Analysis and Characterization of the Behavior of Air Pollutants and Their Relationship with Climate Variability in the Main Industrial Zones of Hidalgo State, México
Abstract
1. Introduction
2. Materials and Methods
2.1. Study Area
2.2. Data
2.2.1. Air Pollutant Information
2.2.2. Climate Information
- (a)
- The distance between the meteorological station and the pollutant monitoring station must be less than 10 km.
- (b)
- The meteorological station supplied at least 80% of the data for the monthly averages of the selected variables. The World Meteorological Organization (WMO) suggests this percentage value [43].
- (c)
- The variables’ time series must pass a homogeneous test and quality control [44].
2.3. Zone Distribution and Structuration
2.4. Time Series Configuration
2.5. Analysis of the Pollutant and Climate Variables
2.6. Trend and Correlation Analysis
3. Results
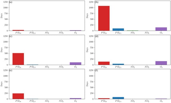
3.1. Pollutant Behavior
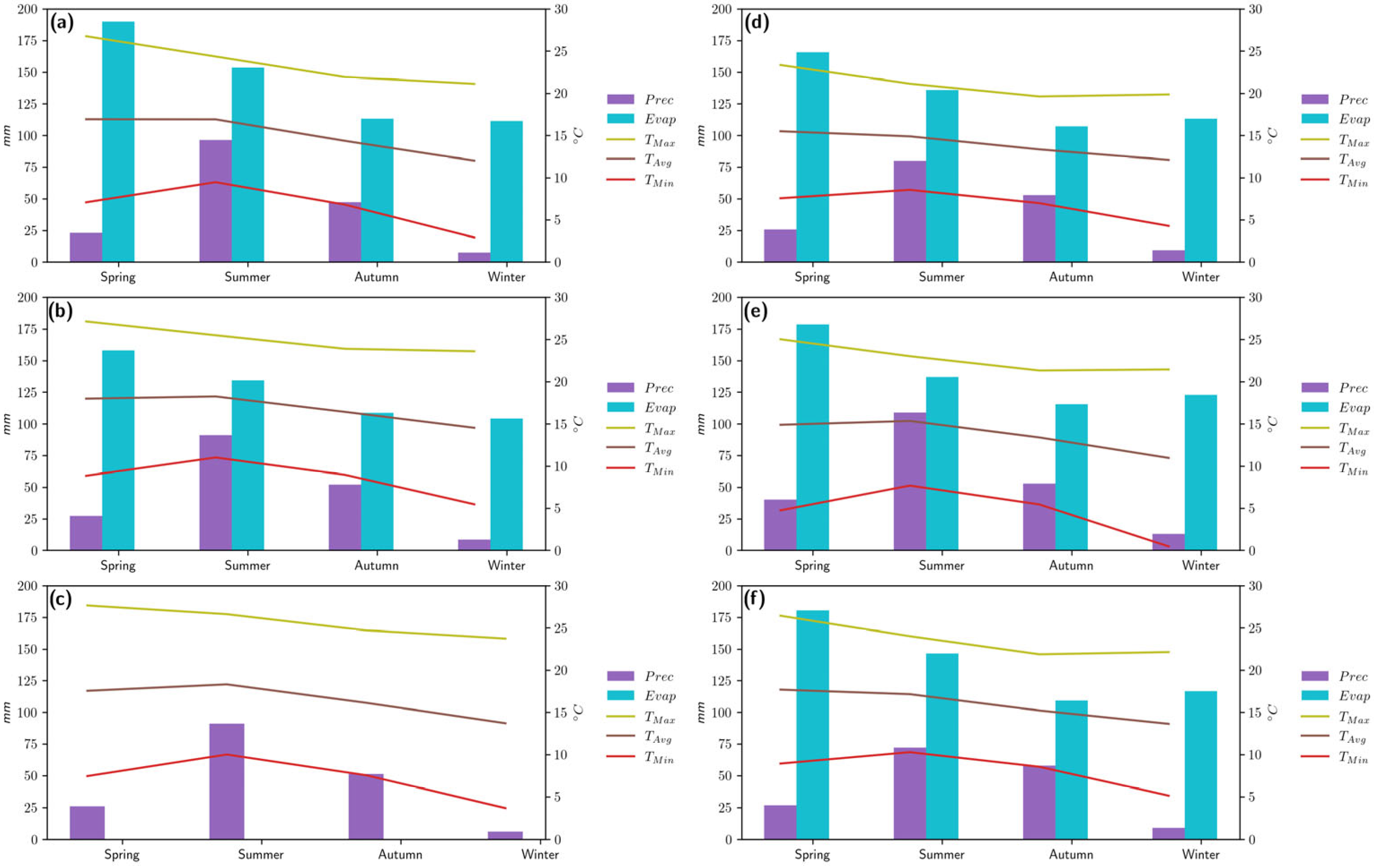
3.2. Climate Variables’ Behavior
3.3. Correlations’ Behavior
4. Discussion
5. Conclusions
Author Contributions
Funding
Data Availability Statement
Conflicts of Interest
Appendix A
| Station | Municipality | Latitude | Longitude |
|---|---|---|---|
| Centro de Salud, Atitalaquia (ATI) | Atitalaquia | 20.06° | −99.22° |
| Primaria Revolución, Atotonilco (ATO) | Atotonilco de Tula | 20.01° | −99.22° |
| Hospital, Huichapan (HUI) | Huichapan | 20.38° | −99.65° |
| Museo del Rehilete, Pachuca (PAC) | Pachuca de Soto | 20.08° | −98.78° |
| Estación de Bomberos de Cd. Sahagún, Tepeapulco (TEP) | Tepeapulco | 19.77° | −98.58° |
| Primaria Melchor Ocampo, Tepeji (TPJ) | Tepeji del Río de Ocampo | 19.90° | −99.34° |
| Biblioteca, Tizayuca (TIZ) | Tizayuca | 19.84° | −98.98° |
| Universidad Tecnológica de Tula-Tepeji, Tula (TUL) | Tula de Allende | 20.01° | −99.34° |
| Tulancingo, Tulancingo (TLN) | Tulancingo de Bravo | 20.09° | −98.37° |
Appendix B
| ID | Station | Municipality | Latitude | Longitude | Altitude * |
|---|---|---|---|---|---|
| 13156 | Tlaxcalilla | Huichapan | 20.3747° | −99.8088° | 2194 |
| 13083 | Presa Madero | 20.3094° | −99.7225° | 2206 | |
| 13080 | Presa Endho | Tepetitlán | 20.1550° | −99.3550° | 2035 |
| 13149 | El Banco | Tepeji Del Río de Ocampo | 19.9602° | −99.4572° | 2369 |
| 13084 | Presa Requena | 19.9638° | −99.3119° | 2123 | |
| 13111 | Ajacuba (DGE) | Ajacuba | 20.0988° | −99.1219° | 2139 |
| 13022 | Pachuca (OBS) | Pachuca de Soto | 20.0877° | −98.7497° | 2425 |
| 13150 | El Cerezo | 20.1583° | −98.7286° | 2673 | |
| 13079 | Presa El Girón | Singuilucan | 20.0725° | −98.6533° | 2589 |
| 13115 | Real Del Monte | Mineral del Monte | 20.1330° | −98.6691° | 2766 |
| 13008 | El manantial | Tizayuca | 19.8516° | −98.9363° | 2290 |
| 13027 | San Jerónimo | Tepeapulco | 19.8152° | −98.4841° | 2535 |
| 13138 | Emiliano Zapata | Emiliano Zapata | 19.6583° | −98.5500° | 2490 |
| 13041 | Tulancingo (OBS) | Tulancingo de Bravo | 20.0841° | −98.3575° | 2207 |
| 13082 | Presa La Esperanza | 20.0561° | −98.3344° | 2218 | |
| 13031 | Santiago Tulantepec | Santiago Tulantepec de Lugo Guerrero | 20.0444° | −98.3683° | 2179 |
References
- Naciones Unidas. Acuerdo de París. Available online: https://unfccc.int/files/meetings/paris_nov_2015/application/pdf/paris_agreement_spanish.pdf (accessed on 13 March 2025).
- Naciones Unidas. Objetivos de Desarrollo Sostenible. Available online: https://www.un.org/sustainabledevelopment/es/objetivos-de-desarrollo-sostenible/ (accessed on 16 May 2025).
- Masson-Delmotte, V.; Zhai, P.; Pirani, S.; Connors, C.; Péan, S.; Berger, N.; Caud, Y.; Chen, L.; Goldfarb, M.; Scheel Monteiro, P.M. Ipcc, 2021: Summary for Policymakers. in: Climate Change 2021: The Physical Science Basis. In Contribution of Working Group I to the Sixth Assessment Report of the Intergovernmental Panel on Climate Change; IPCC: Geneva, Switzerland, 2021. [Google Scholar]
- Masson-Delmotte, V.; Zhai, P.; Pörtner, H.-O.; Roberts, D.; Skea, J.; Shukla, P.R. Global Warming of 1.5 °C: IPCC Special Report on Impacts of Global Warming of 1.5° C above Pre-Industrial Levels in Context of Strengthening Response to Climate Change, Sustainable Development, and Efforts to Eradicate Poverty; Cambridge University Press: Cambridge, UK, 2022. [Google Scholar]
- Sun, Y.; Yin, H.; Wang, W.; Shan, C.; Notholt, J.; Palm, M.; Liu, K.; Chen, Z.; Liu, C. Monitoring greenhouse gases (GHGs) in China: Status and perspective. Atmos. Meas. Tech. 2022, 15, 4819–4834. [Google Scholar] [CrossRef]
- Aslam, R.; Sharif, F.; Baqar, M.; Nizami, A.-S.; Ashraf, U. Role of ambient air pollution in asthma spread among various population groups of Lahore City: A case study. Environ. Sci. Pollut. Res. 2023, 30, 8682–8697. [Google Scholar] [CrossRef]
- Chen, C.; Liu, X.; Wang, X.; Qu, W.; Li, W.; Dong, L. Effect of air pollution on hospitalization for acute exacerbation of chronic obstructive pulmonary disease, stroke, and myocardial infarction. Environ. Sci. Pollut. Res. 2020, 27, 3384–3400. [Google Scholar] [CrossRef] [PubMed]
- de Oliveira Alves, N.; Brito, J.; Caumo, S.; Arana, A.; de Souza Hacon, S.; Artaxo, P.; Hillamo, R.; Teinilä, K.; Batistuzzo de Medeiros, S.R.; de Castro Vasconcellos, P. Biomass burning in the Amazon region: Aerosol source apportionment and associated health risk assessment. Atmos. Environ. 2015, 120, 277–285. [Google Scholar] [CrossRef]
- Gruszecka-Kosowska, A. Assessment of the Kraków inhabitants’ health risk caused by the exposure to inhalation of outdoor air contaminants. Stoch. Environ. Res. Risk Assess. 2018, 32, 485–499. [Google Scholar] [CrossRef]
- Ma, Y.; Wang, W.; Li, Z.; Si, Y.; Wang, J.; Chen, L.; Wei, C.; Lin, H.; Deng, F.; Guo, X.; et al. Short-term exposure to ambient air pollution and risk of daily hospital admissions for anxiety in China: A multicity study. J. Hazard. Mater. 2022, 424, 127535. [Google Scholar] [CrossRef]
- Sughis, M.; Nawrot, T.S.; Ihsan-ul-Haque, S.; Amjad, A.; Nemery, B. Blood pressure and particulate air pollution in schoolchildren of Lahore, Pakistan. BMC Public Health 2012, 12, 378. [Google Scholar] [CrossRef]
- Tang, K.T.J.; Lin, C.; Wang, Z.; Pang, S.W.; Wong, T.-W.; Yu, I.T.S.; Fung, W.W.Y.; Hossain, M.S.; Lau, A.K.H. Update of Air Quality Health Index (AQHI) and harmonization of health protection and climate mitigation. Atmos. Environ. 2024, 326, 120473. [Google Scholar] [CrossRef]
- Waheed, F.; Ehsan, N.; Nasir, R.; Khan, W.A.; Khokhar, M.F.; Shahzad, L.; Tariq, A.; Afzal, H.; Zaman, Q.U. Geo-spatial distribution of air pollutants in urban area and its potential health risk analysis solutions. Urban Clim. 2025, 61, 102380. [Google Scholar] [CrossRef]
- Karmakar, D.; Padhy, P.K. Air pollution tolerance, anticipated performance, and metal accumulation indices of plant species for greenbelt development in urban industrial area. Chemosphere 2019, 237, 124522. [Google Scholar] [CrossRef]
- Kousehlar, M.; Widom, E. Identifying the sources of air pollution in an urban-industrial setting by lichen biomonitoring—A multi-tracer approach. Appl. Geochem. 2020, 121, 104695. [Google Scholar] [CrossRef]
- Shakeel, T.; Hussain, M.; Shah, G.M.; Gul, I. Impact of vehicular emissions on anatomical and morphological characteristics of vascular plants: A comparative study. Chemosphere 2022, 287, 131937. [Google Scholar] [CrossRef] [PubMed]
- Chia, R.W.; Lee, J.-Y.; Lee, M.; Lee, G.-S.; Jeong, C.-D. Role of soil microplastic pollution in climate change. Sci. Total Environ. 2023, 887, 164112. [Google Scholar] [CrossRef] [PubMed]
- Fiore, A.M.; Naik, V.; Leibensperger, E.M. Air Quality and Climate Connections. J. Air Waste Manag. Assoc. 2015, 65, 645–685. [Google Scholar] [CrossRef]
- Islam, M.M.; Afrin, S.; Ahmed, T.; Ali, M.A. Meteorological and seasonal influences in ambient air quality parameters of Dhaka city. J. Civ. Eng. 2015, 43, 67–77. [Google Scholar]
- Kinney, P.L. Interactions of Climate Change, Air Pollution, and Human Health. Curr. Environ. Health Rep. 2018, 5, 179–186. [Google Scholar] [CrossRef]
- Mkoma, S.L.; Mjemah, I.C. Influence of Meteorology on Ambient Air Quality in Morogoro, Tanzania. Int. J. Environ. Sci. 2011, 1, 1107–1115. [Google Scholar]
- Tai, A.P.K.; Mickley, L.J.; Jacob, D.J. Correlations between fine particulate matter (PM2.5) and meteorological variables in the United States: Implications for the sensitivity of PM2.5 to climate change. Atmos. Environ. 2010, 44, 3976–3984. [Google Scholar] [CrossRef]
- Shahzad, U.; Miao, C. Assessing the impact of digitalization, geography, and digital mobility on air pollution in Europe & Central Asia: A climate change perspective. Sci. Total Environ. 2025, 1001, 180507. [Google Scholar] [CrossRef]
- Alahmad, B.; Khraishah, H.; Althalji, K.; Borchert, W.; Al-Mulla, F.; Koutrakis, P. Connections Between Air Pollution, Climate Change, and Cardiovascular Health. Can. J. Cardiol. 2023, 39, 1182–1190. [Google Scholar] [CrossRef]
- Jia, C.; Zhang, H.; Batbaatar, N.; Naser, A.M.; Li, Y.; Kavouras, I. Clean Air Benefits and Climate Penalty: A Health Impact Analysis of Mortality Trends in the Mid-South Region, USA. Climate 2025, 13, 45. [Google Scholar] [CrossRef]
- Yin, L.; Bai, B.; Zhang, B.; Zhu, Q.; Di, Q.; Requia, W.J.; Schwartz, J.D.; Shi, L.; Liu, P. Climate Penalty on Air Pollution Abated by Anthropogenic Emission Reductions in the United States. Res. Sq. 2023, 16, rs-3. [Google Scholar] [CrossRef]
- World Health Organization. Directrices Mundiales de la OMS Sobre la Calidad del Aire; WHO: Geneva, Switzerland, 2021. [Google Scholar]
- Diario Oficial de la Federación. NORMA Oficial Mexicana NOM-022-SSA1-2019, Salud Ambiental. Criterio Para Evaluar la Calidad del Aire Ambiente, con Respecto al Dióxido de Azufre (SO2). Valores Normados Para la Concentración de dióxido de Azufre (SO2) en el Aire Ambiente, Como Medida de Protección a la Salud de la Población. Available online: https://www.dof.gob.mx/nota_detalle.php?codigo=5568395&fecha=20/08/2019#gsc.tab=0 (accessed on 15 March 2025).
- Diario Oficial de la Federación. NORMA Oficial Mexicana NOM-025-SSA1-2021, Salud Ambiental. Criterio Para Evaluar la Calidad del Aire Ambiente, con Respecto a las Partículas Suspendidas PM10 y PM2.5. Valores Normados Para la Concentración de Partículas Suspendidas PM10 y PM2.5 en el Aire Ambiente, Como Medida de Protección a la Salud de la Población. Available online: https://www.dof.gob.mx/nota_detalle.php?codigo=5633855&fecha=27/10/2021#gsc.tab=0 (accessed on 15 March 2025).
- Diario Oficial de la Federación. NORMA Oficial Mexicana NOM-023-SSA1-2021, Salud Ambiental. Criterio Para Evaluar la Calidad del Aire Ambiente, con Respecto al Dióxido de Nitrógeno (NO2). Valores Normados Para la Concentración de Dióxido de Nitrógeno (NO2) en el Aire Ambiente, Como Medida de Protección a la Salud de la Población. Available online: https://www.dof.gob.mx/nota_detalle.php?codigo=5633854&fecha=27/10/2021#gsc.tab=0 (accessed on 15 March 2025).
- Diario Oficial de la Federación. NORMA Oficial Mexicana NOM-021-SSA1-2021, Salud Ambiental. Criterio Para Evaluar la Calidad del Aire Ambiente, con Respecto al Monóxido de Carbono (CO). Valores Normados Para la Concentración de Monóxido de Carbono (CO) en el Aire Ambiente, Como Medida de Protección a la Salud de la Población. Available online: https://www.dof.gob.mx/nota_detalle.php?codigo=5634084&fecha=29/10/2021#gsc.tab=0 (accessed on 15 March 2025).
- Diario Oficial de la Federación. NORMA Oficial Mexicana NOM-020-SSA1-2021, Salud Ambiental. Criterio Para Evaluar la Calidad del Aire Ambiente, con Respecto al Ozono (O3). Valores Normados Para la Concentración de Ozono (O3) en el Aire Ambiente, Como Medida de Protección a la Salud de la Población. Available online: https://www.dof.gob.mx/nota_detalle.php?codigo=5633956&fecha=28/10/2021#gsc.tab=0 (accessed on 15 March 2025).
- Instituto Nacional de Ecología y Cambio Climático. Sistema Nacional de Información de la Calidad del Aire, SINAICA. Available online: https://sinaica.inecc.gob.mx/index.php (accessed on 20 March 2025).
- Servicio Meteorológico Nacional. Información Estadística Climatológica. Available online: https://smn.conagua.gob.mx/es/climatologia/informacion-climatologica/informacion-estadistica-climatologica (accessed on 16 April 2025).
- García Escalante, J.S.; García-Reynoso, J.A.; Jazcilevich-Diamant, A.; Ruiz Suárez, L.G. La influencia del complejo Tula, Hidalgo en la calidad del aire de la Zona Metropolitana de la Ciudad de México. Atmósferasfera 2014, 27, 215–225. [Google Scholar] [CrossRef]
- Gaytan Alfaro, E.D.; Vargas Sánchez, J.R. Agrupamientos industriales de la economía del estado de Hidalgo, México: Un enfoque de insumo-producto. Econ. Soc. Territ. 2019, 19, 47–48. [Google Scholar] [CrossRef]
- Instituto Nacional de Ecología y Cambio Climático. Informe Nacional de la Calidad del Aire 2021, 2024th ed.; Insituto Nacional de Ecología y Cambio Climpatico: Ciudad de México, Mexico, 2024; p. 381.
- Gobierno del Estado de Hidalgo. Plan Estatal de Desarrollo 2022–2028, 2023rd ed.; Gobierno del Estado de Hidalgo: Pachuca, Mexico, 2023; p. 173.
- Martínez-Carrillo, M.A.; Andrade, E.; Beltrán-Hernández, R.I.; Isaac-Olivé, K.; Lucho-Constantino, C.A.; López Reyes, M.C.; Longoria, L.C. Atmospheric Pollution in the Tula Industrial Corridor studied using a biomonitor and nuclear analytical techniques. Rev. Mex. Física 2011, 57, 75–79. [Google Scholar]
- Montelongo-Reyes, M.M.; Otazo-Sánchez, E.M.; Romo-Gómez, C.; Gordillo-Martínez, A.J.; Galindo-Castillo, E. GHG and black carbon emission inventories from Mezquital Valley: The main energy provider for Mexico Megacity. Sci. Total Environ. 2015, 527–528, 455–464. [Google Scholar] [CrossRef]
- Vega-Ortiz, C.; Avendaño-Petronilo, F.; Richards, B.; Sorkhabi, R.; Torres-Barragán, L.; Martínez-Romero, N.; McLennan, J. Assessment of carbon geological storage at Tula de Allende as a potential solution for reducing greenhouse gas emissions in central Mexico. Int. J. Greenh. Gas Control 2021, 109, 103362. [Google Scholar] [CrossRef]
- Instituto Nacional de Estadística y Geografía. Mapas. Available online: https://www.inegi.org.mx/temas/ (accessed on 20 April 2025).
- World Meteorological Organization. Guide to Climatological Practices; WMO: Geneva, Switzerland, 2018. [Google Scholar]
- Villa-Falfán, C.; Valdés-Rodríguez, O.A.; Vázquez-Aguirre, J.L.; Salas-Martínez, F. Climate Indices and Their Impact on Maize Yield in Veracruz, Mexico. Atmosphere 2023, 14, 778. [Google Scholar] [CrossRef]
- García, E. Modificaciones al Sistema de Clasificación Climática de Köppen; Universidad Nacional Autónoma de México: Ciudad de México, Mexico, 2004. [Google Scholar]
- Aditya, F.; Gusmayanti, E.; Sudrajat, J. Rainfall trend analysis using Mann-Kendall and Sen’s slope estimator test in West Kalimantan. IOP Conf. Ser. Earth Environ. Sci. 2021, 893, 012006. [Google Scholar] [CrossRef]
- García-Cueto, O.R.; Santillán-Soto, N.; López-Velázquez, E.; Reyes-López, J.; Cruz-Sotelo, S.; Ojeda-Benítez, S. Trends of climate change indices in some Mexican cities from 1980 to 2010. Theor. Appl. Climatol. 2019, 137, 775–790. [Google Scholar] [CrossRef]
- Bhuyan, M.; Islam, M.; Bhuiyan, M. A Trend Analysis of Temperature and Rainfall to Predict Climate Change for Northwestern Region of Bangladesh. Am. J. Clim. Change 2018, 7, 115–134. [Google Scholar] [CrossRef]
- Hussain, M.M.; Mahmud, I. pyMannKendall: A python package for non parametric Mann Kendall family of trend tests. J. Open Source Softw. 2019, 4, 1–3. [Google Scholar] [CrossRef]
- García-Cueto, O.R.; Cavazos, M.T.; de Grau, P.; Santillán-Soto, N. Analysis and modeling of extreme temperatures in several cities in northwestern Mexico under climate change conditions. Theor. Appl. Climatol. 2014, 116, 211–225. [Google Scholar] [CrossRef]
- Inicitiva Climática de México. Estudio Sobre la Influencia de la Central Termoelétrica de Tula Y la Calidad de Aire Regional. Available online: https://www.iniciativaclimatica.org/wp-content/uploads/2021/03/Central-Termoeléctrica-Tula.pdf (accessed on 30 May 2025).
- Rivera-Cárdenas, C.I.; Arellano, T. The Tula Industrial Area Field Experiment: Quantitative Measurements of Formaldehyde, Sulfur Dioxide, and Nitrogen Dioxide Emissions Using Mobile Differential Optical Absorption Spectroscopy Instruments. Pollutants 2024, 4, 463–473. [Google Scholar] [CrossRef]
- Rivera, C.; Sosa, G.; Wöhrnschimmel, H.; de Foy, B.; Johansson, M.; Galle, B. Tula industrial complex (Mexico) emissions of SO2 and NO2 during the MCMA 2006 field campaign using a mobile mini-DOAS system. Atmos. Chem. Phys. 2009, 9, 6351–6361. [Google Scholar] [CrossRef]
- Sosa, G.; Vega, E.; González-Avalos, E.; Mora, V.; López-Veneroni, D. Air Pollutant Characterization in Tula Industrial Corridor, Central Mexico, during the MILAGRO Study. BioMed Res. Int. 2013, 2013, 521728. [Google Scholar] [CrossRef]
- Ramírez-Aldaba, H.; López-Serrano, P.M.; García-Montiel, E.; Morones-Esquivel, M.M.; Bocanegra-Salazar, M.; Borrego-Núñez, C.; Loera-Sánchez, J.M. Prediction of Tropospheric Ozone Levels from Land Surface Temperature in the Urban Area of Durango, Dgo., Mexico. Pollutants 2025, 5, 3. [Google Scholar] [CrossRef]
- Gaceta Oficial de la Ciudad de México. Programa para Prevenir y Responder a la Contingencias Ambientales Atmosféricas en la Ciudad de México; Gobierno de la Ciudad de México: Ciudad de México, México, 2019. [Google Scholar]
- Comisión Federal de Electricidad. La Cfe Informa Que la Central Termoeléctrica “Tula” Opera Al 40% de Su Capacidad Y Con Una Reducción de 80% de Combustóleo. Available online: https://app.cfe.mx/Aplicaciones/OTROS/Boletines/boletin?i=2149 (accessed on 31 May 2025).
- Das, S.; Chellam, S. Estimating light-duty vehicles’ contributions to ambient PM2.5 and PM10 at a near-highway urban elementary school via elemental characterization emphasizing rhodium, palladium, and platinum. Sci. Total Environ. 2020, 747, 141268. [Google Scholar] [CrossRef]
- Fan, H.; Wang, Y.; Zhao, C.; Yang, Y.; Yang, X.; Sun, Y.; Jiang, S. The Role of Primary Emission and Transboundary Transport in the Air Quality Changes During and After the COVID-19 Lockdown in China. Geophys. Res. Lett. 2021, 48, e2020GL091065. [Google Scholar] [CrossRef]
- Kamal, A.; Qamar, K.; Gulfraz, M.; Anwar, M.A.; Malik, R.N. PAH exposure and oxidative stress indicators of human cohorts exposed to traffic pollution in Lahore city (Pakistan). Chemosphere 2015, 120, 59–67. [Google Scholar] [CrossRef]
- Kashi, S.U.R.; Hanif, A. Assessment of volatile organic compounds at gasoline filling stations and possible impacts on human health in Lahore, Pakistan. Pak. J. Sci. Ind. Res. Ser. A Phys. Sci. 2019, 62, 98–103. [Google Scholar] [CrossRef]
- Qiang, W.; Lin, Z.; Zhu, P.; Wu, K.; Lee, H.F. Shrinking cities, urban expansion, and air pollution in China: A spatial econometric analysis. J. Clean. Prod. 2021, 324, 129308. [Google Scholar] [CrossRef]
- Ma, Y.; Cheng, B.; Li, H.; Feng, F.; Zhang, Y.; Wang, W.; Qin, P. Air pollution and its associated health risks before and after COVID-19 in Shaanxi Province, China. Environ. Pollut. 2023, 320, 121090. [Google Scholar] [CrossRef] [PubMed]
- Sosa, B.S.; Porta, A.; Colman Lerner, J.E.; Banda Noriega, R.; Massolo, L. Human health risk due to variations in PM10-PM2.5 and associated PAHs levels. Atmos. Environ. 2017, 160, 27–35. [Google Scholar] [CrossRef]
- Bodor, K.; Szép, R.; Bodor, Z. The human health risk assessment of particulate air pollution (PM2.5 and PM10) in Romania. Toxicol. Rep. 2022, 9, 556–562. [Google Scholar] [CrossRef]
- Khaniabadi, Y.O.; Polosa, R.; Chuturkova, R.Z.; Daryanoosh, M.; Goudarzi, G.; Borgini, A.; Tittarelli, A.; Basiri, H.; Armin, H.; Nourmoradi, H.; et al. Human health risk assessment due to ambient PM10 and SO2 by an air quality modeling technique. Process Saf. Environ. Prot. 2017, 111, 346–354. [Google Scholar] [CrossRef]
- Azadeh Del, F.; Dindarloo Inaloo, K.; Alipur, V.; Ghaffari, H.R.; Dehghani, S. Assessment of health risk and mortality caused by exposure to suspended particles (PM10, PM2.5) in industrial and non-industrial areas of Bandar Abbas city, Iran, 2023: A cross sectional study. Int. J. Environ. Health Res. 2025, 35, 1916–1924. [Google Scholar] [CrossRef]
- Chen, H.; Burnett, R.T.; Kwong, J.C.; Villeneuve, P.J.; Goldberg, M.S.; Brook, R.D.; van Donkelaar, A.; Jerrett, M.; Martin, R.V.; Brook, J.R.; et al. Risk of Incident Diabetes in Relation to Long-term Exposure to Fine Particulate Matter in Ontario, Canada. Environ. Health Perspect. 2013, 121, 804–810. [Google Scholar] [CrossRef]
- Guo, Y.; Zeng, H.; Zheng, R.; Li, S.; Barnett, A.G.; Zhang, S.; Zou, X.; Huxley, R.; Chen, W.; Williams, G. The association between lung cancer incidence and ambient air pollution in China: A spatiotemporal analysis. Environ. Res. 2016, 144, 60–65. [Google Scholar] [CrossRef]
- Bell, M.L.; Ebisu, K.; Leaderer, B.P.; Gent, J.F.; Joo Lee, H.; Koutrakis, P.; Wang, Y.; Dominici, F.; Peng, R.D. Associations of PM2.5 Constituents and Sources with Hospital Admissions: Analysis of Four Counties in Connecticut and Massachusetts (USA) for Persons >65 Years of Age. Environ. Health Perspect. 2014, 122, 138–144. [Google Scholar] [CrossRef]
- Yuan, S.; Bao, Y.; Li, Y.; Ran, Q.; Zhou, Y.; Xu, Y.; Zhang, X.; Han, L.; Zhao, S.; Zhang, Y.; et al. Long-term exposure to low-concentration sulfur dioxide and mental disorders in middle-aged and older urban adults. Environ. Pollut. 2025, 366, 125402. [Google Scholar] [CrossRef]
- Huang, J.; Yang, X.; Fan, F.; Hu, Y.; Wang, X.; Zhu, S.; Ren, G.; Wang, G. Outdoor air pollution and the risk of asthma exacerbations in single lag0 and lag1 exposure patterns: A systematic review and meta-analysis. J. Asthma 2022, 59, 2322–2339. [Google Scholar] [CrossRef]
- Mebrahtu, T.F.; Santorelli, G.; Yang, T.C.; Wright, J.; Tate, J.; McEachan, R.R.C. The effects of exposure to NO2, PM2.5 and PM10 on health service attendances with respiratory illnesses: A time-series analysis. Environ. Pollut. 2023, 333, 122123. [Google Scholar] [CrossRef] [PubMed]
- Luo, Y.; Xu, L.; Li, Z.; Zhou, X.; Zhang, X.; Wang, F.; Peng, J.; Cao, C.; Chen, Z.; Yu, H. Air pollution in heavy industrial cities along the northern slope of the Tianshan Mountains, Xinjiang: Characteristics, meteorological influence, and sources. Environ. Sci. Pollut. Res. 2023, 30, 55092–55111. [Google Scholar] [CrossRef] [PubMed]
- Nakyai, T.; Santasnachok, M.; Thetkathuek, A.; Phatrabuddha, N. Influence of meteorological factors on air pollution and health risks: A comparative analysis of industrial and urban areas in Chonburi Province, Thailand. Environ. Adv. 2025, 19, 100608. [Google Scholar] [CrossRef]
- Zhang, H.; Wang, Y.; Hu, J.; Ying, Q.; Hu, X.-M. Relationships between meteorological parameters and criteria air pollutants in three megacities in China. Environ. Res. 2015, 140, 242–254. [Google Scholar] [CrossRef]
- Feng, H.; Zou, B.; Wang, J.; Gu, X. Dominant variables of global air pollution-climate interaction: Geographic insight. Ecol. Indic. 2019, 99, 251–260. [Google Scholar] [CrossRef]
- Liu, Y.; Zhou, Y.; Lu, J. Exploring the relationship between air pollution and meteorological conditions in China under environmental governance. Sci. Rep. 2020, 10, 14518. [Google Scholar] [CrossRef]
- Agustín Breña-Naranjo, J.; Pedrozo-Acuña, A.; Pozos-Estrada, O.; Jiménez-López, S.A.; López-López, M.R. The contribution of tropical cyclones to rainfall in Mexico. Phys. Chem. Earth Parts A/B/C 2015, 83–84, 111–122. [Google Scholar] [CrossRef]
- Khouakhi, A.; Villarini, G.; Vecchi, G.A. Contribution of Tropical Cyclones to Rainfall at the Global Scale. J. Clim. 2017, 30, 359–372. [Google Scholar] [CrossRef]
- Cook, B.I.; Ault, T.R.; Smerdon, J.E. Unprecedented 21st century drought risk in the American Southwest and Central Plains. Sci. Adv. 2015, 1, e1400082. [Google Scholar] [CrossRef]
- Del-Toro-Guerrero, F.J.; Kretzschmar, T. Precipitation-temperature variability and drought episodes in northwest Baja California, México. J. Hydrol. Reg. Stud. 2020, 27, 100653. [Google Scholar] [CrossRef]
- Salas-Martínez, F.; Márquez-Grajales, A.; Valdés-Rodríguez, O.-A.; Palacios-Wassenaar, O.-M.; Pérez-Castro, N. Prediction of agricultural drought behavior using the Long Short-Term Memory Network (LSTM) in the central area of the Gulf of Mexico. Theor. Appl. Climatol. 2024, 155, 7887–7907. [Google Scholar] [CrossRef]
- Seager, R.; Ting, M.; Davis, M.; Cane, M.; Naik, N.; Nakamura, J.; Li, C.; Cook, E.; Stahle, D.W. Mexican drought: An observational modeling and tree ring study of variability and climate change. Atmósfera 2009, 22, 1–31. [Google Scholar]
- Spinoni, J.; Barbosa, P.; Bucchignani, E.; Cassano, J.; Cavazos, T.; Christensen, J.H.; Christensen, O.B.; Coppola, E.; Evans, J.; Geyer, B.; et al. Future Global Meteorological Drought Hot Spots: A Study Based on CORDEX Data. J. Clim. 2020, 33, 3635–3661. [Google Scholar] [CrossRef]
- Englehart, P.J.; Douglas, A.V. Changing behavior in the diurnal range of surface air temperatures over Mexico. Geophys. Res. Lett. 2005, 32, 1–4. [Google Scholar] [CrossRef]
- Mendoza-Aguilar, B.Y.; Carbajal, N.; Pineda-Martínez, L.F.; León-Cruz, J.F. Evapotranspiration, land cover, and climatic factors in southeastern Mexico and Central America. Environ. Res. Commun. 2025, 7, 021007. [Google Scholar] [CrossRef]
- Salas-Martínez, F.; Valdés-Rodríguez, O.A.; Palacios-Wassenaar, O.M.; Márquez-Grajales, A.; Rodríguez-Hernández, L.D. Methodological estimation to quantify drought intensity based on the NDDI index with Landsat 8 multispectral images in the central zone of the Gulf of Mexico. Front. Earth Sci. 2023, 11, 1027483. [Google Scholar] [CrossRef]
- Stahle, D.W.; Cook, E.R.; Díaz, J.V.; Fye, F.K.; Burnette, D.J.; Griffin, D.; Soto, R.A.; Seager, R.; Heim, R.R., Jr. Early 21st-Century Drought in Mexico. Eos Trans. Am. Geophys. Union 2009, 90, 89–90. [Google Scholar] [CrossRef]
- Abdullah, A.M.; Ismail, M.; Yuen, F.S.; Abdullah, S.; Elhadi, R.E. The Relationship between Daily Maximum Temperature and Daily Maximum Ground Level Ozone Concentration. Pol. J. Environ. Stud. 2017, 26, 517–523. [Google Scholar] [CrossRef]
- Analitis, A.; De’ Donato, F.; Scortichini, M.; Lanki, T.; Basagana, X.; Ballester, F.; Astrom, C.; Paldy, A.; Pascal, M.; Gasparrini, A.; et al. Synergistic Effects of Ambient Temperature and Air Pollution on Health in Europe: Results from the PHASE Project. Int. J. Environ. Res. Public Health 2018, 15, 1856. [Google Scholar] [CrossRef]
- Ebi, K.L.; McGregor, G. Climate Change, Tropospheric Ozone and Particulate Matter, and Health Impacts. Environ. Health Perspect. 2008, 116, 1449–1455. [Google Scholar] [CrossRef]
- Gao, J.; Wood, D.; Katsouyanni, K.; Benmarhnia, T.; Evangelopoulos, D. The synergistic and mediating effects of ozone on associations between high temperature, heatwaves and mortality in the Greater London area between 2010 and 2018. Environ. Res. 2025, 277, 121577. [Google Scholar] [CrossRef]
- Zender-Świercz, E.; Galiszewska, B.; Telejko, M.; Starzomska, M. The effect of temperature and humidity of air on the concentration of particulate matter—PM2.5 and PM10. Atmos. Res. 2024, 312, 107733. [Google Scholar] [CrossRef]
- Cuervo-Robayo, A.P.; Ureta, C.; Gómez-Albores, M.A.; Meneses-Mosquera, A.K.; Téllez-Valdés, O.; Martínez-Meyer, E. One hundred years of climate change in Mexico. PLoS ONE 2020, 15, e0209808. [Google Scholar] [CrossRef]
- Navarro-Estupiñan, J.; Robles-Morua, A.; Vivoni, E.R.; Zepeda, J.E.; Montoya, J.A.; Verduzco, V.S. Observed trends and future projections of extreme heat events in Sonora, Mexico. Int. J. Climatol. 2018, 38, 5168–5181. [Google Scholar] [CrossRef]






| Pollutant | NOM | Stipulated Limit |
|---|---|---|
| PM10 | NOM-025-SSA1-2021 | 24 h: 70 μg/m3 Annual: 36 μg/m3 |
| PM2.5 | 24 h: 41 μg/m3 Annual: 10 μg/m3 | |
| SO2 | NOM-022-SSA1-2019 | 1 h: 0.075 ppm 24 h: 0.04 ppm |
| NO2 | NOM-023-SSA1-2021 | 1 h: 0.106 ppm Annual: 0.021 ppm |
| O3 | NOM-020-SSA1-2021 | 1 h: 0.090 ppm 8 h: 0.065 ppm |
| CO | NOM-021-SSA1-2021 | 1 h: 26 ppm 8 h: 9 ppm |
| Zone | Pollutant Station | Meteorological Station |
|---|---|---|
| 1 | Hospital, Huichapan (HUI) | Tlaxcalilla Presa Madero |
| 2 | Universidad Tecnológica de Tula-Tepeji, Tula (TUL) Primaria Melchor Ocampo, Tepeji (TPJ) Centro de Salud, Atitalaquia (ATI) Primaria Revolución, Atotonilco (ATO) | Ajacuba (DGE) El Banco Presa Endho Presa Requena |
| 3 | Biblioteca, Tizayuca (TIZ) | El manantial |
| 4 | Museo del Rehilete, Pachuca (PAC) | Pachuca (OBS) El Cerezo Presa El Girón Real Del Monte |
| 5 | Estación de Bomberos de Cd. Sahagún, Tepeapulco (TEP) | San Jerónimo Emiliano Zapata |
| 6 | Tulancingo, Tulancingo (TLN) | Santiago Tulantepec Presa La Esperanza Tulancingo (OBS) |
| Pollutants | Zone 1 | Zone 2 | Zone 3 | Zone 4 | Zone 5 | Zone 6 | ||||||
|---|---|---|---|---|---|---|---|---|---|---|---|---|
| Z Value | Sen Slope | Z Value | Sen Slope | Z Value | Sen Slope | Z Value | Sen Slope | Z Value | Sen Slope | Z Value | Sen Slope | |
| PM10 | −33.34 * | −1.32 | 2.33 | 0.24 | 5.47 | 0.87 | −3.69 | −0.46 | 5.30 | 1.01 | 11.97 * | 0.81 |
| PM2.5 | −6.66 | −0.51 | −8.96 * | −0.38 | 9.57 * | 1.74 | −25.72 * | −0.99 | −1.63 | −0.05 | 2.75 | 0.18 |
| SO2 | −18.58 * | −6.2 | −15.26 * | −12.3 | −4.70 | −1.71 | −14.42 * | −6.04 | −9.43 * | −6.12 | −10.42 * | −2.47 |
| NO2 | −5.03 | −1.61 | −1.28 | −1.37 | −7.24 | −2.83 | −3.88 | −3.72 | −12.90 * | −8.77 | −19.30 * | −7.83 |
| O3 | −10.58 * | −15.2 | 0.00 | 12.7 | −1.41 | −1.65 | −3.83 | −5.74 | −16.07 * | −36.6 | −6.96 | −8.56 |
| CO | 8.07 * | 0.02 | −41.26 * | −0.03 | −17.25 * | −0.04 | −21.94 * | −0.03 | −0.34 | 1.04 | ||
| Pollutants | Zone 1 | Zone 2 | Zone 3 | Zone 4 | Zone 5 | Zone 6 | ||||||
|---|---|---|---|---|---|---|---|---|---|---|---|---|
| Z Value | Sen Slope | Z Value | Sen Slope | Z Value | Sen Slope | Z Value | Sen Slope | Z Value | Sen Slope | Z Value | Sen Slope | |
| Precipitation | −4.43 | −2.93 | −4.70 | −5.35 | −0.01 | −7.00 | −11.31 * | −10.72 | −7.90 * | −9.85 | −10.21 * | −10.13 |
| Evaporation | 0.43 | 0.63 | 4.29 | 1.94 | NA | NA | 5.38 | 3.28 | −9.61 * | −1.43 | −9.08 * | −2.22 |
| Maximum Temperature | 2.95 | 0.13 | 11.22 * | 0.49 | 12.52 * | 0.57 | 5.89 | 0.15 | −0.71 | −0.02 | 2.10 | 0.10 |
| Average Temperature | 2.27 | 0.08 | 13.76 * | 0.30 | 9.81 * | 0.26 | −0.70 | −0.04 | −4.98 | −0.19 | 0.87 | 0.04 |
| Minimum Temperature | 1.20 | 0.02 | 1.36 | 0.05 | −12.73 * | −0.28 | −0.15 | −0.01 | −12.00 * | −0.39 | −0.99 | −0.02 |
Disclaimer/Publisher’s Note: The statements, opinions and data contained in all publications are solely those of the individual author(s) and contributor(s) and not of MDPI and/or the editor(s). MDPI and/or the editor(s) disclaim responsibility for any injury to people or property resulting from any ideas, methods, instructions or products referred to in the content. |
© 2025 by the authors. Licensee MDPI, Basel, Switzerland. This article is an open access article distributed under the terms and conditions of the Creative Commons Attribution (CC BY) license (https://creativecommons.org/licenses/by/4.0/).
Share and Cite
Salas-Martínez, F.; Márquez-Grajales, A.; Leyva-Morales, J.B.; Camacho-López, C.; Romo-Gómez, C.; Acevedo-Sandoval, O.A.; González-Ramírez, C.A. Analysis and Characterization of the Behavior of Air Pollutants and Their Relationship with Climate Variability in the Main Industrial Zones of Hidalgo State, México. Earth 2025, 6, 144. https://doi.org/10.3390/earth6040144
Salas-Martínez F, Márquez-Grajales A, Leyva-Morales JB, Camacho-López C, Romo-Gómez C, Acevedo-Sandoval OA, González-Ramírez CA. Analysis and Characterization of the Behavior of Air Pollutants and Their Relationship with Climate Variability in the Main Industrial Zones of Hidalgo State, México. Earth. 2025; 6(4):144. https://doi.org/10.3390/earth6040144
Chicago/Turabian StyleSalas-Martínez, Fernando, Aldo Márquez-Grajales, José Belisario Leyva-Morales, César Camacho-López, Claudia Romo-Gómez, Otilio Arturo Acevedo-Sandoval, and César Abelardo González-Ramírez. 2025. "Analysis and Characterization of the Behavior of Air Pollutants and Their Relationship with Climate Variability in the Main Industrial Zones of Hidalgo State, México" Earth 6, no. 4: 144. https://doi.org/10.3390/earth6040144
APA StyleSalas-Martínez, F., Márquez-Grajales, A., Leyva-Morales, J. B., Camacho-López, C., Romo-Gómez, C., Acevedo-Sandoval, O. A., & González-Ramírez, C. A. (2025). Analysis and Characterization of the Behavior of Air Pollutants and Their Relationship with Climate Variability in the Main Industrial Zones of Hidalgo State, México. Earth, 6(4), 144. https://doi.org/10.3390/earth6040144

