Abstract
This research explores the physical properties of refractory high-entropy alloys Ti3ZryNbVx (0.5 ≤ x ≤ 3.5; 1 ≤ y ≤ 2), utilizing the first-principles exact muffin-tin orbitals method, in addition to the coherent potential approximation. We examine the atomic size difference (δ), the valence electron concentration (VEC) and the total energy of the body-centered cubic (bcc), the face-centered cubic (fcc) and the hexagonal close-packed (hcp) lattices, revealing a disordered solid solution with a bcc lattice as the stable phase of these alloys. The stability of the bcc Ti3ZryNbVx alloys increases with the addition of vanadium, and slightly decreases with increasing Zr concentration. All the investigated RHEAs have densities less than 6.2 g/cm3. Adding V to the Ti-Zr-Nb-V system reduces the volume and slightly enhances the density of the studied alloys. Our results show that increasing V content increases the tetragonal shear modulus C′, which assures that V enhances the mechanical stability of the bcc phase, and also increases the elastic moduli. Moreover, all the examined alloys are ductile. Vickers hardness and bond strength increase as V concentration increases. In contrast, decreasing Zr content reduces the density and increases the hardness and the bond strength of the present RHEAs, potentially resulting in systems with desirable mechanical properties and lower densities. These findings provide theoretical insights into the behavior of RHEAs, and emphasize the necessity for additional experimental investigations.
1. Introduction
High-entropy alloys (HEAs) [1,2,3,4] are considered as a new category of materials which has emerged in the last two decades. HEAs are commonly characterized as multi-principal element alloys (MPEAs) exhibiting high configurational entropy, composed of five or more elements with atomic concentrations that are either equal or nearly equal [4,5]. Another distinguishing feature among different types of HEAs and traditional alloys is their types of solid solutions; these can be of hcp, fcc, or bcc type, or even a combination [6]. This design solution allows HEAs to possess desirable characteristics in chemical, physical, and thermodynamic profiles, especially in the mechanical properties category. HEAs possess excellent properties when used at cryogenic temperatures; they are thermally stable [7], have high strength and hardness [8,9], have improved and excellent creep resistance [10], and possess high wear resistance [11,12]. Hence, HEAs have developed as prospective metallic materials which possess the potential to replace the drawbacks of the conventional alloy through significant growth in actual applications.
Senkov et al., for the first time, proposed the idea of high-entropy alloys with the addition of refractory transition metals, including Ti, V, Nb, Mo, Zr, Cr, Ta, W and more [13]. Thus, RHEAs have received a great deal of attention because of their high mechanical performance at elevated temperatures. Ceramics are considered to be promising for applications in fields that require materials to work at high temperatures as structural elements [14]. However, whilst ceramics possess high densities ranging from 10 to 14 g/cm3, their poor room temperature ductility limits their usage in engineering. That is why adding lightweighting components into RHEAs can be considered as an efficient method of decreasing the density of these materials and increasing their specific strength [15,16,17,18].
Numerous experimental studies have investigated the impact of the addition of lightweight elements in RHEAs. For example, Senkov et al. [19] added Al to the HfNbTaTiZr RHEA. This modification decreased the alloy’s density from 9.94 to 9.05 g/cm3 and increased its specific yield strength from 93.56 to 203.43 MPa.cm3/g. Chen et al. [16] designed a novel V0.5Nb0.5ZrTi RHEA with a density of only 6.1 g/cm3, by replacing Hf and Ta with the V element. This alloy exhibited a specific tensile yield strength of 136 MPa·cm3/g and a fracture strain of 18.6% at room temperature, outperforming most previously reported RHEAs. Xiao et al. [20] reported the development of lightweight Ti3Zr1.5NbVx (where x = 0, 1, 2) RHEAs with superior mechanical properties. The results indicated that all the RHEAs had densities lower than 6 g/cm3. As the V concentration increased, the hardness increased. The Ti3Zr1.5NbV2 RHEA has excellent tensile mechanical properties, featuring a yield strength of 974.0 MPa.
Besides experimental methods, ab initio techniques provide important insights into the structural, elastic and mechanical properties of RHEAs. Two primary categories of recent density functional theory (DFT) approaches to modeling HEAs exist: first, those utilizing supercell models, like special quasi-random structures (SQSs) [21]; and second, those utilizing the CPA, which can be applied using a variety of software programs, including the EMTO method [22,23], spin-polarized relativistic Korringa–Kohn–Rostoker (SPRKKR) [24], Akai Korringa–Kohn–Rostoker (AkaiKKR) [25] and Hutsepot [26]. Furthermore, another method for modeling disordered systems is the virtual crystal approximation (VCA) [27,28]. Extensive theoretical studies have been employed to examine the influence of alloying on the structural, magnetic and mechanical properties of high-entropy alloys. For example, Al-Zoubi et al. [29,30] investigated the structural stability, elastic and mechanical properties of TiVNbMoM (M = Sc, Al, Ni and Cu) and NbMoTaWM (M = V, Al, Zr, Tc, Re, Ir) high-entropy alloys using the EMTO method coupled with the CPA. These systems were found to maintain stability in the bcc structure, and were identified as ductile. Dastanpour et al. [31] used an ab initio method to examine the impact of V on the properties of Al50Vx(Cr0.33Mn0.33Co0.33)(50−x) (x = 0.5, 3.5, 6.5 and 12.5 at.%), and found that the magnetization and magnetic transition temperature (TC) of the bcc is less than that of B2 phase for these alloys. The B2 phase stability, the saturation magnetization, and the TC are increased as the V content decreases.
Despite numerous experimental and theoretical investigations, no first-principles studies have been conducted on the alloying effects of V and Zr on the density, structural, elastic and mechanical properties of the lightweight Ti-Zr-Nb-V system at low temperatures. Elastic properties are one of the most essential characteristics of solids. However, determining the elastic parameters of RHEAs from first-principles is challenging due to the inherent complexities of multicomponent systems. Therefore, in this study, we employ a first-principles EMTO method to determine the density, structural, elastic, mechanical and electronic properties of lightweight Ti3ZryNbVx (x = 0.5, 1.0, 1.5, 2.0, 2.5, 3.0, 3.5; y =1.0, 1.5 and 2) RHEAs at low temperatures. Our goal is to systematically examine the impact of alloying on the structure and elastic properties of the alloy, and to provide valuable insights for the design of RHEAs.
In this study, the Ti3ZryNbVx alloys do not fully satisfy the standard criteria for HEAs. As a result, we have categorized them under the broader class of “refractory high-entropy alloys” (RHEAs). This classification is appropriate because, although these alloys feature a dominant principal element (such as Ti in this case), they still exhibit high-entropy characteristics due to the presence of additional transition refractory metals like Zr, Nb and V.
2. Methodology
2.1. Computational Details
Ab initio calculations were carried out using the EMTO method, which relies on DFT, in combination with the coherent potential approximation (CPA), to describe RHEAs. The utilization of the CPA within the EMTO code proves to be a very efficient mean-field approach. It approaches disordered alloys by applying an effective medium method within the single-site approximation to tackle the impurity problem for each component of the alloy [32,33]. By utilizing CPA simulations, the random distribution of various species in actual alloys can be shown with the effective potential on a single site, instead of multiple atoms. The EMTO–CPA method has been effectively applied in ab initio investigations into the physical characteristics of high-entropy alloys (HEAs) [34,35].
The EMTO approach, which involves large overlapping potential spheres, accurately represents the single-electron potential. Moreover, the complete charge density method is utilized to enhance the precision of the full potential total energy calculation [32]. In this investigation, we utilized PBE, which refers to Perdew–Burke–Ernzerhof, for the exchange correlation functional [36] to evaluate the total charge density energy. The basis set of EMTO included s, p, d and f orbitals, and the orbital count for the full-charge density was set to (lhmax = 8). The convergence of the EMTO basis set has been thoroughly explored and reported in the literature, such as in [37], and is not reiterated here. We solved the one-electron equations using scalar relativistic and soft-core approximations. The irreducible wedge of the bcc Brillouin zone was sampled with a 27 × 27 × 27 Monkhorst-Pack k-point mesh. The correction to the CPA with a single site was applied through the screened impurity model (SIM) [32], with a screening parameter of 0.9. All the computations were applied under static conditions, disregarding any thermal effects.
2.2. Elastic Constants Calculations
The total energies of Ti3ZryNbVx (x = 0.5, 1.0, 1.5, 2.0, 2.5, 3.0, 3.5; y =1.0, 1.5 and 2) RHEAs were calculated based on the atomic concentrations and volumes of the face-centered cubic (fcc), body-centered cubic (bcc) and hexagonal close-packed (hcp) lattices. For each concentration of x and y, the theoretical equilibrium Wigner–Seitz radius w (lattice constant a) and bulk modulus B were obtained from the Birch–Murnaghan equation of state (B–M EOS), as explained in Equation (1), which was fitted to the ab initio total energies calculated for twelve different atomic volumes that were distributed nearly homogeneously around the equilibrium volume. In Equation (1), the volume, equilibrium volume, bulk modulus, total energy and equilibrium energy are represented by V, V0, B, E and E0, respectively.
The elastic constants Cij are represented by three independent parameters, C11, C12 and C44, for the cubic systems. To determine these constants at the equilibrium volume V0, small strains were applied between 0.00 and 0.05, inducing minor lattice deformations and resulting in negligible alterations in the total energy.
We employed orthorhombic deformations by keeping the volume constant to calculate the tetragonal elastic modulus C′ (where C′ = (C11 − C12)/2) as follows:
The determination of involved computing it through fitting the energy change ΔE using the following equation:
The monoclinic distortion was applied to determine the shear modulus C44 as follows:
and
Describing the elasticity of polycrystalline materials requires calculating the B and the shear modulus (G). These moduli can be derived from single-crystal elastic parameters (Cij) by using appropriate averaging techniques. The polycrystalline and single-crystal bulk moduli are coincided and are related to the Cij by a specific equation:
Regarding the shear modulus, to average the single-crystal data, various techniques exist. In this study, we employed the Hill mean (GH = G) [38], where GH equals the mean of the Voigt modulus (GV) [39] and Ruess modulus (GR) [40]. The GV and GR shear moduli are defined as follows:
The Young’s modulus (E), Poisson’s ratio (ν) and Vickers hardness HV were calculated using the following formulas:
The elastic stability of the RHEA structural models was established by assessing the Cij matrix data and comparing them against the requisite conditions outlined for the three elastic stability criteria of the cubic structure. Upon satisfying these conditions, the system was considered elastically stable, as indicated by the following equation [41]:
3. Results and Discussion
3.1. Structural Properties
The atomic size difference δ, determined in Equation (13), is an empirical criterion used to predict the existence of solid solutions in HEAs.
Here, z is the number of components in the RHEA, rn refers the radius of the atom n in HEA, and Cn denotes the concentration of each component. To form a high-entropy alloy with one phase, must be < 6.6 [42].
Investigating Table 1, we find that the Ti3ZrNbVx, Ti3Zr1.5NbVx and Ti3Zr2NbVx RHEAs all have atomic size differences less than 6.6. This confirms that all the studied RHEAs exhibit solid solution phases. The Wigner–Seitz radii of the elements Ti, Zr, Nb and V were determined using the EMTO method, yielding values of 3.042, 3.325, 3.082 and 2.789 Bohr, respectively.
Table 1.
Theoretical values of VEC and δ% for Ti3ZrNbVx, Ti3Zr1.5NbVx and Ti3Zr2NbVx.
In order to determine the type of HEA phase, the VEC was employed [43], which can be determined using Equation (14):
Here, Z is the number of elements in the alloy, Cn is the atomic concentration of element n, and (VEC)n represents the valence electron concentration of element n. According to references [42,43], the stability of the bcc structure is reached when VEC < 6.87. Conversely, if VEC > 8.0, then the fcc phase is created. For 6.87 < VEC < 8, a combination of fcc and bcc lattices may be formed [42].
The information presented in Table 1 offers conclusions about the structural properties and insights into the mechanical properties of the RHEAs. The atomic size difference (δ%) in the Ti3ZrNbVx, Ti3Zr1.5NbVx and Ti3Zr2NbVx compositions is consistently below 6.6, indicating the formation of stable solid solutions with one phase in these alloys. The presence of a solid solution phase is crucial for maintaining consistent characteristics and preventing phase segregation that could impair mechanical behavior. All of the alloys have VEC values less than 6.87, and hence, all the investigated alloys have a stable bcc phase. The bcc crystal structure is beneficial because of its high strength, ductility and good performance at both low and high temperatures, thereby making it a very desirable attribute for the design of new HEAs in demanding applications such as aerospace. The change in δ% with the changing content of V presents how atomic size difference varies in different alloying contents. As V content increases, δ% tends to increase, but stays within the acceptable range. This trend is important for tuning the mechanical properties of the alloy by adjusting the V concentration. A higher V content is associated with increased hardness and improved mechanical stability, as indicated by previous studies [20]. Moreover, the data show that Ti3Zr1.5NbVx and Ti3Zr2NbVxexhibit slightly higher δ% values compared toTi3ZrNbVx. This suggests that the reduction in Zr concentration contributes to a more significant atomic size difference, which can influence the alloy’s mechanical properties. Despite this, all the values remain below 6.6, ensuring the alloys’ stability. In summary, the theoretical values of VEC and δ% provided in Table 1 align with the criteria for forming solid solution phases with a bcc structure in RHEAs.
Another method to predict the phase type of the RHEAs is calculating the total energy difference between phases, so we carried out ab initio calculations to determine the total energy differences (Efcc − Ebcc) and (Ehcp − Ebcc) at their equilibrium volumes. The outcomes can be viewed in Figure 1; the findings confirm that the bcc is the most stable structure for all the Ti3ZrNbVx, Ti3Zr1.5NbVx and Ti3Zr2NbVx HEAs, which aligns with experimental evidence [18]. As the amount of V rises, the thermodynamic stability of the bcc phase increases compared to the fcc and hcp phases, reflected by the increases in (Efcc − Ebcc) and (Ehcp − Ebcc). More precisely, the data indicate that for Ti3ZrNbVx, the difference between Efcc and Ebcc falls between 4.45 and 9.18, while the difference between Ehcp and Ebcc ranges from 3.74 to 10.16 as the V content rises from 0.5 to 3.5. Likewise, in the case of Ti3Zr1.5NbVx, the difference between Efcc and Ebcc varies from 4.07 to 8.62, while the difference between Ehcp and Ebcc ranges from 3.25 to 9.48. Ti3Zr2NbVx displays values of 3.62 to 8.12 for (Efcc − Ebcc) and 2.7 to 8.87 for (Ehcp − Ebcc).
Figure 1.
The energy differences between the hcp and bcc phases (left panel) and between the fcc and bcc phases (right panel) of Ti3ZrNbVx, Ti3Zr1.5NbVx and Ti3Zr2NbVx RHEAs, as a function of V content (x).
The bcc phase stability is improved by a decrease in Zr content, as demonstrated by an analysis of the energy variations of the Ti3ZrNbVx, Ti3Zr1.5NbVx and Ti3Zr2NbVx alloys. When compared to Ti3Zr1.5NbVx and Ti3Zr2NbVx, Ti3ZrNbVx shows greater energy differences for (Ehcp − Ebcc) and (Efcc − Ebcc), suggesting increased stability in the bcc phase for the latter two phases. The increasing energy gaps found with a higher V content suggest that V plays a key role in preserving the stability of the bcc phase. Furthermore, significant changes in energy can be observed among alloys with varying Zr concentrations, demonstrating that adjusting the Zr content can greatly influence both phase stability and mechanical characteristics. The observed discrepancies in energy align with both experimental and theoretical predictions regarding phase stability, thereby validating the reliability of the ab initio method used in this study. Generally, the initial calculations support the bcc phase as the most stable form for the examined RHEAs, with higher V content and lower Zr content improving this stability.
3.2. Equilibrium Lattice Parameters and Density
The relation between the equilibrium Wigner–Seitz (WS) radius and the standard lattice parameter a for the bcc crystal structure is a3 = 8/3(π). The volumetric density of a substance can be calculated using the following formula:
where Ci is the concentration of element i; Mi is the atomic mass of the ith element; NA is the Avogadro’s number, NA = 6.022 × 1023; and represents the Wigner–Seitz radius, calculated using the EMTO method.
Figure 2 shows the Wigner–Seitz radii (right panel) and densities (left panel) for the Ti3ZrNbVx, Ti3Zr1.5NbVx and Ti3Zr2NbVx refractory high-entropy alloys as a function of V content (x). An analysis of the systems reveals notable differences in their lattice constants and densities. For the Ti3ZrNbVx system, the Wigner–Seitz radius reduces from approximately 3.07 Bohr to 2.97 Bohr, while the density rises from around 5.95 g/cm3 to 6.09 g/cm3 with an increase in V content from 0.5 to 3.5. For the Ti3Zr1.5NbVx system, the Wigner–Seitz radius ranges from approximately 3.09 Bohr to 2.99 Bohr as the atomic content of V increases from 0.5 to 3.5. The density increases from around 6.02 g/cm3 to 6.14 g/cm3 within the same interval. In the Ti3Zr2NbVx system, the Wigner–Seitz radius changes from approximately 3.11 Bohr to 3.01 Bohr as the atomic fraction of V increases from 0.5 to 3.5, while the density increases from around 6.09 g/cm3 to 6.19 g/cm3 within the same interval. Investigating Figure 2, we find that at a constant concentration of V, and when the Zr content increases from 1 to 2, both the density and Wigner–Seitz radii of the RHEAs increase.
Figure 2.
The right panel is the calculated Wigner–Seitz radius (in Bohr) and the left panel is the volumetric density (in g/cm3) of the Ti3ZrNbVx, Ti3Zr1.5NbVx and Ti3Zr2NbVx RHEAs as a function of V content (x).
In Table 2, we present the calculated Wigner–Seitz radius values obtained using the EMTO method and the rule of mixture (ROM) method. The results from both methods are in close agreement, with the ROM values being slightly higher than those from the EMTO method, by 0.3% to 0.6%. This small discrepancy can be attributed to the differences in the underlying assumptions and approximations of each method. The EMTO method, based on a first-principles approach, accounts for the detailed electronic structure of the material, leading to a more precise and localized estimation of the Wigner–Seitz radius. In contrast, the ROM method relies on a macroscopic averaging approach, which assumes a homogeneous distribution of the constituent phases, and may therefore overestimate the radius slightly. Despite this minor difference, the close agreement between the two methods suggests that both approaches yield consistent and reliable estimates of the Wigner–Seitz radius, supporting the robustness of these methods in material modeling.
Table 2.
Theoretical values of Wigner–Seitz radius (WS) and bulk modulus (B) for Ti3ZrNbVx, Ti3Zr1.5NbVx and Ti3Zr2NbVx using EMTO and rule of mixture (ROM) methods.
3.3. Elastic Parameters
Figure 3 displays the estimated C11, C12, C′ and C44 elastic constants for the bcc Ti3ZrNbVx, Ti3Zr1.5NbVx and Ti3Zr2NbVx versus x. All the studied RHEAs have a mechanically stable bcc structure, as they were found to satisfy the Born criteria, determined using Equation (12).
Figure 3.
The calculated single-crystal elastic constants C11, C12, C’ and C44 (units of GPa) for the bcc Ti3ZrNbVx, Ti3Zr1.5NbVx and Ti3Zr2NbVx as a function of V atomic fraction x.
From Figure 3, we observe a continuous increase in C11, C12, and C′ and a continuous decrease in C44 as V content increases for all the considered alloys. In the Ti3Zr1.5NbVx system, as the V atomic fraction increases from 0.5 to 3.5, C11 rises from 134 GPa to 172 GPa, C12 increases from 92 GPa to 101 GPa, and the tetragonal shear modulus C′ is enhancedfrom 21 GPa to 36 GPa, while C44 decreases from 63 GPa to 55 GPa. Similarly, in the Ti3ZrNbVx system, when x ranges from 0.5 to 3.5, the C11 and C12 values increase to 179 GPa and 103 GPa, respectively, whereas the C44 value falls from 63 GPa to 54 GPa. Furthermore, throughout the same range, the tetragonal shear modulus C′ rises from 23 GPa to 38 GPa.
In the Ti3Zr2NbVx system, as the content of V increases, similar trends are observed. Namely, C11 and C12, as well as C′, all show increasing values with a higher V content, while C44 is reduced with a higher V concentration. Specifically, C11 (C12) increases from 128 (88) GPa to 166 (99) GPa, and C44 reduces from 62 GPa to 55 GPa. The tetragonal shear modulus C′ rises from 20 GPa to 34 GPa.
The increase in the tetragonal shear modulus C′ with increasing V content suggests an enhancement in the stability of the bcc phase, indicating the improved mechanical stability of the alloys. However, Zr content has inverse impact on the elastic constants and mechanical stability of the bcc structure. In general, by increasing the atomic fraction of Zr from 1 to 2, the elastic parameters C11, C12 and C′ decrease.
In summary, the analysis of elastic parameters across the Ti3ZrNbVx, Ti3Zr1.5NbVx and Ti3Zr2NbVx systems shows that a higher V content leads to increased values of C11, C12 and C′, and a monotonous decrease in C44, indicating the enhanced mechanical stability and strength of these alloys.
3.4. Elastic Moduli
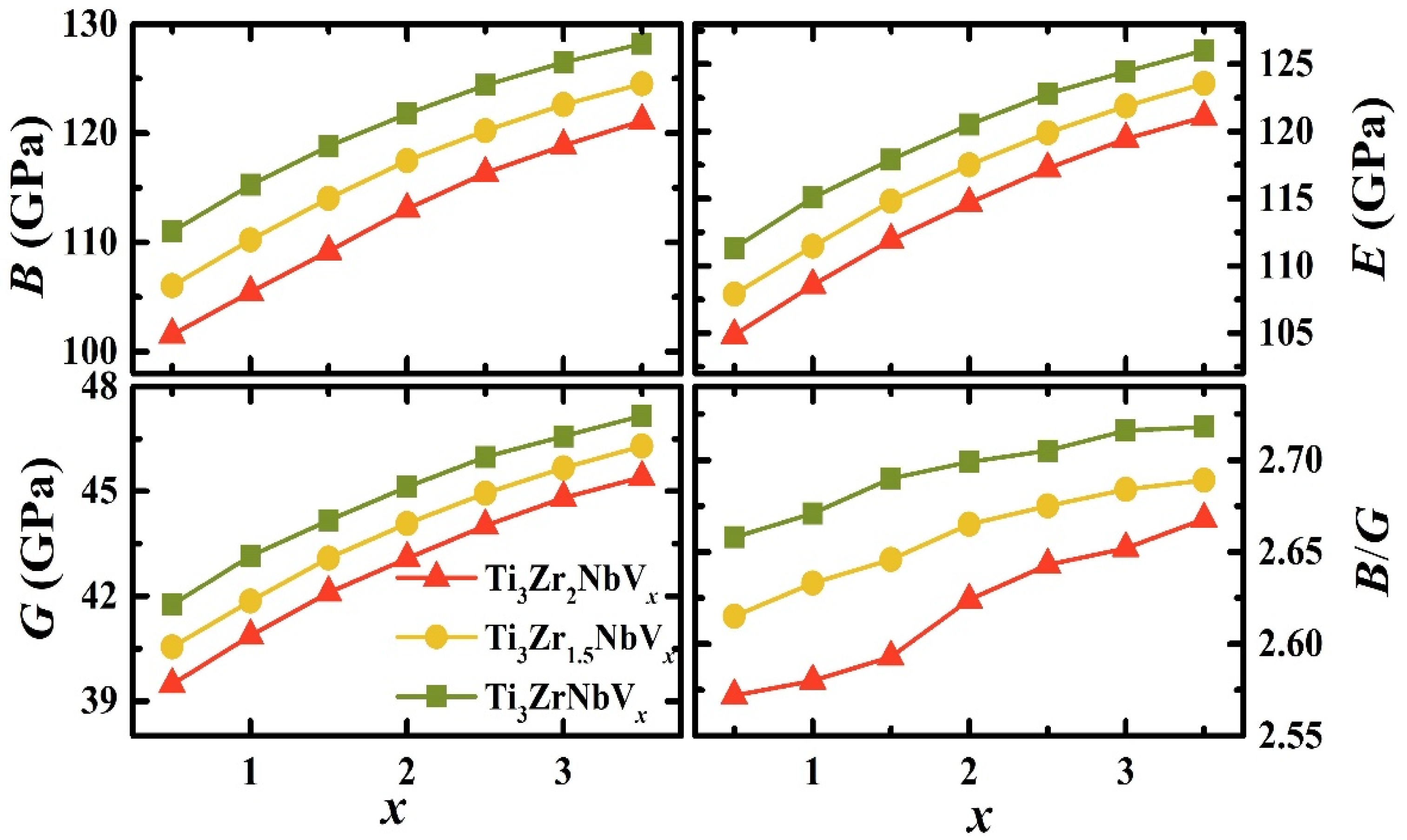
Figure 4 presents the estimated bulk (B), shear (G), and Young’s (E) moduli and B/G ratio for the bcc Ti3ZrNbVx, Ti3Zr1.5NbVx and Ti3Zr2NbVx systems, as a function of x. For the Ti3ZrNbVx system, there is a consistent pattern of increasing elastic moduli as the V content increases from 0.5 to 3.5. The bulk modulus increases from 111 GPa to 128 GPa, the shear modulus rises from 42 GPa to 47 GPa, and Young’s modulus goes up from 111 GPa to 126 GPa. The B/G ratio also shows an increase from 2.658 to 2.718.
Figure 4.
The theoretical elastic moduli B, G, E and the B/G ratio for the bcc Ti3ZrNbVx, Ti3Zr1.5NbVx and Ti3Zr2NbVx, versus V content (x).
For the Ti3Zr1.5NbVx system, as the atomic fraction of V increases from 0.5 to 3.5, there is a monotonous increase in all three elastic moduli. Specifically, the bulk modulus rises from 106 GPa to 125 GPa, the shear modulus increases from 41 GPa to 46 GPa, and the Young’s modulus is enhanced from 108 GPa to 124 GPa. Additionally, the B/G ratio increases from 2.615 to 2.689. In the Ti3Zr2NbVx system, as the atomic fraction of V increases, similar trends are observed. The bulk modulus increases from 102 GPa to 121 GPa, the shear modulus rises from 39 GPa to 45 GPa, and Young’s modulus goes up from 105 GPa to 121 GPa. The B/G ratio increases from 2.572 to 2.668.
The noticeable improvement in bulk modulus, shear modulus, and Young’s modulus in all three alloy systems as the V content increases indicates an improvement in stiffness and deformation resistance, and, as a result, an improvement in the alloys’ mechanical performance. The ratio of B/G is an important factor in determining a material’s flexibility or tendency to break easily. According to Pugh’s [44,45] criteria, materials are categorized as ductile if their B/G ratios exceed 1.75, and as brittle if their B/G ratios are below 1.75. The Ti3ZrNbVx, Ti3Zr1.5NbVx and Ti3Zr2NbVx RHEAs exhibit B/G ratios above 1.75, suggesting that the investigated RHEAs are ductile. Additionally, we can observe from Figure 3 that the B/G ratio increases as the V content increases in all the RHEAs, indicating that V addition enhances the ductility of the studied alloys, which makes them suitable for applications requiring both strength and flexibility.
To make a comparison between the EMTO and ROM methods, we chose the bulk modulus as the property of interest. A comparison between the EMTO and ROM methods for the bulk moduli of bcc Ti3ZrNbVₓ, Ti3Zr1.5NbVₓ and Ti3Zr2NbVₓ is presented in Table 2. The results show that the bulk modulus values obtained using the ROM method are higher by approximately 7–10% compared to those obtained using the EMTO method. This difference arises because the EMTO method, based on first-principles calculations, provides a more detailed treatment of the electronic structure, while the ROM method uses an averaged approach that does not capture the same level of electronic detail. The ROM method’s overestimation of the bulk modulus is thus due to its simplification of electronic interactions. This comparison highlights the importance of using more accurate first-principles methods, especially when dealing with materials for which electronic properties significantly influence mechanical behavior.
Figure 5 illustrates the variation in Poisson’s ratio (ν) and Vickers hardness for the Ti3ZrNbVx, Ti3Zr1.5NbVx and Ti3Zr2NbVx refractory high-entropy alloys (RHEAs) as a function of vanadium content. These data provide valuable insights into the mechanical properties of these alloys, specifically their ductility and hardness. Poisson’s ratio is a key indicator of a material’s ductility. Generally, materials with a Poisson’s ratio greater than 0.31 are considered ductile, while those with a ratio less than 0.31 are deemed brittle [46]. The Poisson’s ratio for all three alloys exceeds 0.31 across the entire range of V content (0.5 to 3.5), indicating their ductile nature. Overall, all the alloys are ductile throughout the range of V and Zr concentrations studied.
Figure 5.
The calculated Poisson’s ratio ν(x) and Vickers hardness in the bcc phase for the Ti3ZrNbVx, Ti3Zr1.5NbVx and Ti3Zr2NbVx RHEAs, versus V content (x).
The Vickers hardness values for Ti3ZrNbVx, Ti3Zr1.5NbVx and Ti3Zr2NbVx demonstrate a clear trend of increasing hardness with a higher V content. For Ti3ZrNbVx, the hardness values rise from 271 HV to 297 HV, and for Ti3Zr1.5NbVx, the values increase from 272 HV to 298 HV. These trends are similarly observed in Ti3Zr2NbVx, for which hardness increases from 274 HV at V = 0.5 to 297 HV at V = 3.5. The consistent increase in hardness across all three systems suggests that the addition of V contributes to enhanced mechanical strength. This improvement is likely due to the solid solution strengthening effect of V, which increases the resistance to deformation in these RHEAs. The higher hardness values indicate better wear resistance, making these alloys more suitable for applications requiring high strength and durability. Variation in Zr content has an almost negligible effect on Vickers hardness.
To further validate the calculated data, comparisons were made with experimental hardness values [20] for Ti3Zr1.5NbV and Ti3Zr1.5NbV2. For Ti3Zr1.5NbV, the experimentally measured hardness is 253 HV, whereas the calculated value is 277 HV. This results in a calculation error of approximately 9.6%. For Ti3Zr1.5NbV2, the experimental hardness is 298 HV, while the calculated value is 288 HV, leading to a calculation error of about 3.2%. These comparisons show that the calculated values are reasonably close to the experimental data, with minor discrepancies, which suggest that the computational models used are fairly accurate, but may require slight adjustments or considerations of additional factors, like temperature and pressure, to improve precision.
In summary, the data from Figure 5 highlight that increasing the V content in Ti3ZrNbVx, Ti3Zr1.5NbVx and Ti3Zr2NbVx RHEAs leads to notable improvements in both ductility and hardness. The Poisson’s ratio values remain consistently above 0.31, confirming the ductile nature of these alloys. Meanwhile, the rising Vickers hardness values demonstrate enhanced mechanical strength with a higher V content.
3.5. Electronic Properties
The total density of states (TDOS) of the bcc Ti3ZrNbVx, Ti3Zr1.5NbVx and Ti3Zr2NbVx RHEAs, versus vanadium content x, are illustrated in Figure 6. We can observe that the TDOS values of all the RHEAs at a Fermi level set at 0 Ry are around 13 states/Ry, indicating that all the RHEAs exhibit metallic properties. Based on the metallic properties of the studied RHEAs, we expect an overlap between the conduction band’s lower edge and the valence band’s upper edge, so the energy gap between the valence and conduction bands is zero. Additionally, from Figure 6, we find that all the RHEAs have similar TDOS, which indicates that no phase transition occurs when the V or Zr content changes. These results are in line with those obtained in Section 3.1, which indicate that all the studied RHEAs have the bcc phase.
Figure 6.
The calculated total density of states (TDOS) for the bcc Ti3ZrNbVx, Ti3Zr1.5NbVx and Ti3Zr2NbVx RHEAs with different values of V content x (x = 0.5, 2, and 3.5). Vertical dashed lines indicate the Fermi energies at 0 Ry.
The energy difference between the two prominent peaks situated on either side of, and close to, the Fermi energy level is defined as a pseudogap. As the pseudogap widens, the covalency of the alloy increases [47,48]. Investigating Figure 6, we find that the pseudogaps of Ti3ZrNbVx are 1.279, 1.059 and 0.16 Ry for x = 0.5, 2 and 3.5, respectively. For the Ti3Zr1.5NbVx, the pseudogap reduces from 0.63 Ry at x = 0.5 to 0.57 Ry at x = 3.5. Conversely, as the V content increases from 0.5 to 3.5 in Ti3Zr2NbVx, the pseudogap is enhanced from 0.1 Ry to 0.96 Ry. This demonstrates that increasing the V content in Ti3ZrNbVx and Ti3Zr1.5NbVx RHEAs leads to a wider pseudogap, indicating the enhanced bond strength and improved mechanical properties of Ti3ZrNbVx and Ti3Zr1.5NbVx RHEAs. Furthermore, in the Ti3Zr2NbVx system, the pseudogap becomes sharper with increasing V content, possibly due to the higher Zr content in this system. Increasing the Zr atomic fraction from 1 to 2 while keeping the V concentration constant results in a sharper pseudogap, indicating reduced bond strength and less improvement in the mechanical properties of the system. The above conclusions align with the findings in Section 3.4, which show that mechanical properties improve with an increase in V content and a decrease in Zr content in Ti3ZryNbVx RHEAs.
4. Conclusions
We investigated the structural properties, electronic properties, volumetric densities, lattice parameters, elastic constants, elastic moduli and Vickers hardness of Ti3ZrNbVx, Ti3Zr1.5NbVx and Ti3Zr2NbVx (0.5 ≤ x ≤ 3.5) RHEAs using the EMTO method. We analyzed the VEC, δ and the energy of bcc, fcc and hcp lattices, identifying a disordered solid solution with the bcc lattice as the stable phase of these alloys. Vanadium (zirconium) addition increases (decreases) the stability of the bcc structure. All the investigated refractory high-entropy alloys have densities lower than 6.2 g/cm3. The lattice parameters (densities) are reduced (are enhanced) as the V concentration increases, and enlarge (increase) as the Zr content increases. The bulk, the Young’s and the shear moduli generally increase (decreased) with increasing V (Zr) contents. According to Pugh and Poisson’s ratios, all the studied alloys are ductile. The total density of state analysis demonstrates that all the investigated RHEAs exhibit metallic characteristics, and V addition enhances the bond strength of these alloys. The hardness is improved as the V content increases. Our findings contribute to a consistent theoretical understanding of the mechanical and electronic properties of these alloys. However, conducting experimental research is essential to verify these conclusions, ensuring their practical applicability.
Author Contributions
Conceptualization, N.A.-Z.; methodology, N.A.-Z., A.A.; software, N.A.-Z.; validation, N.A.-Z., A.A. and A.O.; formal analysis, N.A.-Z., A.A.; investigation, N.A.-Z., A.A.; resources, A.O.; data curation, N.A.-Z., A.A. and A.O.; writing—original draft preparation, A.A.; writing—review and editing, N.A.-Z. and A.O.; visualization, N.A.-Z.; supervision, N.A.-Z. and A.O.; project administration, A.O.; funding acquisition, A.O. All authors have read and agreed to the published version of the manuscript.
Funding
This research received no external funding.
Data Availability Statement
The data presented in this study are available on request from the corresponding author.
Conflicts of Interest
The authors declare no conflict of interest.
References
- Yang, T.; Zhao, Y.L.; Cao, B.X.; Kai, J.J.; Liu, C.T. Towards superior mechanical properties of hetero-structured high-entropy alloys via engineering multicomponent intermetallic nanoparticles. Scr. Mater. 2020, 183, 39–44. [Google Scholar] [CrossRef]
- Yeh, J.W.; Chen, S.K.; Lin, S.J.; Gan, J.Y.; Chin, T.S.; Shun, T.T.; Tsau, C.H.; Chang, S.Y. Nanostructured high-entropy alloys with multiple principal elements: Novel alloy design concepts and outcomes. Adv. Eng. Mater. 2004, 6, 299–303. [Google Scholar] [CrossRef]
- Huang, P.K.; Yeh, J.W.; Shun, T.T.; Chen, S.K. Multi-principal-element alloys with improved oxidation and wear resistance for thermal spary coating. Adv. Eng. Mater. 2004, 6, 74–78. [Google Scholar] [CrossRef]
- Cantor, B.; Chang, I.; Knight, P.; Vincent, A. Microstructural development in equiatomic multicomponent alloys. Mater. Sci. Eng. A 2004, 375, 213–218. [Google Scholar] [CrossRef]
- Akrami, S.; Edalati, P.; Fuji, M.; Edalati, K. High-entropy ceramics: Review of principles, production and applications. Mater. Sci. Eng. R Rep. 2021, 146, 100644. [Google Scholar] [CrossRef]
- George, E.P.; Raabe, D.; Ritchie, R.O. High-entropy alloys. Nat. Rev. Mater. 2019, 4, 515–534. [Google Scholar] [CrossRef]
- Lu, W.; Luo, X.; Huang, B.; Li, P.; Yang, Y. Excellent thermal stability and their origins in γ’ precipitation-strengthened medium-entropy alloys. Scr. Mater. 2022, 212, 114576. [Google Scholar] [CrossRef]
- Xiao, Y.; Chang, X.; Peng, X.; Fu, T. Heterogeneous structure induced excellent mechanical and wear properties in Co-free FeCrAlNi medium-entropy alloys. J. Mater. Res. Technol. 2022, 18, 4169–4180. [Google Scholar] [CrossRef]
- Wang, L.; Ding, J.; Chen, S.; Jin, K.; Zhang, Q.; Cui, J.; Ma, E. Tailoring planar slip to achieve pure metal-like ductility in body-centred-cubic multi-principal element alloys. Nat. Mater. 2023, 22, 950–957. [Google Scholar] [CrossRef]
- Chen, S.; Qiao, J.; Diao, H.; Yang, T.; Poplawsky, J.; Li, W.; Gao, Y. Extraordinary creep resistance in a non-equiatomic high-entropy alloy from the optimum solid-solution strengthening and stress-assisted precipitation process. Acta Mater. 2023, 244, 118600. [Google Scholar] [CrossRef]
- Bian, B.B.; Guo, N.; Yang, H.J.; Guo, R.P.; Yang, L.; Wu, Y.C.; Qiao, J.W. A novel cobalt-free FeMnCrNi medium-entropy alloy with exceptional yield strength and ductility at cryogenic temperature. J. Alloys Compd. 2020, 827, 153981. [Google Scholar] [CrossRef]
- Zhu, W.; Zhao, C.; Zhang, Y.; Kwok, C.T.; Luan, J.; Jiao, Z.; Ren, F. Achieving exceptional wear resistance in a compositionally complex alloy via tuning the interfacial structure and chemistry. Acta Mater. 2020, 188, 697–710. [Google Scholar] [CrossRef]
- Senkov, N.; Wilks, G.B.; Miracle, D.B.; Chuang, C.P.; Liaw, P.K. Refractory high-entropy alloys. Intermetallics 2010, 18, 1758–1765. [Google Scholar] [CrossRef]
- Sathiyamoorthi, P.; Kim, H.S. High-Entropy Alloys: Potential Candidates for High Temperature Applications–An Overview. Adv. Eng. Mater. 2018, 20, 1700645. [Google Scholar]
- Wang, Q.; Han, J.; Liu, Y.; Zhang, Z.; Dong, C.; Liaw, P.K. Coherent precipitation and stability of cuboidal nanoparticles in body-centered-cubic Al0.4Nb0.5Ta0.5TiZr0.8 refractory high entropy alloy. Scr. Mater. 2021, 190, 40–45. [Google Scholar] [CrossRef]
- Chen, Y.; Xu, Z.; Wang, M.; Li, Y.; Wu, C.; Yang, Y. A single-phase V0.5Nb0.5ZrTi refractory high-entropy alloy with outstanding tensile properties. Mater. Sci. Eng. A 2020, 792, 139774. [Google Scholar] [CrossRef]
- Liu, X.W.; Bai, Z.C.; Ding, X.F.; Yao, J.Q.; Wang, L.; Su, Y.Q.; Fan, Z.T.; Guo, J.J. A novel light-weight refractory high-entropy alloy with high specific strength and intrinsic deformability. Mater. Lett. 2021, 287, 129255. [Google Scholar] [CrossRef]
- Bai, Z.C.; Ding, X.F.; Hu, Q.; Yang, M.; Fan, Z.T.; Liu, X.W. Unique deformation behaviour and microstructure evolution in high-temperature processing of a low-density TiAlVNb2 refractory high-entropy alloy. J. Alloys Compd. 2021, 885, 160962. [Google Scholar] [CrossRef]
- Senkov, O.N.; Senkova, S.V.; Woodward, C. Effect of aluminium on the microstructure and properties of two refractory high-entropy alloys. Acta Mater. 2014, 68, 214–228. [Google Scholar] [CrossRef]
- Xiao, Y.; Peng, X. Design of lightweight Ti3Zr1.5NbVx refractory high-entropy alloys with superior mechanical properties. J. Mater. Res. Technol. 2023, 27, 330–341. [Google Scholar] [CrossRef]
- Zunger, A.; Wei, S.H.; Ferreira, L.G.; Bernard, J.E. Special quasirandom structures. Phys. Rev. Lett. 1990, 65, 353. [Google Scholar] [CrossRef]
- Vitos, L. Total-energy method based on the exact muffin-tin orbitals theory. Phys. Rev. B 2001, 64, 014107. [Google Scholar] [CrossRef]
- Vitos, L.; Abrikosov, I. Anisotropic lattice distortions in random alloys from first-principles theory. Phys. Rev. Lett. 2001, 87, 156401. [Google Scholar] [CrossRef]
- Huhne, T.; Zecha, C.; Ebert, H.; Zeller, R. Full-potential spin-polarized relativistic Korringa-Kohn-Rostoker method implemented and applied to bcc Fe, fcc Co, and fcc Ni. Phys. Rev. B 1998, 58, 10236. [Google Scholar] [CrossRef]
- Akai, H. Fast Korringa-Kohn-Rostoker coherent potential approximation and its application to FCC Ni-Fe systems. J. Phys. Condens. Matter 1998, 1, 8045. [Google Scholar] [CrossRef]
- Hoffmann, M.; Ernst, A.; Hergert, W.; Antonov, V.N.; Adeagbo, W.A.; Geilhufe, R.M.; Ben Hamed, H. Magnetic and Electronic Properties of Complex Oxides from First-Principles. Phys. Status Solidi (B) 2020, 257, 1900671. [Google Scholar] [CrossRef]
- Bellaiche, L.; Vanderbilt, D. Virtual crystal approximation revisited: Application to dielectric and piezoelectric properties of perovskites. Phys. Rev. B 2000, 61, 7877. [Google Scholar] [CrossRef]
- Ramer, N.J.; Rappe, A.M. Virtual-crystal approximation that works: Locating a compositional phase boundary in Pb (Zr 1 − x Ti x) O3. Phys. Rev. B 2000, 62, R743. [Google Scholar] [CrossRef]
- Al-Zoubi, N. First-principles study of the phase stability and elastic properties of TiVNbMoM (M = Al, Sc, Ni and Cu) high entropy alloys. Phys. Scr. 2023, 98, 095941. [Google Scholar] [CrossRef]
- Al-Zoubi, N.; Vitos, L. Phase stability and elastic properties of NbMoTaWMx (M = Al, V, Zr, Tc, Re and Ir) RHEAs: A first-principles assessment. Phys. B 2024, 687, 416108. [Google Scholar] [CrossRef]
- Dastanpour, E.; Huang, S.; Schönecker, S.; Mao, H.; Ström, V.; Eriksson, O.; Varga, L.K.; Vitos, L. On the structural and magnetic properties of Al-rich high entropy alloys: A joint experimental-theoretical study. J. Phys. D Appl. Phys. 2023, 56, 015003. [Google Scholar] [CrossRef]
- Vitos, L. Computational Quantum Mechanics for Materials Engineers: The EMTO Method and Applications; Springer: London, UK, 2007. [Google Scholar]
- EMTO Group. Available online: http://emto.gitlab.io (accessed on 3 May 2024).
- Huang, S.; Li, W.; Eriksson, O.; Vitos, L. Chemical ordering controlled thermo-elasticity of AlTiVCr1-xNbx high-entropy alloys. Acta Mater. 2020, 199, 53–62. [Google Scholar] [CrossRef]
- Zhang, H.; Sun, X.; Lu, S.; Dong, Z.; Ding, X.; Wang, Y.; Vitos, L. Elastic properties of AlxCrMnFeCoNi (0 ≤ x ≤ 5) high-entropy alloys from ab initio theory. Acta Mater. 2018, 155, 12–22. [Google Scholar] [CrossRef]
- Perdew, J.P.; Burke, K.; Ernzerhof, M. Generalized gradient approximation made simple. Phys. Rev. Lett. 1996, 77, 3865. [Google Scholar] [CrossRef]
- Al-Zoubi, N.I.; Punkkinen, M.P.J.; Johansson, B.; Vitos, L. Completeness of the exact muffin-tin orbitals: Application to hydrogenated alloys. Phys. Rev. B-Condens. Matter Mater. Phys. 2010, 81, 045122. [Google Scholar] [CrossRef]
- Hill, R. The elastic behaviour of a crystalline aggregate. Proc. Phys. Soc. Sect. A 1952, 65, 349. [Google Scholar] [CrossRef]
- Voigt, W. Elasticitatsconstunten isotroper Korper. Ann. Phys. 1889, 38, 573. [Google Scholar] [CrossRef]
- Reuss, A.; Angew, Z. Berechnung der Fliehgrenze von Mischkristallen auf Grund der Plastizittitsbedingung fiir Einkristalle. Math. Phys. 1929, 9, 49–58. [Google Scholar]
- Mouhat, F.; Coudert, F.-X. Necessary and sufficient elastic stability conditions in various crystal systems. Phys. Rev. B 2014, 90, 224104. [Google Scholar] [CrossRef]
- Yang, X.; Zhang, Y. Prediction of high-entropy stabilized solid-solution in multi-component alloys. Mater. Chem. Phys. 2012, 132, 233–238. [Google Scholar] [CrossRef]
- Guo, S.; Ng, C.; Lu, J.; Liu, C.T. Effect of valence electron concentration on stability of fcc or bcc phase in high entropy alloys. J. Appl. Phys. 2011, 109, 103505. [Google Scholar] [CrossRef]
- Tian, F.; Varga, L.K.; Chen, N.; Shen, J.; Vitos, L. Empirical design of single phase high-entropy alloys with high hardness. Intermetallics 2015, 58, 1–6. [Google Scholar] [CrossRef]
- Pugh, S.F. Relations between elastic moduli and plastic properties of polycrystalline pure metals. Philos. Mag. 1954, 45, 823–843. [Google Scholar] [CrossRef]
- Gu, X.J.; McDermott, A.G.; Poon, S.J.; Shiflet, G.J. Critical Poisson’s ratio for plasticity in Fe– Mo–C–B–Ln bulk amorphous steel. Appl. Phys. Lett. 2006, 88, 211905. [Google Scholar] [CrossRef]
- Wang, Y.; He, J.; Yan, M.; Li, C.; Wang, L.; Zhou, Y. First-principles study of NiAl alloyed with rare earth element Ce. J. Mater. Sci. Technol. 2011, 27, 719–724. [Google Scholar] [CrossRef]
- Ma, Z.N.; Min, J.; Lei, W. First-principles study of electronic structures and phase stabilities of ternary intermetallic compounds in the Mg-Y-Zn alloys. Acta Phys. Sin.-Chin. Ed. 2015, 64, 1026–1031. [Google Scholar]
Disclaimer/Publisher’s Note: The statements, opinions and data contained in all publications are solely those of the individual author(s) and contributor(s) and not of MDPI and/or the editor(s). MDPI and/or the editor(s) disclaim responsibility for any injury to people or property resulting from any ideas, methods, instructions or products referred to in the content. |
© 2024 by the authors. Licensee MDPI, Basel, Switzerland. This article is an open access article distributed under the terms and conditions of the Creative Commons Attribution (CC BY) license (https://creativecommons.org/licenses/by/4.0/).





