Abstract
Vaporization enthalpies and vapor pressures of 5α-androstane and 5α-cholestane are reported using correlation gas chromatography (CGC). The results for 5α-cholestane are compared to both estimated and experimental values reported previously for 5α-cholestane. The results are generally in agreement with the literature within the reported uncertainties. A simple method for reducing the amount of curvature in logarithm plots of vapor pressures as a function of K/T when using n-alkanes as standards in CGC experiments is also reported. This may prove useful in evaluating vapor pressures of rigid hydrocarbons at high temperatures.
1. Introduction
5α-Cholestane, (5R,8R,9S,10S,13R,14S,17R)-10,13-dimethyl-17-((R)-6-methylheptan-2-yl)-hexadecahydro-1H-cyclopenta[a]phenanthrene, is a 27-carbon saturated tetracyclic hydrocarbon, produced by the diagenesis of cholesterol. It is one of the most abundant biomarkers in the rock record and is generally interpreted by paleontologists as an indicator of animal life [1]. While the stereochemistry of cholesterol during diagenesis to cholestane is typically maintained, cholestane with many different configurations is found in the fossil record. In 5α-cholestane, the stereochemical configuration of cholesterol is maintained.
5α-Androstane, (8S,9S,10S,13S,14S)-hexadecahydro-10,13-dimethyl-1H-cyclopenta[a]phenanthrene, is a structurally related steroid in which the alkyl side chain in 5α-cholestane has been replaced by hydrogen. In spite of not containing any oxygen, it appears to exhibit androgenic properties [2]. 5α-Androstane is used as a standard in various applications in chromatography including GC, GC/MS, HPLC, LC/MS, and other analytical instrumentation [3]. The structures of 5α-androstane and 5α-cholestane are illustrated in Figure 1.
Figure 1.
The structures of 5α-androstane (a) and 5α-cholestane (b).
Correlation gas-chromatography has proven quite useful in providing reasonable pure component vaporization enthalpies and vapor pressure measurements as a function of temperature on systems that are not easily measured by other more conventional techniques. This has included the study of relatively large molecules, individual component analysis of multicomponent systems and of substances available in very limited quantities [4,5]. A major limitation of the method is the availability of appropriate compounds with reliable properties to serve as standards. For hydrocarbons, the n-alkanes have proven to be reliable so far, for evaluating vaporization enthalpies regardless of structure but are not without their limitations. Accurate evaluation of vapor pressures are dependent on the structure of the targets. The use of n-alkanes as standards for rigid targets generally produce reasonable vaporization enthalpies but somewhat smaller vapor pressures at ambient temperatures. Vapor pressures for spherical hydrocarbons are often underestimated at higher temperatures as a result of more significant curvature observed for alkane standards than for the targets in plots of ln(p/po) versus K/T [6,7]. The observed curvature is such as to increase predicted normal boiling temperatures.
This study examines the behavior of both 5α-cholestane and 5α-androstane, two interesting examples of rigid tetracyclic molecules that are relatively planar; one of these, cholestane, has been studied previously [8,9]. This provides a rare opportunity to evaluate how well n-alkanes can reproduce some thermodynamic properties of an important class of large polycyclic hydrocarbons evaluated previously by an alternate method and to examine factors that might attenuate the curvature mentioned above. In addition to being polycyclic, both substances also contain the presence of two quaternary carbon centers, known to both reduce vaporization enthalpy and increase volatility [10]. It was therefore surprising at first, to observe that the retention times of 5α-cholestane, a C27 hydrocarbon, exhibited gas chromatographic retention times greater than the corresponding C28 alkane, n-octacosane. Results for 5α-androstane, a smaller C19H32 hydrocarbon and close relative to cholestane, exhibited similar retention time behavior. The properties of 5α-androstane were chosen for study since this substance has not been studied previously and could serve as a useful standard for evaluating similar properties of polycyclic diterpenes, a class of substances whose thermodynamic properties that have not yet been investigated.
2. Experimental
2.1. Compounds: Identity and Purity Controls
Purities and origin of the standards and targets used in this study are summarized in Table 1. Cholestane was purchased from Aldrich and an analytical sample of 5α-androstane, dissolved in methylene chloride (2000 μg/mL), was obtained from Supelco. Both were used as supplied. Cholestane, a single peak in the GC, was identified as 5α-cholestane by it melting temperature, [Tfus = (79.6–80.3) °C; (lit. (79.5–80) °C [11]; (mp reference: vanillin, Tfus = (81.2–82.4); lit.: Tfus = (82) [12]]; its infrared spectrum exhibited four sharp peaks at 1170, 956, 927 and 729 cm−1 absent in the 5β isomer and the absence of a peak at 735 cm−1 characteristic of 5β-cholestane. Infrared spectra of 5α- and 5β-cholestane available at the National Institute of Advanced Industrial Science and Technology (Tokyo, Japan) were used for comparisons [13]. An infrared spectrum of the material studied is available as Figure S1 (Supplementary Materials). Since the size of 5α-cholestane and 5α-androstane differ significantly, a different series of n-alkanes were used as standards.
Table 1.
Origin of the standards and their analysis.
2.2. Methods
All chromatography was performed on an HP5890 gas chromatograph using a Supelco SPB-5 capillary column (0.32 mm, 1.0 μm film thickness; (St. Louis, MO, USA)) connected to a computer running Chemstation. Temperature was controlled to ±0.1 K by the instrument and monitored independently by a high temperature probe connected to a Go Link interface. The carrier gas was helium run at a pressure of 50 kPa above ambient pressure. All experiments were performed in duplicate. The solvent used for each experiment was methylene chloride. At the column temperatures employed, methylene chloride was not retained by the column. It was therefore used as a measure of the time necessary to traverse the column. Column residence times for each analyte, tr, were calculated as the difference between the analyte’s retention time and the retention time of the solvent. Data was collected for each run consecutively. Duplicate runs were performed under similar conditions of temperature and pressure but generally on different days. All retention times and correlations are reported in the Supplementary Materials, Tables S1A–S6A and S1B–S6B, respectively. Compounds are arranged according to their elution off the column.
2.3. Thermochemical Method: Vaporization Enthalpies
The basic premise in correlation gas chromatography is that the residence time tr of an analyte, i, is inversely proportional to its vapor pressure off the column, to/tr(i). Granting this assertion, a plot of ln(to/tr(i)) versus K/T over the temperature range, T = 30 K where to = 60 s, a reference time, should result in a linear relationship. The slope of this line results in the negative enthalpy of transfer of the analyte from the stationary phase of the column to the gas phase, divided by the gas constant, (R = 8.314 J·mol−1·K−1). The enthalpy of transfer is related to the vaporization enthalpy, by Equation (1), where is the enthalpy of interaction of each analyte with the column [14]. In the few cases where it has been evaluated, generally at elevated temperatures, has been endothermic and small in comparison to the vaporization enthalpy [4,15].
Provided the standards are chosen appropriately, a second plot of their versus has also been observed to be linear. The equation of this line together with of the target(s) result(s) in evaluation of the vaporization enthalpy of the target(s). For hydrocarbons, provided the standards bracket both the vaporization enthalpies and retention times of the targets, vaporization enthalpy results do not appear to be very sensitive to the structure of the standards.
2.4. Thermochemical Method: Vapor Pressures
It has been observed empirically that a plot of ln(p/po) (where po is the reference pressure, 101,325 Pa) of the pure standards against their corresponding values of ln(to/tr), also results in a linear relationship at T = 298.15 K. While (pi/po) and (to/tr) of the hydrocarbon standards differ, their logarithms appear to correlate over a wide range of temperatures in a linear fashion. Using their relationship and values of ln(to/tr) of the targets, values of ln(p/po) of the targets can be evaluated. Obviously, the closer the standards resemble the targets, the more accurate the resulting vapor pressures. For hydrocarbons, results do not appear to be terribly sensitive to structure, although it does play a role. Hence the significance of comparing results evaluated by different methods. In this study, all correlations for both steroids studied were performed from T = (298.15 to 550) K; all correlation coefficients, r2, exceeded 0.999 over this entire temperature range. Vapor pressures evaluated as a function of temperature in this work are expressed in the form of a second order polynomial, Equation (2). Results were fit to Equation (2) from T = (298.15 to 400) K and also up to 550 K.
2.5. Uncertainties
Uncertainties reported in this work all refer to one standard deviation unless expressed otherwise [16]. All calculations were performed using Excel (2019) or Sigma Plot (V. 14). Linear plots were evaluated by linear regression. Uncertainties evaluated by correlation are a reflection of the quality of the correlation; actual uncertainties may differ. Uncertainties reported from logarithmic terms are reported as an average value.
2.6. Estimations of Vaporization Enthalpy
A simple relationship for estimating vaporization enthalpies of hydrocarbons, generally within ±5% of the experimental value, is given by Equation (3) [17]. The terms and refer to the number of carbon atoms and number of quaternary sp3 hybridized carbon atoms in the molecule. For 5α-cholestane and 5α-androstane, = 27 and 19, respectively, and = 2 for both. Predictions are useful for providing a reasonable value or otherwise aiding in identifying unusual interactions or erroneous results.
2.7. Vaporization Enthalpies and Vapor Pressures of the Standards and of 5α-Cholestane
The vaporization enthalpies of the n-alkanes used as standards are listed in the second column of Table 2. Vaporization enthalpies of the n-alkanes reported in Table 2A are from the critically evaluated values reported by Ruzicka and Majer [18]; those in Table 2C are from this laboratory [19,20]. Vapor pressures as a function of temperature for liquid n-alkanes in Table 2A are expressed in the form of the Cox Eq., Equation (4) [17], while those in Table 2C are expressed in the form of a third order polynomial, Equation (5) [19,20]. Previous studies of 5α-cholestane have included both the solid and liquid phase. Table 2, section B lists the constants for the Cox Eq., Equation (6), used to predict the vapor pressures of both phases [8] while Section 2D lists the vaporization enthalpy evaluated by the Antoine equation, Equation (7). The Antoine constants reported in the compendium by Stephenson and Malanowski appear to have been derived from vapor pressures reported by the American Petroleum Institute Project. 42 [9,21] (API). Also included in Table 2, section E, are the constants of a second order polynomial, Equation (8), evaluated by Mokbel et al. [8], from fits of experimental heat capacities of both the solid and liquid phases of cholestane as a function of temperature.
log (p/po) = AA − BA/(CA + T/K); po = 1.0 kPa
Cp(T/K) = [Acp + Bcp·T/K + Ccp·(T/100 K)2]·R; R = 8.314 J·K−1·mol−1
Table 2.
Vaporization enthalpies of the compounds and constants for equations used to evaluate vapor pressures; sections (A) and (B): vapor pressure constants for the Cox equation, Equation (4); section (C): vapor pressure constants for a third order polynomial, Equation (6); section (D): vapor pressure constants for the Antoine equation, Equation (7); section (E): constants for evaluating both liquid and solid heat capacities of 5α-cholestane, Equation (8).
3. Results
3.1. Vaporization Enthalpies
Enthalpies of transfer, , were evaluated as the product of the gas constant, R, and the slopes of the lines obtained from linear plots of ln(to/ta) vs. K/T. All correlation coefficients, r2, exceeded 0.997. Table 3 (A, B and C) summarizes the results of one of two duplicate sets of correlations for 5α-cholestane and one of a duplicate set for 5α-androstane. The first duplicate set for 5α-cholestane was based on the usual practice of bracketing the retention time of the target. In view of the long retention time exhibited by 5α-cholestane and its relatively small vaporization enthalpy relative to those of the standards, this prompted the use of a second set of correlations to bracket its vaporization enthalpy better. Equations (9) and (10) and the corresponding correlation coefficients listed below each respective correlation describe the quality of the fits for one of the two duplicate sets of correlations performed. The second correlation for both is available in the Supplementary Materials.
Table 3.
Correlations of of the standards with their respective values.
Correlations were performed in a similar manner for 5α-androstane; r2 > 0.999+. Since this molecule lacks the alkyl side chain, a smaller set of n-alkane standards were required. 5α-Androstane also exhibited longer retention times than might be expected for a C19 hydrocarbon. The results obtained for 5α-cholestane in runs 1 and 3 of Table 3 suggested that a second set of correlations, bracketing the vaporization enthalpy for 5α-androstane better, need not be necessary. Additional details for both substances are available in the Supplementary Materials. The results of the correlations are discussed below. Table 4 summarizes the results of all correlations involving the evaluation of vaporization enthalpies at T = 298.15 K.
Table 4.
Summary of the vaporization enthalpies of 5α-cholestane and androstane at T = 298.15 K (kJ·mol−1) a.
3.2. Vapor Pressures
Values of to/tr of the standards obtained from duplicate runs evaluated under similar experimental conditions were averaged and correlated against their corresponding values of ln(p/po) in the form, ln(to/tr)avg, over the temperature range T = (298.15 to 550) K. In separate correlations for each steroid, plots of ln(p/po) vs. ln(to/tr)avg of the standards resulted in linear relationships that persisted over the entire temperature ranges evaluated, r2 > 0.999+. Results obtained at T = 298.15 K are illustrated in Table 5, (A, B and C). Results are characterized by Equations (12) to (14) and by the correlation coefficients listed beside them. Additional vapor pressures were evaluated at 10 K increments starting at T = 310 K. Polynomials for both targets were evaluated for each set of correlations from T = (298.15 to 400) K and from T = (298.15 to 550) K for both 5α-cholestane and 5α-androstane. The constants evaluated for both are reported in Table 6. The average absolute fractional deviation (AAFD) in vapor pressures evaluated using results over the temperature range T= (298.15 to 400) K between combined runs (1&2) and (3&4) for 5α-cholestane was 0.026. When evaluated over the temperature range, T = (298.15 to 550) K, AAFD = 0.01; consequently runs (1&2) and (3&4) for each temperature range was averaged. The recommended constants for both 5α-cholestane (runs 1–4) and 5α-androstane (runs 5&6) (298 to 400, and 298.15 to 550) K are reported in Table 7.
Table 5.
Correlations of ln(p/po) versus ln(to/tr)avg at T = 298.15 K of the standards a.
Table 6.
Constants of Equation (2) evaluated by correlations evaluated from T = (298.15 to 400, 550) K; po = 101325 Pa a.
Table 7.
Combined constants of Equation (2) for vapor pressures evaluated in Runs 1–4 for 5α-cholestane and Runs 5 and 6 for 5α-androstane a.
4. Discussion
4.1. Vaporization Enthalpy of 5α-Cholestane Using Literature Data
Both 5α-cholestane and 5α-androstane are solids at room temperature. The vaporization enthalpies at T = 298.15 K are for the subcooled liquid and have not been reported previously. A value of 108.4 kJ·mol−1 has been reported for 5α-cholestane at the fusion temperature, also used as the triple point temperature, Ttp = 351.75 K [8]. Using the experimental vapor pressures reported over the temperature range, T = (391.7 to 461.8) K for 5α-cholestane from reference [8], a vaporization enthalpy of (98.1 ± 0.25) kJ·mol−1 is calculated at the mean temperature of measurement, Tm = 426.8 K. Adjustment to the fusion temperature, Ttp = 351.75 K, using Equation (15) [24], ∆T/K = (426.8 − 351.75) and an extrapolated experimental Cp(l)(298 K) value of 646.4 J·K−1·mol−1 [8], results in an estimated temperature adjustment of (13.4 ± 2.7) kJ·mol−1. Applied to a vaporization enthalpy of (98.1 ± 0.25) kJ·mol−1 results in a value of (111.5 ± 2.7) kJ·mol−1 at Tfus; this compares to a vaporization enthalpy of 108.4 kJ·mol−1 reported previously [8], adjusted in a different manner. The uncertainty in the temperature adjustment assumes a 20% overall uncertainty using Equation (15). The two vaporization enthalpies at Tfus differ by less than 3% and differences are mainly due to the manner in which the vaporization enthalpies are adjusted to Tfus. Applying Equation (15) from Tm = 426.8 to T = 298.15 K, results in a temperature adjustment of (23 ± 4.6) kJ·mol−1 and a vaporization enthalpy of (121.1 ± 4.6) kJ·mol−1. This compares to the value (125.4 ± 3.1) kJ·mol−1 (Table 4) evaluated directly by correlation in this work. Details regarding these evaluations are provided in the material accompanying Table S7 (Supplementary Materials, pp. S7–S8). A vaporization enthalpy of 117 kJ·mol−1 at T = 298.15 K is evaluated by extrapolation of the Cox Eq. to evaluate the vaporization enthalpy at T = 298.15 K [8].
The vaporization enthalpy evaluated using the vapor pressures reported by the API study at the mean temperature of measurement, T = 509.7 K, is (115.2 ± 0.2) kJ·mol−1. Evaluations of using vapor pressures from both the Cox Eq. and Equation (2) and the constants reported in Table 2 and Table 7 (using values evaluated from (298.15 to 400) K) for 5α-cholestane to this mean temperature result in vaporization enthalpies of [(87.5 ± 0.5) and (95.8 ± 0.4)] kJ·mol−1, respectively. The uncertainties reported here are the result of the slight curvature associated with the 30 K temperature intervals used in evaluations of the slopes of the line generated by the Clausius Clapeyron Eq. Vapor pressures and corresponding temperatures reported by the API study may be located in Table S8 as a footnote [9].
4.2. Liquid Vapor Pressures of 5α-Cholestane
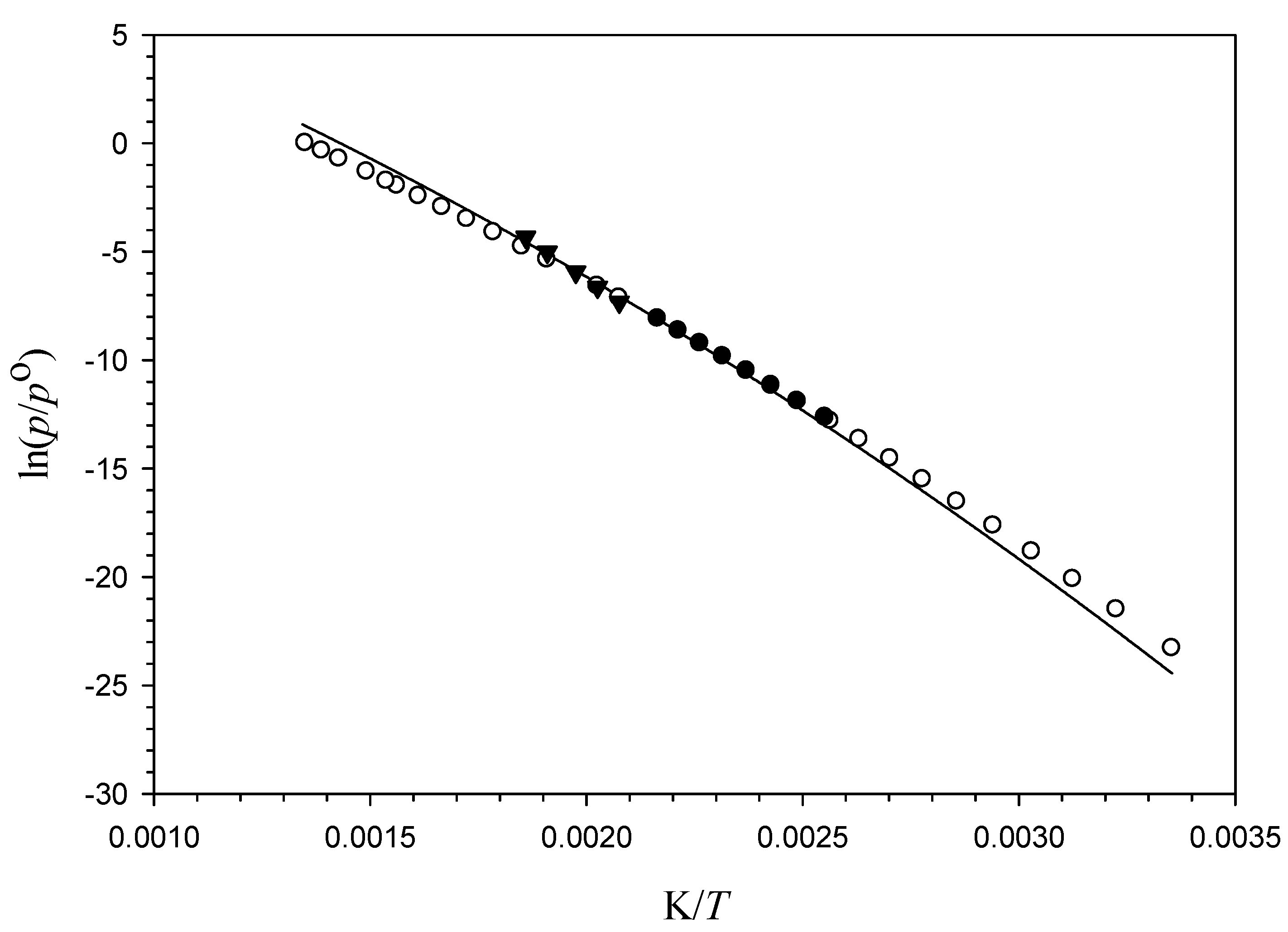
A comparison of the vapor pressures evaluated by correlation with literature values for 5α-cholestane over the two temperature ranges studied using Equation (2) and the two sets of constants reported in Table 7 are provided in Figure 2 and Figure 3. Figure 2 illustrates the results using correlations from T = (298.15 to 400) K followed by extrapolation to the temperature where ln(p/po) = 0. Figure 3 illustrates the same comparison when the range of the correlation is extended to 550 K. The agreement between this work and the values calculated by the Cox Eq. at the higher temperatures are clearly better in Figure 3. This is also reflected in one of the predictions of the normal boiling temperatures reported in Table 7. Despite this agreement, we believe the results using the smaller temperature range in Figure 2 are more reliable for the following two reasons. A vaporization enthalpy at T = 298.15 K of 126.9 kJ·mol−1 is evaluated using the constants of Equation (2) and the vapor pressures generated by correlation from T = (298.15 to 400) K while a value of 131.4 kJ·mol−1 is calculated using constants evaluated from T = (298.15 to 550) K. These two values compare to a mean value of (125.9 ± 3.9) kJ·mol−1 (Table 4) evaluated directly by correlation.
Figure 2.
A plot of ln(p/po) vs. K/T for cholestane from T = (298.15 to 740.4) K, the normal boiling temperature calculated by the Cox Eq. The line represents results calculated by Equation (2) using data evaluated from T = (298.15 to 400) K by correlation. The solid circles represent experimental data from Mokbel et al. [8] while the other circles are extrapolated data calculated by the Cox equation, Equation (6). The triangles represent experimental boiling temperatures evaluated at reduced pressures from API Project 42 [9].
Figure 3.
A plot of ln(p/po) vs. K/T for 5α-cholestane from T = (298.15 to 740.4) K, the normal boiling temperature calculated by the Cox Eq. The line represents results calculated by Equation (2) using data evaluated from T = (298.15 to 550) K by correlation. The solid circles represent experimental data from Mokbel et al. [8] while the other circles are extrapolated data calculated by the Cox equation, Equation (6). The triangles represent experimental boiling temperatures at reduced pressures from API Project 42 [9].
Additionally, comparisons of the overall absolute average fractional deviation (AAFD) using the combined experimental vapor pressures from both the API database and Mokbel et al. [8] (T = (391.65 to 537.65)) was 0.2 using the larger temperature range and 0.15 using constants of Equation (2) evaluated over the shorter temperature range. AAFDs varied from a maximum of 0.44 to a minimum of 0.047 for vapor pressures evaluated using constants generated from the larger temperature range and 0.15 to 0.022 for those evaluated using the shorter temperature range. Table S8 provides a detailed comparison of the vapor pressures and Table S9 their differences (Supplementary Materials).
4.3. Sublimation Enthalpy and Vapor Pressure of Solid 5α-Cholestane
Combining the vaporization enthalpy of (111.5 ± 2.6) kJ·mol−1 derived from the data from [8] at Tfus described in Section 4.1 with the fusion enthalpy, (25.4 ± 0.8) kJ·mol−1, results in a sublimation enthalpy of (136.9 ± 2.8) kJ·mol−1. Adjusting the sublimation enthalpy to T = 298.15 using Equation (16) [24] results in a sublimation of (141.4 ± 2.9) kJ·mol−1 at T = 298.15 (138.1 kJ·mol−1 [8]) reported previously). An approximate vapor pressure of the solid can also be evaluated using the Clausius Clapeyron Eq., Equation (17). Using a sublimation enthalpy of (141.4 ± 2.9) kJ·mol−1 and a vapor pressure of 0.008 Pa evaluated at Ttp = 351.75 K (Table S7, p. 8) [8], an approximate vapor pressure of pcr ≈ 1.3 × 10−6 Pa at T =298.15 K is calculated that compares to pcr ≈ 1.9 × 10−6 Pa reported previously [8]).
Repeating the same calculations using the vaporization enthalpy at T = 298.15 K and vapor pressure evaluated at Ttp in this work, (125.6 ± 3.9; p298K = 0.0044 Pa), results in a sublimation enthalpy of (146.0 ± 4.4) kJ·mol−1 and a vapor pressure of the solid of 5.6 × 10−7 Pa. Details are provided in the Supplementary Materials, p. 8.
4.4. Vaporization Enthalpy of 5α-Androstane
5α-Androstane has not been studied previously. The results of two correlations resulted in a vaporization enthalpy of (87.8 ± 0.8) kJ·mol−1. Like 5α-cholestane, 5α-androstane is also a solid at T = 298.15 K, melting at: Tfus = 352.2 K. The vaporization enthalpy at T = 298.15 K refers to the subcooled liquid. The vaporization enthalpy at Tfus was also calculated using Equation (15) and an estimated liquid heat capacity of 435.3 J·K−1·mol−1 evaluated previously by synthetic analysis [25]. A vaporization enthalpy of (81.1 ± 1.6) kJ·mol−1 is calculated at the melting point by rearranging Equation (15) and solving for The uncertainty of ±1.6 kJ·mol−1 is based on a similar assumption of a total uncertainty of 20% associated with the temperature adjustment using Equation (15) [24]; this also includes the reported uncertainty associated with the vaporization enthalpy of 5α-androstane.
4.5. Liquid Vapor Pressures of 5α-Androstane
A similar comparison of the vapor pressures evaluated for 5α-androstane over the two temperature ranges studied using Equation (2) and the two sets of constants reported in Table 6 are provided in Figure 4. The recommended constants of Equation (2) reported in Table 7 are based on the results observed for 5α-cholestane. As also observed for 5α-cholestane, the vaporization enthalpy evaluated at T = 298.15 K using the shorter temperature range is closer to the value evaluated directly by correlation. Values of (89.6 ± 0.4 and 92.3 ± 0.5) kJ·mol−1 are calculated by the constants evaluated at T = (298.15 to 400 and to 550) K, respectively. These compare to the value of (87.8 ± 0.8) kJ·mol−1 obtained by the direct enthalpy correlations reported above. The uncertainties reported are a reflection of the curvature in the plot evaluated over the temperature range, T = (283.15 to 315.15) K.
Figure 4.
A plot of ln(p/po) vs. K/T for 5α-androstane evaluated by correlation. The circles represent values calculated by Equation (2) using correlated values from T = (298.15 to 400) K while the line was generated by data evaluated by correlation up to 550 K. The additional curvature associated with the extended range correlated is evident at the higher temperatures.
4.6. Retention Times of 5α-Cholestane and 5α-Androstane
The long retention times observed for both 5α-cholestane and 5α-androstane relative to similar sizes of n-alkanes needed to bracket them was mentioned in the introduction. An explanation for this becomes apparent once the vaporization enthalpies of both are known. 5α-Androstane, a C19H32 hydrocarbon, with a vaporization enthalpy of (87.8 ± 2.0) kJ·mol−1, exhibits a retention time that is greater than n-eicosane (C20H42), an alkane with a vaporization enthalpy value of (101.8 ± 0.5) kJ·mol−1. Similarly for 5α-cholestane, a C27H48 hydrocarbon with a vaporization enthalpy of (125.9 ± 3.9) kJ·mol−1 exhibits a retention time greater than n-octacosane, C28H58, with a vaporization enthalpy of (141.9 ± 4.9) kJ·mol−1 [20]. Despite the fact that both 5α-androstane and 5α-cholestane are more volatile than n-eicosane and n-octacosane at T = 298.15 K, ((1.0 ± 0.2) × 10−2 Pa versus (6.6 × 10−3) Pa [18] for the former, and (2.4; 7.8 [8]) × 10−6 Pa versus (3.2 [19]; 5.8 [26]) × 10−7 Pa for the latter), the larger vaporization enthalpies of the standards (a measure of the rate of change in vapor pressure with temperature) at the high temperatures required for both to elute off the column, result in vapor pressures that quickly overcome these differences.
5. Conclusions
Vaporization enthalpies and vapor pressures for 5α-cholestane and 5α-androstane are reported and compared to literature values. While agreement is not perfect, given the size of the molecules studied, it is quite good. In addition, this work identifies a possible solution for attenuating the curvature observed at higher temperatures when forced to use n-alkanes as standards in plots of ln(p/po) versus K/T when dealing with large polycyclic hydrocarbons. By reducing the temperature range of the correlations, the resulting curvature and the corresponding normal boiling temperature are reduced. This should prove useful when studying hydrocarbon targets that are structurally rigid.
Supplementary Materials
The following are available online at https://www.mdpi.com/article/10.3390/liquids4030025/s1. Tables S1A–S4A: Retention times of 5α-cholestane and standards; Tables S5A and S6A: Retention times of 5α-androstane and standards. Tables S1B–S6B: Correlations of with of the Standards. Table S7: Experimental vapor pressures and vaporization enthalpy of 5α-cholestane at the mean temperature of measurement, 426.8 K [8]. Table S8: Comparisons of vapor pressures evaluated in runs 1–4 with literature data. Table S9: A comparison of experimental data on the effect of temperature range (Tr) on the constants of the correlation equation of runs 1–4 used to evaluate vapor pressures of 5α-cholestane. Figure S1: ATR IR spectrum of 5α-cholestane.
Author Contributions
C.F.-L., M.A.: Investigation, J.S.C.: Supervision, analysis, writing, and validation. All authors have read and agreed to the published version of the manuscript.
Funding
This research received no external funding.
Data Availability Statement
Data is contained within the article and in the Supplementary Materials.
Conflicts of Interest
The authors declare no conflicts of interest.
References
- Bobrovskiy, I.; Hope, J.M.; Ivantsov, A.; Andrey, I.; Nettersheim, B.J.; Nettersheim, B.J.; Hallmann, C.; Brocks, J.J. Ancient steroids establish the Ediacaran fossil Dickinsonia as one of the earliest animals. Science 2018, 361, 1246–1249. [Google Scholar] [CrossRef] [PubMed]
- Segaloff, A.; Gabbard, R.B.A. 5α-Androstane-An Androgenic Hydrocarbon. Endocrinology 1960, 67, 887–889. [Google Scholar] [PubMed]
- Analytical Standards and Certified Reference Materials, 2012–2015, Fluka Analytical; Sigma Aldrich Schweiz, Industriestrasse 25 CH-9470 Buchs SG Schweiz.
- Zafar, A.; Chickos, J.S. The vapor pressure and vaporization enthalpy of squalene and squalene by correlation gas chromatography. J. Chem. Thermodyn. 2019, 135, 192–197. [Google Scholar] [CrossRef]
- Thorton, M.; Gobble, C.; Chickos, J. The vaporization enthalpy and vapor pressure of S (+) methamphetamine at T = 298.15 K by correlation gas chromatography. J. Chem. Thermodyn. 2014, 73, 51–56. [Google Scholar]
- Umnahanant, P.; Zafar, A.; Kankala, V.; Chickos, J. Vapor pressure and vaporization enthalpy studies of (+) longifolene, (-) isolongifolene and β-myrcene by correlation gas chromatography. J. Chem. Thermodyn. 2019, 131, 583–591. [Google Scholar] [CrossRef]
- Orf, M.; Kurian, M.; Nelson, C.; Simmons, D.; Espinosa, L.; Chickos, J. Correlation gas chromatographic study of the vaporization enthalpies and vapor pressures of the major sesquiterpene hydrocarbons in patchouli oil. J. Chem. Eng. Data 2021, 66, 2538–2549. [Google Scholar] [CrossRef]
- Mokbel, I.; Ruzicka, K.; Majer, V.; Ruzicka, V.; Ribeiro, M.; Jose, J.; Zabransky, M. Vapor pressures and thermal data for three high-boiling compounds of petroleum interest: 1-phenyldodecane, 5α-cholestane, adamantane. Fluid Phase Equil. 2000, 169, 191–207. [Google Scholar] [CrossRef]
- American Petroleum Institute. Properties of Hydrocarbons of High Molar Mass; Research Project 42; Pennsylvania State University: State College, PA, USA, 1967. [Google Scholar]
- Barton, D.; Chickos, J.S. The vapor pressure and vaporization enthalpy of (-) β-Elemene and (-) β-Bisabolene by correlation gas chromatography. J. Chem. Thermodyn. 2020, 148, 106139. [Google Scholar] [CrossRef]
- 5alpha-Cholestane. Available online: https://pubchem.ncbi.nlm.nih.gov/compound/5alpha-Cholestane (accessed on 4 May 2024).
- Melting Point Standards. Available online: https://www.sigmaaldrich.com/deepweb/assets/sigmaaldrich/product/documents/258/468/melting-point-standards-fl8678en-ms.pdf (accessed on 4 May 2024).
- Spectral Database for Organic Compounds. Available online: https://sdbs.db.aist.go.jp (accessed on 19 December 2020).
- Peacock, L.A.; Fuchs, R. Enthalpy of vaporization measurements by gas chromatography. J. Am. Chem. Soc. 1977, 99, 5524–5525. [Google Scholar] [CrossRef]
- Lipkind, D.; Chickos, J.S. An Examination of Factors Influencing the Thermodynamics of Correlation-Gas Chromatography as Applied to Large Molecules and Chiral Separations. J. Chem. Eng. Data 2010, 55, 698–707. [Google Scholar] [CrossRef]
- Shoemaker, D.P.; Garland, C.W.; Steinfield, J.I.; Niebler, J.W. Experiments in Physical Chemistry, 4th ed.; McGraw Hill Co.: New York, NY, USA, 1981. [Google Scholar]
- Chickos, J.S. Computational Thermochemistry, Prediction and Estimation of Molecular Thermodynamics; ACS Symposium Series 677; Irikura, K.K., Frurip, D.J., Eds.; ACS: Washington, DC, USA, 1996; Chapter 4; pp. 63–91. [Google Scholar]
- Ruzicka, K.; Majer, V. Simultaneous Treatment of Vapor Pressures and Related Thermal Data Between the Triple and Normal Boiling Temperatures for n-Alkanes C5–C20. J. Phys. Chem. Ref. Data 1994, 23, 1–39. [Google Scholar] [CrossRef]
- Chickos, J.S.; Hanshaw, W. Vapor pressures and vaporization enthalpies of the n-alkanes from C21-C30 at T = 298.15 by correlation-gas chromatography. J. Chem. Eng. Data 2004, 49, 77–85. [Google Scholar] [CrossRef]
- Chickos, J.S.; Hanshaw, W. Vapor pressures and vaporization enthalpies of the n-alkanes from C31-C38 at T = 298.15 by correlation-gas chromatography. J. Chem. Eng. Data 2004, 49, 620–630. [Google Scholar] [CrossRef]
- Stephenson, R.M.; Malanowski, S. Handbook of the Thermodynamics of Organic Compounds; Elsevier: New York, NY, USA, 1987. [Google Scholar]
- EPI Suite version 4.11 (Estimation Programs Interface). Available online: http://www.epa.gov/oppt/exposure/pubs/episuitedl.htm (accessed on 18 March 2020).
- Advanced Chemistry Development (ACD/Labs). ACD/Labs Software, V11.02; (© 1994–2023 ACD/Labs) through CAS SciFinder; ACD/Labs: Toronto, ON, Canada, 1994.
- Acree, W., Jr.; Chickos, J.S. Phase Transition Enthalpy Measurements of Organic and Organometallic Compounds. Sublimation, Vaporization and Fusion Enthalpies From 1880 to 2015. Part 1. C1–C10. J. Phys. Chem. Ref. Data 2016, 45, 033101. [Google Scholar]
- Chickos, J. An update on liquid heat capacity estimations of cyclic organic compounds by group additivity and their application in estimations of complex molecules by synthetic and retrosynthetic analysis. J. Chem. Thermodyn. 2023, 182, 107039. [Google Scholar] [CrossRef]
- Chirico, R.D.; Nguyen, A.; Steele, W.V.; Strube, M.M. Vapor pressure data of n- alkanes revisited. New high precision vapor pressure data on n-decane, n-eicosane and n-octacosane. J. Chem. Eng. Data 1989, 34, 149–156. [Google Scholar] [CrossRef]
Disclaimer/Publisher’s Note: The statements, opinions and data contained in all publications are solely those of the individual author(s) and contributor(s) and not of MDPI and/or the editor(s). MDPI and/or the editor(s) disclaim responsibility for any injury to people or property resulting from any ideas, methods, instructions or products referred to in the content. |
© 2024 by the authors. Licensee MDPI, Basel, Switzerland. This article is an open access article distributed under the terms and conditions of the Creative Commons Attribution (CC BY) license (https://creativecommons.org/licenses/by/4.0/).



