Next Article in Journal
Moon Mapping Project Results on Solar Wind ion Flux and Composition
Previous Article in Journal
A Data Driven Approach to the Measurement of 10Be/9Be in Cosmic Rays with Magnetic Spectrometers
 
 
Font Type:
Arial Georgia Verdana
Font Size:
Aa Aa Aa
Line Spacing:
Column Width:
Background:
Proceeding Paper

Timescales for Detecting Magnetized White Dwarfs in Gravitational Wave Astronomy †

Department of Physics, Indian Institute of Science, Bangalore 560012, India
Presented at the 1st Electronic Conference on Universe, 22–28 February 2021; Available online: https://ecu2021.sciforum.net/.
Phys. Sci. Forum 2021, 2(1), 12; https://doi.org/10.3390/ECU2021-09310
Published: 22 February 2021
(This article belongs to the Proceedings of The 1st Electronic Conference on Universe)

Abstract

:
Over the past couple of decades, researchers have predicted more than a dozen super-Chandrasekhar white dwarfs from the detections of over-luminous type Ia supernovae. It turns out that magnetic fields and rotation can explain such massive white dwarfs. If these rotating magnetized white dwarfs follow specific conditions, they can efficiently emit continuous gravitational waves and various futuristic detectors, viz. LISA, BBO, DECIGO, and ALIA can detect such gravitational waves with a significant signal-to-noise ratio. Moreover, we discuss various timescales over which these white dwarfs can emit dipole and quadrupole radiations and show that in the future, the gravitational wave detectors can directly detect the super-Chandrasekhar white dwarfs depending on the magnetic field geometry and its strength.

1. Introduction

Over the years, the luminosities of type Ia supernovae (SNeIa) have been used as one of the standard candles in cosmology to measure distances of various astronomical objects. This is due to the reason that the peak luminosities of all the SNeIa are similar, as they originate from the white dwarfs (WDs) burst around the Chandrasekhar mass-limit (∼1.4 M for carbon–oxygen non-rotating non-magnetized WDs [1]). However, the detection of various over-luminous SNeIa, such as SN 2003fg [2], SN 2007if [3], etc., for about a couple of decades, questions the complete validity of the standard candle using SNeIa. Calculations show that such over-luminous SNeIa need to be originated from WDs with masses ∼2.1–2.8 M . It is well understood that these WDs exceed the standard Chandrasekhar mass-limit, and hence, they are termed as the super-Chandrasekhar WDs. Ostriker and Hartwick first showed that rotation could increase a WD’s mass up-to ∼1.8 M [4]. Later, Mukhopadhyay and his collaborators, in a series of papers for about a decade, showed that a magnetic field could be one of the prominent physics, which can significantly increase the mass of the WDs [5,6,7,8]. Nevertheless, various other physics such as modified gravity [9], generalized uncertainty principles [10], noncommutative geometry [11], and many more, can also explain these super-Chandrasekhar WD progenitors.
So far, no super-Chandrasekhar WDs have been observed directly in any of the surveys such as GAIA, SDSS, Kepler, etc., as the highly magnetized WDs generally possess very low thermal luminosities [12]. Hence, they are difficult observe in the standard electromagnetic (EM) surveys. On the other hand, the detection of gravitational waves (GW) by LIGO/Virgo from the various compact object merger events opens a new era in astronomy. In the future, space-based GW detectors such as LISA, DECIGO, BBO, etc., can detect many other astrophysical objects. In this article, we show that these space-based detectors can also detect the continuous GW emitted from the magnetized super-Chandrasekhar WDs, provided they behave like pulsars. We also show that the timescale for the emission of the electromagnetic (EM) and quadrupole radiations from these WDs is highly dependent on the magnetic field geometry and its strength.

2. Structure of Rotating Magnetized White Dwarfs

A system can emit GW if it possesses a time-varying quadrupolar moment. Hence, neither a spherically symmetrical nor an axially symmetrical WD can emit GW. It is well known that a toroidal field can make a star prolate-shaped, whereas rotation and poloidal magnetic fields can transform it into oblate-shaped. Hence, it is necessary to have a misalignment between the magnetic field and rotation axes to make the WD a tri-axial system so that it can emit gravitational radiation. For a WD, as shown in Figure 1, rotating with an angular frequency Ω , the two polarizations of GW, h + and h × , at a time t are given by [13,14].
h + = h 0 sin χ [ 1 4 sin 2 i cos χ cos Ω t 1 + cos 2 i 2 sin χ cos 2 Ω t ] , h × = h 0 sin χ [ 1 2 sin i cos χ sin Ω t cos i sin χ sin 2 Ω t ] ,
with
h 0 = 4 G c 4 Ω 2 ϵ I x x d ,
where χ is the angle between the rotation and magnetic field axes, i is the angle between the rotation axis and the observers’ line of sight, G is Newton’s gravitational constant, c is the speed of light, d is the distance between the detector and the source, and ϵ = | I z z I x x | / I x x with I x x and I z z being the moments of inertia of the WD about x- and z-axes, respectively. It is evident that if χ is close to 0°, radiation at frequency Ω dominates, whereas if χ is near 90°, the same at frequency 2 Ω is dominant. To model the rotating magnetized WDs, we use the XNS code [15], which solves the axisymmetric equilibrium configuration of stellar structure in general relativity. A detailed discussion about all the parameters used to model the WDs is given by Kalita and Mukhopadhyay [7]. Figure 2 shows the density isocontours for the WDs with purely (a) toroidal and (b) poloidal magnetic field geometry generated with XNS code. It is evident that the toroidal field makes the WD bigger, whereas the poloidal field reduces its size. The stability of a WD in the presence of rotation and magnetic fields can be understood, respectively, from the constraints on kinetic-to-gravitational energy ratio [16], and magnetic-to-gravitational energy ratio [17].

3. Gravitational Radiation Emitting from Rotating Magnetized White Dwarfs

We model several rotating WDs using XNS code with different central densities ( ρ c ) considering various magnetic field geometries and strengths. The relation between the integrated signal-to-noise ratio (SNR) and the observation time T is given by [18].
SNR = 1 5 T S ( ν ) h ,
where S ( ν ) is the power spectral density (PSD) of the detector at a frequency ν and h is the strength of GW at that frequency. Figure 3 shows S ( ν ) for the various detectors [19,20] along with T / 5 h for our modeled WDs. The masses of the WDs are in the range of 1.40–2.65 M with ϵ 10 3 10 5 depending on ρ c , the magnetic field configuration and its strength. It is evident that BBO and DECIGO can immediately detect the magnetized WDs, whereas the minimum integrated time of observations for ALIA, TianQin and LISA turns out to be a few minutes, a few days and a few weeks, respectively. Moreover, the rotational frequencies for many of these WDs can be significantly higher than the orbital frequencies of galactic binaries and, hence, they are free from these confusion noises [21]. Other problems of confusion noise coming from the massive binaries can be sorted out with proper source modeling, which is beyond the scope of this work.

4. Timescale for Emission of Gravitational Radiation

Since the WDs we considered, as shown in Figure 1, are pulsar-like, they can emit both EM (dipole) and quadrupole radiations, which are, respectively, associated with the EM luminosity L D and quadrupole luminosity L GW . Due to these radiations, the variations of Ω and χ with respect to t are given by [22].
d ( Ω I z z ) d t = 2 G 5 c 5 ( I z z I x x ) 2 Ω 5 sin 2 χ ( 1 + 15 sin 2 χ ) B p 2 R p 6 Ω 3 2 c 3 sin 2 χ F ( x 0 ) ,
I z z d χ d t = 12 G 5 c 5 ( I z z I x x ) 2 Ω 4 sin 3 χ cos χ B p 2 R p 6 Ω 2 2 c 3 sin χ cos χ F ( x 0 ) ,
where I z z is the moment of inertia of the WD along the z axis, x 0 = R 0 Ω / c , R p is the radius of the pole, R 0 is the average radius, B p is the strength of the magnetic field at the pole of the WD, and the function F ( x 0 ) is defined as
F ( x 0 ) = x 0 4 5 ( x 0 6 3 x 0 4 + 36 ) + 1 3 ( x 0 2 + 1 ) .
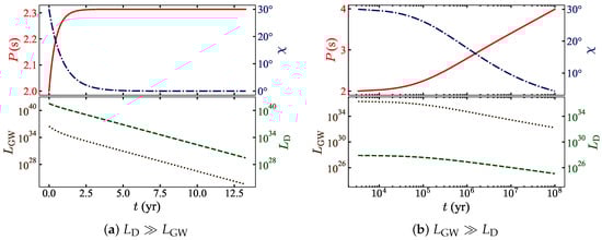
Solving Equations (4) and (5) simultaneously, we obtain the temporal variation of Ω and χ . Both Ω and χ decrease with time, which leads to the decrease in L D and L GW as shown in Figure 4. Spin period P is defined as P = 2 π / Ω . If L D L GW , χ reduces to zero very quickly with a new spin period and, hence, the WD stops radiating quickly. On the other hand, if L GW L D , the WD can emit both EM and quadrupole radiations for a long time. A detailed discussion with the exact expressions for these various cases is given by Kalita et al. [23].

5. Conclusions

We know that an object possessing a poloidal magnetic field can emit EM radiation, whereas, with a toroidal field, no such EM radiation is possible. However, in both the cases, quadrupole radiation is emitted as the WD structure is pulsar-like, which is a tri-axial system. If the WD has a strong poloidal field, it will have L D L GW , and since in this case, χ quickly becomes zero, it stops radiating for a long time. On the other hand, in the case of a WD with a dominant toroidal field, L GW L D is satisfied, and it can radiate for a long time. Moreover, the birth rate of WD is ∼ 10 12 pc 3 year 1 [24], which means that within a 100 pc radius, on average, only one WD forms in 10 6 year, which is quite slow for a GW detector to detect. Hence, if the WD has a predominant toroidal magnetic field at the time of its birth, the GW detectors, such as LISA, BBO, DECIGO, and ALIA, can detect it for a long time. On the other hand, if the WD has a strong poloidal field, h decreases quickly and thus the SNR and, hence, it can hardly be detected unless the GW signal is caught at the time of its birth.

Data Availability Statement

The data presented in this study are available on request from the corresponding author.

References

  1. Chandrasekhar, S. The Maximum Mass of Ideal White Dwarfs. Astrophys. J. 1931, 74, 81. [Google Scholar] [CrossRef]
  2. Howell, D.A.; Sullivan, M.; Nugent, P.E.; Ellis, R.S.; Conley, A.J.; Le Borgne, D.; Carlberg, R.G.; Guy, J.; Balam, D.; Basa, S.; et al. The type Ia supernova SNLS-03D3bb from a super-Chandrasekhar-mass white dwarf star. Nature 2006, 443, 308–311. [Google Scholar] [CrossRef]
  3. Scalzo, R.A.; Aldering, G.; Antilogus, P.; Aragon, C.; Bailey, S.; Baltay, C.; Bongard, S.; Buton, C.; Childress, M.; Chotard, N.; et al. Nearby Supernova Factory Observations of SN 2007if: First Total Mass Measurement of a Super-Chandrasekhar-Mass Progenitor. Astrophys. J. 2010, 713, 1073–1094. [Google Scholar] [CrossRef]
  4. Ostriker, J.P.; Hartwick, F.D.A. Rapidly Rotating Stars.IV. Magnetic White Dwarfs. Astrophys. J. 1968, 153, 797. [Google Scholar] [CrossRef]
  5. Das, U.; Mukhopadhyay, B. Strongly magnetized cold degenerate electron gas: Mass-radius relation of the magnetized white dwarf. Phys. Rev. D 2012, 86, 042001. [Google Scholar] [CrossRef] [Green Version]
  6. Subramanian, S.; Mukhopadhyay, B. GRMHD formulation of highly super-Chandrasekhar rotating magnetized white dwarfs: Stable configurations of non-spherical white dwarfs. Mon. Not. RAS 2015, 454, 752–765. [Google Scholar] [CrossRef] [Green Version]
  7. Kalita, S.; Mukhopadhyay, B. Continuous gravitational wave from magnetized white dwarfs and neutron stars: Possible missions for LISA, DECIGO, BBO, ET detectors. Mon. Not. RAS 2019, 490, 2692–2705. [Google Scholar] [CrossRef] [Green Version]
  8. Kalita, S.; Mukhopadhyay, B. Continuous gravitational waves from magnetized white dwarfs. IAU Symp. 2020, 357, 79–83. [Google Scholar] [CrossRef]
  9. Kalita, S.; Mukhopadhyay, B. Modified Einstein’s gravity to probe the sub- and super-Chandrasekhar limiting mass white dwarfs: A new perspective to unify under- and over-luminous type Ia supernovae. J. Cosmol. Astropart. Phys. 2018, 9, 7. [Google Scholar] [CrossRef] [Green Version]
  10. Ong, Y.C. Generalized uncertainty principle, black holes, and white dwarfs: A tale of two infinities. J. Cosmol. Astropart. Phys. 2018, 9, 015. [Google Scholar] [CrossRef] [Green Version]
  11. Kalita, S.; Mukhopadhyay, B.; Govindarajan, T.R. Violation of Chandrasekhar mass-limit in noncommutative geometry: A strong possible explanation for the super-Chandrasekhar limiting mass white dwarfs. arXiv 2021, arXiv:1912.00900. [Google Scholar]
  12. Gupta, A.; Mukhopadhyay, B.; Tout, C.A. Suppression of luminosity and mass-radius relation of highly magnetized white dwarfs. Mon. Not. RAS 2020, 496, 894–902. [Google Scholar] [CrossRef]
  13. Zimmermann, M.; Szedenits, E., Jr. Gravitational waves from rotating and precessing rigid bodies—Simple models and applications to pulsars. Phys. Rev. D 1979, 20, 351–355. [Google Scholar] [CrossRef]
  14. Bonazzola, S.; Gourgoulhon, E. Gravitational waves from pulsars: Emission by the magnetic-field-induced distortion. Astron. Astrophys. 1996, 312, 675–690. [Google Scholar]
  15. Pili, A.G.; Bucciantini, N.; Del Zanna, L. Axisymmetric equilibrium models for magnetized neutron stars in General Relativity under the Conformally Flat Condition. Mon. Not. RAS 2014, 439, 3541–3563. [Google Scholar] [CrossRef] [Green Version]
  16. Komatsu, H.; Eriguchi, Y.; Hachisu, I. Rapidly rotating general relativistic stars. I—Numerical method and its application to uniformly rotating polytropes. Mon. Not. RAS 1989, 237, 355–379. [Google Scholar] [CrossRef]
  17. Braithwaite, J. Axisymmetric magnetic fields in stars: Relative strengths of poloidal and toroidal components. Mon. Not. RAS 2009, 397, 763–774. [Google Scholar] [CrossRef] [Green Version]
  18. Maggiore, M. Gravitational Waves: Volume 1: Theory and Experiments; Oxford University Press: Oxford, UK, 2008; Volume 1. [Google Scholar]
  19. Sathyaprakash, B.S.; Schutz, B.F. Physics, Astrophysics and Cosmology with Gravitational Waves. Living Rev. Relativ. 2009, 12, 2. [Google Scholar] [CrossRef] [Green Version]
  20. Huang, S.J.; Hu, Y.M.; Korol, V.; Li, P.C.; Liang, Z.C.; Lu, Y.; Wang, H.T.; Yu, S.; Mei, J. Science with the TianQin Observatory: Preliminary results on Galactic double white dwarf binaries. Phys. Rev. D 2020, 102, 063021. [Google Scholar] [CrossRef]
  21. Ruiter, A.J.; Belczynski, K.; Benacquista, M.; Larson, S.L.; Williams, G. The LISA Gravitational Wave Foreground: A Study of Double White Dwarfs. Astrophys. J. 2010, 717, 1006–1021. [Google Scholar] [CrossRef] [Green Version]
  22. Melatos, A. Radiative precession of an isolated neutron star. Mon. Not. RAS 2000, 313, 217–228. [Google Scholar] [CrossRef] [Green Version]
  23. Kalita, S.; Mukhopadhyay, B.; Mondal, T.; Bulik, T. Timescales for Detection of Super-Chandrasekhar White Dwarfs by Gravitational-wave Astronomy. Astrophys. J. 2020, 896, 69. [Google Scholar] [CrossRef]
  24. Guseinov, O.K.; Novruzova, K.I.; Rustamov, I.S. He-rich white dwarfs: Birth-rate and kinematics of different groups of white dwarfs. Astrophys. Space Sci. 1983, 97, 305–322. [Google Scholar] [CrossRef]
Figure 1. A cartoon diagram of a magnetized rotating WD pulsar. Here z and z are, respectively, the rotation and magnetic field axes.
Figure 1. A cartoon diagram of a magnetized rotating WD pulsar. Here z and z are, respectively, the rotation and magnetic field axes.
Psf 02 00012 g001
Figure 2. Density isocontours of magnetized WDs with central density ρ c = 10 10 g cm 3 .
Figure 2. Density isocontours of magnetized WDs with central density ρ c = 10 10 g cm 3 .
Psf 02 00012 g002
Figure 3. S ( ν ) of different GW detectors along with T / 5 h for the various rotating magnetized WDs with different integration times. We assume χ = 30 ° and d = 100 pc. The typical masses of the WDs are 1.40–2.65 M with radii ∼ 750–3300 km, I x x 10 48 10 49 g cm 2 , and ϵ 10 5 10 3 depending on ρ c , magnetic field geometry and its strength.
Figure 3. S ( ν ) of different GW detectors along with T / 5 h for the various rotating magnetized WDs with different integration times. We assume χ = 30 ° and d = 100 pc. The typical masses of the WDs are 1.40–2.65 M with radii ∼ 750–3300 km, I x x 10 48 10 49 g cm 2 , and ϵ 10 5 10 3 depending on ρ c , magnetic field geometry and its strength.
Psf 02 00012 g003
Figure 4. Variation of P, χ , L D , and L GW with respect to time.
Figure 4. Variation of P, χ , L D , and L GW with respect to time.
Psf 02 00012 g004
Publisher’s Note: MDPI stays neutral with regard to jurisdictional claims in published maps and institutional affiliations.

Share and Cite

MDPI and ACS Style

Kalita, S. Timescales for Detecting Magnetized White Dwarfs in Gravitational Wave Astronomy. Phys. Sci. Forum 2021, 2, 12. https://doi.org/10.3390/ECU2021-09310

AMA Style

Kalita S. Timescales for Detecting Magnetized White Dwarfs in Gravitational Wave Astronomy. Physical Sciences Forum. 2021; 2(1):12. https://doi.org/10.3390/ECU2021-09310

Chicago/Turabian Style

Kalita, Surajit. 2021. "Timescales for Detecting Magnetized White Dwarfs in Gravitational Wave Astronomy" Physical Sciences Forum 2, no. 1: 12. https://doi.org/10.3390/ECU2021-09310

APA Style

Kalita, S. (2021). Timescales for Detecting Magnetized White Dwarfs in Gravitational Wave Astronomy. Physical Sciences Forum, 2(1), 12. https://doi.org/10.3390/ECU2021-09310

Article Metrics

Back to TopTop