Green Synthesis of Zinc Oxide Nanoparticles with Psidium cattleianum Leaves Extracts as Reducing Agent: Influence of Extraction Method on Physicochemical and Biological Activities
Abstract
1. Introduction
2. Materials and Methods
2.1. Extractions
2.1.1. Raw Material
2.1.2. Infusion
2.1.3. Ultrasound Extraction
2.1.4. Maceration
2.2. Phytochemical Analysis
2.2.1. Total Polyphenol Content (TPC)
2.2.2. Total Flavonoid Content (TFC)
2.2.3. Total Condensed Tannins Content (CTC)
2.3. Antioxidant Capacities
2.3.1. DPPH Radical Assay
2.3.2. Metal Ion Chelating Activity Assay
2.3.3. Total Antioxidant Capacity (TAOC) Assay
2.4. Synthesis of Zinc Oxide Nanoparticles
2.5. Nanoparticles Characterization
2.5.1. UV-VIS-NIR Spectroscopic Analysis
2.5.2. Band Gap Analysis
2.5.3. Scanning Electron Microscopy (SEM)
2.5.4. X-Ray Diffraction
2.5.5. Infrared Spectroscopy by Fourier Transform (FTIR)
2.5.6. Thermogravimetric Analysis (TGA)
2.5.7. Zeta Potential and Particle Size
2.6. Antimicrobial Capacity of Nanoparticles
2.7. Antibiofilm Evaluation of Nanoparticles
2.7.1. Congo Red Assay
2.7.2. Violet Crystal Assay
2.8. Nanoparticles Toxicity
2.8.1. Primary Cell Culture and Cell Viability in Goats
2.8.2. Cell Viability on 3 T3 L-1
T3-L1 Cell Culture and Differentiation
T3-L1 Cells Treatment
MTT Assay on 3 T3-L1 Adipocytes
Oil Red O Staining
2.9. Statistical Analysis
3. Results and Discussion
3.1. Phytochemical Content of Psidum Cattleianum Leaves
3.2. Antioxidant Activities of Psidium Cattleianum Extracts
3.3. Characterization of Zinc Oxide Nanoparticles
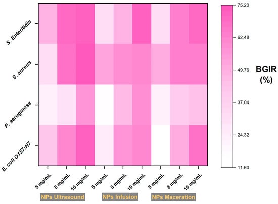
3.4. Antibacterial and Antibiofilm Activities
3.5. Toxicity
4. Conclusions
Author Contributions
Funding
Institutional Review Board Statement
Data Availability Statement
Acknowledgments
Conflicts of Interest
References
- Becker, J.; Manske, C.; Randl, S. Green Chemistry and Sustainability Metrics in the Pharmaceutical Manufacturing Sector. Curr. Opin. Green Sustain. Chem. 2022, 33, 100562. [Google Scholar] [CrossRef]
- Naiel, B.; Fawzy, M.; Halmy, M.W.A.; Mahmoud, A.E.D. Green Synthesis of Zinc Oxide Nanoparticles Using Sea Lavender (Limonium pruinosum L. Chaz.) Extract: Characterization, Evaluation of Anti-Skin Cancer, Antimicrobial and Antioxidant Potentials. Sci. Rep. 2022, 12, 20370. [Google Scholar] [CrossRef] [PubMed]
- Kaushal, P.; Maity, D.; Awasthi, R. Nano-Green: Harnessing the Potential of Plant Extracts for Sustainable Antimicrobial Metallic Nanoparticles. J. Drug Deliv. Sci. Technol. 2024, 94, 105488. [Google Scholar] [CrossRef]
- Hernández-Díaz, M.N.; Torres-Valencia, N.; Miranda-Arámbula, M.; Ríos-Cortés, A.M.; Fernández-Luqueño, F.; López-Gayou, V.; López-Valdez, F. El rol de las plantas silvestres o cultivables de México en la síntesis de nanopartículas. Mundo Nano. Rev. Interdiscip. En Nanocienc. Y Nanotecnol. 2024, 17, 1e–17e. [Google Scholar] [CrossRef]
- Villagrán, Z.; Anaya-Esparza, L.M.; Velázquez-Carriles, C.A.; Silva-Jara, J.M.; Ruvalcaba-Gómez, J.M.; Aurora-Vigo, E.F.; Rodríguez-Lafitte, E.; Rodríguez-Barajas, N.; Balderas-León, I.; Martínez-Esquivias, F. Plant-Based Extracts as Reducing, Capping, and Stabilizing Agents for the Green Synthesis of Inorganic Nanoparticles. Resources 2024, 13, 70. [Google Scholar] [CrossRef]
- Agarwal, H.; Kumar, S.V.; Rajeshkumar, S. A review on green synthesis of zinc oxide nanoparticles–An eco-friendly approach. Resour. Effic. Technol. 2017, 3, 406–413. [Google Scholar] [CrossRef]
- Zhou, L.; Fang, Q.; Liu, M.; Farhan, S.; Yang, S.; Wu, Y. Strong built-in electric field-assisted ZnO/ZnIn2S4 S-scheme heterostructure to promote photocatalytic hydrogen production. Inorg. Chem. 2024, 63, 21202–21211. [Google Scholar] [CrossRef]
- Zayed, M.; Othman, H.; Ghazal, H.; Hassabo, A.G. Psidium guajava leave extract as reducing agent for synthesis of zinc oxide nanoparticles and its application to impart multifunctional properties for cellulosic fabrics. Biointerface Res. Appl. Chem. 2021, 11, 13535–13556. [Google Scholar] [CrossRef]
- Al-darwesh, M.Y.; Ibrahim, S.S.; Mohammed, M.A. A Review on Plant Extract Mediated Green Synthesis of Zinc Oxide Nanoparticles and Their Biomedical Applications. Results Chem. 2024, 7, 101368. [Google Scholar] [CrossRef]
- Ahmad Mir, S.; Shrotriya, V.; Al-Muhimeed, T.I.; Amzad Hossain, M.; Zaman, M.B. Metal and Metal Oxide Nanostructures Applied as Alternatives of Antibiotics. Inorg. Chem. Commun. 2023, 150, 110503. [Google Scholar] [CrossRef]
- Riahi, S.; Ben Moussa, N.; Lajnef, M.; Jebari, N.; Dabek, A.; Chtourou, R.; Guisbiers, G.; Vimont, S.; Herth, E. Bactericidal Activity of ZnO Nanoparticles against Multidrug-Resistant Bacteria. J. Mol. Liq. 2023, 387, 122596. [Google Scholar] [CrossRef]
- Torres-Ortiz, D.; García-Alcocer, G.; Berumen-Segura, L.C.; Estévez, M. Green Extraction of Secondary Metabolites from Plants: Obstacles, Current Status, and Trends. Sustain. Chem. Environ. 2024, 8, 100157. [Google Scholar] [CrossRef]
- Aguilar-Villalva, R.; Molina, G.A.; España-Sánchez, B.L.; Díaz-Peña, L.F.; Elizalde-Mata, A.; Valerio, E.; Azanza-Ricardo, C.; Estevez, M. Antioxidant Capacity and Antibacterial Activity from Annona Cherimola Phytochemicals by Ultrasound-Assisted Extraction and Its Comparison to Conventional Methods. Arab. J. Chem. 2021, 14, 103239. [Google Scholar] [CrossRef]
- Arya, P.; Kumar, P. Comparison of Ultrasound and Microwave Assisted Extraction of Diosgenin from Trigonella Foenum Graceum Seed. Ultrason. Sonochem. 2021, 74, 105572. [Google Scholar] [CrossRef]
- Savoldi, T.L.; Glamoclija, J.; Sokovic, M.; Goncalves, J.E.; Ruiz, S.P.; Linde, G.A.; Gazim, Z.C.; Colauto, N.B. Actividad antimicrobiana del aceite esencial de hojas de Psidium cattleianum Afzel. ex Sabine. Boletín Latinoam. Y Del Caribe De Plantas Med. Y Aromáticas 2020, 19, 614–627. [Google Scholar] [CrossRef]
- Gomes, J.L.; da Araujo, J.R.S.; de Araújo, S.S.; de Oliveira, P.L.; de Veras, B.O.; Feitoza, G.S.; de Oliveira, A.P.; de Lira Júnior, J.S.; de Pereira, R.C.A.; do Vale Martins, L.; et al. Psidium cattleianum Sabine and P. myrtoides, O. Berg Fruits: A Comparative Composition, Antioxidant, and Safety Use. S. Afr. J. Bot. 2024, 172, 109–115. [Google Scholar] [CrossRef]
- dos Santos Pereira, E.; Vinholes, J.; Franzon, R.C.; Dalmazo, G.; Vizzotto, M.; Nora, L. Psidium cattleianum Fruits: A Review on Its Composition and Bioactivity. Food Chem. 2018, 258, 95–103. [Google Scholar] [CrossRef]
- Zandoná, G.P.; Bagatini, L.; Woloszyn, N.; de Souza Cardoso, J.; Hoffmann, J.F.; Moroni, L.S.; Stefanello, F.M.; Junges, A.; Rombaldi, C.V. Extraction and Characterization of Phytochemical Compounds from Araçazeiro (Psidium cattleianum) Leaf: Putative Antioxidant and Antimicrobial Properties. Food Res. Int. 2020, 137, 109573. [Google Scholar] [CrossRef]
- Patel, S. Exotic Tropical Plant Psidium Cattleianum: A Review on Prospects and Threats. Rev. Environ. Sci. Biotechnol. 2012, 11, 243–248. [Google Scholar] [CrossRef]
- González-Silva, N.; Nolasco-González, Y.; Aguilar-Hernández, G.; Sáyago-Ayerdi, S.G.; Villagrán, Z.; Acosta, J.L.; Montalvo-González, E.; Anaya-Esparza, L.M. Ultrasound-Assisted Extraction of Phenolic Compounds from Psidium cattleianum Leaves: Optimization Using the Response Surface Methodology. Molecules 2022, 27, 3557. [Google Scholar] [CrossRef]
- Ferreira Macedo, J.G.; Linhares Rangel, J.M.; de Oliveira Santos, M.; Camilo, C.J.; Martins da Costa, J.G.; Maria de Almeida Souza, M. Therapeutic Indications, Chemical Composition and Biological Activity of Native Brazilian Species from Psidium genus (Myrtaceae): A Review. J. Ethnopharmacol. 2021, 278, 114248. [Google Scholar] [CrossRef] [PubMed]
- Saha, R.; Subramani, K.; Raju, S.A.K.P.M.; Rangaraj, S.; Venkatachalam, R. Psidium guajava leaf extract-mediated synthesis of ZnO nanoparticles under different processing parameters for hydrophobic and antibacterial finishing over cotton fabrics. Prog. Org. Coat. 2018, 124, 80–91. [Google Scholar] [CrossRef]
- Boopathi, T.S.; Suksom, S.; Suriyaprakash, J.; Hirad, A.H.; Alarfaj, A.A.; Thangavelu, I. Psidium guajava-mediated green synthesis of Fe-doped ZnO and Co-doped ZnO nanoparticles: A comprehensive study on characterization and biological applications. Bioprocess Biosyst. Eng. 2024, 47, 1271–1291. [Google Scholar] [CrossRef]
- Ramya, V.; Kalaiselvi, V.; Kannan, S.K.; Shkir, M.; Ghramh, H.A.; Ahmad, Z.; Nithiya, P.; Vidhya, N. Facile Synthesis and Characterization of Zinc Oxide Nanoparticles Using Psidium guajava Leaf Extract and Their Antibacterial Applications. Arab. J. Sci. Eng. 2022, 47, 909–918. [Google Scholar] [CrossRef]
- Sheta, M.H.; Abd El-Wahed, A.H.; Elshaer, M.A.; Bayomy, H.M.; Ozaybi, N.A.; Abd-Elraheem, M.A.M.; El-Sheshtaway, A.N.A.; El-Serafy, R.S.; Moustafa, M.M.I. Green synthesis of zinc and iron nanoparticles using Psidium guajava leaf extract stimulates cowpea growth, yield, and tolerance to saline water irrigation. Horticulturae 2024, 10, 915. [Google Scholar] [CrossRef]
- Mohamed, S.A.; Hassan, R.G. New Biogenic Nanoparticles as Natural Products in Medicine Production and Water Pathogen Elimination, Characterization, Cytotoxic Evaluation and Antimicrobial Resistivity of Zinc Oxide Nanoparticles from Psidium guajava Leaves. Egypt J. Chem. 2023, 66, 1839–1850. [Google Scholar] [CrossRef]
- Fouda, A.; Abdel-Rahman, M.A.; Eid, A.M.; Selim, S.; Ejaz, H.; Alruwaili, M.; Manni, E.; Almuhayawi, M.S.; Al Jaouni, S.K.; Hassan, S.E.D. Investigating the Potential of Green-Fabricated Zinc Oxide Nanoparticles to Inhibit the Foodborne Pathogenic bacteria Isolated from Spoiled Fruits. Catalysts 2024, 14, 427. [Google Scholar] [CrossRef]
- Rani, N.; Kumar, S.; Kumar, K. Synergistic influence of the hybridization between green carbon dots adorned Psidium guajava extracted zinc oxide for boosted photocatalytic efficiency. Biomass Conv. Bioref. 2024, 1–16. [Google Scholar] [CrossRef]
- Thejashwini, P.P.; Chandrika, R.; Madhusudhan, M.C.; Joshi, S.M.; Ali, D.; Alarifi, S.; Jogaiah, S.; Geetha, N. Psidium guajav-mediated zinc oxide nanoparticles as a multifunctional, microbicidal, antioxidant and antiproliferative agent against destructive pathogens. Bioprocess Biosyst. Eng. 2024, 47, 1571–1584. [Google Scholar] [CrossRef]
- Son, N.N.; Thanh, V.M.; Huong, N.T. Anticancer Activities of Zinc Oxide Nanoparticles Synthesized Using Guava Leaf extract. ChemistrySelect 2023, 8, e202303214. [Google Scholar] [CrossRef]
- Singleton, V.L.; Rossi, J.A. Colorimetry of Total Phenolics with Phosphomolybdic-Phosphotungstic Acid Reagents. Am. J. Enol. Vitic. 1965, 16, 144–158. [Google Scholar] [CrossRef]
- Panche, A.N.; Diwan, A.D.; Chandra, S.R. Flavonoids: An Overview. J. Nutr. Sci. 2016, 5, e47. [Google Scholar] [CrossRef]
- Reyes-Becerril, M.; Angulo, C.; Silva-Jara, J. Antibacterial and Immunomodulatory Activity of Moringa (Moringa oleifera) Seed Extract in Longfin Yellowtail (Seriola rivoliana) Peripheral Blood Leukocytes. Aquac. Res. 2021, 52, 4076–4085. [Google Scholar] [CrossRef]
- Broadhurst, R.B.; Jones, W.T. Analysis of Condensed Tannins Using Acidified vanillin. J. Sci. Food Agric. 1978, 29, 788–794. [Google Scholar] [CrossRef]
- Brand-Williams, W.; Cuvelier, M.E.; Berset, C. Use of a Free Radical Method to Evaluate Antioxidant Activity. LWT—Food Sci. Technol. 1995, 28, 25–30. [Google Scholar] [CrossRef]
- Canabady-Rochelle, L.L.S.; Harscoat-Schiavo, C.; Kessler, V.; Aymes, A.; Fournier, F.; Girardet, J.-M. Determination of Reducing Power and Metal Chelating Ability of Antioxidant Peptides: Revisited Methods. Food Chem. 2015, 183, 129–135. [Google Scholar] [CrossRef] [PubMed]
- Prieto, P.; Pineda, M.; Aguilar, M. Spectrophotometric Quantitation of Antioxidant Capacity through the Formation of a Phosphomolybdenum Complex: Specific Application to the Determination of Vitamin E. Anal. Biochem. 1999, 269, 337–341. [Google Scholar] [CrossRef] [PubMed]
- Barzinjy, A.A.; Azeez, H.H. Green Synthesis and Characterization of Zinc Oxide Nanoparticles Using Eucalyptus Globulus Labill. Leaf Extract and Zinc Nitrate Hexahydrate Salt. SN Appl. Sci. 2020, 2, 991. [Google Scholar] [CrossRef]
- Aguilar-Ávila, D.S.; Reyes-Becerril, M.; Velázquez-Carriles, C.A.; Hinojosa-Ventura, G.; Macías-Rodríguez, M.E.; Angulo, C.; Silva-Jara, J.M. Biogenic Ag2O Nanoparticles with “Hoja Santa” (Piper auritum) Extract: Characterization and Biological Capabilities. Biometals 2024, 37, 971–982. [Google Scholar] [CrossRef]
- Romero-García, D.M.; Velázquez-Carriles, C.A.; Gomez, C.; Velázquez-Juárez, G.; Silva-Jara, J.M. Tannic Acid-Layered Hydroxide Salt Hybrid: Assessment of Antibiofilm Formation and Foodborne Pathogen Growth Inhibition. J. Food Sci. Technol. 2023, 60, 2659–2669. [Google Scholar] [CrossRef]
- Ansari, M.A.; Khan, H.M.; Khan, A.A.; Cameotra, S.S.; Pal, R. Antibiofilm Efficacy of Silver Nanoparticles against Biofilm of Extended Spectrum β-Lactamase Isolates of Escherichia Coli and Klebsiella Pneumoniae. Appl. Nanosci. 2014, 4, 859–868. [Google Scholar] [CrossRef]
- Neihaya, H.Z.; Zaman, H.H. Investigating the Effect of Biosynthesized Silver Nanoparticles as Antibiofilm on Bacterial Clinical Isolates. Microb. Pathog. 2018, 116, 200–208. [Google Scholar] [CrossRef] [PubMed]
- Freeman, D.J.; Falkiner, F.R.; Keane, C.T. New Method for Detecting Slime Production by Coagulase Negative Staphylococci. J. Clin. Pathol. 1989, 42, 872–874. [Google Scholar] [CrossRef] [PubMed]
- Microtiter Dish Biofilm Formation Assay. Available online: https://app.jove.com (accessed on 18 December 2024).
- Córdova, N.M.; Becerril, M.R.; Angulo, M.; Angulo, C. Immunobiological Effects of Marine Debaryomyces Hansenii-Derived Lysates on Goat Peripheral Blood Leukocytes. Trop. Subtrop. Agroecosyst. 2021, 25, 1–14. [Google Scholar] [CrossRef]
- Preciado-Ortiz, M.E.; Martínez-López, E.; Pedraza-Chaverri, J.; Medina-Campos, O.N.; Rodríguez-Echevarría, R.; Reyes-Pérez, S.D.; Rivera-Valdés, J.J. 10-Gingerol Increases Antioxidant Enzymes and Attenuates Lipopolysaccharide-Induced Inflammation by Modulating Adipokines in 3T3-L1 Adipocytes. Antioxidants 2024, 13, 1093. [Google Scholar] [CrossRef]
- Dacoreggio, M.V.; Moroni, L.S.; Kempka, A.P. Antioxidant, Antimicrobial and Allelopathic Activities and Surface Disinfection of the Extract of Psidium cattleianum Sabine Leaves. Biocatal. Agric. Biotechnol. 2019, 21, 101295. [Google Scholar] [CrossRef]
- Moraes, L.d.L.S.; Rodrigues, N.R.; Dal Forno, A.H.; Tambara, A.L.; Boldori, J.R.; Vizzotto, M.; Quatrin, A.; Emanuelli, T.; Denardin, C.C. Araçá (Psidium cattleianum Sabine) Ethanol Extracts Increase Lifespan and Alleviate Oxidative Stress in Caenorhabditis Elegans. J. Agric. Food Res. 2023, 11, 100505. [Google Scholar] [CrossRef]
- İnce, A.; Şahin, S.; Şümnü, S. Extraction of Phenolic Compounds from Melissa Using Microwave and Ultrasound. Turk. J. Agric. For. 2013, 37, 69–75. [Google Scholar] [CrossRef]
- Papoti, V.T.; Totomis, N.; Atmatzidou, A.; Zinoviadou, K.; Androulaki, A.; Petridis, D.; Ritzoulis, C. Phytochemical Content of Melissa officinalis L. Herbal Preparations Appropriate for Consumption. Processes 2019, 7, 88. [Google Scholar] [CrossRef]
- Brahmi, F.; Blando, F.; Sellami, R.; Mehdi, S.; De Bellis, L.; Negro, C.; Haddadi-Guemghar, H.; Madani, K.; Makhlouf-Boulekbache, L. Optimization of the Conditions for Ultrasound-Assisted Extraction of Phenolic Compounds from Opuntia ficus-indica [L.] Mill. Flowers and Comparison with Conventional Procedures. Ind. Crops Prod. 2022, 184, 114977. [Google Scholar] [CrossRef]
- Selka, A.; Moutombi, F.J.N.; Jean-François, J.; Touaibia, M. Hydroxycinnamic Acids and Their Related Synthetic Analogs: An Update of Pharmacological Activities. Mini Rev. Med. Chem. 2022, 22, 1516–1544. [Google Scholar] [CrossRef] [PubMed]
- Mazzone, G. On the Inhibition of Hydroxyl Radical Formation by Hydroxycinnamic Acids: The Case of Caffeic Acid as a Promising Chelating Ligand of a Ferrous Ion. J. Phys. Chem. A 2019, 123, 9560–9566. [Google Scholar] [CrossRef] [PubMed]
- Psotová, J.; Lasovský, J.; Vicar, J. Metal-Chelating Properties, Electrochemical Behavior, Scavenging and Cytoprotective Activities of Six Natural Phenolics. Biomed. Pap. Med. Fac. Univ. Palacky. Olomouc. Czech. Repub. 2003, 147, 147–153. [Google Scholar] [CrossRef]
- Samavati, A.; Awang, A.; Samavati, Z.; Ismail, A.F.; Othman, M.H.D.; Velashjerdi, M.; Rostami, A. Influence of ZnO nanostructure configuration on tailoring the optical bandgap: Theory and experiment. Mater. Sci. Eng. B 2021, 263, 114811. [Google Scholar] [CrossRef]
- Jayappa, M.D.; Ramaiah, C.K.; Kumar, M.A.P.; Suresh, D.; Prabhu, A.; Devasya, R.P.; Sheikh, S. Green Synthesis of Zinc Oxide Nanoparticles from the Leaf, Stem and in Vitro Grown Callus of Mussaenda frondosa L.: Characterization and Their Applications. Appl. Nanosci. 2020, 10, 3057–3074. [Google Scholar] [CrossRef] [PubMed]
- Ramesh, P.; Saravanan, K.; Manogar, P.; Johnson, J.; Vinoth, E.; Mayakannan, M. Green Synthesis and Characterization of Biocompatible Zinc Oxide Nanoparticles and Evaluation of Its Antibacterial Potential. Sens. Biol. Sens. Res. 2021, 31, 100399. [Google Scholar] [CrossRef]
- Gupta, R.; Malik, P.; Das, N.; Singh, M. Antioxidant and Physicochemical Study of Psidium guajava Prepared Zinc Oxide Nanoparticles. J. Mol. Liq. 2019, 275, 749–767. [Google Scholar] [CrossRef]
- Elia, P.; Zach, R.; Hazan, S.; Kolusheva, S.; Porat, Z.E.; Zeiri, Y. Green synthesis of gold nanoparticles using plant extracts as reducing agents. Int. J. Nanomed. 2014, 9, 4007–4021. [Google Scholar] [CrossRef]
- Yedurkar, S.; Maurya, C.; Mahanwar, P. Biosynthesis of zinc oxide nanoparticles using Ixora coccinea leaf extract—A green approach. Open J. Synth. Theory Appl. 2016, 5, 1–14. [Google Scholar] [CrossRef]
- Khalafi, T.; Buazar, F.; Ghanemi, K. Phycosynthesis and Enhanced Photocatalytic Activity of Zinc Oxide Nanoparticles Toward Organosulfur Pollutants. Sci. Rep. 2019, 9, 6866. [Google Scholar] [CrossRef]
- El-Belely, E.F.; Farag, M.M.S.; Said, H.A.; Amin, A.S.; Azab, E.; Gobouri, A.A.; Fouda, A. Green Synthesis of Zinc Oxide Nanoparticles (ZnO-NPs) Using Arthrospira Platensis (Class: Cyanophyceae) and Evaluation of Their Biomedical Activities. Nanomaterials 2021, 11, 95. [Google Scholar] [CrossRef] [PubMed]
- Azmi, S.N.H.; Alam, M. Exploring the Anti-Corrosion, Photocatalytic, and Adsorptive Functionalities of Biogenically Synthesized Zinc Oxide Nanoparticles. Inorganics 2024, 12, 199. [Google Scholar] [CrossRef]
- Mankad, M.; Patil, G.; Patel, S.; Patel, D.; Patel, A. Green Synthesis of Zinc Oxide Nanoparticles Using Azadirachta Indica A. Juss. Leaves Extract and Its Antibacterial Activity against Xanthomonas orzyae pv. oryzae. Ann. Phytomed. Int. J. 2016, 5, 76–86. [Google Scholar] [CrossRef]
- Balogun, S.W.; James, O.O.; Sanusi, Y.K.; Olayinka, O.H. Green Synthesis and Characterization of Zinc Oxide Nanoparticles Using Bashful (Mimosa pudica), Leaf Extract: A Precursor for Organic Electronics Applications. SN Appl. Sci. 2020, 2, 504. [Google Scholar] [CrossRef]
- Faheem, M.; Siddiqi, H.M.; Habib, A.; Shahid, M.; Afzal, A. ZnO/Zn(OH)2 Nanoparticles and Self-Cleaning Coatings for the Photocatalytic Degradation of Organic Pollutants. Front. Environ. Sci. 2022, 10, 965925. [Google Scholar] [CrossRef]
- Klinbumrung, A.; Panya, R.; Pung-Ngama, A.; Nasomjai, P.; Saowalakmeka, J.; Sirirak, R. Green Synthesis of ZnO Nanoparticles by Pineapple Peel Extract from Various Alkali Sources. J. Asian Ceram. Soc. 2022, 10, 755–765. [Google Scholar] [CrossRef]
- Soto, K.M.; Luzardo-Ocampo, I.; López-Romero, J.M.; Mendoza, S.; Loarca-Piña, G.; Rivera-Muñoz, E.M.; Manzano-Ramírez, A. Gold Nanoparticles Synthesized with Common Mullein (Verbascum thapsus) and Castor Bean (Ricinus communis) Ethanolic Extracts Displayed Antiproliferative Effects and Induced Caspase 3 Activity in Human HT29 and SW480 Cancer Cells. Pharmaceutics 2022, 14, 2069. [Google Scholar] [CrossRef]
- Khan, M.; Ware, P.; Shimpi, N. Synthesis of ZnO Nanoparticles Using Peels of Passiflora Foetida and Study of Its Activity as an Efficient Catalyst for the Degradation of Hazardous Organic Dye. SN Appl. Sci. 2021, 3, 528. [Google Scholar] [CrossRef]
- Bai, D.-P.; Lin, X.-Y.; Huang, Y.-F.; Zhang, X.-F. Theranostics Aspects of Various Nanoparticles in Veterinary Medicine. Int. J. Mol. Sci. 2018, 19, 3299. [Google Scholar] [CrossRef]
- Hoseinzadeh, E.; Alikhani, M.Y.; Samarghandi, M.R.; Shirzad-Siboni, M. Antimicrobial potential of synthesized zinc oxide nanoparticles against gram positive and gram negative bacteria. Desalination Water Treat. 2014, 52, 4969–4976. [Google Scholar] [CrossRef]
- Agrawal, A.; Sharma, R.; Sharma, A.; Gurjar, K.C.; Kumar, S.; Chatterjee, S.; Pandey, H.; Awasthi, K.; Awasthi, A. Antibacterial and Antibiofilm Efficacy of Green Synthesized ZnO Nanoparticles Using Saraca asoca Leaves. Environ. Sci. Pollut. Res. 2023, 30, 86328–86337. [Google Scholar] [CrossRef] [PubMed]
- Jasim, N.A.; Al-Gasha’a, F.A.; Al-Marjani, M.F.; Al-Rahal, A.H.; Abid, H.A.; Al-Kadhmi, N.A.; Jakaria, M.; Rheima, A.M. ZnO Nanoparticles Inhibit Growth and Biofilm Formation of Vancomycin-resistant S. aureus (VRSA). Biocatal. Agric. Biotechnol. 2020, 29, 101745. [Google Scholar] [CrossRef]
- Haiouani, K.; Hegazy, S.; Alsaeedi, H.; Bechelany, M.; Barhoum, A. Green Synthesis of Hexagonal-like ZnO Nanoparticles Modified with Phytochemicals of Clove (Syzygium aromaticum) and Thymus capitatus Extracts: Enhanced Antibacterial, Antifungal, and Antioxidant Activities. Materials 2024, 17, 4340. [Google Scholar] [CrossRef] [PubMed]
- Sirelkhatim, A.; Mahmud, S.; Seeni, A.; Kaus, N.H.M.; Ann, L.C.; Bakhori, S.K.M.; Hasan, H.; Mohamad, D. Review on Zinc Oxide Nanoparticles: Antibacterial Activity and Toxicity Mechanism. Nano-Micro Lett. 2015, 7, 219–242. [Google Scholar] [CrossRef]
- Afrasiabi, S.; Partoazar, A. Targeting Bacterial Biofilm-Related Genes with Nanoparticle-Based Strategies. Front. Microbiol. 2024, 15, 1387114. [Google Scholar] [CrossRef]
- Hassani, S.M.; Nakhaei, M.M.; Forghanifard, M.M. Inhibitory effect of zinc oxide nanoparticles on pseudomonas aeruginosa biofilm formation. Nanomed. J. 2015, 2, 121–128. [Google Scholar]
- Kim, C.-S.; Nguyen, H.-D.; Ignacio, R.M.; Kim, J.-H.; Cho, H.-C.; Maeng, E.H.; Kim, Y.-R.; Kim, M.-K.; Park, B.-K.; Kim, S.-K. Immunotoxicity of Zinc Oxide Nanoparticles with Different Size and Electrostatic Charge. Int. J. Nanomed. 2014, 9, 195–205. [Google Scholar] [CrossRef]
- Anders, C.B.; Chess, J.J.; Wingett, D.G.; Punnoose, A. Serum proteins enhance dispersion stability and influence the cytotoxicity and dosimetry of ZnO nanoparticles in suspension and adherent cancer cell models. Nanoscale Res. Lett. 2015, 10, 1–22. [Google Scholar] [CrossRef]
- Babin, K.; Antoine, F.; Goncalves, D.M.; Girard, D. TiO2, CeO2 and ZnO nanoparticles and modulation of the degranulation process in human neutrophils. Toxicol. Lett. 2013, 221, 57–63. [Google Scholar] [CrossRef]
- Vassal, M.; Pereira, C.D.; Martins, F.; Silva, V.L.M.; Silva, A.M.S.; Senos, A.M.R.; Costa, M.E.V.; de Pereira, M.L.; Rebelo, S. Different Strategies to Attenuate the Toxic Effects of Zinc Oxide Nanoparticles on Spermatogonia Cells. Nanomaterials 2022, 12, 3561. [Google Scholar] [CrossRef]
- Pandurangan, M.; Jin, B.Y.; Kim, D.H. ZnO Nanoparticles Upregulates Adipocyte Differentiation in 3T3-L1 Cells. Biol. Trace. Elem. Res. 2016, 170, 201–207. [Google Scholar] [CrossRef] [PubMed]









| Zn Based Nanosystem | Green-Reducing Agent from Psidium Genera | Method of Extraction | Antibacterial Activity | Antibiofilm Activity | Cytotoxic Evaluation | Reference |
|---|---|---|---|---|---|---|
| ZnO nanoparticles | Psidium guajava | Decoction | S. aureus and E. coli | † | † | [22] |
| Fe-doped ZnO and Co-doped ZnO | Psidium guajava | Decoction | S. pneumoniae, B. subtilis, P. aeruginosa, and K. pneumoniae | † | MOLT-4 and L929 cell lines | [23] |
| ZnO nanoparticles | Psidium guajava | Decoction | B. cereus, K. pneumoniae, S. aureus, and E. coli | † | † | [24] |
| Zn nanoparticles | Psidium guajava | Decoction | † | † | † | [25] |
| ZnO nanoparticles | Psidium guajava | Decoction | P. aeruginosa, P. vulgaris, K. pneumoniae, E. coli, S. aureus, B. subtilis, and S. typhimurium | † | Vero cell line | [26] |
| ZnO nanoparticles | Psiudium guajava | Decoction | S. aureuus, S. enterica, E. coli, B. cereus, B. subtilis, and P. syringae | † | † | [27] |
| ZnO and carbon dots nanoparticles hybrids | Psidium guajava | Decoction | † | † | † | [28] |
| ZnO NPs | Psidium guajava | Soxhlet reflux | E. faecalis and S. aureus | S. mutans and C. albicans | MDA MB 231 cells | [29] |
| ZnO nanoparticles | Psidium guajava | Infusion | † | † | MCF7, HeLa, and HDF | [30] |
| ZnO nanoparticles | Psidium cattleianum * | Infusion, Maceration, and Ultrasound | Enterihemorragic E. coli, P. aeruginosa, S. aureus, and Salmonella enteritidis | Enterihemorragic E. coli, P. aeruginosa, S. aureus, and Salmonella enteritidis | Primary cell culture (goat leukocytes) and 3 T3-L1 cell line | This work |
| Concentration (μg/mL) | Infusion Phytochemical Content | Ultrasound Phytochemical Content | Maceration Phytochemical Content | ||||||
|---|---|---|---|---|---|---|---|---|---|
| TPC | TFC | CTC | TPC | TFC | CTC | TPC | TFC | CTC | |
| 50 | † | † | 6.83 ± 0.16 bC | † | † | 5.48 ± 0.16 bC | † | † | 5.14 ± 0.19 cC |
| 100 | † | † | 6.23 ± 0.18 bC | † | 227.05 ± 4.33 eH | 5.10 ± 0.18 cC | † | 209.08 ± 1.40 eJ | 5.13 ± 0.30 cC |
| 200 | 173.73 ± 2.43 eG | 251.63 ± 4.87 bE | 5.33 ± 0.23 bC | 88.34 ± 4.71 c | 232.50 ± 5.64 dG | 5.47 ± 0.17 bC | 49.61 ± 0.54 dK | 217.91 ± 1.14 dI | 5.21 ± 0.15 cC |
| 400 | 215.51 ± 1.40 dE | 234.13 ± 7.67 cG | 6.15 ± 1.63 bBC | 200.63 ± 2.42 bF | 239.25 ± 1.00 dF | 5.08 ± 0.16 cC | 117.11 ± 1.77 c J | 236.38 ± 1.20 cG | 4.71 ± 0.28 cD |
| 600 | 273.3 ± 1.69 cC | 246.25 ± 1.56 bE | 6.98 ± 0.19 bB | 237.89 ± 0.97 aD | 249.63 ± 4.77 cE | 6.20 ± 0.44 aB | 160.99 ± 1.56 bI | 240.56 ± 1.22 cF | 6.20 ± 0.34 bB |
| 800 | 283.19 ± 1.52 Aa | 235.18 ± 1.46 cG | 12.11 ± 0.19 aA | 238.455 ± 0.57 aD | 316.38 ± 5.02 bD | 6.21 ± 0.76 aB | 166.54 ± 0.44 aH | 334.63 ± 1.78 bC | 7.03 ± 1.21 bAB |
| 1000 | 269.89 ± 1.52 bB | 370.38 ± 18.73 aB | 13.67 ± 5.55 aA | 239.28 ± 15.15 aD | 483.25 ± 7.42 aA | 6.86 ± 0.29 aB | 168.41 ± 5.10 aGH | 482.5 ± 2.71 aA | 10.59 ± 3.77 aA |
| Sample | Size (nm) | PDI | Zeta-Potential (mV) |
|---|---|---|---|
| NPs infusion | 343 ± 115 a | 0.619 ± 0.082 a | −10.79 ± 1.57 c |
| NPs maceration | 519 ± 150 a | 0.740 ± 0.134 ab | −17.83 ± 1.90 b |
| NPs ultrasound | 134 ± 60 b | 0.383 ± 0.220 b | −41.57 ± 0.38 a |
| Band Position cm−1 | Assignment | ||
|---|---|---|---|
| Infusion | Ultrasound | Maceration | |
| 3400 | 3400 | 3400 | OH stretching |
| 2931 | C-H stretching | ||
| 1608 | C=C stretching | ||
| 1511 | 1509 | C-H bending | |
| 1395 | 1391 | 1388 | C-H bending |
| 1131 | 1122 | C-O stretching | |
| 1059 | 1049 | C-O stretching | |
| 955 | 949 | C-H bending | |
| 895 | Zn-OH | ||
| 833 | 833 | Zn-OH | |
| 601 | OH bending | ||
| 437 | 418 | 418 | Zn-O stretching |
| NPs-Infusion | ||||||
| Bacteria | Congo Red Assay | Crystal Violet Assay | ||||
| Concentration (mg/mL) | Black Colonies Inhibition | Concentration (mg/mL) | Biofilm Inhibition (%) | Interpretation | ||
| Escherichia coli O157:H7 | 5 | ++ | 5 | 45.56 ±6.95 a | Good | |
| 8 | ++ | 8 | 51.68 ±1.59 a | Good | ||
| 10 | +++ | 10 | 60.24 ±3.82 b | Good | ||
| Pseudomonas aeruginosa | 5 | + | 5 | 28.86 ±5.53 a | Weak | |
| 8 | + | 8 | 36.91 ±1.45 b | Weak | ||
| 10 | ++ | 10 | 40.22 ±3.04 b | Weak | ||
| Staphylococcus aureus | 5 | + | 5 | 24.32 ±5.87 a | Weak | |
| 8 | + | 8 | 20.51 ±4.57 a | Weak | ||
| 10 | ++ | 10 | 34.30 ±4.11 b | Weak | ||
| Salmonella enteritidis | 5 | +++ | 5 | 50.83 ±3.47 a | Good | |
| 8 | +++ | 8 | 57.22 ±6.99 a | Good | ||
| 10 | +++ | 10 | 69.17 ±2.93 b | Good | ||
| NPs-Ultrasound | ||||||
| Bacteria | Congo Red Assay | Crystal Violet Assay | ||||
| Concentration (mg/mL) | Black Colonies Inhibition | Concentration (mg/mL) | Biofilm Inhibition (%) | Interpretation | ||
| Escherichia coli O157:H7 | 5 | + | 5 | 42.18 ±9.61 a | Weak | |
| 8 | ++ | 8 | 40.31 ±1.49 a | Weak | ||
| 10 | +++ | 10 | 42.94 ±8.46 a | Good | ||
| Pseudomonas aeruginosa | 5 | + | 5 | 31.56 ±11.18 a | Weak | |
| 8 | ++ | 8 | 53.73 ±12.27 b | Good | ||
| 10 | +++ | 10 | 58.21 ±1.15 b | Good | ||
| Staphylococcus aureus | 5 | ++ | 5 | 30.35 ±7.98 a | Weak | |
| 8 | +++ | 8 | 31.17 ±6.12 a | Weak | ||
| 10 | +++ | 10 | 49.64 ±7.95 b | Good | ||
| Salmonella enteritidis | 5 | +++ | 5 | 56.94 ±3.47 ab | Good | |
| 8 | +++ | 8 | 48.61 ±6.29 a | Good | ||
| 10 | +++ | 10 | 60.18 ±3.17 b | Good | ||
Disclaimer/Publisher’s Note: The statements, opinions and data contained in all publications are solely those of the individual author(s) and contributor(s) and not of MDPI and/or the editor(s). MDPI and/or the editor(s) disclaim responsibility for any injury to people or property resulting from any ideas, methods, instructions or products referred to in the content. |
© 2025 by the authors. Licensee MDPI, Basel, Switzerland. This article is an open access article distributed under the terms and conditions of the Creative Commons Attribution (CC BY) license (https://creativecommons.org/licenses/by/4.0/).
Share and Cite
Padilla-Hernández, C.I.; Silva-Jara, J.M.; Reyes-Becerril, M.; Fonseca-García, A.; Anaya-Esparza, L.M.; Orozco-Sánchez, P.R.; Rivera-Valdés, J.J.; López-Orozco, M.; Velázquez-Carriles, C.A.; Macías-Rodríguez, M.E. Green Synthesis of Zinc Oxide Nanoparticles with Psidium cattleianum Leaves Extracts as Reducing Agent: Influence of Extraction Method on Physicochemical and Biological Activities. Physchem 2025, 5, 17. https://doi.org/10.3390/physchem5020017
Padilla-Hernández CI, Silva-Jara JM, Reyes-Becerril M, Fonseca-García A, Anaya-Esparza LM, Orozco-Sánchez PR, Rivera-Valdés JJ, López-Orozco M, Velázquez-Carriles CA, Macías-Rodríguez ME. Green Synthesis of Zinc Oxide Nanoparticles with Psidium cattleianum Leaves Extracts as Reducing Agent: Influence of Extraction Method on Physicochemical and Biological Activities. Physchem. 2025; 5(2):17. https://doi.org/10.3390/physchem5020017
Chicago/Turabian StylePadilla-Hernández, Christian Israel, Jorge Manuel Silva-Jara, Martha Reyes-Becerril, Abril Fonseca-García, Luis Miguel Anaya-Esparza, Paulo Roberto Orozco-Sánchez, Juan José Rivera-Valdés, Mireille López-Orozco, Carlos Arnulfo Velázquez-Carriles, and María Esther Macías-Rodríguez. 2025. "Green Synthesis of Zinc Oxide Nanoparticles with Psidium cattleianum Leaves Extracts as Reducing Agent: Influence of Extraction Method on Physicochemical and Biological Activities" Physchem 5, no. 2: 17. https://doi.org/10.3390/physchem5020017
APA StylePadilla-Hernández, C. I., Silva-Jara, J. M., Reyes-Becerril, M., Fonseca-García, A., Anaya-Esparza, L. M., Orozco-Sánchez, P. R., Rivera-Valdés, J. J., López-Orozco, M., Velázquez-Carriles, C. A., & Macías-Rodríguez, M. E. (2025). Green Synthesis of Zinc Oxide Nanoparticles with Psidium cattleianum Leaves Extracts as Reducing Agent: Influence of Extraction Method on Physicochemical and Biological Activities. Physchem, 5(2), 17. https://doi.org/10.3390/physchem5020017

