Sign in to use this feature.

Years

Between: -

Subjects

remove_circle_outline
remove_circle_outline
remove_circle_outline
remove_circle_outline
remove_circle_outline
remove_circle_outline
remove_circle_outline
remove_circle_outline
remove_circle_outline

Journals

remove_circle_outline
remove_circle_outline
remove_circle_outline
remove_circle_outline
remove_circle_outline
remove_circle_outline
remove_circle_outline
remove_circle_outline
remove_circle_outline
remove_circle_outline
remove_circle_outline
remove_circle_outline
remove_circle_outline
remove_circle_outline
remove_circle_outline
remove_circle_outline
remove_circle_outline
remove_circle_outline
remove_circle_outline
remove_circle_outline
remove_circle_outline
remove_circle_outline
remove_circle_outline
remove_circle_outline
remove_circle_outline
remove_circle_outline
remove_circle_outline

Article Types

Countries / Regions

remove_circle_outline
remove_circle_outline
remove_circle_outline
remove_circle_outline
remove_circle_outline
remove_circle_outline

Search Results (1,090)

Search Parameters:
Keywords = face mask

Order results
Result details
Results per page
Select all
Export citation of selected articles as:
20 pages, 5162 KB  
Article
Toward Intelligent Emergency Triage: A Feasibility Study of Real-Time Facial Expression-Based Chest Pain Intensity Assessment
by Yu-Tse Tsan, Rita Wiryasaputra, Yi-Jun Hsieh, Qi-Xiang Zhang, Hsing-Hung Liu and Chao-Tung Yang
Diagnostics 2026, 16(9), 1346; https://doi.org/10.3390/diagnostics16091346 - 29 Apr 2026
Abstract
Objectives: Ensuring an effective triage to treat patients with chest pain in emergency settings is critical, but it can often be challenging, particularly when patients wear face masks or are unable to clearly communicate their pain. To address this limitation, this study [...] Read more.
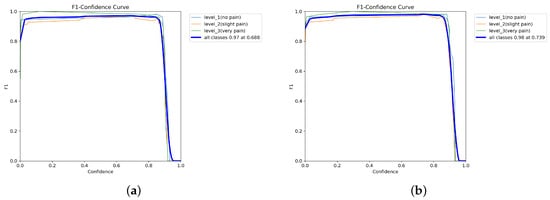
Objectives: Ensuring an effective triage to treat patients with chest pain in emergency settings is critical, but it can often be challenging, particularly when patients wear face masks or are unable to clearly communicate their pain. To address this limitation, this study presents a real-time facial expression–based system for chest pain intensity assessment as an initial step toward realizing intelligent emergency triage. The proposed system integrates deep learning with real-time video analysis to provide objective and rapid pain level recognition. Methods: A YOLOv12-based facial expression recognition model was trained using annotated facial images of patients experiencing chest pain, and the model categorizes pain into three intensity levels: no pain, slight pain, and moderate to severe pain. Multiple YOLOv12 variants were systematically evaluated to identify an optimal configuration for potential clinical use. The developed system supports two operational modes: real-time recognition, which analyzes continuous video streams and delivers immediate visual feedback through an interactive interface, and a manual upload mode for offline video analysis, review of results, and playback. Additional usability features, including error prompts and data reset functions, were implemented to enhance system stability and user experience. Results: Among the evaluated models, the YOLOv12-L model achieved the best performance with an accuracy of 98.81%, sensitivity of 98.76%, specificity of 98.79%, precision of 98.04%, and an F1-score of 98.41%, demonstrating stable and accurate recognition. The proposed system is designed to support the triage process of assessing patients with chest pain, particularly in cases where patients wear masks or cannot clearly express their pain. By providing real-time and objective pain intensity assessment, the system shows potential to assist healthcare professionals in identifying patients who may require priority attention and to serve as a supportive tool for emergency triage workflows. Conclusions: Future work will incorporate edge computing with a lightweight model to enable real-time pain assessment in ambulances, facilitating faster intervention and treatment. Full article
(This article belongs to the Section Machine Learning and Artificial Intelligence in Diagnostics)
Show Figures

Figure 1

19 pages, 790 KB  
Article
Sustainability Auditing in State-Owned Agricultural Enterprises: A TIGEM Pilot on the Energy–Water Nexus
by Aysegul Demir Yildirim and Kasirga Yildirak
Sustainability 2026, 18(9), 4357; https://doi.org/10.3390/su18094357 - 28 Apr 2026
Abstract
State-owned agricultural enterprises face intensifying sustainability pressures, yet conventional Environmental, Social, and Governance (ESG) disclosures often mask site-specific operational risks. This study develops a Measurement–Reporting–Verification (MRV)-oriented sustainability internal audit framework for the General Directorate of Agricultural Enterprises (TIGEM) and pilots it across three [...] Read more.
State-owned agricultural enterprises face intensifying sustainability pressures, yet conventional Environmental, Social, and Governance (ESG) disclosures often mask site-specific operational risks. This study develops a Measurement–Reporting–Verification (MRV)-oriented sustainability internal audit framework for the General Directorate of Agricultural Enterprises (TIGEM) and pilots it across three enterprises (Ceylanpinar, Gozlu, and Karacabey). Utilizing a design-science approach, the model integrates 88 indicators derived from international frameworks (GRI, B Corp, IRIS+) and EU Green Deal requirements with a qualitative risk taxonomy. The results demonstrate that aggregate sustainability scores can obscure critical “Red Zone” risks. Ceylanpinar’s performance is severely constrained by an energy–water nexus (339.2 GWh irrigation demand vs. 263 mm rainfall), while Karacabey faces significant fossil fuel dependency and animal welfare challenges (9.2% calf mortality). Furthermore, the audit identifies tangible legal exposure in Ceylanpinar through 29 labor-related lawsuits linked to subcontracting. The study concludes that bridging the sustainability implementation gap requires a shift from symbolic disclosure to operationalized internal control. These findings provide a preliminary and context-specific roadmap for internal auditors to enhance institutional resilience against climate exposure and global carbo border adjustments (CBAM) in the agricultural sector. Full article
19 pages, 2758 KB  
Article
Protecting Digital Identities: Deepfake Face Detection Using Dual-Decoder U-Net Semantic Segmentation
by Rodrigo Eduardo Arevalo-Ancona, Manuel Cedillo-Hernandez, Antonio Cedillo-Hernandez and Francisco Javier Garcia-Ugalde
Future Internet 2026, 18(5), 233; https://doi.org/10.3390/fi18050233 - 25 Apr 2026
Viewed by 182
Abstract
Deepfake content forgery compromises the integrity of digital media and the protection of personal identity, making its detection essential for preserving trust and enabling effective forensic analysis. Most deepfake detection approaches focus on global classification with a binary decision, which is inadequate for [...] Read more.
Deepfake content forgery compromises the integrity of digital media and the protection of personal identity, making its detection essential for preserving trust and enabling effective forensic analysis. Most deepfake detection approaches focus on global classification with a binary decision, which is inadequate for precise localization of manipulated regions. This limitation becomes particularly evident under image processing distortions. This paper proposes a dual-decoder architecture for the detection and segmentation of original and deepfake facial manipulations. Unlike conventional single-decoder segmentation models, the proposed approach introduces two decoding branches that learn complementary feature representations of authentic and forgery facial textures. In addition, attention mechanism modules are incorporated to refine encoder features based on decoder context, introducing adaptive feature selection during reconstruction. This architectural design reduces feature interference during reconstruction and enhances the localization of subtle inconsistencies introduced by deepfake manipulations. This approach generates complementary masks for real and forged regions, providing more precise boundary delineation. Experimental results highlight the robustness of the proposed method under image processing distortions, achieving intersection over union (IoU) scores of 0.9387 for real faces and 0.9254 for deepfake segmentation. These results underscore the effectiveness of the dual-decoder architecture in accurately detecting and localizing deepfake facial manipulations. Full article
(This article belongs to the Collection Information Systems Security)
Show Figures

Figure 1

8 pages, 628 KB  
Brief Report
Early Signal Without Clinical Cases: A Single Clade III Candidozyma auris Isolate from a Face Mask Highlights the Value of Environmental Quality Control
by Angelika Bauer, Astrid Mayr, Stephanie Toepfer, Kathrin Spettel, Birgit Willinger, Richard Kriz and Cornelia Lass-Flörl
J. Fungi 2026, 12(5), 307; https://doi.org/10.3390/jof12050307 - 23 Apr 2026
Viewed by 823
Abstract
Candidozyma auris (C. auris) is an emerging healthcare-associated yeast of major epidemiological concern because of its multidrug resistance and outbreak potential. We report the recovery of a single C. auris isolate from a used face mask collected in May 2025 during [...] Read more.
Candidozyma auris (C. auris) is an emerging healthcare-associated yeast of major epidemiological concern because of its multidrug resistance and outbreak potential. We report the recovery of a single C. auris isolate from a used face mask collected in May 2025 during a blinded dental medicine quality-control programme assessing microbial contamination in the working environment. To contextualise this finding, we analysed routine diagnostic laboratory data from 2017 to 2025. The isolate underwent whole-genome sequencing for molecular characterisation, including analysis of the ERG11 gene, and antifungal susceptibility testing by EUCAST broth microdilution. In addition, 53,802 patient-related Candida spp. isolates collected between 2017 and 2025 were reviewed retrospectively; species identification had been performed by MALDI-TOF. The environmental isolate belonged to clade III and carried the V125A/F126L substitutions in ERG11, consistent with African clade isolates and associated with intrinsically high fluconazole minimum inhibitory concentrations. No C. auris was detected in routine patient specimens during the study period, whereas Candida albicans remained the predominant species in clinical samples. These findings provide no evidence of ongoing C. auris transmission at the Medical University of Innsbruck, but highlight the need for continued vigilance and robust infection-prevention measures to limit the risk posed by isolated introductions. Full article
(This article belongs to the Special Issue Candida and Candidemia)
Show Figures

Figure 1

18 pages, 6853 KB  
Article
A Graph-Enhanced Self-Supervised Framework for 3D Tooth Segmentation Using Contrastive Masked Autoencoders: An In Silico Study
by Zhaoji Li, Meng Yang and Weiliang Meng
Appl. Sci. 2026, 16(8), 3985; https://doi.org/10.3390/app16083985 - 20 Apr 2026
Viewed by 281
Abstract
With the advancement of 3D digital dentistry, accurate 3D tooth segmentation has become increasingly important in orthodontics and computer-aided diagnosis. However, existing supervised approaches heavily rely on exhaustive face-wise annotations and often exhibit limited generalization across complex clinical meshes. Although self-supervised learning offers [...] Read more.
With the advancement of 3D digital dentistry, accurate 3D tooth segmentation has become increasingly important in orthodontics and computer-aided diagnosis. However, existing supervised approaches heavily rely on exhaustive face-wise annotations and often exhibit limited generalization across complex clinical meshes. Although self-supervised learning offers a promising alternative to alleviate annotation costs, current paradigms remain challenged by sensitivity to data augmentations, suboptimal representation learning in pure masking schemes, and the complex structural characteristics of dental geometry. To address these limitations, we propose Dental-CMAE, a graph-enhanced hierarchical Contrastive masked AutoEncoder framework tailored for 3D tooth segmentation. The framework incorporates a dual-branch masking strategy that leverages graph-based structural priors to generate distinct corrupted views while preserving intrinsic mesh topology, thereby facilitating robust reconstruction. This is integrated with a feature-level contrastive objective designed to enforce semantic consistency between co-masked regions, which enhances representation discriminability without the requirement for negative sample queues. Additionally, the architecture utilizes a hierarchical multi-scale attention mechanism that partitions feature channels into parallel streams, enabling the simultaneous capture of fine-grained morphological variations and the overarching global dental arch context. Extensive experiments demonstrate that our Dental-CMAE consistently outperforms state-of-the-art fully supervised and self-supervised methods across multiple evaluation metrics. Specifically, our framework achieves an Overall Accuracy (OA) of 95.57%, a mean Intersection-over-Union (mIoU) of 88.14%, and a mean Accuracy (mAcc) of 90.85%. Supported by these quantitative findings, our method validates its effectiveness for robust 3D tooth segmentation, highlighting its strong potential to alleviate annotation bottlenecks and improve the reliability of automated 3D digital dental workflows. Full article
(This article belongs to the Section Computing and Artificial Intelligence)
Show Figures

Figure 1

18 pages, 2038 KB  
Article
DCANet: Diffusion-Coded Attention Network for Cross-Domain Semantic Noise Mitigation and Multi-Scale Context Fusion
by Xiao Han, Chunhua Wang, Weijian Fan, Zishuo Niu, Jing Gui and Shijia Yu
Electronics 2026, 15(8), 1667; https://doi.org/10.3390/electronics15081667 - 16 Apr 2026
Viewed by 224
Abstract
Neural language models have achieved remarkable progress in semantic representation learning. However, cross-domain representation learning still suffers from prominent semantic noise propagation issues. Existing methods still face challenges in cross-domain semantic modeling, including limited robustness across different semantic granularities, difficulty in separating transferable [...] Read more.
Neural language models have achieved remarkable progress in semantic representation learning. However, cross-domain representation learning still suffers from prominent semantic noise propagation issues. Existing methods still face challenges in cross-domain semantic modeling, including limited robustness across different semantic granularities, difficulty in separating transferable semantics from task-irrelevant semantic interference, and insufficient adaptability to specialized scenarios. These issues may reduce feature discriminability in fine-grained semantic tasks and complex application settings. To address these problems, we propose the Diffusion-Coded Attention Network (DCANet), a novel cross-domain representation learning architecture with three synergistic core modules: a multi-granular parallel diffusion masking mechanism for cross-scale context fusion via stochastic path activation, an implicit semantic encoder that distills domain-invariant patterns into adaptive bias codes via shared latent manifolds, and a self-correcting attention topology realizing dynamic semantic purification via closed-loop interactions between local features and global bias states. Extensive evaluations are conducted on nine well-recognized benchmark datasets to verify DCANet’s effectiveness and reliability. Experimental results show that DCANet attains state-of-the-art results on the majority of the benchmark datasets, with significant accuracy improvements on text classification and sentiment analysis tasks. Full article
(This article belongs to the Section Artificial Intelligence)
Show Figures

Figure 1

14 pages, 2574 KB  
Article
Transmission Equipment Segmentation via Cross-Directional Convolution and Hierarchical Attention Mechanisms
by Congcong Yin, Ke Zhang, Yuqian Zhang and Zhongjie Zhu
Electronics 2026, 15(8), 1657; https://doi.org/10.3390/electronics15081657 - 15 Apr 2026
Viewed by 246
Abstract
Precise segmentation of transmission equipment is crucial for ensuring secure power grid operation, yet practical deployment faces substantial challenges including the preservation of elongated morphological characteristics of transmission lines and accurate boundary localization for complex transmission tower structures. This paper proposes a novel [...] Read more.
Precise segmentation of transmission equipment is crucial for ensuring secure power grid operation, yet practical deployment faces substantial challenges including the preservation of elongated morphological characteristics of transmission lines and accurate boundary localization for complex transmission tower structures. This paper proposes a novel segmentation method that synergistically integrates cross-directional convolutions with multi-layer attention mechanisms within the YOLO11 framework. The designed C3x cross-directional convolution module incorporates orthogonal convolutional operations during feature extraction, enabling independent enhancement of feature responses along horizontal and vertical dimensions. This architecture effectively captures continuous morphological characteristics of elongated targets while mitigating fragmentation artifacts. Additionally, the proposed Multi-Layer Cascaded Attention (MLCA) module employs a progressive fusion strategy combining spatial and channel attention, significantly augmenting the network’s capacity to extract multi-scale semantic information while maintaining computational efficiency. This design particularly enhances boundary detail preservation for structurally complex targets. Experimental evaluations on the TTPLA dataset (comprising 1232 images across 4 categories) demonstrate remarkable performance improvements: bounding box detection achieves 72.56% mAP@0.5 and mask segmentation reaches 68.37% mAP@0.5, representing gains of 2.97% and 4.52% respectively over the baseline YOLO11 model. The Mask F1 score improves from 67.85% to 71.76%, comprehensively validating the proposed method’s effectiveness in enhancing segmentation capabilities for both elongated and morphologically complex targets. These results substantiate the practical applicability of the proposed approach for intelligent transmission infrastructure monitoring systems. Full article
(This article belongs to the Special Issue Applications of Artificial Intelligence in Electric Power Systems)
Show Figures

Figure 1

35 pages, 57348 KB  
Article
A Target-Oriented Shared-Control Framework for Adaptive Spatial and Kinematic Support in Mixed Reality Teleoperation
by Soma Okamoto and Kosuke Sekiyama
Electronics 2026, 15(8), 1653; https://doi.org/10.3390/electronics15081653 - 15 Apr 2026
Viewed by 216
Abstract
Mixed Reality (MR) teleoperation offers an intuitive interface for Human-Robot Collaboration (HRC), yet it often faces the “Embodiment Gap”—a physical and kinematic mismatch between human operators and robotic platforms. Existing MR systems primarily rely on a “direct mapping” approach, where user movements are [...] Read more.
Mixed Reality (MR) teleoperation offers an intuitive interface for Human-Robot Collaboration (HRC), yet it often faces the “Embodiment Gap”—a physical and kinematic mismatch between human operators and robotic platforms. Existing MR systems primarily rely on a “direct mapping” approach, where user movements are transferred directly to the robot. This forces operators to manually adapt to robotic constraints, such as singularities and joint limits, making task performance heavily dependent on individual skill. This study proposes Mixed reality Adaptive Spatial and Kinematic support (MASK), an adaptive shared-control framework designed to bridge the “Gulf of Execution” and “Gulf of Evaluation” by separating target selection from reachability and kinematic feasibility. The MASK system integrates three core modules: (1) Target Object Identification (TOI) based on body motion features to identify the intended manipulation target; (2) a Base Relocation Module (BRI) utilizing Inverse Reachability Maps to optimize the robot’s spatial configuration; and (3) a Kinematic Correction Module (KCM) that autonomously resolves kinematic constraints through pose blending and null-space optimization. Initial experimental results suggest that MASK reduces the operator’s cognitive and physical load by shifting the burden of kinematic resolution from the human to the system. This approach enables high-precision manipulation through an intuitive interface, potentially reducing the performance gap between different levels of operator proficiency. Full article
(This article belongs to the Special Issue Artificial Intelligence for Cyber-Physical Systems)
Show Figures

Figure 1

28 pages, 6564 KB  
Article
A Diffusion-Based Time-Frequency Dual-Stream Contrastive Learning Model for Multivariate Time Series Anomaly Detection
by Kuo Wu, Changming Xu, Ranran Zhang, Wei Lu, Yuan Ma, Ende Zhang and Kaiwen Tan
Entropy 2026, 28(4), 448; https://doi.org/10.3390/e28040448 - 15 Apr 2026
Viewed by 415
Abstract
Multivariate time series anomaly detection holds critical application value in key domains such as industrial system monitoring, financial risk management, and medical surveillance. However, existing approaches face two major challenges: reconstruction-based or prediction-based models tend to adapt to anomalous patterns during training, thereby [...] Read more.
Multivariate time series anomaly detection holds critical application value in key domains such as industrial system monitoring, financial risk management, and medical surveillance. However, existing approaches face two major challenges: reconstruction-based or prediction-based models tend to adapt to anomalous patterns during training, thereby weakening the distinction between normal and abnormal samples; furthermore, the non-stationary nature of time series leads to distribution shifts between training and testing data, impairing model generalization. To address these issues, this paper proposes the TFCID model. The model innovatively leverages diffusion principles to effectively impute missing time series data while capturing significant frequency-domain features. In the temporal processing stream, an unconditional diffusion model combined with imputation masking is employed to achieve high-precision imputation of randomly missing values, effectively preventing anomalies from interfering with model training. In the frequency-domain processing stream, an amplitude-aware frequency-domain masked autoencoder is introduced to specifically capture periodic or trend-based pattern anomalies. The model mitigates distribution shift by constraining the discrepancy between temporal and frequency-domain representations via adversarial contrastive learning, and uses this discrepancy as a robust anomaly scoring metric. Experimental results on five public benchmark datasets show that TFCID significantly outperforms state-of-the-art methods in detection accuracy (F1-Score), validating its effectiveness in anomaly detection tasks. Full article
(This article belongs to the Section Information Theory, Probability and Statistics)
Show Figures

Figure 1

36 pages, 1158 KB  
Review
Lightweight Deep Learning Models for Face Mask Detection in Real-Time Edge Environments: A Review and Future Research Directions
by Saim Rasheed
Mach. Learn. Knowl. Extr. 2026, 8(4), 102; https://doi.org/10.3390/make8040102 - 15 Apr 2026
Viewed by 713
Abstract
Automated face mask detection remains an important component of hygiene compliance, occupational safety, and public health monitoring, even in post-pandemic environments where real-time and non-intrusive surveillance is required. Traditional deep learning models provide strong recognition performance but are often impractical for deployment on [...] Read more.
Automated face mask detection remains an important component of hygiene compliance, occupational safety, and public health monitoring, even in post-pandemic environments where real-time and non-intrusive surveillance is required. Traditional deep learning models provide strong recognition performance but are often impractical for deployment on embedded and edge devices due to their computational and energy demands. Recent research has therefore emphasized lightweight and hybrid architectures that seek to preserve detection accuracy while reducing model complexity, inference latency, and power consumption. This review presents an architecture-centered synthesis of face mask detection systems, examining conventional convolutional models, lightweight convolutional networks such as the MobileNet family, and hybrid frameworks that integrate efficient backbones with optimized detection heads. Comparative analysis of reported results highlights key trade-offs between accuracy, efficiency, and deployment feasibility under heterogeneous datasets, evaluation protocols, and hardware settings. Open challenges, including improper mask detection, domain adaptation, model compression, and the extension of mask detection toward broader Personal Protective Equipment (PPE) compliance monitoring, are discussed to outline a forward-looking research agenda. Overall, this review consolidates current understanding of architectural design strategies for face mask detection and provides guidance for developing scalable, robust, and real-time deep learning solutions suitable for embedded and mobile platforms. Full article
Show Figures

Figure 1

21 pages, 11025 KB  
Article
A Multi-Step RUL Prediction Method for Lithium-Ion Batteries Based on Multi-Scale Temporal Features and Frequency-Domain Spectral Interaction
by Ye Tu, Shixiong Xu, Jie Wang and Mengting Jin
Batteries 2026, 12(4), 137; https://doi.org/10.3390/batteries12040137 - 14 Apr 2026
Viewed by 352
Abstract
With the rapid development of new energy vehicles and energy storage systems, accurate prediction of the remaining useful life (RUL) of lithium-ion batteries is of great importance for predictive maintenance and operational safety. However, battery degradation during cycling usually exhibits multi-scale characteristics, including [...] Read more.
With the rapid development of new energy vehicles and energy storage systems, accurate prediction of the remaining useful life (RUL) of lithium-ion batteries is of great importance for predictive maintenance and operational safety. However, battery degradation during cycling usually exhibits multi-scale characteristics, including long-term degradation trends, stage-wise drifts, and stochastic disturbances, which makes existing methods still face significant challenges in multi-step forecasting and cross-domain generalization. To address this issue, this paper proposes a time–frequency fusion model for multi-step RUL prediction, termed TF-RULNet (Time-Frequency RUL Network). The model takes cycle-level feature sequences as input and consists of three components: a multi-scale temporal convolution encoder (MSTC) for parallel extraction of degradation cues at different temporal scales; a multi-head spectral interaction module (MHSI), which performs 1D-FFT along the temporal dimension for each head and further applies adaptive band-wise mask refinement to capture local spectral structures and hierarchical band patterns with a computational complexity of O(LlogL); and a cross-gated fusion module (CGF), which generates gating signals from the summary of one domain to modulate the features of the other domain, thereby enabling dynamic balancing and complementary enhancement of time–frequency information. Experiments are conducted on the NASA dataset (B005/B007) for in-domain evaluation, and further cross-dataset tests from NASA to the Maryland dataset (CS-35/CS-37) are carried out to verify the robustness of the proposed model under distribution shifts. The results show that, compared with the strongest baseline PatchTST, TF-RULNet reduces RMSE and MAE by more than 38.23% and 50.51%, respectively, in cross-dataset generalization, while achieving an additional RMSE reduction of about 24% in in-domain prediction. In summary, TF-RULNet can effectively characterize the multi-scale time–frequency degradation patterns of batteries and improve cross-domain generalization, providing a high-accuracy and scalable modeling solution for practical battery health management and life prognostics. Full article
Show Figures

Figure 1

37 pages, 28225 KB  
Article
Hierarchical Spectral Modelling of Pasture Nutrition: From Laboratory to Sentinel-2 via UAV Hyperspectral
by Jason Barnetson, Hemant Raj Pandeya and Grant Fraser
AgriEngineering 2026, 8(4), 143; https://doi.org/10.3390/agriengineering8040143 - 7 Apr 2026
Viewed by 445
Abstract
This study demonstrates a hierarchical spectral modelling approach for predicting pasture nutrition metrics using TabPFN (Tabular Prior-Data Fitted Network), a transformer-based machine learning architecture. In the face of climate variability, aligning stocking rates with pasture resources is crucial for sustainable livestock grazing, requiring [...] Read more.
This study demonstrates a hierarchical spectral modelling approach for predicting pasture nutrition metrics using TabPFN (Tabular Prior-Data Fitted Network), a transformer-based machine learning architecture. In the face of climate variability, aligning stocking rates with pasture resources is crucial for sustainable livestock grazing, requiring accurate assessments of both pasture biomass and nutrient composition. Our research, conducted across diverse growth stages at five tropical and subtropical savanna rangeland properties in Queensland, Australia, with native and introduced C4 grasses, employed a hierarchical sampling and modelling strategy that scales from laboratory spectroscopy to Sentinel-2 satellite predictions via uncrewed aerial vehicle (UAV) hyperspectral imaging. Spectral data were collected from leaf (laboratory spectroscopy) through field (point measurements), UAV hyperspectral imaging, and Sentinel-2 satellite imagery. Traditional laboratory wet chemistry methods determined plant leaf and stem nutrient content, from which crude protein (CP = total nitrogen (TN) × 6.25) and dry matter digestibility (DMD = 88.9–0.779 × acid detergent fibre (ADF)) were derived. TabPFN models were trained at each spatial scale, achieving validation R2 of 0.76 for crude protein at the leaf scale, 0.95 at the UAV scale, and 0.92 at the Sentinel-2 satellite scale. For dry matter digestibility, validation R2 was 0.88 at the UAV scale and 0.73 at the Sentinel-2 scale. A pasture classification masking approach using a deep neural network with 98.6% accuracy (7 classes) was implemented to focus predictions on productive pasture areas, excluding bare soil and woody vegetation. The Sentinel-2 models were trained on 462 samples from 19 site–date combinations across 11 field sites. The TabPFN architecture provided notable advantages over traditional neural networks: no hyperparameter tuning required, faster training, and superior generalisation from limited training samples. These results demonstrate the potential for accurate and efficient prediction and mapping of pasture quality across large areas (100 s–1000 s km2) using freely available satellite imagery and open-source machine learning frameworks. Full article
(This article belongs to the Special Issue The Application of Remote Sensing for Agricultural Monitoring)
Show Figures

Figure 1

35 pages, 4925 KB  
Article
Defect-Mask2Former: An Improved Semantic Segmentation Model for Precise Small-Sized Defect Detection on Large-Sized Timbers
by Mingming Qin, Hongxu Li, Yuxiang Huang, Xingyu Tong and Zhihong Liang
Sensors 2026, 26(7), 2254; https://doi.org/10.3390/s26072254 - 6 Apr 2026
Viewed by 601
Abstract
The precise segmentation of small-sized defects on wood surfaces is critical for the quality grading of glued laminated timber (GLT). Existing semantic segmentation models face core bottlenecks in this context: high miss rates, blurred boundary localization, and excessive size measurement errors. To address [...] Read more.
The precise segmentation of small-sized defects on wood surfaces is critical for the quality grading of glued laminated timber (GLT). Existing semantic segmentation models face core bottlenecks in this context: high miss rates, blurred boundary localization, and excessive size measurement errors. To address these issues, this paper proposes an improved Defect-Mask2Former model that integrates an Attention-Guided Pyramid Enhancement (AGPE) module and a Defect Boundary Calibration and Correction (DBCC) module. Through synergistic optimization, the model achieved pixel-level precise segmentation. To support model training and validation, a custom image acquisition device was designed, and the PlankDefSeg dataset was constructed, comprising 3500 pixel-level annotated images covering five defect types across six industrial wood species. Experimental results demonstrate that on the PlankDefSeg dataset, Defect-Mask2Former achieved a mean Intersection over Union (mIoU) of 85.34% for small-sized defects, a 17.84% improvement over the baseline Mask2Former. The miss rate was reduced from 20.78% to 5.83%, and the size measurement error was only 2.86%, strictly meeting the ≤3% accuracy requirement of the GB/T26899-2022 standard. The model achieved an inference speed of 27.6 FPS, satisfying real-time detection needs. By integrating the model into the GLT grading workflow, a grading accuracy of 94.3% was achieved, and the processing time per timber was reduced from 30 s to 1.5 s, a 20-fold efficiency improvement. This study provides reliable technical support for intelligent GLT quality grading and offers a reference solution for other industrial surface defect segmentation tasks. Full article
(This article belongs to the Section Smart Agriculture)
Show Figures

Figure 1

30 pages, 3687 KB  
Article
Hybrid Framework for Secure Low-Power Data Encryption with Adaptive Payload Compression in Resource-Constrained IoT Systems
by You-Rak Choi, Hwa-Young Jeong and Sangook Moon
Sensors 2026, 26(7), 2253; https://doi.org/10.3390/s26072253 - 6 Apr 2026
Viewed by 463
Abstract
Resource-constrained IoT systems face a fundamental conflict between cryptographic security and energy efficiency, particularly in critical infrastructure monitoring requiring long-term autonomous operation. This study presents a hybrid framework integrating signal-adaptive compression with hardware-accelerated authenticated encryption to resolve this trade-off. The Dynamic Payload Compression [...] Read more.
Resource-constrained IoT systems face a fundamental conflict between cryptographic security and energy efficiency, particularly in critical infrastructure monitoring requiring long-term autonomous operation. This study presents a hybrid framework integrating signal-adaptive compression with hardware-accelerated authenticated encryption to resolve this trade-off. The Dynamic Payload Compression with Selective Encryption framework classifies sensor data into three SNR regimes and applies adaptive compression strategies: 24.15-fold compression for low-SNR backgrounds, 1.77-fold for transitional states, and no compression for high-SNR leak detection events. Experimental validation using 2714 acoustic sensor samples demonstrates 5.91-fold average payload reduction with 100% detection accuracy. The integration with STM32L5 hardware AES acceleration reduces power–data correlation from 0.820 to 0.041, increasing differential power analysis attack complexity from 500 to over 221,000 required traces. Compression-induced timing variance provides additional side-channel masking, burying cryptographic signals beneath a 0.00009 signal-to-noise ratio. Projected on 19,200 mAh lithium thionyl chloride batteries, the system achieves 14-year operational lifetime under realistic duty cycles, exceeding industrial requirements for critical infrastructure protection while maintaining robust security against physical attacks. Full article
(This article belongs to the Section Intelligent Sensors)
Show Figures

Figure 1

29 pages, 1303 KB  
Article
An Enhanced Traffic Classifier Based on Self-Supervised Feature Learning
by Shaoqing Jiang, Xin Luo, Hongyi Wang, Gang Chen and Hongwei Zhao
Appl. Sci. 2026, 16(7), 3493; https://doi.org/10.3390/app16073493 - 3 Apr 2026
Viewed by 365
Abstract
Encrypted network traffic classification is an important research topic in the field of network security. Although deep learning-based methods have made progress, they still face three main challenges: first, the semantic information in encrypted traffic is inadequately represented, making it difficult for existing [...] Read more.
Encrypted network traffic classification is an important research topic in the field of network security. Although deep learning-based methods have made progress, they still face three main challenges: first, the semantic information in encrypted traffic is inadequately represented, making it difficult for existing methods to effectively capture the hierarchical interaction relationships between packet-level and flow-level features; second, models rely on large amounts of labeled data for supervised training, resulting in high training costs and limited generalization ability in new scenarios; third, in existing self-supervised methods, the functions of the encoder and decoder are coupled, which restricts the full potential of the encoder’s representation learning. To address these issues, this paper proposes an Enhanced Traffic Classifier (ETC) based on self-supervised feature learning. The model first constructs a multi-level interactive traffic representation matrix, converting raw traffic into structured grayscale images that fuse packet-level and flow-level temporal features, thereby addressing the problem of missing semantic information. On this basis, an improved Masked Image Modeling Vision Transformer architecture is adopted. Through a three-stage decoupled design of encoder–regressor–decoder, the encoder focuses solely on feature extraction, the regressor performs masked representation prediction, and the decoder is only responsible for image reconstruction, thereby fully unleashing the encoder’s feature learning capability. Furthermore, during the fine-tuning stage, an Attentive Probing classification mechanism is introduced to replace the traditional linear classification head. By using learnable class query vectors to dynamically focus on semantic regions relevant to the classification target, the model’s recognition accuracy and robustness are further improved. Experiments are conducted on five public datasets, including USTC-TFC2016 and CICIoT2022, as well as a self-built Human-Internet dataset. The results show that ETC significantly outperforms mainstream methods such as YaTC and ET-BERT in core metrics including accuracy and F1-score, while also demonstrating strong generalization in few-shot scenarios. Full article
Show Figures

Figure 1

Back to TopTop