Assessing Patterns of Moisture Content in Decomposing, Desiccated, and Mummified Tissue in Western North Carolina
Abstract
1. Introduction
2. Materials and Methods
2.1. Study Location
2.2. Donors
2.3. Data Collection
2.4. Statistical Analysis
3. Results
3.1. Weather Data
3.2. Head Observations
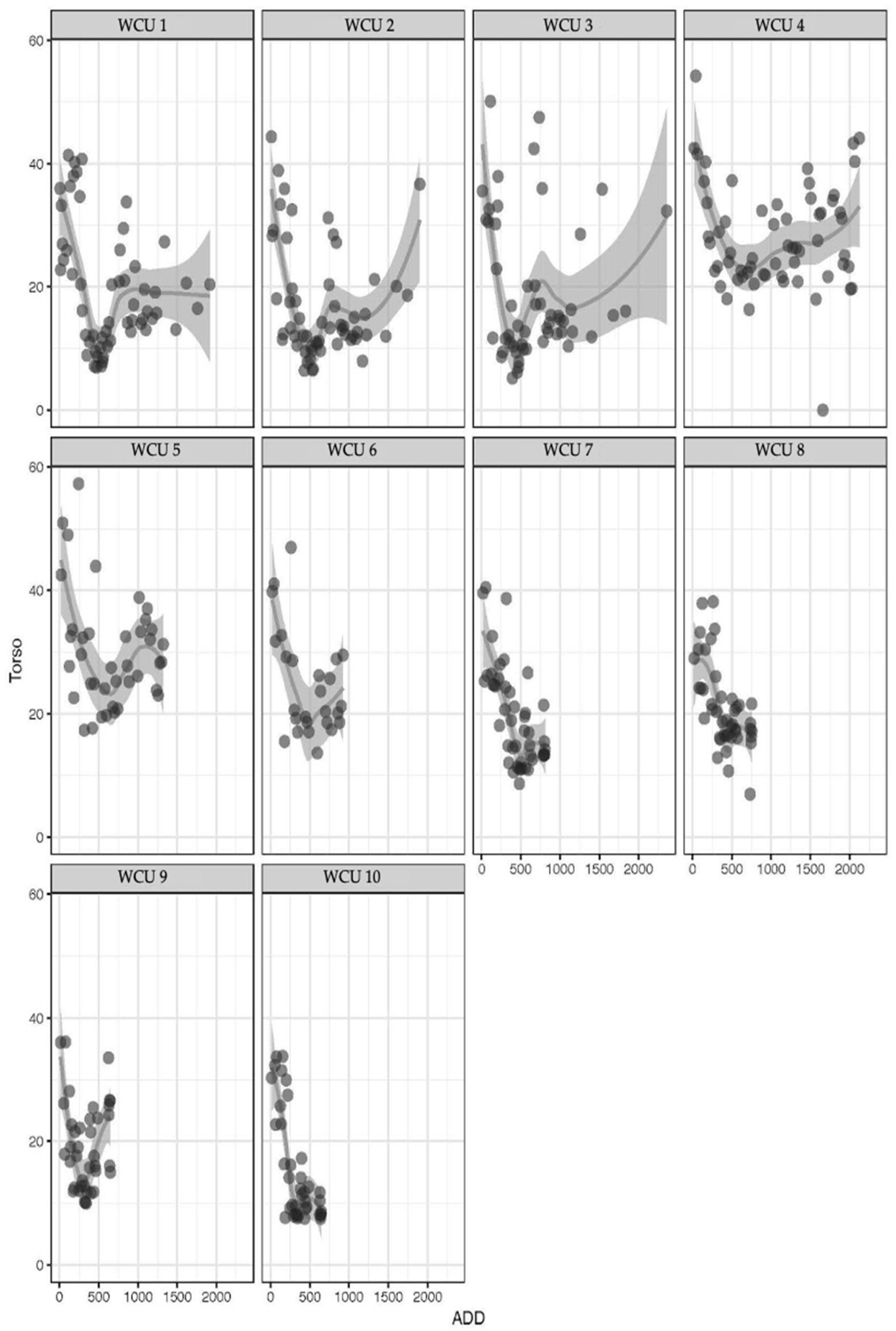
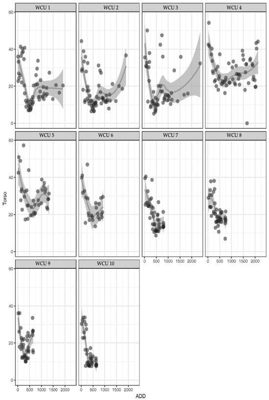
3.3. Torso Observations
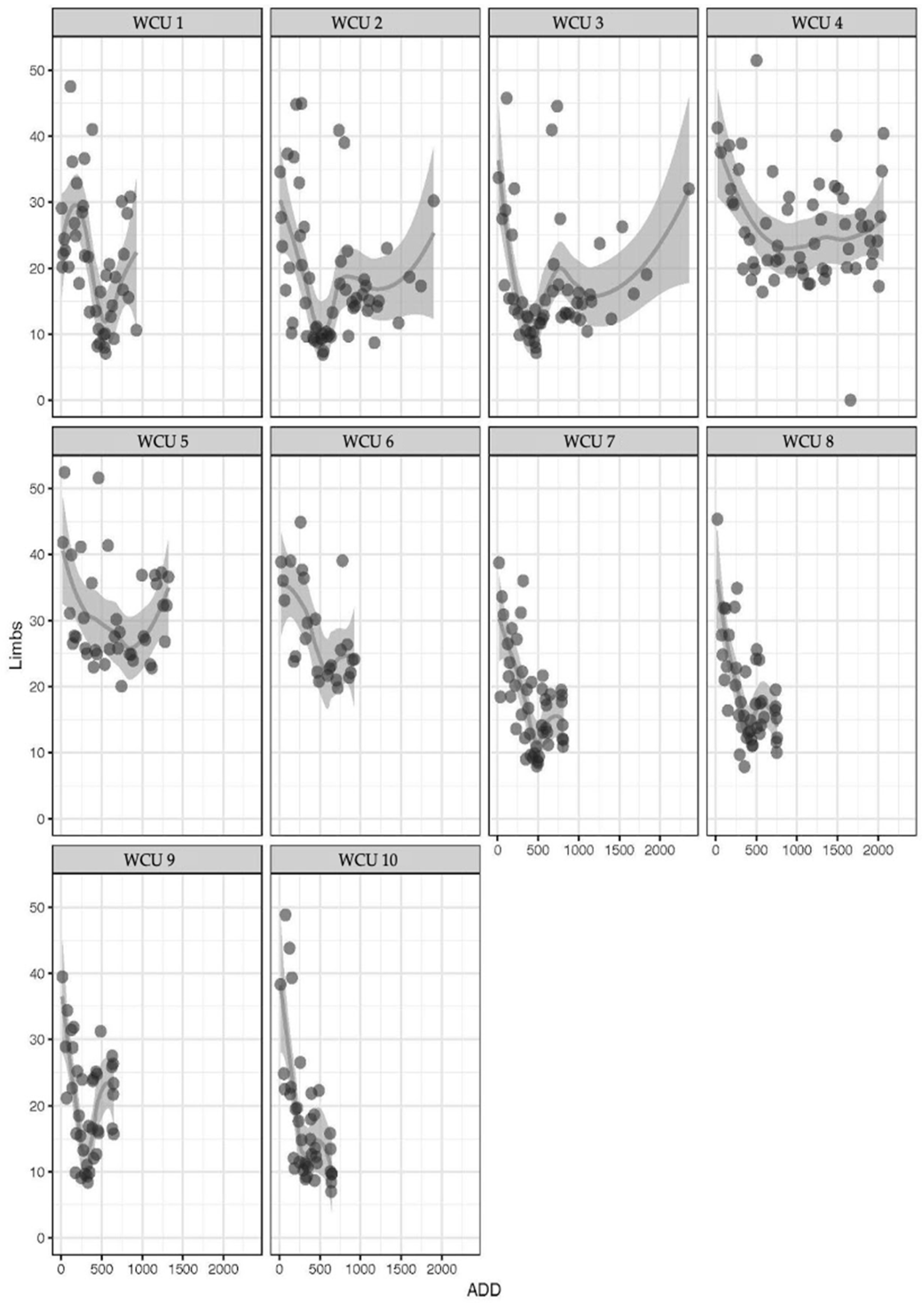
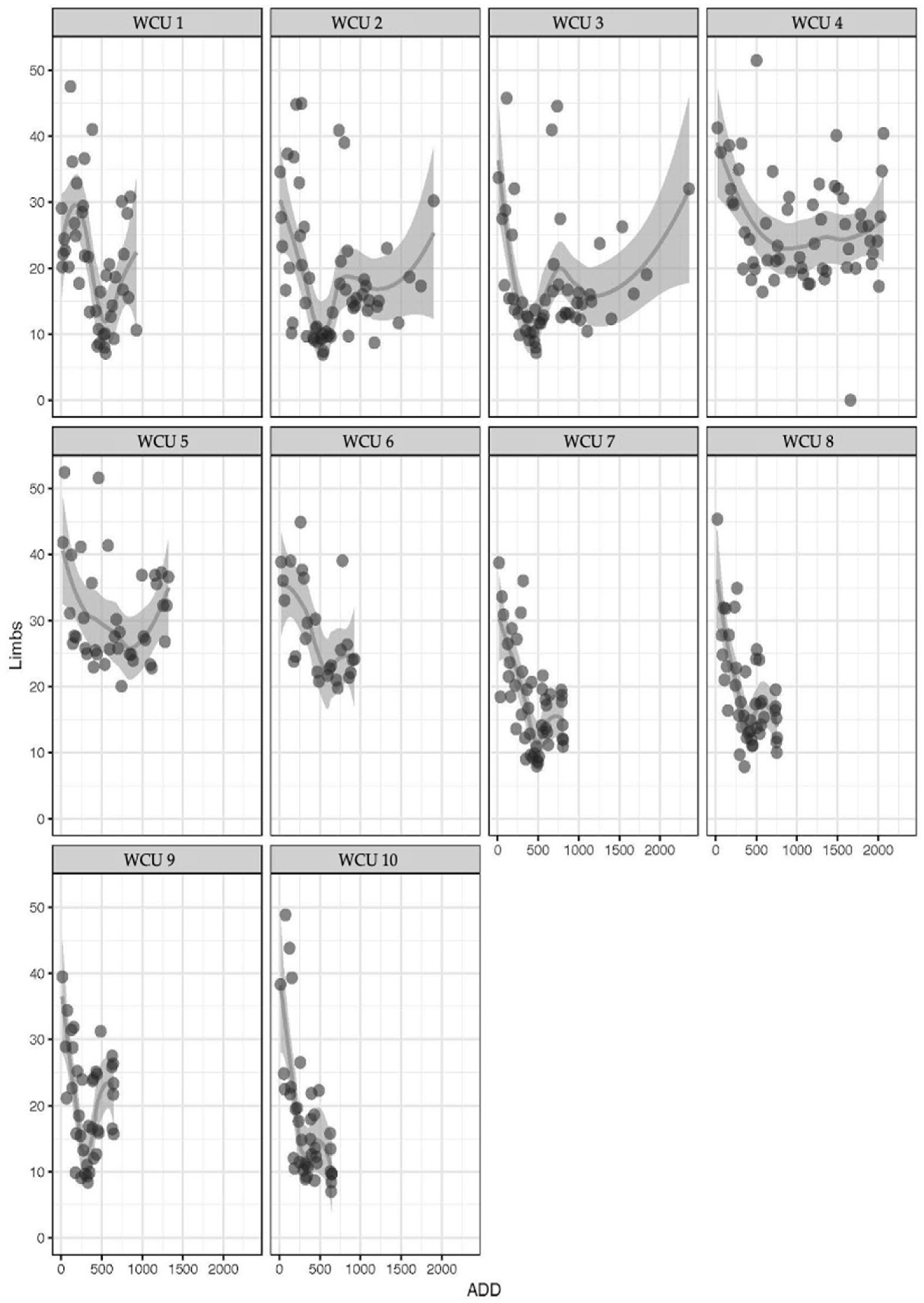
3.4. Limb Observations
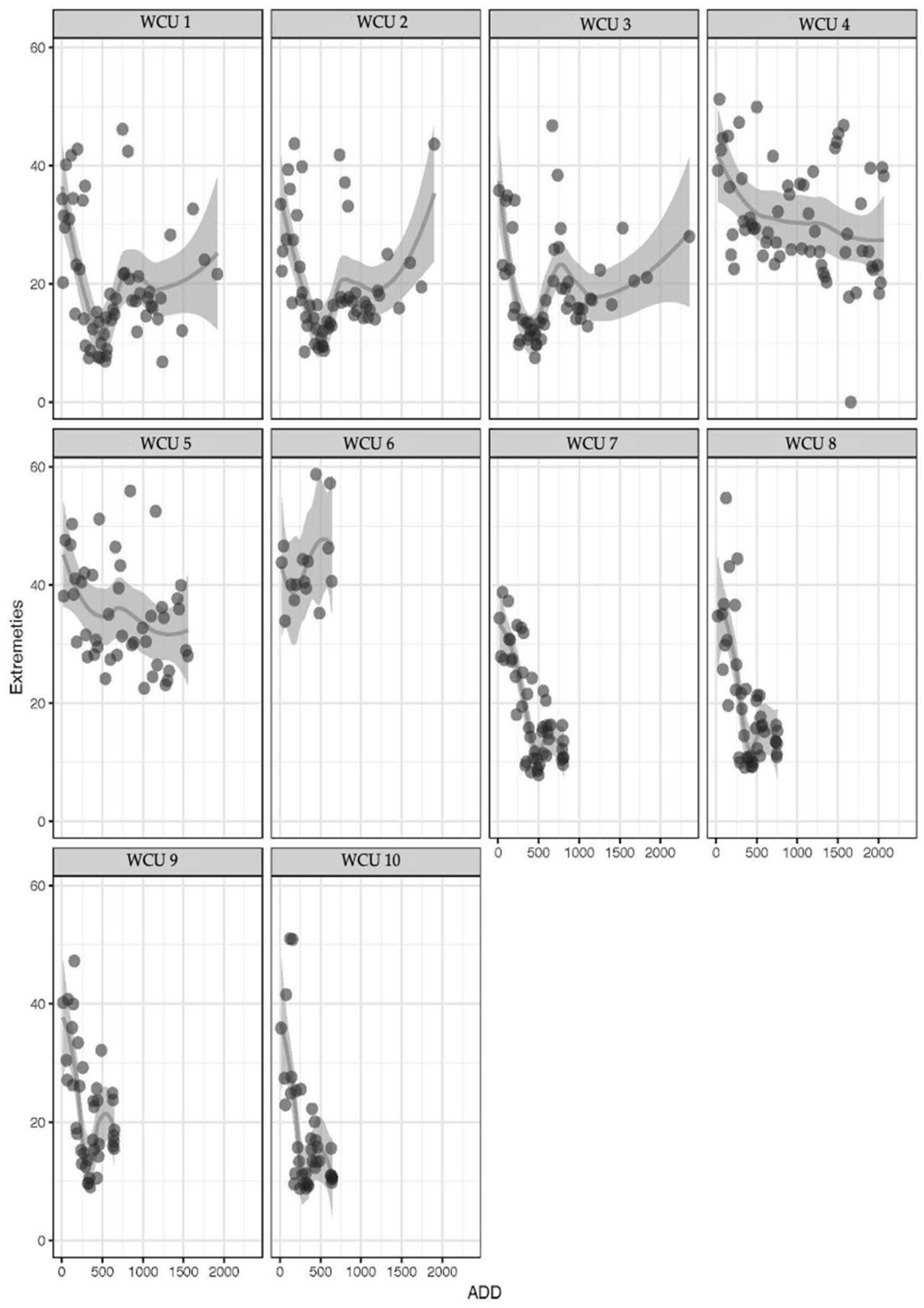
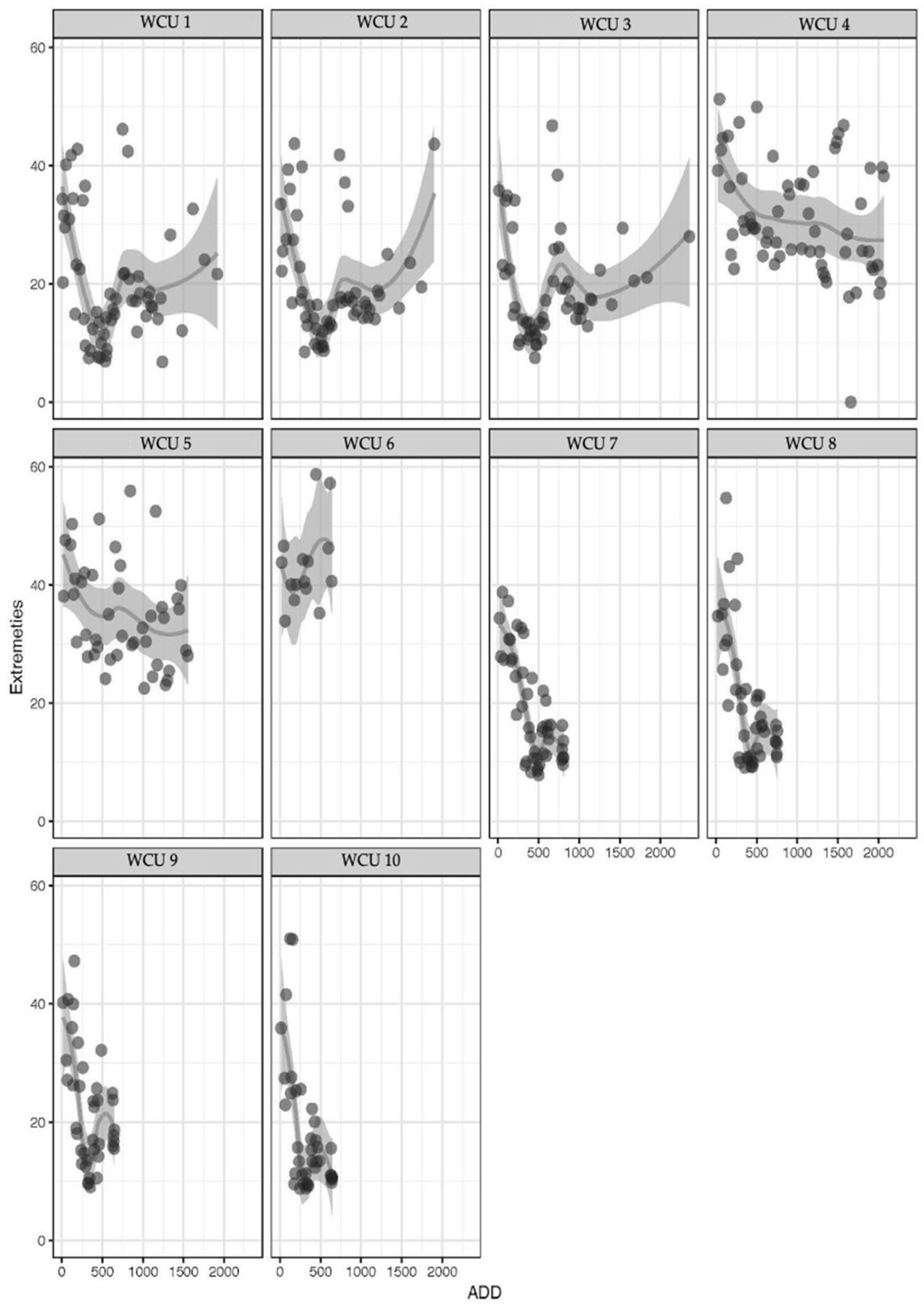
3.5. Extremity Observations
4. Discussion
5. Conclusions
Author Contributions
Funding
Institutional Review Board Statement
Informed Consent Statement
Data Availability Statement
Acknowledgments
Conflicts of Interest
Abbreviations
| PMI | Postmortem interval |
| FOREST | Forensic Osteology Research Station |
| ADD | Accumulated Degree Days |
| WCU | Western Carolina University |
| ICC | Interclass Correlation |
| logADD | Logarithmically transformed ADD |
References
- Emmons, A.L.; Deel, H.; Davis, M.; Metcalf, J.L. Soft tissue decomposition in terrestrial ecosystems. In Manual of Forensic Taphonomy; Elsevier: Amsterdam, The Netherlands, 2021; pp. 41–78. [Google Scholar]
- Ceciliason, A.-S.; Käll, B.; Sandler, H. Mummification in a forensic context: An observational study of taphonomic changes and the post-mortem interval in an indoor setting. Int. J. Legal Med. 2023, 137, 1077–1088. [Google Scholar] [CrossRef]
- Connor, M.; Baigent, C.; Hansen, E.S. Measuring desiccation using qualitative changes: A step toward determining regional decomposition sequences. J. Forensic Sci. 2019, 64, 1004–1011. [Google Scholar] [CrossRef]
- Schotsmans, E.M.J.; Van De Voorde, W.; De Winne, J.; Wilson, A.S. The impact of shallow burial on differential decomposition to the body: A temperate case study. Forensic Sci. Int. 2011, 206, e43–e48. [Google Scholar] [CrossRef]
- Ventura, F.; Portunato, F.; Pizzorno, E.; Mazzone, S.; Verde, A.; Rocca, G. The need for an interdisciplinary approach in forensic sciences: Perspectives from a peculiar case of mummification. J. Forensic Sci. 2013, 58, 831–836. [Google Scholar] [CrossRef]
- Arriaza, B.T.; Salo, W.; Aufderheide, A.C.; Holcomb, T.A. Pre-Columbian tuberculosis in Northern Chile: Molecular and skeletal evidence. Am. J. Phys. Anthropol. 1995, 98, 37–45. [Google Scholar] [CrossRef] [PubMed]
- El-Najjar, M.Y.; Mulinski, T.M.; Reinhard, K. Mummies and Mummification Practices in the Southern and Southwestern United States; Cambridge University Press: Cambridge, UK, 1998. [Google Scholar]
- Pearson, M.P.; Chamberlain, A.; Craig, O.; Marshall, P.; Mulville, J.; Smith, H.; Chenery, C.; Collins, M.; Cook, G.; Craig, G.; et al. Evidence for mummification in Bronze Age Britain. Antiquity 2005, 79, 529–546. [Google Scholar] [CrossRef]
- Rosso, A.M. Mummification in the ancient and new world. Acta Medico-Hist Adriat. 2014, 12, 329–370. Available online: https://hrcak.srce.hr/file/199074 (accessed on 14 July 2025).
- Harding, B.E.; Wolf, B.C. The phenomenon of the urban mummy. J. Forensic Sci. 2015, 60, 1654–1657. [Google Scholar] [CrossRef]
- Mileva, B.; Tsranchev, I.; Georgieva, M.; Goshev, M.; Alexandrov, A. A rare phenomenon of natural precocious mummification. Cureus 2023, 15, e45626. [Google Scholar] [CrossRef]
- Chen, C.; Yang, C.; Chen, C.; Lee, H.C.; Wang, S. Comparison of rehydration techniques for fingerprinting the deceased after mummification. J. Forensic Sci. 2017, 62, 205–208. [Google Scholar] [CrossRef]
- Fields, R.; Molina, D.K. A novel approach for fingerprinting mummified hands. J. Forensic Sci. 2008, 53, 952–955. [Google Scholar] [CrossRef] [PubMed]
- Loreille, O.M.; Parr, R.L.; McGregor, K.A.; Fitzpatrick, C.M.; Lyon, C.; Yang, D.Y.; Speller, C.F.; Grimm, M.J.; Irwin, J.A.; Robinson, E.M. Integrated DNA and fingerprint analyses in the identification of 60-year-old mummified human remains discovered in an Alaskan glacier. J. Forensic Sci. 2010, 55, 813–818. [Google Scholar] [CrossRef] [PubMed]
- Morgan, L.O.; Johnson, M.; Cornelison, J.; Isaac, C.; Dejong, J.; Prahlow, J.A. Two novel methods for enhancing postmortem fingerprint recovery from mummified remains. J. Forensic Sci. 2019, 64, 602–606. [Google Scholar] [CrossRef]
- Oliver, W.R.; Leone, L. Digital UV/IR photography for tattoo evaluation in mummified remains. J. Forensic Sci. 2012, 57, 1134–1136. [Google Scholar] [CrossRef]
- Leccia, C.; Alunni, V.; Quatrehomme, G. Modern (forensic) mummies: A study of twenty cases. Forensic Sci. Int. 2018, 288, 330.e1–330.e9. [Google Scholar] [CrossRef]
- Deo, A. Natural Mummification in Human Carcasses and Analogues in a Temperate Australian Environment. Available online: https://opus.lib.uts.edu.au/handle/10453/178162 (accessed on 2 June 2025).
- Finaughty, D.A.; Morris, A.G. Precocious natural mummification in a temperate climate (Western Cape, South Africa). Forensic Sci. Int. 2019, 303, 109948. [Google Scholar] [CrossRef] [PubMed]
- Lennartz, A.; Hamilton, M.D.; Weaver, R. Moisture content in decomposing, desiccated, and mummified human tissue. Forensic Anthropol. 2020, 3, 1–16. [Google Scholar] [CrossRef]
- Wescott, D.J. Recent advances in forensic anthropology: Decomposition research. Forensic Sci. Res. 2018, 3, 278–293. [Google Scholar] [CrossRef]
- Christensen, A.M.; Passalacqua, N.V.; Bartelink, E.J. Forensic Anthropology: Current Methods and Practice; Academic Press: London, UK, 2019. [Google Scholar]
- Galloway, A.; Birkby, W.; Jones, A.; Henry, T.; Parks, B. Decay rates of human remains in an arid environment. J. Forensic Sci. 1989, 34, 607–616. [Google Scholar] [CrossRef]
- Kottek, M.; Grieser, J.; Beck, C.; Rudolf, B.; Rubel, F. World map of the Köppen-Geiger climate classification updated. Meteorol. Z. 2006, 15, 259–263. [Google Scholar] [CrossRef]
- George, R.L.; Zejdlik, K.; Messer, D.L.; Passalacqua, N.V. The John A. Williams Human Skeletal Collection at Western Carolina University. Forensic Sci. 2022, 2, 362–370. [Google Scholar] [CrossRef]
- Laurenzi, P. How Does a Pin-Type Moisture Meter Work? Delmhorst Instrument Company Blog. Available online: http://www.delmhorst.com/blog/bid/274196/How-Does-a-Pin-Type-Moisture-Meter-Work (accessed on 16 July 2020).
- Megyesi, M.S.; Nawrocki, S.P.; Haskell, N.H. Using accumulated degree-days to estimate the postmortem interval from decomposed human remains. J. Forensic Sci. 2005, 50, 618–626. [Google Scholar] [CrossRef] [PubMed]
- Finch, W.H.; Bolin, J.E.; Kelley, K. Multilevel Modeling Using R; CRC Press: Boca Raton, FL, USA, 2014. [Google Scholar]
- Bailey, C.A.; Lennartz, A.N.; Klemm, M.M.; Privette, C.A.; Unger, C.; George, R.L. Assessing Patterns of Moisture Content in Decomposing, Desiccated, and Mummified Tissue in the Southeastern United States. In Proceedings of the American Academy of Forensic Sciences (AAFS), Orlando, FL, USA, 13–18 February 2023. [Google Scholar]






| Trial | Donor ID | Sex | Age | Height (cm) | Weight (kgs) | Date of Death | Date of Placement |
|---|---|---|---|---|---|---|---|
| 1 | WCU 1 | F | 82 | 170 | 48 | 15 February 2021 | 8 March 2021 |
| WCU 2 | M | 80 | 170 | 82 | 22 February 2021 | 10 March 2021 | |
| WCU 3 | M | 66 | 185 | 63 | 8 March 2021 | 17 March 2021 | |
| 2 | WCU 4 | F | 84 | 175 | 82 | 20 May 2021 | 8 June 2021 |
| WCU 5 | M | 63 | 175 | 87 | 2 June 2021 | 10 June 2021 | |
| WCU 6 | F | 61 | N/A | 84 | 24 June 2021 | 30 June 2021 | |
| 3 | WCU 7 | M | 62 | 175 | 64 | 5 October 2021 | 11 October 2021 |
| WCU 8 | M | 86 | 187 | 84 | 10 October 2021 | 14 October 2021 | |
| WCU 9 | M | 86 | 170 | 85 | 16 October 2021 | 22 October 2021 | |
| WCU 10 | M | 66 | 170 | 95 | 13 October 2021 | 22 October 2021 |
| Trial | Trial Period | Weather Variable | Minimum | Maximum | Average |
|---|---|---|---|---|---|
| 1 | 8 March 2021–8 July 2021 | Temperature (°C) | 2.67 | 22.40 | 15.57 |
| Humidity (%) | 48.39 | 99.30 | 76.06 | ||
| Precipitation (mm) | 0 | 28.97 | 1.65 | ||
| Solar Radiation (W/M^2) | 6.51 | 382.55 | 109.94 | ||
| 2 | 8 June 2021–20 September 2021 | Temperature (°C) | 15.90 | 22.56 | 20.23 |
| Humidity (%) | 74.88 | 100 | 92.82 | ||
| Precipitation (mm) | 0 | 0.25 | 0.04 | ||
| Solar Radiation (W/M^2) | 1.93 | 51.51 | 15.61 | ||
| 3 | 11 October 2021–27 January 2022 | Temperature (°C) | −1.93 | 19.69 | 7.59 |
| Humidity (%) | 54.41 | 99.53 | 77.95 | ||
| Precipitation (mm) | 0 | 23.62 | 1.69 | ||
| Solar Radiation (W/M^2) | 4.85 | 268.08 | 139.33 |
| Trial | Region | logADD | Humidity | Rainfall | Solar Radiation |
|---|---|---|---|---|---|
| 1 | Head | −6.454 | 0.749 | −0.032 | −0.003 |
| Torso | −6.718 | 0.573 | 0.502 | 0.011 | |
| Limbs | −4.975 | 0.597 | 0.377 | 0.026 | |
| Extremities | −6.068 | 0.621 | 0.011 | 0.258 | |
| 2 | Head | −0.990 | 0.127 | −32.405 | −0.065 |
| Torso | −4.109 | 0.443 | 4.481 | 0.144 | |
| Limbs | −4.162 | 0.319 | −8.415 | −0.014 | |
| Extremities | −3.534 | 0.368 | 8.120 | 0.088 | |
| 3 | Head | −7.335 | 0.602 | −1.540 | 0.044 |
| Torso | −5.019 | 0.319 | −0.255 | 0.027 | |
| Limbs | −5.224 | 0.431 | −0.908 | 0.041 | |
| Extremities | −6.832 | 0.514 | −0.775 | 0.041 | |
| Full | Head | −6.013 | 0.473 | −0.134 | −0.012 |
| Torso | −4.906 | 0.425 | 0.372 | 0.013 | |
| Limbs | −4.463 | 0.481 | 0.132 | 0.020 | |
| Extremities | −5.240 | 0.548 | 0.071 | 0.014 |
| Trial | Region | Marginal | Conditional | Difference |
|---|---|---|---|---|
| 1 | Head | 0.63 | 0.63 | 0 |
| Torso | 0.48 | 0.48 | 0 | |
| Limbs | 0.42 | 0.42 | 0 | |
| Extremities | 0.48 | 0.48 | 0 | |
| 2 | Head | 0.59 | 0.67 | 0.08 |
| Torso | 0.22 | 0.38 | 0.16 | |
| Limbs | 0.23 | 0.26 | 0.03 | |
| Extremities | 0.17 | 0.25 | 0.08 | |
| 3 | Head | 0.63 | 0.63 | 0 |
| Torso | 0.42 | 0.50 | 0.08 | |
| Limbs | 0.51 | 0.51 | 0 | |
| Extremities | 0.55 | 0.56 | 0.01 | |
| Full | Head | 0.58 | 0.63 | 0.05 |
| Torso | 0.36 | 0.49 | 0.13 | |
| Limbs | 0.37 | 0.47 | 0.10 | |
| Extremities | 0.39 | 0.57 | 0.18 |
Disclaimer/Publisher’s Note: The statements, opinions and data contained in all publications are solely those of the individual author(s) and contributor(s) and not of MDPI and/or the editor(s). MDPI and/or the editor(s) disclaim responsibility for any injury to people or property resulting from any ideas, methods, instructions or products referred to in the content. |
© 2025 by the authors. Licensee MDPI, Basel, Switzerland. This article is an open access article distributed under the terms and conditions of the Creative Commons Attribution (CC BY) license (https://creativecommons.org/licenses/by/4.0/).
Share and Cite
Bailey, C.A.; Lennartz, A.N.; Klemm, M.M.; Matheson, C.A.; Unger, C.A.; George, R.L. Assessing Patterns of Moisture Content in Decomposing, Desiccated, and Mummified Tissue in Western North Carolina. Forensic Sci. 2025, 5, 73. https://doi.org/10.3390/forensicsci5040073
Bailey CA, Lennartz AN, Klemm MM, Matheson CA, Unger CA, George RL. Assessing Patterns of Moisture Content in Decomposing, Desiccated, and Mummified Tissue in Western North Carolina. Forensic Sciences. 2025; 5(4):73. https://doi.org/10.3390/forensicsci5040073
Chicago/Turabian StyleBailey, Christine A., Autumn N. Lennartz, Maggie M. Klemm, Cameron A. Matheson, Carter A. Unger, and Rebecca L. George. 2025. "Assessing Patterns of Moisture Content in Decomposing, Desiccated, and Mummified Tissue in Western North Carolina" Forensic Sciences 5, no. 4: 73. https://doi.org/10.3390/forensicsci5040073
APA StyleBailey, C. A., Lennartz, A. N., Klemm, M. M., Matheson, C. A., Unger, C. A., & George, R. L. (2025). Assessing Patterns of Moisture Content in Decomposing, Desiccated, and Mummified Tissue in Western North Carolina. Forensic Sciences, 5(4), 73. https://doi.org/10.3390/forensicsci5040073

