Role of Streptomyces diastaticus and Salicylic Acid in Reducing Drought Stress in Cowpea (Vigna unguiculata L.) Plants
Abstract
1. Introduction
2. Materials and Methods
2.1. Isolation of Drought Tolerant Rhizobacteria
2.2. Drought Tolerance Assessment of Chosen Isolates
2.3. Plant Growth Promotion Traits
2.4. Plant Growth in a Gnotobiotic System
2.5. Morphological, Physio-Biochemical and Molecular Identification of the Selected Isolate
2.6. Pot Experiment
2.7. Measurements
2.7.1. Vegetative and Physiological Parameters
2.7.2. Soil Community
2.7.3. Antioxidant Enzymes
2.7.4. N, P and K in Leaves
2.8. Statistical Analyses
3. Results
3.1. Isolation and Purification of Drought Tolerance Bacteria
3.2. Plant Growth Promotion Traits
3.3. Plant Growth in a Gnotobiotic Nutrient Solution System (Soaking in Bacterial Isolates)
3.4. Plant Growth in a Gnotobiotic Nutrient Solution System (Soaking in Different Levels in SA)
3.5. Morphological, Biochemical Characteristics and Molecular Identification of the Selected Isolate
3.6. Pot Experiment
3.6.1. Growth Characteristics
3.6.2. Soil Community
3.6.3. Physiological Characteristics
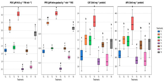
3.6.4. Antioxidant Enzymes
3.6.5. N, P, and K (%)
3.6.6. Analyzing the PCA Biplot
4. Discussion
5. Conclusions
Author Contributions
Funding
Data Availability Statement
Acknowledgments
Conflicts of Interest
Abbreviations
| SA | Salicylic acid |
| PEG6000 | Poly ethylene glycol 6000 |
| PGPR | Plant growth promoting rhizobacteria |
| CFU | Linear dichroism |
| 16 S rRNA | 16S ribosomal ribonucleic acid |
| CAT | Catalase |
| POX | peroxidase |
| PPO | polyphenol oxidase |
| APX | ascorbate peroxidase |
| IAA | Indole acetic acid |
| DMRT | Duncan’s multiple range testing |
References
- Mirzabaev, A.; Kerr, R.B.; Hasegawa, T.; Pradhan, P.; Wreford, A.; von der Pahlen, M.C.T.; Gurney-Smith, H. Severe climate change risks to food security and nutrition. Clim. Risk Manag. 2023, 39, 100473. [Google Scholar] [CrossRef]
- Lahlali, R.; Laasli, S.-E.; Barka, E.A. Plant responses to biotic and abiotic stresses: From cellular to morphological changes—Series II. Agronomy 2025, 15, 229. [Google Scholar] [CrossRef]
- Muhammad, M.; Waheed, A.; Wahab, A.; Majeed, M.; Nazim, M.; Liu, Y.-H.; Li, L.; Li, W.-J. Soil salinity and drought tolerance: An evaluation of plant growth, productivity, microbial diversity, and amelioration strategies. Plant Stress 2024, 11, 100319. [Google Scholar] [CrossRef]
- Khan, A.A.; Wang, Y.-F.; Akbar, R.; Alhoqail, W.A. Mechanistic insights and future perspectives of drought stress management in staple crops. Front. Plant Sci. 2025, 16, 1547452. [Google Scholar] [CrossRef]
- Shabbir, R.; Singhal, R.K.; Mishra, U.N.; Chauhan, J.; Javed, T.; Hussain, S.; Kumar, S.; Anuragi, H.; Lal, D.; Chen, P. Combined abiotic stresses: Challenges and potential for crop improvement. Agronomy 2022, 12, 2795. [Google Scholar] [CrossRef]
- Alam, T.; Jalil, S.; Jilani, G.; Chaudhry, A.N.; Naz, I.; Khan, A.; Yang, X.; Brestic, M.; Milan, S.; El Sabagh, A. Enhancing crop resilience to water stress through iron nanoparticles: A critical review of applications and implications. Plant Stress 2025, 25, 100905. [Google Scholar] [CrossRef]
- Kim, D.K.; Ochar, K.; Iwar, K.; Ha, B.K.; Kim, S.H. Cowpea (Vigna unguiculata L.) production, genetic resources and strategic breeding priorities for sustainable food security: A review. Front. Plant Sci. 2025, 16, 1562142. [Google Scholar] [CrossRef]
- Melo, A.S.; Costa, R.R.; Sá, F.V.; Dias, G.F.; Alencar, R.S.; Viana, P.M.; Peixoto, T.D.; Suassuna, J.F.; Brito, M.E.; Ferraz, R.L.; et al. Modulation of drought-induced stress in cowpea genotypes using exogenous salicylic acid. Plants 2024, 13, 634. [Google Scholar] [CrossRef]
- Sharma, A.; Das, N.; Pandey, P.; Shukla, P. Plant-microbiome responses under drought stress and their metabolite-mediated interactions towards enhanced crop resilience. Curr. Plant Biol. 2025, 3, 100513. [Google Scholar] [CrossRef]
- Tochihara-Tanaka, M.; Kai, S.; Murakami, N.; Murakami, S.; Miura, N.; Komai, R.; Tatsumi, Y.; Takahashi, M.; Hamaoka, N.; Iwaya-Inoue, M.; et al. Drought tolerance of cowpea is associated with rapid abscisic acid biosynthesis via VuWRKY57 in root. AoB Plants 2025, 17, plaf038. [Google Scholar] [CrossRef]
- Thiombiano, C.; Lado, A.; Coulibaly, S.; Tukur, T.; Bello, T.; Serme, I.; Gnankambary, K.; Sawadogo, N.; Ouedraogo, M.H.; De La Salle, J.B.; et al. Assessment of the Effects of Drought Stress at Seedling and Flowering Stages of Cowpea Development on Yield and Yield Attributes. J. Agric. Environ. Sci. 2023, 12, 68–80. [Google Scholar]
- Loushigam, G.; Shanmugam, A. Modifications to functional and biological properties of proteins of cowpea pulse crop by ultrasound-assisted extraction. Ultrason. Sonochem. 2023, 97, 106448. [Google Scholar] [CrossRef]
- Chieb, M.; Gachomo, E.W. The role of plant growth promoting rhizobacteria in plant drought stress responses. BMC Plant Biol. 2023, 23, 407. [Google Scholar] [CrossRef]
- Agbodjato, N.A.; Babalola, O.O. Promoting sustainable agriculture by exploiting plant growth-promoting rhizobacteria (PGPR) to improve maize and cowpea crops. PeerJ 2024, 12, e16836. [Google Scholar] [CrossRef]
- Khawula, S.; Daniel, A.I.; Nyawo, N.; Ndlazi, K.; Sibiya, S.; Ntshalintshali, S.; Nzuza, G.; Gokul, A.; Keyster, M.; Klein, A.; et al. Optimizing plant resilience with growth-promoting Rhizobacteria under abiotic and biotic stress conditions. Plant Stress 2025, 9, 100949. [Google Scholar] [CrossRef]
- Ali, S.; Tahir, S.; Hassan, S.S.; Lu, M.; Wang, X.; Quyen, L.T.; Zhang, W.; Chen, S. The Role of Phytohormones in Mediating Drought Stress Responses in Populus Species. Int. J. Mol. Sci. 2025, 26, 3884. [Google Scholar] [CrossRef] [PubMed]
- Adegboye, M.F.; Babalola, O.O. Actinomycetes: A yet inexhaustive source of bioactive secondary metabolites. Microb. Pathog. Strateg. Combat. Them Sci. Technol. Educ. 2013, 4, 786–795. [Google Scholar]
- Khantsi, M.; Adegboye, M.F.; Babalola, O.O. 1-Aminocyclopropane-1-carboxylate deaminase (ACCd) activity as a marker for identifying plant-growth promoting rhizomicrobes in cultivated soil of South Africa. Asia Life Sci. 2013, 1, 199–211. [Google Scholar]
- Ndeddy Aka, R.J.; Babalola, O.O. Identification and characterization of Cr-, Cd-, and Ni-tolerant bacteria isolated from mine tailings. Bioremediation J. 2017, 21, 1–19. [Google Scholar] [CrossRef]
- Pishchik, V.N.; Chizhevskaya, E.P.; Chebotar, V.K.; Mirskaya, G.V.; Khomyakov, Y.V.; Vertebny, V.E.; Kononchuk, P.Y.; Kudryavtcev, D.V.; Bortsova, O.A.; Lapenko, N.G.; et al. PGPB Isolated from Drought-Tolerant Plants Help Wheat Plants to Overcome Osmotic Stress. Plants 2024, 13, 3381. [Google Scholar] [CrossRef] [PubMed]
- Shreshtha, K.; Prakash, A.; Pandey, P.K.; Pal, A.K.; Singh, J.; Tripathi, P.; Mitra, D.; Jaiswal, D.K.; de Los Santos-Villalobos, S.; Tripathi, V. Isolation and characterization of plant growth promoting rhizobacteria from cacti root under drought condition. Curr. Res. Microb. Sci. 2025, 8, 100319. [Google Scholar] [CrossRef] [PubMed]
- Ngamcharungchit, C.; Chaimusik, N.; Panbangred, W.; Euanorasetr, J.; Intra, B. Bioactive metabolites from terrestrial and marine actinomycetes. Molecules 2023, 28, 5915. [Google Scholar] [CrossRef]
- Kariyanna, B.; Panda, S. Unveiling the advanced application of actinomycetes in biotic stress management for sustainable agriculture. Discov. Life 2025, 55, 30. [Google Scholar] [CrossRef]
- Tayyab, N.; Naz, R.; Yasmin, H.; Nosheen, A.; Keyani, R.; Sajjad, M.; Hassan, M.N.; Roberts, T.H. Combined seed and foliar pre-treatments with exogenous methyl jasmonate and salicylic acid mitigate drought-induced stress in maize. PLoS ONE 2020, 15, e0232269. [Google Scholar] [CrossRef]
- Shemi, R.; Wang, R.; Gheith, E.S.; Hussain, H.A.; Hussain, S.; Irfan, M.; Cholidah, L.; Zhang, K.; Zhang, S.; Wang, L. Effects of salicylic acid, zinc and glycine betaine on morpho-physiological growth and yield of maize under drought stress. Sci. Rep. 2021, 11, 3195. [Google Scholar] [CrossRef] [PubMed]
- Khalvandi, M.; Siosemardeh, A.; Roohi, E.; Keramati, S. Salicylic acid alleviated the effect of drought stress on photosynthetic characteristics and leaf protein pattern in winter wheat. Heliyon 2021, 7, e05908. [Google Scholar] [CrossRef]
- Azmat, A.; Yasmin, H.; Hassan, M.N.; Nosheen, A.; Naz, R.; Sajjad, M.; Ilyas, N.; Akhtar, M.N. Co-application of bio-fertilizer and salicylic acid improves growth, photosynthetic pigments and stress tolerance in wheat under drought stress. PeerJ 2020, 8, e9960. [Google Scholar] [CrossRef]
- Ali, Q.; Ahmad, M.; Kamran, M.; Ashraf, S.; Shabaan, M.; Babar, B.H.; Zulfiqar, U.; Haider, F.U.; Ali, M.A.; Elshikh, M.S. Synergistic effects of Rhizobacteria and salicylic acid on maize salt-stress tolerance. Plants 2023, 12, 2519. [Google Scholar] [CrossRef]
- Michel, B.E.; Kaufmann, M.R. The osmotic potential of polyethylene glycol 6000. Plant Physiol. 1973, 51, 914–916. [Google Scholar] [CrossRef]
- Allen, O.N. Experiments in Soil Bacteriology; Burgess Publishing Co.: Minneapolis, MN, USA, 1950. [Google Scholar]
- Ivanova, E.G.; Doronina, N.V.; Trotsenko, Y.A. Aerobic Methylobacteria Are Capable of Synthesizing Auxins. Microbiology 2001, 70, 452–458. [Google Scholar] [CrossRef] [PubMed]
- Olsen, S.R.; Sommers, L.E. Phosphorus. In Methods of Soil Analysis, Part 2, 2nd ed.; Agronomy Monograph Number 9; Page, A.L., Miller, R.H., Keeney, D.R., Eds.; ASA and SSSA: Madison, WI, USA, 1982; pp. 403–430. [Google Scholar]
- Cappuccino, J.G.; Sherman, N. Biochemical activities of microorganisms. In Microbiology, A Laboratory Manual; The Benjamin/Cummings Publishing Co.: Menlo Park, CA, USA, 1992; Volume 76. [Google Scholar]
- Simons, M.; van der Bij, A.J.; Brand, I.; de Weger, L.A.; Wijffelman, C.A.; Lugtenberg, B. Gnotobiotic system for studying rhizosphere colonization by plant growth-promoting Pseudomonas bacteria. Mol. Plant-Microbe Interact. 1996, 9, 600–607. [Google Scholar] [CrossRef] [PubMed]
- Skradleta, V.; Gaudinova, A.; Necova, M.; Hydrakova, A. Behaviour of nodulated Pisum sativum L. under short term nitrate stress conditions. Biol. Plant 1984, 26, 364. [Google Scholar] [CrossRef]
- El-Nahrawy, S.; Elhawat, N.; Alshaal, T. Biochemical traits of Bacillus subtilis MF497446: Its implications on the development of cowpea under cadmium stress and ensuring food safety. Ecotoxicol. Environ. Saf. 2019, 180, 384–395. [Google Scholar] [CrossRef] [PubMed]
- Barrs, H.D.; Weatherley, P.E. A re-examination of the relative turgidity technique for estimating water deficits in leaves. Aust. J. Biol. Sci. 1962, 15, 413–428. [Google Scholar] [CrossRef]
- Somasegaran, P.; Hoben, H.J. Handbook for Rhizobia. In Methods in Legume—Rhizobium Technology; Springer: Berlin/Heidelberg, Germany, 1994. [Google Scholar]
- Holt, J.G.; Krieg, N.R.; Sneath, P.H.A.; Staley, J.T.; Willams, S.T. Bergeys Manual of Determinative Bacteriology; Williams and Wilkins: Baltimore, MD, USA, 1994. [Google Scholar]
- Lichtenthaler, H.K. Chlorophylls and carotenoids: Pigments of photosynthetic biomembranes. In Methods in Enzymology; Academic Press: San Diego, CA, USA, 1987; Volume 148, pp. 350–382. [Google Scholar]
- Hendrix, D.L. Rapid extraction and analysis of nonstructural carbohydrates in plant tissues. Crop Sci. 1993, 33, 1306–1311. [Google Scholar] [CrossRef]
- Bates, L.S.; Waldren, R.P.; Teare, I.D. Rapid determination of free proline for water-stress studies. Plant Soil 1973, 39, 205–207. [Google Scholar] [CrossRef]
- Allen, O.N. Experiments in Soil Bacteriology, 2nd ed.; University of Wisconsin: Madison, WI, USA, 1959. [Google Scholar]
- Srivastava, S.K. Peroxidase and polyphenol-oxidase in Brassica juncea plants infected with Macrophomina phaseolina (Tassi): Goid of and their implication in disease resistance. Phytopathology 1987, 120, 249–254. [Google Scholar] [CrossRef]
- Matta, A.I.; Dimond, A.F. Symptoms of Fusarium wilt in relation to quantity of fungus and enzyme activity in tomato stems. Phytopathology 1963, 53, 574–578. [Google Scholar]
- Rao, M.V.; Paliyath, C.; Ormrod, D.P.; Murr, D.P.; Watkins, C.B. Influence of salicylic acid on H2O2 production, oxidative stress and H2O2-metabolizing enzymes: Salicylic acidmediated oxidative damage requires H2O2. Plant Physiol. 1997, 115, 137–149. [Google Scholar] [CrossRef]
- Nakano, Y.; Asada, K. Hydrogen peroxide is scavenged by ascorbate specific peroxidase in spinach chloroplasts. Plant Cell Physiol. 1981, 5, 867–880. [Google Scholar] [CrossRef]
- Page, A.L.; Miller, R.H.; Keeny, D.R. Methods of Soil Analysis, Part II, Agronomy Monographs ASA and SSSA, 2nd ed.; Madison Book Company: Madison, WI, USA, 1982. [Google Scholar]
- Murphy, J.; Riley, J.P. A modified single solution method for the determination of phosphate in natural waters. Anal. Chim. Acta 1962, 27, 31–36. [Google Scholar] [CrossRef]
- USDA. Soil Survey Laboratory Methods Manual Soil Survey Investigation Report, No. 42, Version 4; USDA-NRCS: Lincoln, NE, USA, 2004. [Google Scholar]
- Duncan, D.B. Multiple range and multiple F tests. Biometrics 1955, 11, 1–42. [Google Scholar] [CrossRef]
- Nonomura, Y. Fine structure of the thick filament in molluscan catch muscle. J. Mol. Biol. 1974, 2, 445–455. [Google Scholar] [CrossRef]
- Murray, R.G.; Holt, J.G. The history of Bergey’s Manual. In Bergey’s Manual® of Systematic Bacteriology; Springer: Boston, MA, USA, 2005; pp. 1–14. [Google Scholar]
- Bardi, L.; Malusà, E. Drought and nutritional stresses in plant: Alleviating role of rhizospheric microorganisms. Abiotic Stress New Res. 2012, 1–57. Available online: https://www.researchgate.net/publication/260902565_Drought_and_nutritional_stresses_in_plant_Alleviating_role_of_rhizospheric_microorganisms (accessed on 15 November 2025).
- El-Saadony, M.T.; Saad, A.M.; Mohammed, D.M.; Fahmy, M.A.; Elesawi, I.E.; Ahmed, A.E.; Algopishi, U.B.; Elrys, A.S.; Desoky, E.S.M.; Mosa, W.F.; et al. Drought-tolerant plant growth-promoting rhizobacteria alleviate drought stress and enhance soil health for sustainable agriculture: A comprehensive review. Plant Stress 2024, 14, 100632. [Google Scholar] [CrossRef]
- Jing, D.; Liu, F.; Li, S.; Dong, Y. Synergistic effects of SAP and PGPR on physiological characteristics of leaves and soil enzyme activities in the rhizosphere of poplar seedlings under drought stress. Front. Plant Sci. 2024, 15, 1485362. [Google Scholar] [CrossRef] [PubMed]
- Imhoff, J.F.; Rahn, T.; Künzel, S.; Keller, A.; Neulinger, S.C. Osmotic adaptation and compatible solute biosynthesis of phototrophic bacteria as revealed from genome analyses. Microorganisms 2020, 9, 46. [Google Scholar] [CrossRef]
- Goszcz, A.; Furtak, K.; Stasiuk, R.; Wójtowicz, J.; Musiałowski, M.; Schiavon, M.; Dębiec-Andrzejewska, K. Bacterial osmoprotectants-a way to survive in saline conditions and potential crop allies. FEMS Microbiol. Rev. 2025, 16, fuaf020. [Google Scholar] [CrossRef] [PubMed]
- Mishra, N.; Jiang, C.; Chen, L.; Paul, A.; Chatterjee, A.; Shen, G. Achieving abiotic stress tolerance in plants through antioxidative defense mechanisms. Front. Plant Sci. 2023, 14, 1110622. [Google Scholar] [CrossRef] [PubMed]
- Timofeeva, A.M.; Galyamova, M.R.; Sedykh, S.E. How do plant growth-promoting bacteria use plant hormones to regulate stress reactions? Plants 2024, 13, 2371. [Google Scholar] [CrossRef]
- Etesami, H.; Glick, B.R. Bacterial indole-3-acetic acid: A key regulator for plant growth, plant-microbe interactions, and agricultural adaptive resilience. Microbiol. Res. 2024, 281, 127602. [Google Scholar] [CrossRef]
- Lata, D.L.; Abdie, O.; Rezene, Y. IAA-producing bacteria from the rhizosphere of chickpea (Cicer arietinum L.): Isolation, characterization, and their effects on plant growth performance. Heliyon 2024, 10, e39702. [Google Scholar] [CrossRef]
- Chukwuneme, C.F.; Babalola, O.O.; Kutu, F.R.; Ojuederie, O.B. Characterization of actinomycetes isolates for plant growth promoting traits and their effects on drought tolerance in maize. J. Plant Interact. 2020, 15, 93–105. [Google Scholar] [CrossRef]
- Ughamba, K.T.; Ndukwe, J.K.; Lidbury, I.D.; Nnaji, N.D.; Eze, C.N.; Aduba, C.C.; Groenhof, S.; Chukwu, K.O.; Anyanwu, C.U.; Nwaiwu, O.; et al. Trends in the application of phosphate-solubilizing microbes as biofertilizers: Implications for soil improvement. Soil Syst. 2025, 9, 6. [Google Scholar] [CrossRef]
- Kouas, S.; Djedidi, S.; Debez, I.B.; Sbissi, I.; Alyami, N.M.; Hirsch, A.M. Halotolerant phosphate solubilizing bacteria isolated from arid area in Tunisia improve P status and photosynthetic activity of cultivated barley under P shortage. Heliyon 2024, 10, e38653. [Google Scholar] [CrossRef] [PubMed]
- Onyia, C.; Obih, E.C.; Bassa, J.S.; Chinenyenwa, C.F.; Engwa Azeh, A.G. Evolutionary relationship of four major ethnic populations in Nigeria based on Alu PV92 insertion polymorphism. Int. J. Hum. Genet. 2020, 2, 47–54. [Google Scholar]
- Ferreira, J.D.; Vidal, M.S.; Baldani, J.I. Exploring ACC deaminase-producing bacteria for drought stress mitigation in Brachiaria. Front. Plant Sci. 2025, 16, 1607697. [Google Scholar] [CrossRef] [PubMed]
- Al-Turki, A.; Murali, M.; Omar, A.F.; Rehan, M.; Sayyed, R.Z. Recent advances in PGPR-mediated resilience toward interactive effects of drought and salt stress in plants. Front. Microbiol. 2023, 14, 1214845. [Google Scholar] [CrossRef] [PubMed]
- Farhan, M.; Sathish, M.; Kiran, R.; Mushtaq, A.; Baazeem, A.; Hasnain, A.; Hakim, F.; Hasan Naqvi, S.A.; Mubeen, M.; Iftikhar, Y.; et al. Plant Nitrogen Metabolism: Balancing Resilience to Nutritional Stress and Abiotic Challenges. Phyton-Int. J. Exp. Bot. 2024, 93, 581–609. [Google Scholar] [CrossRef]
- Khoso, M.A.; Wagan, S.; Alam, I.; Hussain, A.; Ali, Q.; Saha, S.; Poudel, T.R.; Manghwar, H.; Liu, F. Impact of plant growth-promoting rhizobacteria (PGPR) on plant nutrition and root characteristics: Current perspective. Plant Stress 2024, 11, 100341. [Google Scholar] [CrossRef]
- Ansabayeva, A.; Makhambetov, M.; Rebouh, N.Y.; Abdelkader, M.; Saudy, H.S.; Hassan, K.M.; Nasser, M.A.; Ali, M.A.; Ebrahim, M. Plant growth-promoting microbes for resilient farming systems: Mitigating environmental stressors and boosting crops productivity—A review. Horticulturae 2025, 11, 260. [Google Scholar] [CrossRef]
- Das, D.; Sharma, P.L.; Paul, P.; Baruah, N.R.; Choudhury, J.; Begum, T.; Karmakar, R.; Khan, T.; Kalita, J. Harnessing endophytes: Innovative strategies for sustainable agricultural practices. Discov. Bact. 2025, 2, 1. [Google Scholar] [CrossRef]
- Riyazuddin, R.; Nisha, N.; Gupta, R. Phytonanotechnology in the mitigation of biotic and abiotic stresses in plants. Plant Nano Biol. 2025, 12, 100173. [Google Scholar] [CrossRef]
- Ben Youssef, R.; Jelali, N.; Acosta Motos, J.R.; Abdelly, C.; Albacete, A. Salicylic acid seed priming: A key frontier in conferring salt stress tolerance in barley seed germination and seedling growth. Agronomy 2025, 15, 154. [Google Scholar] [CrossRef]
- Alam, P.; Balawi, T.A.; Faizan, M. Salicylic acid’s impact on growth, photosynthesis, and antioxidant enzyme activity of Triticum aestivum when exposed to salt. Molecules 2022, 28, 100. [Google Scholar] [CrossRef]
- Franco-Navarro, J.D.; Padilla, Y.G.; Álvarez, S.; Calatayud, Á.; Colmenero-Flores, J.M.; Gómez-Bellot, M.J.; Hernández, J.A.; Martínez-Alcalá, I.; Penella, C.; Pérez-Pérez, J.G.; et al. Advancements in Water-Saving Strategies and Crop Adaptation to Drought: A Comprehensive Review. Physiol. Plant. 2025, 177, e70332. [Google Scholar] [CrossRef]
- Dere, S. Mitigating the Adverse Effects of Salt Stress on Pepper Plants Through Arbuscular mycorrhizal Fungi (AMF) and Beneficial Bacterial (PGPR) Inoculation. Horticulturae 2024, 10, 1150. [Google Scholar] [CrossRef]
- Sorty, A.M.; Kudjordjie, E.N.; Meena, K.K.; Nicolaisen, M.; Stougaard, P. Plant Root Exudates: Advances in belowground signaling networks, resilience, and ecosystem functioning for sustainable agriculture. Plant Stress 2025, 26, 100907. [Google Scholar] [CrossRef]
- Edelman, L.; Alahmad, A.; Castel, L.; Marquet, S.; Bucaille, F.; Laval, K.; Trinsoutrot-Gattin, I.; Thioye, B. Improving drought resilience in maize through a soil-applied prebiotic: Effects on plant physiology and rhizosphere microbial function. Plant Stress 2025, 8, 101081. [Google Scholar] [CrossRef]
- Hafez, E.; Omara, A.E.D.; Ahmed, A. The coupling effects of plant growth promoting rhizobacteria and salicylic acid on physiological modifications, yield traits, and productivity of wheat under water deficient conditions. Agronomy 2019, 9, 524. [Google Scholar] [CrossRef]
- Khaskheli, M.A.; Nizamani, M.M.; Tarafder, E.; Das, D.; Jatoi, G.H.; Leghari, U.A.; Laghari, A.H.; Khaskheli, R.A.; Awais, M.; Wang, Y. Potential of soil associated plant growth-promoting microbes in improving the abiotic-stress resilience of agricultural crops. In Role of Antioxidants in Abiotic Stress Management Biostimulants and Protective Biochemical Agents; Academic Press: Cambridge, MA, USA, 2025; pp. 333–362. [Google Scholar]
- Tanveer, S.; Akhtar, N.; Ilyas, N.; Sayyed, R.Z.; Fitriatin, B.N.; Perveen, K.; Bukhari, N.A. Interactive effects of Pseudomonas putida and salicylic acid for mitigating drought tolerance in canola (Brassica napus L.). Heliyon 2023, 9, e14193. [Google Scholar] [CrossRef] [PubMed]
- Asghari, B.; Khademian, R.; Sedaghati, B. Plant growth promoting rhizobacteria (PGPR) confer drought resistance and stimulate biosynthesis of secondary metabolites in pennyroyal (Mentha pulegium L.) under water shortage condition. Sci. Hortic. 2020, 263, 109132. [Google Scholar] [CrossRef]
- Abdel Latef, A.A.; Abu Alhmad, M.F.; Kordrostami, M.; Abo-Baker, A.B.; Zakir, A. Inoculation with Azospirillum lipoferum or Azotobacter chroococcum reinforces maize growth by improving physiological activities under saline conditions. J. Plant Growth Regul. 2020, 39, 1293–1306. [Google Scholar] [CrossRef]
- Checchio, M.V.; de Cássia Alves, R.; de Oliveira, K.R.; Moro, G.V.; Santos, D.M.; Gratão, P.L. Enhancement of salt tolerance in corn using Azospirillum brasilense: An approach on antioxidant systems. J. Plant Res. 2021, 134, 1279–1289. [Google Scholar] [CrossRef] [PubMed]
- Mekureyaw, M.F.; Beierholm, A.E.; Nybroe, O.; Roitsch, T.G. Inoculation of tomato (Solanum lycopersicum) roots with growth promoting Pseudomonas strains induces distinct local and systemic metabolic biosignatures. Physiol. Mol. Plant Pathol. 2022, 117, 101757. [Google Scholar] [CrossRef]
- Ikram, M.; Khalid, B.; Batool, M.; Ullah, M.; Zitong, J.; Rauf, A.; Rao, M.J.; Rehman, H.U.; Kuai, J.; Xu, Z.; et al. Secondary metabolites as biostimulants in salt stressed plants: Mechanisms of oxidative defense and signal transduction. Plant Stress 2025, 13, 100891. [Google Scholar] [CrossRef]









| Isolates | PEG6000 Levels (%) | FW (g Plant−1) | DW (g Plant−1) | Root Colonization (CFU × 105 g−1 Root) | RWC (%) |
|---|---|---|---|---|---|
| AO4 | 0 | 2.10 ± 0.22 h | 0.36 ± 0.04 g | 13.67 ± 1.25 gh | 74.00 ± 2.18 h |
| 5 | 2.40 ± 0.37 fg | 0.41 ± 0.07 ef | 16.67 ± 1.45 ef | 75.28 ± 2.10 gh | |
| 10 | 2.73 ± 0.31 d | 0.47 ± 0.07 bc | 20.00 ± 1.11 c | 76.42 ± 2.27 fg | |
| 15 | 3.00 ± 0.33 c | 0.52 ± 0.05 a | 23.00 ± 1.56 b | 79.55 ± 2.11 cd | |
| 20 | 3.40 ± 0.27 ab | 0.48 ± 0.09 ab | 26.33 ± 1.88 a | 83.50 ± 2.23 ab | |
| AO7 | 0 | 2.33 ± 0.25 fg | 0.35 ± 0.07 g | 11.67 ± 1.09 i | 75.33 ± 2.09 gh |
| 5 | 2.60 ± 0.19 de | 0.39 ± 0.04 f | 13.00 ± 1.23 hi | 74.67 ± 1.99 h | |
| 10 | 3.00 ± 0.31 c | 0.45 ± 0.09 cd | 15.00 ± 1.65 fg | 77.33 ± 2.58 ef | |
| 15 | 3.30 ± 0.29 b | 0.50 ± 0.07 ab | 18.00 ± 1.98 de | 80.67 ± 2.13 c | |
| 20 | 3.53 ± 0.26 a | 0.50 ± 0.08 ab | 23.00 ± 1.87 b | 84.57 ± 2.87 a | |
| AO12 | 0 | 1.95 ± 0.27 h | 0.35 ± 0.08 g | 11.33 ± 1.05 i | 72.33 ± 2.44 i |
| 5 | 2.30 ± 0.36 g | 0.41 ± 0.07 ef | 13.00 ± 1.19 hi | 73.67 ± 2.65 hi | |
| 10 | 2.50 ± 0.32 ef | 0.45 ± 0.06 cd | 15.00 ± 1.17 fg | 75.14 ± 2.19 gh | |
| 15 | 2.73 ± 0.25 d | 0.49 ± 0.04 ab | 19.00 ± 1.11 cd | 78.33 ± 2.46 de | |
| 20 | 3.10 ± 0.26 h | 0.44 ± 0.05 de | 23.00 ± 1.87 b | 82.67 ± 2.18 b |
| SA Levels (mM) | PEG6000 Levels (%) | FW (g Plant−1) | DW (g Plant−1) | RWC (%) |
|---|---|---|---|---|
| 0.5 | 0 | 1.55 ± 0.17 g | 0.31 ± 0.06 h | 74.17 ± 2.98 h |
| 5 | 1.77 ± 0.11 f | 0.35 ±0.04 fg | 75.63 ± 2.28 g | |
| 10 | 2.00 ± 0.15 e | 0.40 ± 0.09 d | 77.19 ± 2.87 f | |
| 15 | 2.30 ± 0.19 d | 0.38 ± 0.05 de | 78.71 ± 2.11 e | |
| 20 | 2.60 ± 0.24 bc | 0.46 ± 0.09 b | 82.14 ± 2.98 c | |
| 1.0 | 0 | 1.50 ± 0.20 g | 0.27 ± 0.02 i | 75.27 ± 2.28 gh |
| 5 | 1.80 ± 0.11 f | 0.33 ± 0.09 gh | 77.15 ± 2.19 f | |
| 10 | 2.03 ± 0.16 e | 0.37 ± 0.05 ef | 78.68 ± 2.39 e | |
| 15 | 2.33 ± 0.23 d | 0.37 ± 0.07 ef | 80.57 ± 2.36 d | |
| 20 | 2.70 ± 0.20 b | 0.42 ± 0.07 c | 83.70 ± 2.80 b | |
| 2.0 | 0 | 1.90 ± 0.21 ef | 0.33 ± 0.02 h | 77.20 ± 2.25 f |
| 5 | 2.20 ± 0.19 d | 0.38 ± 0.06 de | 78.65 ± 2.15 e | |
| 10 | 2.50 ± 0.17 c | 0.43 ± 0.03 c | 80.04 ± 2.29 d | |
| 15 | 2.93 ± 0.21 a | 0.43 ± 0.04 c | 82.41 ± 2.31 c | |
| 20 | 3.07 ± 0.23 a | 0.51 ± 0.01 a | 85.12 ± 2.38 a |
| Treatments | FW (g Plant−1) | DM (g Plant−1) | SL (cm Plant−1) | RL (cm Plant−1) |
|---|---|---|---|---|
| T1 | 59.21 ± 2.11 c | 11.30 ± 0.87 c | 21.00 ± 1.01 c | 9.92 ± 0.76 c |
| T2 | 89.28 ± 2.68 b | 17.04 ± 0.98 b | 26.77 ± 0.94 b | 12.70 ± 0.93 b |
| T3 | 62.93 ± 2.09 c | 11.82 ± 0.65 c | 21.69 ± 1.09 c | 10.35 ± 0.87 c |
| T4 | 91.23 ± 1.97 a | 19.81 ± 0.93 a | 29.54 ± 0.77 a | 14.03 ± 0.98 a |
| T5 | 36.21 ± 1.34 d | 6.82 ± 0.86 d | 16.56 ± 1.02 d | 7.87 ± 0.36 d |
| T6 | 59.57 ± 1.78 c | 11.14 ± 0.76 c | 21.01 ± 0.96 c | 9.95 ± 0.87 c |
| T7 | 40.21 ± 1.31 d | 7.02 ± 0.79 d | 17.26 ± 1.02 d | 8.47 ± 0.29 d |
| T8 | 84.93 ± 2.01 b | 15.63 ± 0.94 b | 25.33 ± 1.12 b | 12.11 ± 0.93 b |
| LSD 0.05 | 9.05 | 1.93 | 1.83 | 0.93 |
Disclaimer/Publisher’s Note: The statements, opinions and data contained in all publications are solely those of the individual author(s) and contributor(s) and not of MDPI and/or the editor(s). MDPI and/or the editor(s) disclaim responsibility for any injury to people or property resulting from any ideas, methods, instructions or products referred to in the content. |
© 2025 by the authors. Licensee MDPI, Basel, Switzerland. This article is an open access article distributed under the terms and conditions of the Creative Commons Attribution (CC BY) license (https://creativecommons.org/licenses/by/4.0/).
Share and Cite
Omara, A.E.-D.; Ali, D.F.I.; Doha, N.M.E.; El-Nahrawy, S. Role of Streptomyces diastaticus and Salicylic Acid in Reducing Drought Stress in Cowpea (Vigna unguiculata L.) Plants. Appl. Microbiol. 2025, 5, 150. https://doi.org/10.3390/applmicrobiol5040150
Omara AE-D, Ali DFI, Doha NME, El-Nahrawy S. Role of Streptomyces diastaticus and Salicylic Acid in Reducing Drought Stress in Cowpea (Vigna unguiculata L.) Plants. Applied Microbiology. 2025; 5(4):150. https://doi.org/10.3390/applmicrobiol5040150
Chicago/Turabian StyleOmara, Alaa El-Dein, Dina Fathi Ismail Ali, Naeem M. E. Doha, and Sahar El-Nahrawy. 2025. "Role of Streptomyces diastaticus and Salicylic Acid in Reducing Drought Stress in Cowpea (Vigna unguiculata L.) Plants" Applied Microbiology 5, no. 4: 150. https://doi.org/10.3390/applmicrobiol5040150
APA StyleOmara, A. E.-D., Ali, D. F. I., Doha, N. M. E., & El-Nahrawy, S. (2025). Role of Streptomyces diastaticus and Salicylic Acid in Reducing Drought Stress in Cowpea (Vigna unguiculata L.) Plants. Applied Microbiology, 5(4), 150. https://doi.org/10.3390/applmicrobiol5040150

