Abstract
Lamb finishing during summer in southern Australia faces the challenges of dry paddock feed of low nutrient value and energy concentration, combined with periods of high temperature that reduce appetite. One potential forage to overcome these challenges is camelina, a brassica with a high lipid concentration. Liveweight gain (LWG) and feed efficiency (FE) of a pelleted diet containing 15% camelina hay (CAM) were compared with an equivalent diet based on oaten hay (STD), a feed commonly used during dry seasons. The experiment was conducted under summer to autumn conditions using 56 maternal Composite (Composite) wether lambs (4 months, 28–38 kg liveweight) and 56 Merino wether yearlings (15 months, 37–43 kg liveweight). Animals were maintained in group pens (8/pen) and weekly average feed intakes per pen and liveweights per pen were determined in a shaded well-ventilated animal house. The LWG and FE for both animal types were significantly lower during weeks 5–8 compared with weeks 1–4. These changes coincided with a higher proportion of daytime maxima exceeding 28 °C (50% vs. 21%) and night-time hours exceeding 22 °C (15% vs. 9%). The experiment indicated that the LWG and FE of sheep fed the CAM diet were less affected by the elevated temperatures than sheep fed the STD diet during weeks 5–8. However, further research under controlled environmental conditions is required to further validate these results.
1. Introduction
Lambing in southern Australia typically takes place mid to late winter and is based on grazing available green pasture. Weaning occurs at 12–14 weeks of age, shortly before the pasture senesces resulting in decreasing accumulation rates and lower nutritive value [1]. While a proportion of the lambs will reach a weight suitable for slaughter by weaning, based on the carcass weight requirements for some markets, the remainder require high-quality summer finishing feed such as brassica forage crops, lucerne or feed-lotting to achieve a suitable slaughter weight. Climate change is expected to lead to an earlier cessation of pasture growth in spring [2]. This will lead to longer periods where lambs graze senesced pasture with lower nutrient density than required for liveweight gain and finishing. Furthermore, the trend toward more frequent and intense heatwaves is expected to continue as global warming increases [3]. Therefore, there is a need to assess the resilience of the lamb finishing system under such conditions and identify new or suitable diets to fill the gaps for year-round sheep meat production.
Based on the livestock type, geographic location and temperature zones where animal feeding studies are conducted in sheep and cattle, the thermoneutral zone ranges varies. For example, in dairy cattle, 5 to 15 °C [4] and 5 to 25 °C [5]. Most studies comparing heat stress in sheep and cattle were undertaken in controlled heat chamber environments (thermoneutral versus elevated temperature conditions) for short durations. Heat stress has been reported to influence muscle membrane phospholipases and phosphatidylinositol phosphate kinases activities within a short period as ambient temperatures increase from 25–35 °C [6] and changes in the muscle membrane phospholipid layer can alter second messenger signal transduction activities and energy metabolism of animals [7]. A recent study showed that one week of heat stress imposed on sheep in heat chambers increased arachidonic acid (AA) and total omega-6 fatty acid concentrations in muscle tissues [8]. These fatty acids are stored in phospholipid fractions of membrane tissues and are believed to be pro-inflammatory, which may lead to oxidative stress when deposited at greater levels. Oxidative stress conditions imposed by heat exposure can alter the basal metabolism and use of nutrient resources into body weight gain, associated with feed intake of animals, to counteract the increase in body temperature and/or other physiological changes such as restlessness. Previous studies in heat chambers showed that significant changes in the physiological responses and dry matter intake occur when temperature exceeds 25 °C [9]. There are no data available for young sheep reared under hot and dry conditions over the summer to autumn finishing period in a temperate zone to understand the impact of high ambient temperatures on feed efficiency (FE) and liveweight gain (LWG).
Previous studies show that the addition of fat in the diets of chicks [10] and pigs [11] grown under hot environmental conditions reduced dietary heat increments and improved productivity in stressed animals. Studies of this nature in ruminants (e.g., sheep) reared under hot environmental conditions, fed for longer periods (≥six weeks), are necessary to understand the effect of forage diet containing lipid (fat or oil) on productivity of animals under stress. We suggest that supplementation of lipids such as oils and fats in ruminant diets may be used as a strategy to increase the nutrient availability of diets for intestinal absorption during hot-dry conditions, when the availability of green pasture is low. Ruminants are accustomed to harvest forages/roughage materials with 1–2% lipid concentration. Provision of diets with additional fat supplementation to ruminants can be effective because they contribute ~2.5 times more energy than carbohydrates; and produce less heat than carbohydrates and proteins in the gut during digestion and absorption. Fats have a lower heat increment in the rumen when compared with starch and fibre, thus, supplementation of fat in the diet is associated with reduced metabolic heat production per unit of energy consumed from the diet [12]. Therefore, a small percentage increase in the lipid concentration of ruminant diets by adding forages with a higher concentration of lipids than senesced grass or cereal hay may possibly increase nutrient intake and growth performance of animals during hot and dry periods. Such a feed is hay from the brassica species camelina (Camelina sativa L. Crantz) which has a high lipid concentration in its seed (40%) and vegetative parts (5.2%), which is similar to canola crop [13]. Camelina sativa has been widely used in the USA as an oilseed crop feedstock for biodiesel production [14]. However, there is a renewed focus on this crop as a feed for livestock as new dietary sources of essential fatty acids for animals are being saught [13].
This experiment was originally designed to study the use of camelina forage or meal as a component of dry finishing diets on feed intake, weight gain and carcass traits/composition of Composite lamb and Merino hoggets produced during the hot and dry season in the temperate zone of southern Australia [15,16]. Data from this experiment was used to determine the impact of heat stress with natural diurnal temperature variation during summer to autumn on FE and LWG in young sheep fed a standard pellet diet or standard pellet diet supplemented with camelina hay. The hypotheses were that (i) high temperatures for 2–3 days in successive weeks in a temperate zone (e.g., day temperature ≥ 28 °C and night temperature ≥ 22 °C): will reduce LWG and/or FE in sheep finished during summer to autumn season and that (ii) camelina hay supplementation, through its preservative effects of lipids, will be beneficial in maintaining the LWG and FE of animals during exposure to frequent high temperature periods. The outcome of this experiment can be used as a model for larger ruminants (dairy cattle, beef cattle) and goats grown in the temperate zone.
2. Materials and Methods
2.1. Animal Ethics and Experimental Design
All animal procedures were conducted in accordance with Australian code for the care and use of animals for scientific purposes [17]. Approval to proceed was obtained from the Department of Jobs, Precincts and Regions (DJPR) Agricultural Research and Extension Animal Ethics Committee (AEC Code No: 2016-17).
Fifty-six maternal Composite (Composite) wether lambs (28–38 kg liveweight (LW) and approximately 4 months of age) and 56 Merino wether yearlings (37–43 kg LW and 15 months of age) were selected from the commercial flock at the Agriculture Victoria Research Hamilton SmartFarm, Victoria. The composite sheep are a mixed sheep breed that are predominantly Coopworth, East Friesian, Border Leicester, Corriedale, Booroola, Finn and Texel genetics bred for meat production with maternal and fecundity characteristics [18]. Composite lambs and pure Merino yearlings were chosen to examine the dietary effects on dry matter intake (DMI), LWG and FE over the summer to autumn period as both breeds contribute to significant income to Australian regional farming communities through lamb (meat) and mutton (meat) and fibre (wool) export. The summer and autumn seasons in Australia are defined as December to February and March to May, respectively.
The experiment was conducted in an animal house facility at the Hamilton Smart Farm, Victoria (latitude: 37.7456° S, longitude: 142.0179° E) between 24 January and 20 March 2017. Animals were allocated to a 2 × 2 factorial fully randomised design based on LW within each breed to test the effect of diet and breed on DMI, LWG and FE, with pens of sheep used as the experimental unit. For each breed, there were 3 pens (8 animals per pen) of a diet containing 15% camelina hay (CAM) and 4 pens (8 animal per pen) of a standard forage mixture diet (STD). Animals were housed in fourteen pens of 3.6 m × 3.12 m. Each pen contained two feed troughs of 21 cm width × 84 cm length × 51 cm height that could hold up to 10 kg of feed per trough adequate to feed four sheep. The two experimental diets were formulated using feed ingredients available in the major sheep producing regions of southern Australia (Table 1). Sheep were offered the experimental diets in a pelleted form. The CAM diet contained 38% more crude fat, with diets similar in metabolisable energy (ME, ~10–11 MJ/kg DM), crude protein (CP, ~14–15% DM) and neutral detergent fibre (NDF, ~34% DM). Diets were designed to achieve at least 150 g/day LWG for both Merino sheep and Composite lambs, a reasonable growth rate for the summer-autumn period. Sheep had free access to water throughout the day.
Table 1.
Dietary ingredients used to make two rations (pellets) used for the 8 weeks feeding of maternal Composite lambs and Merino sheep.
2.2. Environmental Conditions
Temperature and humidity were logged at 15-min intervals within the animal house using Tinytag data loggers (Hastings Data Loggers, Port Macquarie, NSW, Australia). The animal house facility had a galvanised iron roof and was well ventilated. The thermal conditions observed in the animal house facility are consistent with sheep grazing outdoors with free access to shade from trees or shade structures to avoid direct solar radiation from the sun. Temperature, humidity, wind speed and solar radiation were also measured at hourly intervals using a standard weather station, located at the same premises (Australian Bureau of Meteorology Station 90103) 200 metres away from the animal house experimental facility. As a standard measure, temperature recorded from 6 am to 6 pm (06:01 h to 18:00 h) were considered as ‘day’ and 6 pm to 6 am (18:01 h to 06:00 h) were considered as ‘night’, respectively.
Calculation of Temperature Humidity Index
The temperature-humidity index (THI) [19] was calculated at hourly intervals as:
where Tair is the air temperature (°C) and RH the relative humidity (%).
THI = (0.8 Tair) + (RH/100) (Tair − 14.4) + 46.4
2.3. Animal Feeding and Measurements
Two weeks prior to induction of animals into the animal house pen facilities, all animals were adapted to a standard commercial pelleted diet (ME, 9.6 MJ/kg DM and CP, 9.8% DM) in the paddock using self-feeders. During the first week of adaptation to the animal house facility, animals were offered the same commercial pellets at 1.5–2.0 kg/day/head. In the second week, animals were given the commercial pellets in decreasing rates with experimental pellets increasing gradually from 200 g/day to ad libitum feeding, occurred over seven days. Full ad libitum feeding of experimental diets commenced on 24 January 2017 and continued until completion of the experiment.
Feed offered per pen was recorded daily, while refusals from each pen were recorded weekly. A single weekly feed sample was collected for the determination of dry matter (DM) and nutritive characteristics. Following mixing of collected feed samples, one portion was dried at 100 °C for 24 h for the determination of DM content. A further portion was dried at 60 °C for 72 h, ground and analysed for nutrient composition determined by Near Infra-Red spectroscopy (NIR, ACE Laboratories Pty. Ltd., Bendigo, Victoria, Australia) with the results presented in Table 2. In brief, feed samples were ground using a UDY Cyclone Mill (model # 3010-019) equipped with 1 mm sample screen and scanned using a Foss 5000 NIR with spinning cup sample module. NIR prediction equations developed by Cumberland Valley Analytical Services (www.foragelab.com, accessed on 30 September 2018) using in house chemistry and NIR spectra using WinISI (Foss) chemometric software were used to determine the chemical constituents as reported in detail [20]. Feed troughs were used to offer pellets daily and individual animal feed consumption was estimated from group pen weekly intakes as an average, which was used to calculate the treatment average.
Table 2.
Nutritive characteristics of two rations (pellets) used for the 8 weeks feeding of maternal Composite lambs and Merino sheep.
Animal liveweight was recorded at the commencement of the experiment (week 0) and weekly during the 8-week feeding. Liveweight was measured individually without fasting using a weigh crate (Pratley 3-Way manual drafter S03300L, Pratley Industries Ltd., Temuka, New Zealand) and scales (Tru-Test MP600, Tru-Test Livestock management, Shepparton, Victoria, Australia). To understand the impact of the higher overall temperature and THI on LWG (kg/sheep/week) and FE (kg LWG/kg DMI) during weeks 5–8 of the experiment, the feed intake and live weight of sheep were calculated separately for weeks 1–4 and weeks 5–8.
To determine whether the weather conditions experienced by animals grown in other sheep producing regions of Victoria were common to animals in the current experiment, THI was calculated over the 5-year period from 2013–2017 for weather stations at Walpeup, Nhill and Hamilton, which describe a north–south transect in western Victoria (35.12°S, 36.33° S, and 37.82° S), respectively. Data for daily maximum temperature and relative humidity at the time of maximum temperature were sourced from the SILO database (https://silo.longpaddock.qld.gov.au/point-data, accessed on 11 August 2017) and used to calculate THI for Walpeup, Nhill and Hamilton regions.
2.4. Selection of Temperature and THI Thresholds as Reference Values
To quantify the duration of temperature stress experienced by the animals, the proportion of hours exceeding specific temperature and THI thresholds were calculated. These thresholds were based on the Grazfeed model [21], where feed intake by sheep and cattle is reduced when the average daytime temperature exceeds 25 °C (equivalent to a daytime maximum of 28 °C in our experiment) and when the night-time temperature exceeds 22 °C. In our experiment daytime was defined as 06:01 to 18:00 and was classified with temperature thresholds of 26 °C, 28 °C and 30 °C, and night-time was defined as 18:01 to 06:00 with thresholds of 12 °C, 15 °C and 22 °C. Equivalent daytime THI values were 72, 74 and 76, and equivalent night-time THI values 55, 60 and 67.
2.5. Statistical Analysis
Statistical analyses were carried out using the ANOVA directive and AREPMEASURES procedure in GenStat 18 [22]. Data were analysed as 2 (diet) × 2 (breed) factorial analysis of variance, with pens of sheep as experimental units. The weekly DMI and LW obtained for each pen for the 8-week feeding were used to determine the treatment means for weekly DMI and LW. Similarly, LWG and FE calculated for weeks 1–4 and weeks 5–8 periods for each pen were used to determine the treatment means for LWG and FE of both Composite lambs and Merino yearlings for both periods. Results were presented as dietary treatment main effects (STD versus CAM), animal breed main effects (Composite versus Merino) and diet × animal breed interactions with standard errors of difference. A distinct difference in the effects of breed and diet was observed between weeks 1–4 and weeks 5–8, and this was examined using logistic regression, where binomial response was hourly temperature and THI index during these periods reaching certain thresholds coded as 1 and not reaching that reference value coded as zero. The logit function was used as the link function and the standard errors of difference (SED) between two predicted proportions for two periods was calculated at 5% level of significance. Statistical differences are declared at p < 0.05 and p < 0.01 as significant and highly significant level, respectively.
3. Results
3.1. Environmental Conditions and Ranges of Temperature and THI Observed during the Experiment
During the experimental period, maximum daily temperatures in the animal house were on average within 0.5 °C (range 0–1.6 °C) of those measured at the external Hamilton weather station (Figure S1a). Data for THI calculated for the animal house and the external weather station were similar (Figure S1b), with an average difference of only 1 THI unit (range 0.1–3.3). A summary of lowest and highest ranges for maximum temperature, minimum temperature, relative humidity at maximum temperature, relative humidity at minimum temperature, maximum THI and minimum THI during weeks 1–4 and weeks 5–8 periods are shown in supplementary Table S1.
The average daily maximum THI at the weather station during the 8-week experimental period was 72.1. This observation was consistent with the average for January THI at Hamilton over the previous five years (71.7), but below that of Nhill (75.8) and Walpeup (77.4) (Figure 1a). Likewise, the highest daily maximum THI (84.0) over the 8-week experimental period was similar to the five-year average monthly maximum for January (83.7) at Hamilton, but below that of Nhill (84.4) and Walpeup (85.6) (Figure 1b).

Figure 1.
Average of the daily maximum temperature-humidity index (THI) by month (a) and monthly maximum THI (b) at 3 locations of sheep producing regions in western Victoria for the 5-year period 2013–2017 (Walpeup—loosely dashed double dotted line, Nhill—dashed line and Hamilton—solid line).
Hourly temperature and THI data for two contrasting days of the experiment shows that on the hottest day (36 °C, in week 3, 8 February 2017), both air temperature and THI increased rapidly until just after midday (13:00 h), then continued to increase gradually until 18:00 h with the night temperature staying above 25 °C until 06:00 h next morning (Figure 2a,b). By contrast, on a day of maximum temperature 27 °C (in week 7, 7 March 2017), both air temperature and THI increased rapidly just after midday (13:00 h), then continued to increase gradually until 18:00 h, thereafter the temperature and THI declined rapidly (Figure 2c,d).

Figure 2.
Comparison of air temperature and temperature-humidity index (THI) between the animal house (black line) and Hamilton, Victoria weather station (grey line) on the hottest day of the experiment (36 °C, 8 February 2017, (a,b)) and on a day with a maximum of 27 °C, 7 March 2017, (c,d)).
3.2. Dry Matter Intake and Liveweight of Composite Lambs and Merino Yearlings during Weeks 1–8 Period
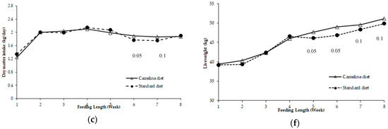
There were significant main effects of breed and diet on DMI and LW but no breed × diet interaction observed throughout the experiment (Figure 3). In weeks 5–8, DMI was higher (p < 0.05) in Composites than Merinos, while in weeks 6 and 7 DMI was higher (p < 0.05) in the CAM diet than the STD diet. At the commencement of the experiment, the average LW for Merino yearlings were heavier (p < 0.001) than Composite lambs as the Merinos were older (15 vs. 4 months). However, by week 8 there was no significant difference in LW due to the higher growth rate of the Composites. This result was anticipated and expected because the Composite lambs were at different stages on their growth curve when compared to the Merino yearlings due to differences in age and genetics.

Figure 3.
Weekly average dry matter intake (a–c) and weekly average liveweight (d–f) over the eight weeks experimental feeding. Values for breed × diet interactions of weekly average dry matter intake (a) and weekly average liveweight (d) and their main effects of breed (b,e) and diet (c,f) are presented. The error bars shown for breed × diet interaction on dry matter intakes and liveweights during weeks 1–8 feeding period represent standard error of difference at each point. The p-value for the test of significant difference between breed main effects and between diet main effects are provided within each figure.
3.3. Effect of Changing Environmental Temperature and THI on Liveweight Gain and Feed Efficiency
The average total LWG for weeks 1–4 were higher (p < 0.001) for both animal types than for weeks 5–8 period (Figure 4a). The LWG during weeks 1–4 for Composite lambs fed STD vs. CAM was 11.3 vs. 10.5 kg, while for Merino yearlings fed equivalent values were and 8.2 vs. 7.7 kg (p = 0.20). The corresponding values for weeks 5–8 were 4.9 vs. 6.6 kg and 1.6 vs. 3.8 kg (p < 0.001), respectively. These data suggest there was a distinct break point in the rate of LWG in both breeds between weeks 1–4 and weeks 5–8 in this experiment. Further analysis of LWG and FE for these periods showed lower LWG and FE in weeks 5–8 than weeks 1–4 (p < 0.001) (Figure 4b). There was a breed effect with Merino yearlings had lower (p < 0.001) LWG than Composite lambs for both weeks 1–4 and weeks 5–8 periods. The breed effect was expected as the genetic background and age of the Composite lambs and Merino yearlings were different. There was no effect of diet (p > 0.43) observed during week 1–4 but during 5–8 weeks animals fed the STD diet had lower (p < 0.02) LWG than those fed the CAM diet (Figure 4b). The LWG of animals for the weeks 5–8 of the feeding period were lesser (p < 0.001) than week 1–4 for both animal types. There was no breed × diet effect (p > 0.05) observed for LWG during 1–4 and 5–8 week periods. There was no breed × diet effect observed for FE during both 1–4 and 5–8 week periods (Figure 4b). Merino yearlings had lower (p < 0.001) FE than Composite lambs for both 1–4 and 5–8 week periods. There were no diet effect during week 1–4 but animals fed the CAM diet had greater (p < 0.01) FE than those fed the STD diet during weeks 5–8. Relative to weeks 1–4, FE in weeks 5–8 on the STD diet was 48% lower (p < 0.001) in the Composites and 75% lower (p < 0.001) in the Merinos, while on the CAM diet FE was 26% lower (p < 0.01) in Composites and 37% lower (p < 0.01) in Merinos (Figure 4c).
Figure 4.
Overall (a) and weekly (b) average liveweight gain for Composite (COMP) lambs and Merino yearlings fed standard forage mixture diet (STD) or camelina forage mixture diet (CAM) during weeks 1–4 and weeks 5–8. Feed efficiency (kg LWG/kg DMI) for maternal Composite (COMP) lambs and Merino yearlings fed standard forage mixture diet (STD) or camelina forage mixture diet (CAM) during weeks 1–4 and weeks 5–8, respectively (c).
There was a breed effect with Merino yearlings had lower (p < 0.001) LWG than Composite lambs for both weeks 1–4 and weeks 5–8 periods (Figure 4b). However, there was no effect of diet (p > 0.43) observed during week 1–4 but during 5–8 weeks animals fed the STD diet had lower (p < 0.02) LWG than those fed the CAM diet (Figure 4b). Merino yearlings had lower (p < 0.001) FE than Composite lambs for both 1–4 and 5–8 week periods (Figure 4c). There were no diet effect during week 1–4 but animals fed the CAM diet had greater (p < 0.01) FE than those fed the STD diet during weeks 5–8. Relative to weeks 1–4, FE in weeks 5–8 on the STD diet was 48% lower (p < 0.001) in the Composites and 75% lower (p < 0.001) in the Merinos, while on the CAM diet FE was 26% lower (p < 0.01) in Composites and 37% lower (p < 0.01) in Merinos (Figure 4c).
3.4. Proportions of Temperature and THI Thresholds Observed as Reference Values during Weeks 1–4 and Weeks 5–8 Periods
There were differences between weeks 1–4 and weeks 5–8, which was examined further in analysis of the temperature (Figure 5a) and THI (Figure 5b) thresholds observed as reference values. To distinguish differences between weeks 1–4 and 5–8, the proportion of hours below or above thresholds were calculated. Night-time thresholds were <12 °C, <15 °C and >22 °C, and THI <55, <60 and ≥67, while daytime thresholds were ≥26 °C, ≥28 °C, ≥30 °C and THI ≥ 72, ≥74 and ≥76. This analysis showed a greater (p < 0.01) proportion of night-time hours below the thresholds in weeks 1–4 than weeks 5–8 and more daytime hours exceeding the thresholds in weeks 5–8 than weeks 1–4 (Figure 5a,b). There was therefore the potential for a longer duration of heat stress in weeks 5–8 than weeks 1–4.
Figure 5.
The proportions of night temperature hours below 12, 15 °C or above 22 °C and day temperature above 26, 28 or 30 °C (a) and the proportions of night THI hours below 55, 60 or above 67 and day THI above 72, 74 or 76 (b).
Every observation shown in histogram in Figure 5 is an average of 4 weeks by 7 days by 12 h measurements for both temperature and THI measurements obtained, respectively. The p-value for the test of significant difference between two periods is provided at the top of the bars. The standard error of differences for 12, 15, 22, 26, 28 and 30 °C temperature reference values mean comparisons are 0.02, 0.04, 0.02, 0.03, 0.03 and 0.02, respectively. Similarly, the standard error of differences for 55, 60, 65, 72, 74 and 76 THI reference values mean comparisons are 0.03, 0.03, 0.02, 0.03, 0.03 and 0.02, respectively.
4. Discussion
In the second half (weeks 5–8) of this experiment there were clearly different environmental limitations to LWG than in the first half (weeks 1–4). During the second half there was a greater proportion of daytime hours exceeding 28 °C (50% vs. 21%) and night-time hours exceeding 22 °C (15% vs. 9%). Equivalent hours exceeding THI values were 74 for daytime (26% vs. 13%) and 67 for night-time (18% vs. 13%). Other thresholds worked equally well at distinguishing between temperature conditions of the two periods. This finding was despite the highest temperature and THI of the experiment occurring in the first half of the experiment, indicating that the proportion of time exceeding thresholds is more important than point measures of temperature (i.e., daytime and nighttime temperature exceeding 28 °C and 22 °C, respectively) or THI (i.e., daytime and nighttime THI exceeding 72 and 67, respectively) per se. The lower LWG and FE in the second half was despite the animals being in a shaded well-ventilated animal house, and temperature conditions that were typical of the previous 5 years at Hamilton. Lamb finishing in unshaded conditions, at hotter locations such as Walpeup, and under changed future climates, is likely to encounter more challenging economic conditions as an increased proportion of elevated temperature or temperature stress reduces FE. In our experiment FE in the second half of the experiment on the STD diet declined by 48% relative to the first half in Composites and 75% in Merinos, and larger reductions could be expected with more severe heat stress conditions. The reduction in FE was partially offset by the CAM diet, which contained 38% more lipid than the STD diet. Here, the relative reductions in FE were 26% in Composites and 37% in Merinos. This finding offers an opportunity to mitigate the effects of heat stress on FE. Diets containing increased concentrations of lipids could be on hand for feedlot finishing of lambs under intensive management, or as supplements for paddock-based finishing in case of prolonged heat stress. The reduction in FE is consistent with the initial hypothesis that a diet higher in lipid concentration leads to a lower digestive heat load in the lambs, and less impact of high temperature stress on intake.
Events such as elevated summer-autumn temperatures (prolong high heat waves and humid conditions) can change animal’s thermoregulation mechanisms and their dietary energy- and nutrient-utilisation from basal metabolism, which can be related to reduced feed intake, LWG and/or FE [23,24]. There has been extensive research into the impact of short-term acute heat stress on sheep and dairy cattle [25,26]. Research into long-term exposure to frequent changes in temperature and THI within a summer to autumn finishing season under temperate climate and its cumulative effects under long-term feeding mimicking to farm conditions is limited with the exception of feedlot studies in beef cattle reported by [27]. In this experiment, the faster growing Composite lambs experienced summer conditions for the first time in their life while the slower growing Merino yearlings faced these conditions for the second time in their life. Albeit the Composite lambs and Merino yearlings were at different stages of growth due to their differences in breed (i.e., genetics) and age, both cohort of animals continued to grow in this experiment. This finding shows that Merino yearlings still have the potential to grow and finish if provided suitable nutrition. The animal’s genetics also contributes how fast and for how long an animal continues to grow. There is also evidence from this experiment that the LWG and FE of sheep growing in the temperate regions of Victoria are affected by frequent days of high temperature during summer and autumn periods.
Previous studies also report that livestock are affected by solar radiation or shade availability on farm [26,27,28]. In this experiment, there were only small differences in temperature and THI between the animal house and the Hamilton weather station (Figure S1). Therefore, the conditions animals experienced in this experiment were consistent with animals at pasture with free access to shade from trees or shade structures and the ability to avoid direct solar radiation from the sun. The current experiment reveals several important aspects: 1. The effect of diurnally varying temperature and THI conditions on LWG and FE were greater in the second half than the first half of the experiment; 2. The reduction in LWG (kg/sheep/week) and FE (kg LWG/kg DMI) during the second half of the experiment was observed in both animal types; 3. The likely impact of diurnally varying temperature and THI on LWG and FE were more pronounced in animals fed the standard forage diet than those fed the camelina forage diet, indicative of a diet effect; 4. The likely effect of diurnally varying temperature and THI on LWG and FE were more pronounced in Merino yearlings than Composite lambs, indicative of a breed effect.
Most studies comparing heat stress effects in sheep and cattle were conducted under controlled heat chamber environments comparing thermoneutral versus elevated temperature conditions, with short durations of one-week or two-weeks and results vary. Some heat chamber studies show that heat stress reduced feed intake in lambs resulting in lower growth rates and FE than the control group [25,29,30]. Other studies indicated heat stress conditions decreased LWG and FE without changing DMI compared with those had thermoneutral conditions [31]. More research has been conducted in dairy cattle than beef cattle, sheep or goats in this space. Previous research conducted in dairy cattle indicated that feed intake in lactating cows begins to decline at ambient temperatures of 25–26 °C and declines more rapidly above 30 °C. The severity of heat stress depends on both day and night temperatures and their fluctuation. For example, studies conducted in Holstein [32] and Friesian dairy cows [33] have shown that if the night temperature does not drop below 21 °C for 3–6 h, milk production would be reduced. It is reported that, in general, milk yield of Bos taurus dairy breeds begins to decline at THI 72, but for high-producing cows milking 35 kg/day, milk yield begins to decline at THI 68 [34,35]. The decline in milk yield by the Holstein breed has been reported to be more rapid than the Jersey breed across a range of THI from 72 to 84 [36]. The latter indicated a breed effect that was similar to our observation that the reduction on LWG due to variation in THI was greater in Merinos than the Composites used in this experiment. However, it is difficult to be conclusive with this observation due to the difference in age between the two different cohorts of animals used in this experiment and their likely different stages of growth.
Factors such as temperature, relative humidity, solar radiation, wind speed or their interactions can affect the performance and productivity of farm animals. The weather data collected over this 8-week experiment showed that there were variations in day and night temperatures (Table S1 and Figure S1) between weeks 1–4 and weeks 5–8 that led to variations in day and night THI (Table S1 and Figure S1) during those periods. The summary of the weather data reveals that there were wide ranges of minimum and maximum temperatures as well as minimum and maximum THI due to extreme hot days and cool nights. Sheep in this experiment were exposed to temperature ranges of 5–38 °C and a THI range of 42–84 (Table S1). We consider that these extreme changes in temperature and THI were likely to be the reason for the observed reduced feed intakes (Figure 3a–c) and liveweights (Figure 3d–f). The temperature and THI used from previous studies for thermoneutral conditions were 20.7 °C and 65.2 for Holstein calves [37] and 22.2 °C and 67.9 for Afshari lambs [38]. Liu, Cao [39] reported that grazing sheep under natural solar radiation conditions in China did not exhibit any signs of heat stress at day temperatures below 22.2 °C, at day temperatures between 22.2–23.3 °C had a moderate level of heat stress, at day temperatures between 23.3–25.6 °C had a severe level of heat stress and at day temperatures above 25.6 °C were classified as extreme heat stress.
For this experiment the changes in day and night temperature and THI over the 24 h time during days that had maximum temperatures of 27 °C and 36 °C, respectively were observed to be very different (Figure 2). It was clear that when the day temperature was above 27 °C, the night-time temperature and THI remained higher for longer than for cooler days. On a day of 27 °C, the night temperature was 26.3 °C at 18:00 h and 21.2 °C at 20:00 h, respectively. The corresponding THI values were 72.3 at 18:00 h and 67.6 at 20:00 h, respectively. In late summer and early autumn, it is very common for the daily maximum temperatures to exceed 27 °C. When the maximum daily temperature exceeds 27 °C for a series of consecutive days, the daily minimum temperature is likely to remain above 22 °C. The intensity and duration of frequent heat events are likely to impact on the animal’s ability to adapt to these heat events. In this experiment, recent exposure to heat events did not improve the performance of Merino yearlings when compared to Composite lambs. However, it is difficult to determine whether this reduced performance was due to age, genetics, heat events or a combination of all three. In weeks 1–4 of the experiment, there were 6 days (21%) with maxima above 28 °C while in weeks 5–8, there were 14 days (50%) above 28 °C. During weeks 5–8 more of the daytime maxima above 28 °C occurred consecutively, i.e., weeks 1–4, three of the six days (50%) over 28 °C were preceded by a day over 28 °C whereas in weeks 5–8, 12 of the 14 days (86%) over 28 °C were preceded by a day over 28 °C. Differences in LWG and FE between the first and second half of the experiment were also associated with differences in the proportion of time above the thresholds of night temperature and THI (Figure 5). In the first half of the experiment only 9% of night-time hours exceeded 22 °C compared with 15% in the second half, while equivalent values for night-time hours exceeding a THI of 67 are 13% and 18%. These findings suggest that more frequent days of elevated temperature above 28 °C during summer to autumn lead to more hours of night-time temperature above 22 °C and THI above 67, which affect LWG and FE of sheep. However, the author’s note some caution should be taken when considering these findings from this experiment. These findings also offer some insights for scientists who design feeding experiments under grazing conditions during hot summer and the potential of cumulative effect of frequently varying temperature and THI impacting on feed intake, weight gain and FE over the duration of the experiment. A randomised control experiment having animals under controlled environmental conditions is required to confirm these findings.
Silanikove [40] reported that animals of different species and breeds have different mechanisms to acclimatise to changing temperatures and THI. Animal skin colour and density of wool/hair can also impact on animal’s ability to dissipate heat [41]. Merino yearlings in the current experiment had longer and denser wool than the Composite lambs (Figure 6). Ponnampalam, Warner, and Dunshea [42] has previously shown that pure Merino sheep have different basal and hormone stimulated energy metabolism in coping with stress events and utilising body reserves (e.g., glucose from glycogen and non-esterified fatty acids from triglycerides) compared with faster growing Crossbred sheep. The breed differences in feed intake, energy metabolism and nutrient partitioning in the body combined with changing temperature and THI conditions during this experiment might be the reason for lower LWG and FE in Merino yearlings compared with crossbred Composite lambs used in this experiment. The is likely due to the age difference between the Composite and Merino animals.
Figure 6.
Maternal Composite lambs (a) and Merino yearlings (b) used in the feeding experiment. There were 7 pens of Composite lambs (8 animals/pen) and 7 pens of Merino yearlings (8 animals/pen) used for the feed intake and liveweight gain measures.
Supplementation of lipids (as oils or fats) in ruminant diets may be beneficial to increase the nutrient density of diets for intestinal absorption during times of hot and dry conditions since it is associated with reduced metabolic heat production per unit of energy consumed from the diet. We postulate that the increased performance with the CAM diet during weeks 5–8 feeding, when conditions were hotter, is due to the higher lipid concentrations (~ 38% higher) in camelina forage, increasing nutrient availability for post-ruminal absorption in conjunction with reduced metabolic heat production. Lipids in the diets are known to contribute approximately 2.5% times more energy than carbohydrates (fibre, starch, etc.) and produce less heat than carbohydrates and proteins during digestion and absorption [12]. This allows the animals to continue to utilise energy and nutrients from the diet because of a relatively lower requirement to dissipate heat from the biohydrogenation and digestive process during hot weather conditions. Camelina is an oilseed forage crop that belongs to the brassica family and recently products from camelina such as oils and oilseed have been approved by FDA for ruminant animal feeding. For the first time our study shows that camelina hay forage supplementation at 15% of the diet significantly increased LWG and FE relative to a control diet containing cereal hay during hot and dry summer-autumn conditions. The effect on LWG and FE were also seen across both animal breed types. The latter observation with feeding camelina forage is likely to be through dietary lipids causing reduced heat formation of fermentation in the rumen relative to the control diet per unit of energy intake, thus reducing the effect of high temperature stress on feed intake. Similar findings have recently been reported from a study of Holstein-Friesian lactating cows exposed to a four-day heat challenge in a controlled-environment chamber, where cows fed a supplement of canola oil (0.7 kg/d) showed higher milk production under these conditions than those only fed the basal diet of lucerne hay, pasture silage and grain [43]. Further research is warranted to understand the mechanism behind lipid supplementation, alleviation of heat stress during hot season and improved livestock productivity.
5. Conclusions
This experiment showed that despite diurnal variation in temperature and THI, daytime maxima above 28 °C for consecutive days during the summer and autumn periods is likely to affect feed intake in Composite lambs and Merino yearling sheep leading to reduced LWG and FE. The reduction in LWG and FE as a result of temperature and THI effects were lower in animals fed the CAM diet than STD diet indicates that feeding sheep camelina hay may be beneficial in alleviating the impact of heat stress on animal growth and productivity in sheep.
Supplementary Materials
The following supporting information can be downloaded at: https://www.mdpi.com/article/10.3390/ruminants2040027/s1, Table S1: Lowest and highest ranges for maximum temperature (MaxT (°C)) in the animal house, minimum temperature (MinT (°C)), relative humidity at maximum temperature (RH@MaxT), relative humidity at minimum temperature (RH@MinT), maximum temperature humidity index (MaxTHI) and Maximum THI (MinTHI) during the 8-week feeding period; Figure S1: The Maximum (Max) and minimum (Min) daily temperature (S1a) and temperature humidity index (THI) (S1b), in the animal house (black solid line) and at the external weather station 200 m away from the animal house (orange dashed line) obtained during the experimental period in Hamilton, Victoria.
Author Contributions
Conceptualization, E.N.P., M.I.K. and J.L.J.; methodology, E.N.P., M.M., S.K.M. and F.C.; formal analysis, E.N.P. and K.G.; investigation, E.N.P., M.M., S.K.M. and F.C.; writing—original draft preparation, E.N.P.; writing—review and editing, E.N.P., K.G., M.I.K. and J.L.J.; project administration, M.I.K.; funding acquisition, M.I.K. All authors have read and agreed to the published version of the manuscript.
Funding
This research was funded by the Victorian Department of Jobs, Precincts and Regions (Agriculture Victoria Research).
Institutional Review Board Statement
The experiment was conducted in accordance with Australian code for the care and use of animals for scientific purposes (National Health and Medical Research Council, 2013). Approval to proceed was obtained from the Department of Jobs, Precincts and Regions (DJPR) Agricultural Research and Extension Animal Ethics Committee (AEC Code No: 2016-17).
Informed Consent Statement
Not applicable.
Data Availability Statement
Data from this experiment will be made available upon request by contacting Eric Ponnampalam at enponnampalam@hotmail.com or Matthew Knight at matthew.knight@agriculture.vic.gov.au.
Acknowledgments
The authors gratefully acknowledge the technical contributions of staff from the Department of Jobs, Precincts and Regions-Hamilton and AgriBio Centres. The Camelina forage was purchased from Be Bioenergy, Yarrock Pty Ltd., Kaniva, VIC 3419.
Conflicts of Interest
The authors declare no conflict of interest. The funders had no role in the design of the experiment; in the collection, analyses, or interpretation of data; in the writing of the manuscript; or in the decision to publish the results.
References
- Court, J.; Webb Ware, J.; Hides, S. Sheep Farming for Meat and Wool; CSIRO: Melbourne, Australia, 2010. [Google Scholar]
- Cullen, B.R.; Johnson, I.R.; Eckard, R.J.; Lodge, G.M.; Walker, R.G.; Rawnsley, R.P.; McCaskill, M.R. Climate change effects on pasture systems in south-eastern Australia. Crop Pasture Sci. 2009, 60, 933–942. [Google Scholar] [CrossRef]
- The Intergovernmental Panel on Climate Change. Climate Change 2021: The Physical Science Basis. Working Group 1 Contribution to the Sixth Assessment Report of the Intergovernmental Panel on Climate Change. Available online: https://www.ipcc.ch/report/ar6/wg1/ (accessed on 8 August 2021).
- Hahn, G.L.; Mader, T.; Eigenberg, R.A. Perspective on development of thermal indices for animal studies and management. EAAP Tech. Ser. 2003, 7, 31–44. [Google Scholar]
- Roenfeldt, S. You can’t afford to ignore heat stress. Dairy Herd Manag. 1998, 35, 6–12. [Google Scholar]
- Mishkind, M.; Vermeer, J.E.; Darwish, E.; Munnik, T. Heat stress activates phospholipase D and triggers PIP accumulation at the plasma membrane and nucleus. Plant J. Cell Mol. Biol. 2009, 60, 10–21. [Google Scholar] [CrossRef]
- Ponnampalam, E.N.; Sinclair, A.J.; Holman, B.W.B. The Sources, Synthesis and Biological Actions of Omega-3 and Omega-6 Fatty Acids in Red Meat: An Overview. Foods 2021, 10, 1358. [Google Scholar] [CrossRef]
- Chauhan, S.S.; Dunshea, F.R.; Plozza, T.E.; Hopkins, D.L.; Ponnampalam, E.N. The Impact of Antioxidant Supplementation and Heat Stress on Carcass Characteristics, Muscle Nutritional Profile and Functionality of Lamb Meat. Animals 2020, 10, 1286. [Google Scholar] [CrossRef]
- Chauhan, S.S.; Celi, P.; Leury, B.J.; Dunshea, F.R. High dietary selenium and vitamin E supplementation ameliorates the impacts of heat load on oxidative status and acid-base balance in sheep. J. Anim. Sci. 2015, 93, 3342–3354. [Google Scholar] [CrossRef]
- Dale, N.; Fuller, H. Effect of diet composition on feed intake and growth of chicks under heat stress: II. Constant vs. cycling temperatures. Poult. Sci. 1980, 59, 1434–1441. [Google Scholar] [CrossRef]
- Coffey, M.; Seerley, R.; Funderburke, D.; McCampbell, H. Effect of heat increment and level of dietary energy and environmental temperature on the performance of growing-finishing swine. J. Anim. Sci. 1982, 54, 95–105. [Google Scholar] [CrossRef]
- Ilian, M.; Razzaque, M.; Salman, A. Use of fat in diets of sheep in hot environments. II. Effect on rumen metabolism. Anim. Feed. Sci. Technol. 1988, 19, 343–350. [Google Scholar] [CrossRef]
- Waraich, E.A.; Ahmed, Z.I.; Ahmad, R.; Ashraf, M.Y.; Saifullah; Naeem, M.; Rengel, Z. ‘Camelina sativa’, a climate proof crop, has high nutritive value and multiple-uses: A review. Aust. J. Crop Sci. 2013, 7, 1551–1559. [Google Scholar]
- Obour, A.; Sintim, H.; Obeng, E.; Jeliazkov, D. Oilseed camelina (Camelina sativa L Crantz): Production systems, prospects and challenges in the USA Great Plains. Adv. Plants Agric. Res. 2015, 2, 43. [Google Scholar] [CrossRef]
- Ponnampalam, E.N.; Kerr, M.G.; Butler, K.L.; Cottrell, J.J.; Dunshea, F.R.; Jacobs, J.L. Filling the out of season gaps for lamb and hogget production: Diet and genetic influence on carcass yield, carcass composition and retail value of meat. Meat Sci. 2019, 148, 156–163. [Google Scholar] [CrossRef] [PubMed]
- Ponnampalam, E.N.; Knight, M.I.; Moate, P.J.; Jacobs, J.L. An alternative approach for sustainable sheep meat production: Implications for food security. J. Anim. Sci. Biotechnol. 2020, 11, 83. [Google Scholar] [CrossRef]
- National Health and Medical Research Council. Australian Code for the Care and Use of Animals for Scientific Purposes, 8th ed.; National Health and Medical Research Council: Canberra, Australia, 2013. [Google Scholar]
- Brash, L.D.; Fogarty, N.; Gilmour, A.R. Genetic parameters for Australian maternal and dual-purpose meatsheep breeds. II. Liveweight, wool and reproduction in Corriedale sheep. Aust. J. Agric. Res. 1994, 45, 469–480. [Google Scholar] [CrossRef]
- Thom, E.C. The Discomfort Index. Weatherwise 1959, 12, 57–61. [Google Scholar] [CrossRef]
- Roberts, C.A.; Workman, J., Jr.; Reeves, J.B., III. Near-Infrared Spectroscopy in Agriculture; American Society of Agronomy: Madison, WI, USA, 2004. [Google Scholar]
- Freer, M.; Dove, H.; Nolan, J.V. Nutrient Requirements of Domesticated Ruminants; CSIRO Publishing: Melbourne, Australia, 2007. [Google Scholar]
- VSN International. Genstat Reference Manual (Release 18), Part 1 Summary; VSN International: Hemel Hempstead, UK, 2015. [Google Scholar]
- Al-Dawood, A. Towards Heat Stress Management in Small Ruminants—A Review. Ann. Anim. Sci. 2016, 17, 59–88. [Google Scholar] [CrossRef]
- Henry, B.K.; Eckard, R.J.; Beauchemin, K.A. Review: Adaptation of ruminant livestock production systems to climate changes. Animal 2018, 12, s445–s456. [Google Scholar] [CrossRef]
- Chauhan, S.S.; Ponnampalam, E.N.; Celi, P.; Hopkins, D.L.; Leury, B.J.; Dunshea, F.R. High dietary vitamin E and selenium improves feed intake and weight gain of finisher lambs and maintains redox homeostasis under hot conditions. Small Rumin. Res. 2016, 137, 17–23. [Google Scholar] [CrossRef]
- Kadzere, C.; Murphy, M.R.; Silanikove, N.; Maltz, E. Heat stress in lactating dairy cows: A review. Livest. Sci. 2013, 77, 59–91. [Google Scholar] [CrossRef]
- Gaughan, J.B.; Bonner, S.; Loxton, I.; Mader, T.L.; Lisle, A.; Lawrence, R. Effect of shade on body temperature and performance of feedlot steers. J. Anim. Sci. 2010, 88, 4056–4067. [Google Scholar] [CrossRef] [PubMed]
- Pardo, G.; del Prado, A. Guidelines for small ruminant production systems under climate emergency in Europe. Small Rumin. Res. 2020, 193, 106261. [Google Scholar] [CrossRef]
- Bernabucci, U.; Lacetera, N.; Danieli, P.P.; Bani, P.; Nardone, A.; Ronchi, B. Influence of different periods of exposure to hot environment on rumen function and diet digestibility in sheep. Int. J. Biometeorol. 2009, 53, 387–395. [Google Scholar] [CrossRef] [PubMed]
- Dixon, R.M.; Thomas, R.; Holmes, J.H.G. Interactions between heat stress and nutrition in sheep fed roughage diets. J. Agric. Sci. 1999, 132, 351–359. [Google Scholar] [CrossRef]
- Mahjoubi, E.; Amanlou, H.; Mirzaei-Alamouti, H.R.; Aghaziarati, N.; Yazdi, M.H.; Noori, G.R.; Yuan, K.; Baumgard, L.H. The effect of cyclical and mild heat stress on productivity and metabolism in Afshari lambs. J. Anim. Sci. 2014, 92, 1007–1014. [Google Scholar] [CrossRef]
- Igono, M.O.; Bjotvedt, G.; Sanford-Crane, H.T. Environmental profile and critical temperature effects on milk production of Holstein cows in desert climate. Int. J. Biometeorol. 1992, 36, 77–87. [Google Scholar] [CrossRef]
- Muller, C.J.C.; Botha, J.A.; Smith, W.A. Effect of shade on various parameters of Friesian cows in a Mediterranean climate in South Africa. 1. Feed and water intake, milk production and milk composition. S. Afr. J. Anim. Sci. 1994, 24, 49–55. [Google Scholar]
- Gauly, M.; Bollwein, H.; Breves, G.; Brügemann, K.; Dänicke, S.; Daş, G.; Demeler, J.; Hansen, H.; Isselstein, J.; König, S.; et al. Future consequences and challenges for dairy cow production systems arising from climate change in Central Europe—A review. Animal 2013, 7, 843–859. [Google Scholar] [CrossRef]
- Smith, D.L.; Smith, T.; Rude, B.J.; Ward, S.H. Short communication: Comparison of the effects of heat stress on milk and component yields and somatic cell score in Holstein and Jersey cows. J. Dairy Sci. 2013, 96, 3028–3033. [Google Scholar] [CrossRef]
- West, J.W. Effects of heat-stress on production in dairy cattle. J. Dairy Sci. 2003, 86, 2131–2144. [Google Scholar] [CrossRef]
- Yazdi, M.H.; Mirzaei-Alamouti, H.R.; Amanlou, H.; Mahjoubi, E.; Nabipour, A.; Aghaziarati, N.; Baumgard, L.H. Effects of heat stress on metabolism, digestibility, and rumen epithelial characteristics in growing Holstein calves. J. Anim. Sci. 2016, 94, 77–89. [Google Scholar] [CrossRef] [PubMed]
- Mahjoubi, E.; Yazdi, M.H.; Aghaziarati, N.; Noori, G.R.; Afsarian, O.; Baumgard, L.H. The effect of cyclical and severe heat stress on growth performance and metabolism in Afshari lambs. J. Anim. Sci. 2015, 93, 1632–1640. [Google Scholar] [CrossRef] [PubMed]
- Liu, H.W.; Cao, Y.; Zhou, D.W. Effects of shade on welfare and meat quality of grazing sheep under high ambient temperature. J. Anim. Sci. 2012, 90, 4764–4770. [Google Scholar] [CrossRef] [PubMed]
- Silanikove, N. Effects of heat stress on the welfare of extensively managed domestic ruminants. Livest. Prod. Sci. 2000, 67, 1–18. [Google Scholar] [CrossRef]
- Walsberg, G. Coat Color and Solar Heat Gain in Animals. Bioscience 1983, 33, 88–91. [Google Scholar] [CrossRef]
- Ponnampalam, E.N.; Warner, R.D.; Dunshea, F.R. Basal and hormone-stimulated metabolism in lambs varies with breed and diet quality. Domest. Anim. Endocrinol. 2012, 42, 94–102. [Google Scholar] [CrossRef]
- Williams, S.R.O.; Milner, T.C.; Garner, J.B.; Moate, P.J.; Jacobs, J.L.; Hannah, M.C.; Wales, W.J.; Marett, L.C. Dietary fat and betaine supplements offered to lactating cows affect dry matter intake, milk production and body temperature responses to an acute heat challenge. Animals 2021, 11, 3110. [Google Scholar] [CrossRef]
Publisher’s Note: MDPI stays neutral with regard to jurisdictional claims in published maps and institutional affiliations. |
© 2022 by the authors. Licensee MDPI, Basel, Switzerland. This article is an open access article distributed under the terms and conditions of the Creative Commons Attribution (CC BY) license (https://creativecommons.org/licenses/by/4.0/).