. Res. 2016, 41, 1496–1504. [Google Scholar] [CrossRef] [PubMed]
- Peyrat-Maillard, M.N.; Bonnely, S.; Berset, C. Determination of the antioxidant activity of phenolic compounds by coulometric detection. Talanta 2000, 51, 709–716. [Google Scholar] [CrossRef]
- Glässer, G.; Graefe, E.U.; Struck, F.; Veit, M.; Gebhardt, R. Comparison of antioxidative capacities and inhibitory effects on cholesterol biosynthesis of quercetin and potential metabolites. Phytomedicine 2002, 9, 33–40. [Google Scholar] [CrossRef] [PubMed]
- Bagdas, D.; Gul, N.Y.; Topal, A.; Tas, S.; Ozyigit, M.O.; Cinkilic, N.; Gul, Z.; Etoz, B.C.; Ziyanok, S.; Inan, S.; et al. Pharmacologic overview of systemic chlorogenic acid therapy on experimental wound healing. Naunyn Schmiedebergs Arch. Pharmacol. 2014, 387, 1101–1116. [Google Scholar] [CrossRef] [PubMed]
- Arigesavan, K.; Sudhandiran, G. Carvacrol exhibits anti-oxidant and anti-inflammatory effects against 1,2-dimethylhydrazine plus dextran sodium sulfate induced inflammation associated carcinogenicity in the colon of Fischer 344 rats. Biochem. Biophys. Res. Commun. 2015, 461, 314–320. [Google Scholar] [CrossRef] [PubMed]
- Yasumoto, R.; Kawanishi, H.; Tsujino, T.; Tsujita, M.; Nishisaka, N.; Horii, A.; Kishimoto, T. Clinical evaluation of long-term treatment using Cernitin pollen extract in patients with benign prostatic hyperplasia. Clin. Ther. 1995, 17, 82–87. [Google Scholar] [CrossRef]
- Togo, Y.; Ichioka, D.; Miyazaki, J.; Maeda, Y.; Kameyama, K.; Yasuda, M.; Hiyama, Y.; Takahashi, S.; Nagae, H.; Hirota, S.; et al. Oral administration of cernitin pollen extract (Cernilton®) for 30 days might be useful to avoid unnecessary biopsy in prostate biopsy candidates: A preliminary study. Int. J. Urol. 2018, 25, 479–485. [Google Scholar] [CrossRef] [PubMed]
- De Nunzio, C.; Kramer, G.; Marberger, M.; Montironi, R.; Nelson, W.; Schröder, F.; Sciarra, A.; Tubaro, A. The controversial relationship between benign prostatic hyperplasia and prostate cancer: The role of inflammation. Eur. Urol. 2011, 60, 106–117. [Google Scholar] [CrossRef] [PubMed]
- Seo, J.O.; Yumnam, S.; Jeong, K.W.; Kim, S.Y. Finasteride inhibits melanogenesis through regulation of the adenylate cyclase in melanocytes and melanoma cells. Arch. Pharm. Res. 2018, 41, 324–332. [Google Scholar] [CrossRef] [PubMed]
- Shoskes, D.A.; Vij, S.C.; Shoskes, A.; Nyame, Y.; Gao, T. Development of a clinically relevant men’s health phenotype and correlation of systemic and urologic conditions. Urology 2018, 114, 77–82. [Google Scholar] [CrossRef] [PubMed]
- Nishimura, T.; Yamazaki, H.; Iwama, K.; Oota, Y.; Aibe, N.; Nakamura, S.; Yoshida, K.; Okabe, H.; Yamada, K. Potential risk of alpha-glucosidase inhibitor administration in prostate cancer external radiotherapy by exceptional rectal gas production: A case report. J. Med. Case Rep. 2014, 8, 136. [Google Scholar] [CrossRef] [PubMed]
- Cesa, S.; Carradori, S.; Bellagamba, G.; Locatelli, M.; Casadei, M.A.; Masci, A.; Paolicelli, P. Evaluation of processing effects on anthocyanin content and colour modifications of blueberry (Vaccinium spp.) extracts: Comparison between HPLC-DAD and CIELAB analyses. Food Chem. 2017, 232, 114–123. [Google Scholar] [CrossRef] [PubMed]
- Tuberoso, C.I.G.; Jerković, I.; Sarais, G.; Congiu, F.; Marijanović, Z.; Kuś, P.M. Color evaluation of seventeen European unifloral honey types by means of spectrophotometrically determined CIE chromaticity coordinates. Food Chem. 2014, 145, 284–291. [Google Scholar] [CrossRef] [PubMed]
- Jerković, I.; Tuberoso, C.I.G.; Baranović, G.; Marijanović, Z.; Kranjac, M.; Svečnjak, L.; Kuś, P.M. Characterization of summer savory (Satureja hortensis L.) honey by physico-chemical parameters and chromatographic/spectroscopic techniques (GC-FID/MS, HPLC-DAD, UV/VIS and FTIR-ATR). Croat. Chem. Acta 2015, 88, 15–22. [Google Scholar] [CrossRef]
- Cesa, S.; Paolicelli, P.; Cerreto, F.; Casadei, M.A. Comparison between third derivative spectrophotometric method and HPLC-DAD method in detection of malondialdehyde in infant formulae, human and cow milks. J. Chem. Pharm. Res. 2012, 4, 221–230. [Google Scholar]
Sample Availability: Sample of the compounds are available from the authors. |
© 2018 by the authors. Licensee MDPI, Basel, Switzerland. This article is an open access article distributed under the terms and conditions of the Creative Commons Attribution (CC BY) license (http://creativecommons.org/licenses/by/4.0/).





