Eco-Friendly Voltammetric Techniques for Assessing Antioxidant Properties in Dietary Supplements
Abstract
1. Introduction
2. Materials and Methods
2.1. Sample Preparation
2.2. Cyclic Voltammetry and Differential Pulse Voltammetry
2.3. Methods for the Detection of Antioxidant Properties
2.4. Statistical Analysis
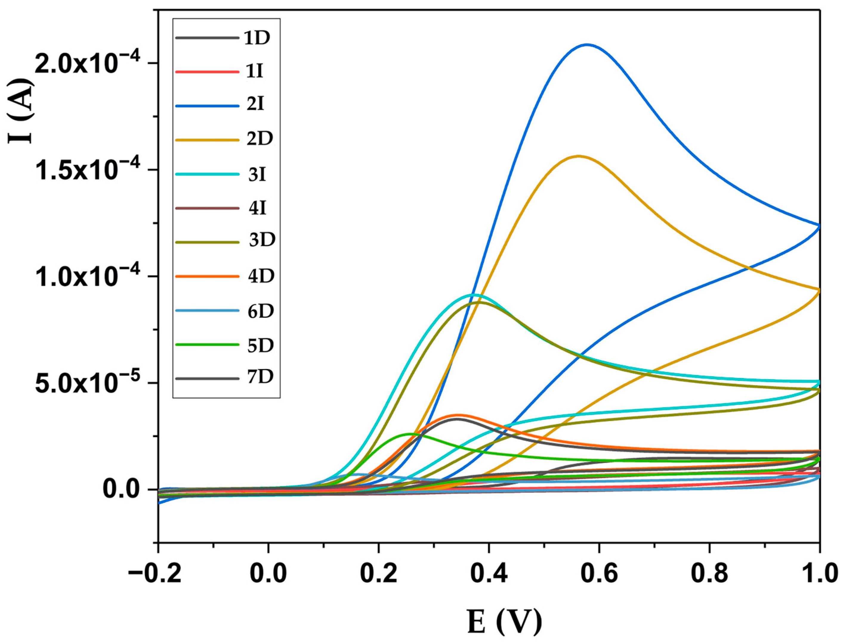
3. Results
4. Discussion
5. Conclusions
Author Contributions
Funding
Data Availability Statement
Conflicts of Interest
Abbreviations
| ABTS | 2,2-azino-bis(3-ethyl-benzothiazoline-6-sulfonic acid |
| CE | Vitamin C equivalent |
| CV | Cyclic voltammetry |
| D | Domestic product |
| DPPH | 2,2-diphenyl-picrylhydrazyl |
| DPV | Differential pulse voltammetry |
| DS | Dietary supplements |
| FC | Folin-Ciocalteu |
| FRAP | Ferric reducing antioxidant power |
| GAE | Gallic acid equivalent |
| GC | Glassy carbon |
| I | Imported product |
Appendix A
| Dietary Supplement | DPPH (% Scavenging Activity Original Sample/250 mL) | FC (µg GAE/250 mL) | FRAP (mg/250 mL CE) | ABTS (mg/250 mL CE) | CV (mg/250 mL CE) | Vitamin C (mg/250 mL Daily Dose) | Vitamin C (Declared, mg) | pH |
|---|---|---|---|---|---|---|---|---|
| 1D | 92.90 ± 0.10 | 1058.67 ± 35.92 | 181.33 ± 6.11 | 273.33 ± 5.86 | 29.60 ± 0.54 | 86.00 ± 6.00 | / | 3.35 ± 0.01 |
| 2D | 96.50 ± 0.50 | 1409.67 ± 58.51 | 393.67 ± 7.23 | 904.00 ± 41.07 | 625.50 ± 25.43 | 521.33 ± 3.51 | 500 | 3.61 ± 0.01 |
| 3D | 93.97 ± 0.15 | 861.33 ± 33.56 | 202.33 ± 6.81 | 270.17 ± 12.75 | 303.67 ± 21.78 | 304.67 ± 4.51 | 300 | 4.29 ± 0.02 |
| 4D | 94.93 ± 0.06 | 250.33 ± 41.96 | 66.33 ± 1.53 | 106.83 ± 13.04 | 97.00 ± 1.00 | 97.01 ± 2.02 | 100 | 3.86 ± 0.01 |
| 5D | 95.67 ± 0.29 | 140.67 ± 25.66 | 52.33 ± 1.53 | 90.17 ± 2.25 | 52.08 ± 0.88 | 54.67 ± 2.51 | 60 | 3.31 ± 0.01 |
| 6D | 12.67 ± 0.15 | 147.67 ± 13.05 | 40.33 ± 0.58 | 85.33 ± 7.51 | 11.67 ± 0.58 | 79.33 ± 1.15 | 60 | 4.62 ± 0.02 |
| 7D | 94.67 ± 0.42 | 278.33 ± 16.20 | 66.33 ± 3.21 | 117.33 ± 7.51 | 83.25 ± 5.06 | 92.67 ± 3.78 | 90 | 3.41 ± 0.02 |
| 8D | 95.57 ± 0.67 | 118.33 ± 8.39 | 44.67 ± 0.58 | 24.833 ± 2.02 | 104.83 ± 1.26 | 113.67 ± 1.53 | 150 | 4.17 ± 0.02 |
| 9D | 96.30 ± 0.26 | 193.67 ± 3.21 | 130.33 ± 2.08 | 74.83 ± 7.29 | 5.93 ± 0.38 | 45.67 ± 0.58 | 48 | 3.05 ± 0.02 |
| 10D | 96.03 ± 0.55 | 227.33 ± 8.74 | 144.67 ± 3.79 | 84.33 ± 5.13 | 6.97 ± 0.42 | 41.33 ± 1.15 | 48 | 3.15 ± 0.01 |
| 1I | 91.67 ± 0.58 | 519.33 ± 17.50 | 28.33 ± 0.58 | 129.33 ± 11.02 | 16.00 ± 2.14 | 121.33 ± 1.15 | 200 | 5.86 ± 0.02 |
| 2I | 96.33 ± 0.58 | 2316.33 ± 48.85 | 263.33 ± 3.79 | 906.33 ± 35.13 | 797.67 ± 32.47 | 947.00 ± 3.01 | 950 | 3.35 ± 0.01 |
| 3I | 89.07 ± 0.06 | 931.33 ± 38.85 | 241.33 ± 4.93 | 618.33 ± 29.28 | 314.42 ± 19.99 | 294.33 ± 0.58 | 350 | 6.20 ± 0.0 |
| 4I | 89.93 ± 0.21 | 157.33 ± 18.93 | 22.67 ± 0.58 | 83.33 ± 5.20 | 3.11 ± 0.16 | 15.67 ± 0.58 | / | 7.07 ± 0.01 |
| 5I | 95.77 ± 0.32 | 566.33 ± 16.50 | 302.33 ± 3.21 | 144.33 ± 9.02 | 151.50 ± 6.26 | 148.33 ± 1.53 | 150 | 4.97 ± 0.01 |
| 6I | 8.16 ± 0.97 | 57.67 ± 15.04 | 20.67 ± 2.51 | 3.42 ± 0.72 | 0.27 ± 0.03 | 0 | / | 6.86 ± 0.01 |
| 7I | 95.57 ± 0.81 | 114.67 ± 7.02 | 82.33 ± 3.06 | 81.67 ± 12.58 | 7.01 ± 0.01 | 41.33 ± 1.15 | 60 | 3.98 ± 0.01 |
| 8I | 95.57 ± 0.60 | 186.67 ± 14.50 | 83.67 ± 3.21 | 53.67 ± 6.03 | 3.01 ±0.01 | 20.33 ± 0.58 | 40 | 3.71 ± 0.01 |
References
- Pizzino, G.; Irrera, N.; Cucinotta, M.; Pallio, G.; Mannino, F.; Arcoraci, V.; Squadrito, F.; Altavilla, D.; Bitto, A. Oxidative Stress: Harms and Benefits for Human Health. Oxid. Med. Cell. Longev. 2017, 2017, 8416763. [Google Scholar] [CrossRef] [PubMed]
- Jomova, K.; Raptova, R.; Alomar, S.Y.; Alwasel, S.H.; Nepovimova, E.; Kuca, K.; Valko, M. Reactive oxygen species, toxicity, oxidative stress, and antioxidants: Chronic diseases and aging. Arch. Toxicol. 2023, 97, 2499–2574. [Google Scholar] [CrossRef] [PubMed]
- EFSA Panel on Food Additives and Nutrient Sources added to Food (ANS); Younes, M.; Aggett, P.; Aguilar, F.; Crebelli, R.; Dusemund, B.; Filipič, M.; Frutos, M.J.; Galtier, P.; Gundert-Remy, U.; et al. Guidance on safety evaluation of sources of nutrients and bioavailability of nutrient from the sources (Revision 1). EFSA J. 2021, 19, e06552. [Google Scholar] [CrossRef]
- EFSA NDA Panel; Turck, D.; Bresson, J.-L.; Burlingame, B.; Dean, T.; Fairweather-Tait, S.; Heinonen, M.; Hirsch-Ernst, K.I.; Mangelsdorf, I.; McArdle, H.J.; et al. Guidance for the scientific requirements for health claims related to antioxidants, oxidative damage and cardiovascular health (Revision 1). EFSA J. 2018, 16, e05136. [Google Scholar] [CrossRef]
- Kalogerakou, T.; Antoniadou, M. The Role of Dietary Antioxidants, Food Supplements and Functional Foods for Energy Enhancement in Healthcare Professionals. Antioxidants 2024, 13, 1508. [Google Scholar] [CrossRef]
- Bié, J.; Sepodes, B.; Fernandes, P.C.B.; Ribeiro, M.H.L. Polyphenols in Health and Disease: Gut Microbiota, Bioaccessibility, and Bioavailability. Compounds 2023, 3, 40–72. [Google Scholar] [CrossRef]
- Brzezińska-Rojek, J.; Sagatovych, S.; Malinowska, P.; Gadaj, K.; Prokopowicz, M.; Grembecka, M. Antioxidant Capacity, Nitrite and Nitrate Content in Beetroot-Based Dietary Supplements. Foods 2023, 12, 1017. [Google Scholar] [CrossRef]
- Thakkar, S.; Anklam, E.; Xu, A.; Ulberth, F.; Li, J.; Li, B.; Hugas, M.; Sarma, N.; Crerar, S.; Swift, S.; et al. Regulatory landscape of dietary supplements and herbal medicines from a global perspective. Regul. Toxicol. Pharmacol. 2020, 114, 104647. [Google Scholar] [CrossRef]
- Arias, A.; Feijoo, G.; Moreira, M.T. Exploring the potential of antioxidants from fruits and vegetables and strategies for their recovery. Innov. Food Sci. Emerg. Technol. 2022, 77, 102974. [Google Scholar] [CrossRef]
- Lam, M.; Khoshkhat, P.; Chamani, M.; Shahsavari, S.; Dorkoosh, F.A.; Rajabi, A.; Maniruzzaman, M.; Nokhodchi, A. In-depth multidisciplinary review of the usage, manufacturing, regulations & market of dietary supplements. J. Drug Deliv. Sci. Technol. 2022, 67, 102985. [Google Scholar] [CrossRef]
- Bartosz, G. Total antioxidant capacity. Adv. Clin. Chem. 2003, 37, 219–292. [Google Scholar] [CrossRef]
- Meščić Macan, A.; Gazivoda Kraljević, T.; Raić-Malić, S. Therapeutic Perspective of Vitamin C and Its Derivatives. Antioxidants 2019, 8, 247. [Google Scholar] [CrossRef]
- Cecchini, M.; Warin, L. Impact of food labelling systems on food choices and eating behaviours: A systematic review and meta-analysis of randomized studies. Obes. Rev. 2016, 17, 201–210. [Google Scholar] [CrossRef]
- Djaoudene, O.; Romano, A.; Bradai, Y.D.; Zebiri, F.; Ouchene, A.; Yousfi, Y.; Amrane-Abider, M.; Sahraoui-Remini, Y.; Madani, K. A Global Overview of Dietary Supplements: Regulation, Market Trends, Usage during the COVID-19 Pandemic, and Health Effects. Nutrients 2023, 15, 3320. [Google Scholar] [CrossRef]
- Bensa, M.; Vovk, I.; Glavnik, V. Resveratrol Food Supplement Products and the Challenges of Accurate Label Information to Ensure Food Safety for Consumers. Nutrients 2023, 15, 474. [Google Scholar] [CrossRef]
- Sadowska-Bartosz, I.; Bartosz, G. Evaluation of The Antioxidant Capacity of Food Products: Methods, Applications and Limitations. Processes 2022, 10, 2031. [Google Scholar] [CrossRef]
- Prior, R.L.; Wu, X.; Schaich, K. Standardized Methods for the Determination of Antioxidant Capacity and Phenolics in Foods and Dietary Supplements. J. Agric. Food Chem. 2005, 53, 4290–4302. [Google Scholar] [CrossRef]
- Munteanu, I.G.; Apetrei, C. Analytical Methods Used in Determining Antioxidant Activity: A Review. Int. J. Mol. Sci. 2021, 22, 3380. [Google Scholar] [CrossRef]
- Pohanka, M. Assays of antioxidant capacity: Optics and voltammetry. Int. J. Electrochem. Sci. 2023, 18, 100276. [Google Scholar] [CrossRef]
- Bisby, R.H.; Brooke, R.; Navaratnam, S. Effect of antioxidant oxidation potential in the oxygen radical absorption capacity (ORAC) assay. Food Chem. 2008, 108, 1002–1007. [Google Scholar] [CrossRef] [PubMed]
- Patil, N.D.; Bains, A.; Sridhar, K.; Sharma, M.; Dhull, S.B.; Goksen, G.; Chawla, P.; Inbaraj, B.S. Recent advances in the analytical methods for quantitative determination of antioxidants in food matrices. Food Chem. 2025, 463, 141348. [Google Scholar] [CrossRef]
- Tuna, B.H.; Gürbüz, M.; Uğur, H.; Çatak, J.; Yaman, M. Vitamin C bioaccessibility of commercially available dietary supplements: Quantity vs. efficiency, does it matter? J. Food Compos. Anal. 2023, 123, 105558. [Google Scholar] [CrossRef]
- Huang, L.; Waseem Shah, M.; Wang, Y.; Nam, Y.; Sun, G. Exploring the association between dietary patterns and the types of dietary supplements used. J. Funct. Foods 2024, 113, 106030. [Google Scholar] [CrossRef]
- Vasić, V.; Gašić, U.; Stanković, D.; Lušić, D.; Vukić-Lušić, D.; Milojković-Opsenica, D.; Tešić, Ž.; Trifković, J. Towards Better Quality Criteria of European Honeydew Honey: Phenolic Profile and Antioxidant Capacity. Food Chem. 2019, 274, 629–641. [Google Scholar] [CrossRef]
- Osorio-Valencia, A.I.; de Jesús Franco-Mejía, J.; Hoyos-Arbeláez, J.A.; Blandón-Naranjo, L.; Vega-Castro, O.A.; Contreras-Calderón, J. Evaluation of antioxidant capacity in different food matrices through differential pulse voltammetry and its correlation with spectrophotometric methods. J. Appl. Electrochem. 2023, 53, 2495–2505. [Google Scholar] [CrossRef]
- Lugonja, N.M.; Stanković, D.M.; Spasić, S.D.; Veličković, D.; Manojlović, D.D. Comparative Electrochemical Determination of Total Antioxidant Activity in Infant Formula with Breast Milk. Food Anal. Methods 2014, 7, 337–344. [Google Scholar] [CrossRef]
- Lugonja, N.M.; Stanković, D.M.; Miličić, B.; Spasić, S.D.; Marinković, V.; Vrvić, M.M. Electrochemical Monitoring of the Breast Milk Quality. Food Chem. 2018, 240, 567–572. [Google Scholar] [CrossRef] [PubMed]
- Ristivojević, P.; Trifković, J.; Stanković, D.M.; Radoičić, A.; Manojlović, D.; Milojković-Opsenica, D. Cyclic voltammetry and UV/Vis spectroscopy in combination with multivariate data analysis for the assessment of authenticity of poplar type propolis. J. Apic. Res. 2017, 56, 559–568. [Google Scholar] [CrossRef]
- Jara-Palacios, M.J.; Begines, E.; Heredia, F.J.; Escudero-Gilete, M.L.; Hernanz, D. Effectiveness of Cyclic Voltammetry in Evaluation of the Synergistic Effect of Phenolic and Amino Acids Compounds on Antioxidant Activity: Optimization of Electrochemical Parameters. Foods 2024, 13, 906. [Google Scholar] [CrossRef]
- Silva, T.M.S.; Camara, C.A.; Lins, A.C.S.; Barbosa-Filho, J.M.; Silva, E.M.S.; Freitas, B.M.; Santos, F.A.R. Chemical composition and free radical scavenging activity of pollen loads from stingless bee Melipona subnitida Ducke. J. Food Compos. Anal. 2006, 19, 507–511. [Google Scholar] [CrossRef]
- Singleton, V.L.; Orthofer, R.; Lamuela-Raventós, R.M. Analysis of total phenols and other oxidation substrates and antioxidants by means of Folin-Ciocalteu reagent. Methods Enzymol. 1999, 299, 152–178. [Google Scholar] [CrossRef]
- Mannino, G.; Serio, G.; Gaglio, R.; Busetta, G.; La Rosa, L.; Lauria, A.; Settanni, L.; Gentile, C. Phytochemical Profile and Antioxidant, Antiproliferative, and Antimicrobial Properties of Rubus idaeus Seed Powder. Foods 2022, 1, 2605. [Google Scholar] [CrossRef]
- Benzie, I.F.; Strain, J.J. The Ferric Reducing Ability of Plasma (FRAP) as a measure of Antioxidant Power: The FRAP Assay. Anal. Biochem. 1996, 239, 70–76. [Google Scholar] [CrossRef]
- Suliborska, K.; Baranowska, M.; Bartoszek, A.; Chrzanowski, W.; Namieśnik, J. Determination of Antioxidant Activity of Vitamin C by Voltammetric Methods. Proceedings 2019, 11, 23. [Google Scholar] [CrossRef]
- Chevion, S.; Roberts, M.A.; Chevion, M. The use of cyclic voltammetry for the evaluation of antioxidant capacity. Free Radic. Biol. Med. 2000, 28, 860–870. [Google Scholar] [CrossRef]
- Arteaga, J.F.; Ruiz-Montoya, M.; Palma, A.; Alonso-Garrido, G.; Pintado, S.; Rodríguez-Mellado, J.M. Comparison of the Simple Cyclic Voltammetry (CV) and DPPH Assays for the Determination of Antioxidant Capacity of Active Principles. Molecules 2012, 17, 5126–5138. [Google Scholar] [CrossRef]
- Zielińska, D.; Wiczkowski, W.; Piskuła, M.K. Determination of the relative contribution of quercetin and its glucosides to the antioxidant capacity of onion by cyclic voltammetry and spectrophotometric methods. J. Food Sci. 2008, 73, C97–C102. [Google Scholar] [CrossRef] [PubMed]
- Christodoulou, M.C.; Orellana Palacios, J.C.; Hesami, G.; Jafarzadeh, S.; Lorenzo, J.M.; Domínguez, R.; Moreno, A.; Hadidi, M. Spectrophotometric Methods for Measurement of Antioxidant Activity in Food and Pharmaceuticals. Antioxidants 2022, 11, 2213. [Google Scholar] [CrossRef] [PubMed]
- Mishra, K.; Ojha, H.; Chaudhury, N.K. Estimation of antiradical properties of antioxidants using DPPH assay: A critical review and results. Food Chem. 2012, 130, 1036–1043. [Google Scholar] [CrossRef]
- Foti, M.C. Use and Abuse of the DPPH• Radical. J. Agric. Food Chem. 2015, 63, 8765–8776. [Google Scholar] [CrossRef]
- Pruteanu, L.L.; Bailey, D.S.; Grădinaru, A.C.; Jäntschi, L. The Biochemistry and Effectiveness of Antioxidants in Food, Fruits, and Marine Algae. Antioxidants 2023, 12, 860. [Google Scholar] [CrossRef] [PubMed]






| Dietary Supplement | Biologically Active Ingredients | Quantity/Test Dose | Mass of Test Dose |
|---|---|---|---|
| 1D * | Polyphenols from Aronia melanocarpa | 1 Solution | 400 mg |
| 2D | Dry ethanol extract of propolis; Vitamin C, E, B1, D3, β-Carotene; Minerals: Zn, Se | 2 Capsules | 1170 mg |
| 3D | Astaxanthin; Vitamin C; Minerals: Se, Zn | 1 Dry granules | 3000 mg |
| 4D | Propolis extract; Vitamin C | 1 Tablet | 830 mg |
| 5D | Dry ethanol extract of propolis; Vitamin C, E, β-Carotene | 1 Tablet | 830 mg |
| 6D | Mineral: Zn; Vitamin: C | 1 Capsule | 130 mg |
| 7D | Mineral: Se; Vitamin C, E, A | 1 Capsule | 290 mg |
| 8D | Ground and activated seed of Brassica oleracea var. acephala; Minerals: Zn, Cu; Vitamin C; Inulin | 1 Capsule | 530 mg |
| 9D | Royal Jelly; Vitamin C | 1 Dry granules | 11,000mg |
| 10D | Royal Jelly; Vitamin C | 1 Dry granules | 12,000 mg |
| 1I | Bioflavonoids, Lutein, Lycopene; Vitamin A, D, E, K, C, B1, B2, B6, Niacin, Biotin, Folic acid; Minerals: K, Mg, Fe, Zn, Cu, Mn, Se, Cr, Mo, I | 3 Tablets | 3600 mg |
| 2I | Bioflavonoid, Lutein, Lycopene; Vitamin A, D, E, K, C, B1, B2, B6, B12, Niacin, Biotin, Folic acid; Minerals: Na, Fe, Zn, Cu, Mn, Se, Cr, Mo, I | 1 Dry granules | 15,000 mg |
| 3I | Vitamin D, Calcium L-ascorbate; Mineral: Zn | 1 Capsule | 600 mg |
| 4I | Mushroom extract, resveratrol, lycopene, Royal jelly | 1 Capsule | 600 mg |
| 5I | Vitamin A, C, E; Minerals: Se (Selenium yeast) | 1 Capsule | 480 mg |
| 6I | Colostrum bovine; Vitamin D3 | 1 Dry granules | 950 mg |
| 7I | Vitamin A, C, E, D, B1, B2, B3, B6, B9, B12, Calcium-pantothenate | 1 Tablet (dragee) | 1100 mg |
| 8I | Vitamin C, D; Mineral: Zn | 1 Chewing tablet | 2220 mg |
| Reference substance | L-ascorbic acid | Powder | 500 mg |
Disclaimer/Publisher’s Note: The statements, opinions and data contained in all publications are solely those of the individual author(s) and contributor(s) and not of MDPI and/or the editor(s). MDPI and/or the editor(s) disclaim responsibility for any injury to people or property resulting from any ideas, methods, instructions or products referred to in the content. |
© 2025 by the authors. Licensee MDPI, Basel, Switzerland. This article is an open access article distributed under the terms and conditions of the Creative Commons Attribution (CC BY) license (https://creativecommons.org/licenses/by/4.0/).
Share and Cite
Lugonja, N.; Stanković, D. Eco-Friendly Voltammetric Techniques for Assessing Antioxidant Properties in Dietary Supplements. Compounds 2025, 5, 51. https://doi.org/10.3390/compounds5040051
Lugonja N, Stanković D. Eco-Friendly Voltammetric Techniques for Assessing Antioxidant Properties in Dietary Supplements. Compounds. 2025; 5(4):51. https://doi.org/10.3390/compounds5040051
Chicago/Turabian StyleLugonja, Nikoleta, and Dalibor Stanković. 2025. "Eco-Friendly Voltammetric Techniques for Assessing Antioxidant Properties in Dietary Supplements" Compounds 5, no. 4: 51. https://doi.org/10.3390/compounds5040051
APA StyleLugonja, N., & Stanković, D. (2025). Eco-Friendly Voltammetric Techniques for Assessing Antioxidant Properties in Dietary Supplements. Compounds, 5(4), 51. https://doi.org/10.3390/compounds5040051

