You are currently viewing a new version of our website. To view the old version click .
Textiles
  • This is an early access version, the complete PDF, HTML, and XML versions will be available soon.
  • Article
  • Open Access

15 November 2025

From Comfort to Protection: Quantitative Comparison of Fit and Air Permeability in Textile Masks and Respirators

and
1
Department of Hydroaerodynamics and Hydraulic Machines, Technical University of Sofia, 1000 Sofia, Bulgaria
2
Miracle Centre of Competence Lab “Intelligent Mechatronic Solutions in Textiles and Clothing” (MeTex), Technical University of Sofia, 1000 Sofia, Bulgaria
3
Centre for Research and Design in Human Comfort, Energy and Environment (CERDECEN), Technical University of Sofia, 1000 Sofia, Bulgaria
*
Author to whom correspondence should be addressed.
Textiles2025, 5(4), 59;https://doi.org/10.3390/textiles5040059 
(registering DOI)
This article belongs to the Special Issue Advances of Medical Textiles: 2nd Edition

Abstract

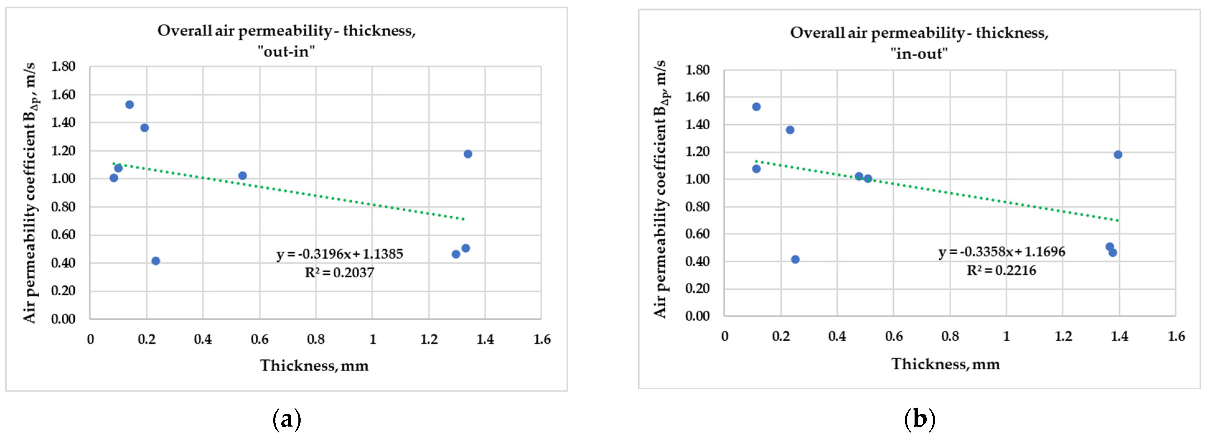
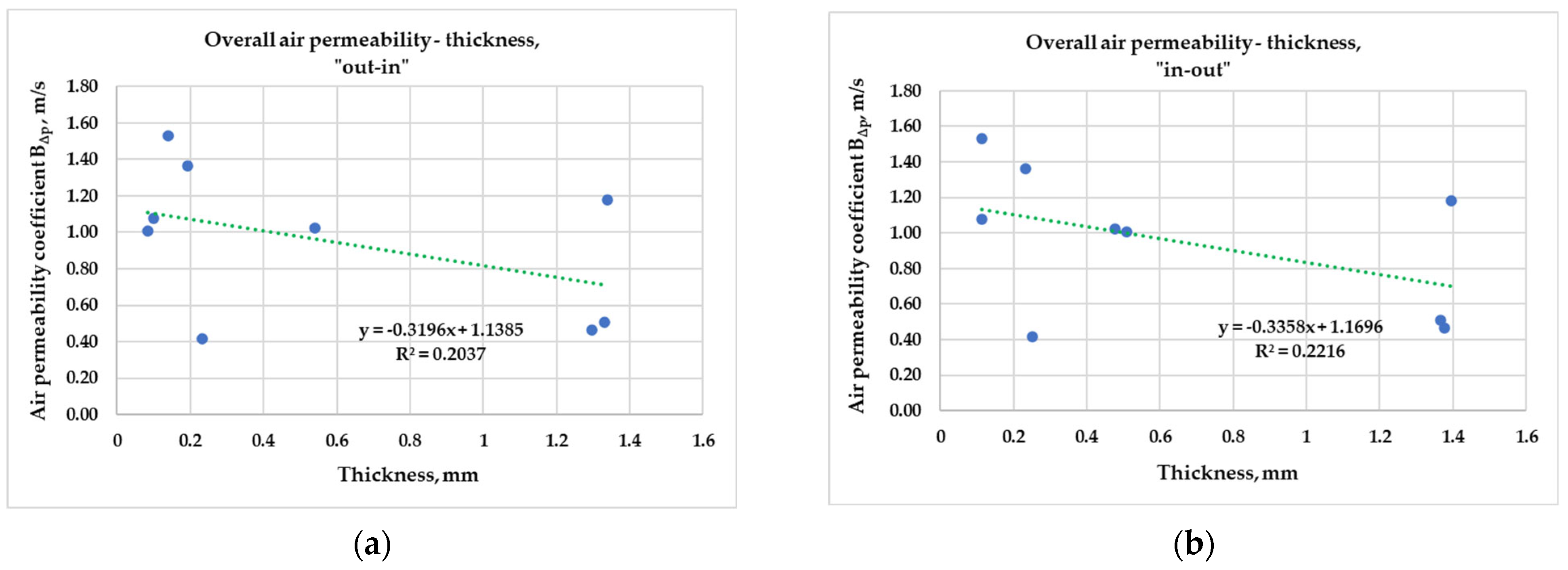
The present study examines the influence of material and structural parameters on the fit and air permeability of textile face masks, surgical masks, and certified respirators. Nine samples were tested using the AccuFIT 9000 for quantitative fit factor (FF) measurements and the FX-3340 MinAir for air permeability in both airflow directions. Results show that increased thickness moderately improves FF, supporting better facial sealing. However, mass per unit area and bulk density show weak or no correlation with FF. Air permeability correlates weakly and negatively with FF, especially during exhalation, but remains essential for wearer comfort. Notably, some textile masks outperformed certified respirators in terms of fit, highlighting the importance of design, elasticity, and edge sealing. The findings suggest that effective mask performance depends on more than filtration materials or certification levels. A balanced design combining breathability, structural optimisation, and ergonomic fit is essential for both comfort and protection. These insights can guide the development of more effective reusable and disposable face coverings, particularly in aerosol-rich environments.

Article Metrics

Citations

Article Access Statistics

Multiple requests from the same IP address are counted as one view.