Paleobiogeography of Crown Deer
Abstract
1. Introduction
2. Materials and Methods
3. Description
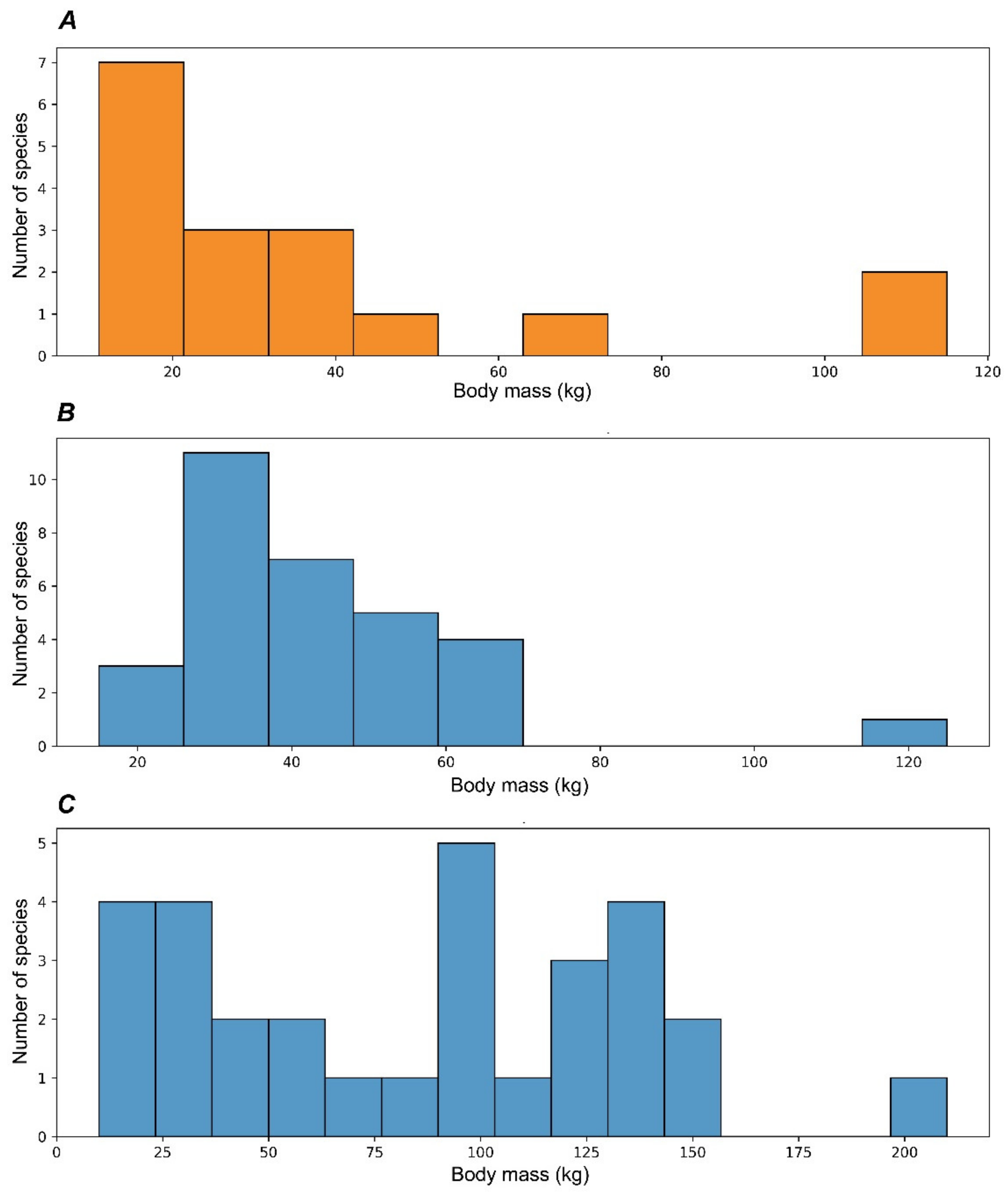
3.1. Late Miocene Evolutionary Radiations of Deer
3.1.1. Early Evolutionary Radiation of Capreolinae
3.1.2. Early Evolutionary Radiation and Dispersals of Cervinae
3.2. Plio–Pleistocene Dispersal and Evolutionary Diversifications of Old World Deer
3.2.1. Dispersals of Cervinae into the Indian Subcontinent
3.2.2. Early Dispersals of Cervinae to Western Eurasia
3.2.3. Pleistocene Diversification of Palearctic Cervinae
3.3. New World Dispersals and the Second Radiation of Capreolinae
3.3.1. Dispersals and Diversity of Capreolinae in Nearctic
3.3.2. Neotropical Radiation of Capreolinae
4. Discussion
5. Conclusions
Supplementary Materials
Funding
Institutional Review Board Statement
Data Availability Statement
Acknowledgments
Conflicts of Interest
References
- Geist, V. Deer of the World: Their Evolution, Behaviour, and Ecology; Stackpole Books: Mechanicsburg, OH, USA, 1998; 421p. [Google Scholar]
- Bubenik, A.B. Epigenetical, morphological, physiological, and behavioral aspects of evolution of horns, pronghorns, and antlers. In Horns, Pronghorns, and Antlers: Evolution, Morphology, Physiology, and Social Significance; Bubenik, G.A., Bubenik, A.B., Eds.; Springer: New York, NY, USA, 1990; pp. 3–113. [Google Scholar]
- Clutton-Brock, T.H. The functions of antlers. Behaviour 1982, 79, 108–124. [Google Scholar] [CrossRef]
- Kaiser, T.M.; Croitor, R. Ecological interpretations of early Pleistocene deer (Mammalia, Cervidae) from Ceyssaguet (Haute-Loire, France). Geodiversitas 2004, 26, 661–674. [Google Scholar]
- Janis, C. The evolutionary strategy of the Equidae and the origins of rumen and cecal digestion. Evolution 1976, 30, 757–774. [Google Scholar] [CrossRef] [PubMed]
- Lister, A.M. Diversity and evolution of antler form in Quaternary deer. In Biology and Management of the Cervidae; Wemmer, C.M., Ed.; Smithsonian Institution Press: London, UK, 1987; pp. 81–98. [Google Scholar]
- Azzaroli, A. The Deer of the Weybourn Crag and Forest Bed of Norfolk; British Museum: London, UK, 1953; Volume 1. [Google Scholar]
- Heintz, E. Les cervidés villafranchiens de France et d’Espagne. Mem. Du Mus. Natl. D’Hist. Nat. Nouv. Ser. Ser. C Sci. De La Terre 1970, 22, 1–303. [Google Scholar]
- Vislobokova, I.A. Fossil deer of Eurasia. Trans. Paleontol. Inst. 1990, 240, 1–206. [Google Scholar]
- Brooke, V. On the Classification of the Cervidae with the synopsis of the existing Species. Proc. Zool. Soc. Lond. 1878, 46, 883–928. [Google Scholar] [CrossRef]
- Lydekker, R. Deer of All Lands: A History of the Family Cervidae Living and Extinct; Rowland Ward, Ltd.: London, UK, 1898; 329p. [Google Scholar]
- Bouvrain, G.; Geraads, D.; Jehenne, Y. Nouvelles données relatives à la classification de Cervidae (Artiodactyla, Mammalia). Zool. Anz. 1989, 223, 82–90. [Google Scholar]
- Randi, E.; Mucci, N.; Pierpaoli, M.; Douzery, E. New phylogenetic perspectives on the Cervidae (Artiodactyla) are provided by the mitochondrial cytochrome b gene. Proc. R. Soc. Lond. Ser. B Biol. Sci. 1998, 265, 793–801. [Google Scholar] [CrossRef]
- Gilbert, C.; Ropiquet, A.; Hassanin, A. Mitochondrial and nuclear phylogenies of Cervidae (Mammalia, Ruminantia): Systematics, morphology, and biogeography. Mol. Phylogenet. Evol. 2006, 40, 101–117. [Google Scholar] [CrossRef]
- Czyżewska, T. Deer from Węże and their relationship with the Pliocene and Recent Eurasiatic Cervidae. Acta Palaeontol. Pol. 1968, 8, 537–593. [Google Scholar]
- Webb, S.D. Evolutionary history of New World Cervidae. In Antelopes, Deer, and Relatives: Fossil Record, Behavioral Ecology, Systematics, and Conservation; Vrba, E.S., Schaller, G.B., Eds.; Yale University Press: New York, NY, USA, 2000; pp. 38–64. [Google Scholar]
- Vislobokova, I.A.; Kalmykov, N.P. On the history of roe deer. In Paleotheriology; Sokolov, V.E., Tatarinov, L.P., Eds.; Nauka: Moscow, Russia, 1994; pp. 214–235. (In Russian) [Google Scholar]
- Croitor, R. Early evolutionary radiation and diversity of the Old World telemetacarpal deer (Capreolinae, Cervidae, Mammalia). Neues Jahrb. Geol. Palaontol.-Abh. 2021, 300, 33–67. [Google Scholar] [CrossRef]
- Holt, B.G.; Lessard, J.P.; Borregaard, M.K.; Fritz, S.A.; Araújo, M.B.; Dimitrov, D.; Fabre, P.H.; Graham, C.H.; Graves, G.R.; Jønsson, K.A.; et al. An update of Wallace’s zoogeographic regions of the world. Science 2013, 339, 74–78. [Google Scholar] [CrossRef]
- Janis, C.M. Correlation of cranial and dental variables with body size in ungulates and macropodoids. In Body Size in Mammalian Paleobiology: Estimation and Biological Implications; Damuth, J., MacFadden, B.J., Eds.; Cambridge University Press: Cambridge, UK, 1990; pp. 255–299. [Google Scholar]
- Teilhard de Chardin, P.; Trassaert, M. The Pliocerie Camelidae, Giraffidae, and Cervidae of South Eastern Shansi. Palaeontol. Sin. New Ser. C 1937, 1, 1–69. [Google Scholar]
- Korotkevich, E.L. Late Neogene Deer of the North Black Sea Area; Naukova Dumka: Kyiv, Ukraine, 1970; 196p. [Google Scholar]
- Vislobokova, I.A. The fossil deer of Mongolia. Jt. Sov. Mong. Palaeontol. Exped. 1983, 23, 5–77. [Google Scholar]
- Dong, W. The fossil record of deer in China. In Deer of China: Biology and Management; Ōtaishi, N., Sheng, H., Eds.; Elsevier: Amsterdam, The Netherlands, 1993; pp. 95–102. [Google Scholar]
- Azanza, B. Los Cervidae (Artiodactyla, Mammalia) del Mioceno de las Cuencas del Duero, Tajo, Calatayud-Teruel y Levance. Mem. Mus. Paleont. Univ. Zaragoza 2000, 8, 1–376. [Google Scholar]
- Alcaraz, M.A. Sistemática y Evolución de los Cérvidos (Mammalia, Artiodactyla) del Pleistoceno de las Áreas Extraandinas de Argentina. Ph.D. Thesis, Universidad Nacional de La Plata, La Plata, Argentina, 2010. [Google Scholar]
- Vislobokova, I.A. Giant Deer: Origin, Evolution, Role in the Biosphere. Paleontol. J. 2012, 46, 643–775. [Google Scholar] [CrossRef]
- Villavicencio Figueroa, N.A. Late Quaternary Megafaunal Extinctions in South America: Chronology, Environmental Changes and Human Impacts at Regional Scales. Ph.D. Thesis, University of California, Berkeley, CA, USA, 2016. [Google Scholar]
- Croitor, R. Plio-Pleistocene Deer of Western Palearctic: Taxonomy, Systematics, Phylogeny; Institute of Zoology of the Academy of Sciences of Moldova: Chișinău, Moldova, 2018; 140p. [Google Scholar]
- Cirilli, O.; Machado, H.; Arroyo-Cabrales, J.; Barrón-Ortiz, C.I.; Davis, E.; Jass, C.N.; Jukar, A.M.; Landry, Z.; Marín-Leyva, A.H.; Pandolfi, L.; et al. Evolution of the Family Equidae, Subfamily Equinae, in North, Central and South America, Eurasia and Africa during the Plio-Pleistocene. Biology 2022, 11, 1258. [Google Scholar] [CrossRef]
- Azanza, B.; Montoya, P. A new deer from the lower Turolian of Spain. J. Paleontol. 1995, 69, 1163–1175. [Google Scholar] [CrossRef]
- Vislobokova, I.A. The systematic position of a deer from Pavlodar and the origin of Neocervinae. Paleontol. J. 1980, 1980, 91–106. (In Russian) [Google Scholar]
- Lungu, A.; Rzebik-Kowalska, B. Faunal Assemblages, Stratigraphy and Taphonomy of the Late Miocene Localities in the Republic of Moldova; Institute of Systematics and Evolution of Animals, Polish Academy of Sciences: Kraków, Poland, 2011; 62p. [Google Scholar]
- Croitor, R.; Zakharov, D.; Mararescul, V. Deer from the Early Pliocene Prioziornoe, Kuchurgan River Valley (Moldova, Eastern Europe). Neues Jahrb. Geol. Paläontol. 2020, 297, 1–43. [Google Scholar] [CrossRef]
- Pidoplichko, N.G.; Flerov, C.C. The new form of deer from the Pliocene of Southern Ukraine. Rep. Acad. Sci. USSR 1952, 84, 1239–1242. [Google Scholar]
- Rozenbaum, A.G.; Shaked Gelband, D.; Stein, M.; Mienis, H.K.; Rabinovich, R. First evidence of “ancient deer” (cervid) in the late Miocene Bira Formation, Northern Israel. PLoS ONE 2017, 12, e0185268. [Google Scholar] [CrossRef] [PubMed]
- Schlosser, M. Tertiary vertebrates from Mongolia. Geol. Surv. China Ser. C 1924, 1, 1–119. [Google Scholar]
- Dong, W.; Ye, J. Two cervid species from the Late Neogene of Yushe Basin, Shanxi province, China. Vertebr. PalAsiat. 1996, 4, 135–144. [Google Scholar]
- Pfeiffer-Deml, T. Deer from the Pliocene site of Bad Deutsch-Altenburg 26 (Lower Austria, Leithagebirge): Conclusions based on skeletal morphology. Ann. Des Nat. Mus. Wien. Ser. A 2016, 118, 133–173. [Google Scholar]
- Vislobokova, I.; Dmitrieva, E.; Kalmykov, N. Artiodactyls from the Late Pliocene of Udunga, Western Trans-Baikal, Russia. J. Vertebr. Paleontol. 1995, 15, 146–159. [Google Scholar] [CrossRef]
- Bondarev, A.A.; Tesakov, A.S.; Simakova, A.N.; Dorogov, A.L. Reindeer (Rangifer) from Early Pleistocene of the South of Western Siberia. In Proceedings of the Materials of the LXIII Session of the Palaeontological Society “Integrative Palaeontology: Development Prospects for Geological Objectives”, Sankt-Petersburg, Russia, 3–7 April 2017. (In Russian). [Google Scholar]
- Tong, H. Composition des faunes de mammifères quaternaires en Chine selon un gradient Nord-Sud. L’anthropologie 2006, 110, 870–887. [Google Scholar] [CrossRef]
- Di Stefano, G.; Petronio, C. Systematics and evolution of the Eurasian Plio-Pleistocene tribe Cervini (Artiodactyla, Mammalia). Geol. Romana 2002, 36, 311–334. [Google Scholar]
- Petronio, C.; Krakhmalnaya, T.; Bellucci, L.; Di Stefano, G. Remarks on some Eurasian pliocervines: Characteristics, evolution, and relationships with the tribe Cervini. Geobios 2007, 40, 113–130. [Google Scholar] [CrossRef]
- Vislobokova, I.A. Family Cervidae Gray, 1821. In Biostratigraphy of the Late Pliocene–Early Pleistocene of Tajikistan; Nikiforova, K.V., Vangengeim, E.A., Eds.; Nauka: Moscow, Russia, 1998; pp. 72–98. (In Russian) [Google Scholar]
- Zdansky, O. Fossile Hirsche Chinas. Palaeont. Sin. Ser. C 1925, 2, 1–94. [Google Scholar]
- Gustafson, E.P. An Early Pliocene North American Deer: Bretzia Pseudalces, Its Osteology, Biology, and Place in Cervid History; Museum of Natural History, University of Oregon: Eugene, OR, USA, 2015; 75p. [Google Scholar]
- Wang, L.-H.; Zhang, Z.-Q. Late Miocene Cervavitus novorossiae (Cervidae, Artiodactyla) from Lantian, Shaanxi Province. Vertebr. PalAsiat. 2014, 52, 303–315. [Google Scholar]
- Dong, W.; Hu, C. The Late Miocene Cervidae from Hounao, Yushe Basin, Shanxi. Vertebr. PalAsiat. 1994, 32, 209–227. [Google Scholar]
- Aubekerova, P.A. Pliocene artiodactyls of southeastern Kazakhstan. Paleontol. J. 1974, 1974, 92–100. [Google Scholar]
- Chen, S.; Pang, L.; He, C.; Wei, G.; Huang, W.; Yue, Z.; Zhang, X.; Zhang, H.; Qin, L. New discoveries from the classic Quaternary mammalian fossil area of Yanjinggou, Chongqing, and their chronological explanations. Chin. Sci. Bull. 2013, 58, 3780–3787. [Google Scholar] [CrossRef]
- Dong, W. Reconsideration of the systematics of the Early Pleistocene Cervavitus (Cervidae, Artiodactyla, Mammalia). Estudios Geol. 2011, 67, 603–611. [Google Scholar] [CrossRef]
- Chen, G.F. Artiodactyla. In Jianshi Hominid Site; Zheng, S.H., Ed.; Science Press: Beijing, China, 2004; pp. 254–307. [Google Scholar]
- Deng, T.; Wang, S.Q.; Shi, Q.Q.; Li, Y.K.; Li, Y. A new species of Eostyloceros (Cervidae, Artiodactyla) from the late Miocene of the Linxia Basin in Gansu, China. Zootaxa 2014, 3893, 363–381. [Google Scholar] [CrossRef]
- Mennecart, B.; DeMiguel, D.; Bibi, F.; Rössner, G.E.; Métais, G.; Neenan, J.M.; Wang, S.; Schulz, G.; Müller, B.; Costeur, L. Bony labyrinth morphology clarifies the origin and evolution of deer. Sci. Rep. 2017, 7, 13176. [Google Scholar] [CrossRef]
- Dong, W.; Pan, Y.; Liu, J. The earliest Muntiacus (Artiodactyla, Mammalia) from the Late Miocene of Yuanmou, southwestern China. C. R. Palevol 2004, 3, 379–386. [Google Scholar] [CrossRef]
- Stimpson, C.M.; Utting, B.; O’Donnell, S.; Huong, N.M.; Kahlert, T.; Manh, B.V.; Khanh, P.S.; Rabett, R.J. An 11 000-year-old giant muntjac subfossil from Northern Vietnam: Implications for past and present populations. R. Soc. Open Sci. 2019, 6, 181461. [Google Scholar] [CrossRef]
- Sen, S.; Blieck, A.; Bouvrain, G.; Brunet, M.; Geraads, D.; Heintz, E.; Koufos, G.D. Late Miocene mammals from Taghar, Khurdkabul Basin, Afghanistan. Ann. Paleontol. 1997, 83, 233–266. [Google Scholar]
- Heintz, E.; Brunet, M.; Battail, B.; Jehenne, Y. The Main Features of the Cervid Palaeobiogeography. Quartärpaläontologie 1990, 8, 79–82. [Google Scholar]
- Croitor, R. Description of a new deer species (Cervidae, Mammalia) from the Early Pliocene of Eastern Europe, with a review of early dispersals and palaeobiogeography of the subfamily Cervinae. Neues Jahrb. Geol. Paläontol.-Abh. 2017, 283, 85–108. [Google Scholar] [CrossRef]
- Croitor, R.; Khan, M.A.; Abbas, S.G.; Babar, M.A.; Asim, M.; Akhtar, M. Description of new Pliocene to Early Pleistocene deer (Cervidae, Mammalia) remains from the Siwalik Hills in Pakistan with a discussion on paleobiogeography of cervids from the Indian subcontinent. Geobios 2022, 74, 21–41. [Google Scholar] [CrossRef]
- Croitor, R.; Abbas, S.G.; Babar, M.A.; Khan, M.A. A new deer species (Cervidae, Mammalia) from the upper Siwaliks (Pakistan). Quat. Int. 2021, 595, 1–11. [Google Scholar] [CrossRef]
- Croitor, R. A description of two new species of the genus Rucervus (Cervidae, Mammalia) from the Early Pleistocene of Southeast Europe, with comments on Hominin and South Asian ruminants dispersals. Quaternary 2018, 1, 17. [Google Scholar] [CrossRef]
- Croitor, R.; Robinson, C. A revision of “Cervus” punjabiensis Brown, 1926 (Cervidae, mammalia) from the Upper Siwaliks of Chandigarh, India. Quat. Int. 2020, 550, 147–158. [Google Scholar] [CrossRef]
- Depéret, C. Les Animaux Pliocènes du Roussillon; Baudry: Paris, France, 1890; Volume 3, pp. 5–194. [Google Scholar]
- Croitor, R.; Bonifay, M.-F.; Bonifay, E. Origin and evolution of the late Pleistocene island deer Praemegaceros (Nesoleipoceros) cazioti (Depéret) from Corsica and Sardinia. Bull. Mus. D’anthropol. Préhist. Monaco 2006, 46, 35–68. [Google Scholar]
- Van der Made, J. The dwarfed “giant deer” Megaloceros matritensis n. sp. from the Middle Pleistocene of Madrid—A descendant of M. savini and contemporary to M. giganteus. Quat. Int. 2019, 520, 110–139. [Google Scholar] [CrossRef]
- Croitor, R.; Sanz, M.; Daura, J. The endemic deer Haploidoceros mediterraneus (Bonifay) (Cervidae, Mammalia) from the Late Pleistocene of Cova del Rinoceront (Iberian Peninsula): Origin, ecomorphology, and paleobiology. Hist. Biol. 2020, 32, 409–427. [Google Scholar] [CrossRef]
- Meiri, M.; Lister, A.M.; Collins, M.J.; Tuross, N.; Goebel, T.; Blockley, S.; Zazula, G.D.; van Doorn, N.; Dale Guthrie, R.; Boeskorov, G.G.; et al. Faunal record identifies Bering isthmus conditions as constraint to end-Pleistocene migration to the New World. Proc. R. Soc. B Biol. Sci. 2014, 281, 20132167. [Google Scholar] [CrossRef]
- Sondaar, P.Y. Insularity and its effect on mammal evolution. In Major Patterns in Vertebrate Evolution; Hecht, M.K., Goody, P.C., Hecht, B.M., Eds.; Springer: Boston, MA, USA, 1977; pp. 671–707. [Google Scholar]
- Croitor, R. Systematical position and paleoecology of the endemic deer Megaceroides algericus Lydekker, 1890 (Cervidae, Mammalia) from the late Pleistocene-early Holocene of North Africa. Geobios 2016, 49, 265–283. [Google Scholar] [CrossRef]
- Raven, H.C.; Gregory, W.K. Wallace’s line and the distribution of Indo-Australian mammals. Bull. Am. Mus. Nat. Hist. 1935, 68, 179–293. [Google Scholar]
- Martins, R.F.; Schmidt, A.; Lenz, D.; Wilting, A.; Fickel, J. Human-mediated introduction of introgressed deer across Wallace’s line: Historical biogeography of Rusa unicolor and R. timorensis. Ecol. Evol. 2018, 8, 1465–1479. [Google Scholar] [CrossRef]
- Jiménez-Hidalgo, E.; Bravo-Cuevas, V.M. A roe deer from the Pliocene of Hidalgo, central Mexico. Acta Palaeontol. Pol. 2014, 60, 807–813. [Google Scholar]
- Gunnell, G.F.; Foral, A. New species of Bretzia (Cervidae; Artiodactyla) from the latest Pleistocene or earliest Holocene of Nebraska and South Dakota. J. Mammal. 1994, 75, 378–381. [Google Scholar] [CrossRef]
- Sondaar, P.Y.; Van der Geer, A.A.E. Evolution and Extinction of Plio-Pleistocene Island Ungulates. Quaternaire hors-sér. 2005, 2, 241–256. [Google Scholar]
- Churcher, C.S.; Peterson, R.L. Chronologic and environmental implications of a new genus of fossil deer from Late Wisconsin deposits at Toronto, Canada. Quat. Res. 1982, 18, 184–195. [Google Scholar] [CrossRef]
- Gallo, V.; Avilla, L.S.; Pereira, R.C.; Absolon, B.A. Distributional patterns of herbivore megamammals during the Late Pleistocene of South America. An. Acad. Bras. Ciênc. 2013, 85, 533–546. [Google Scholar] [CrossRef]
- McCulloch, R.D.; Bentley, M.J.; Purves, R.S.; Hulton, N.R.; Sugden, D.E.; Clapperton, C.M. Climatic inferences from glacial and palaeoecological evidence at the last glacial termination, southern South America. J. Quat. Sci. 2000, 15, 409–417. [Google Scholar] [CrossRef]
- Rabassa, J.; Coronato, A. Glaciations in Patagonia and Tierra del Fuego during the Ensenadan stage/age (early Pleistocene–earliest middle Pleistocene). Quat. Int. 2009, 210, 18–36. [Google Scholar] [CrossRef]
- Gonzalez, E.; Labarca, R.; Chavez-Hoffmeister, M.; Pino, M. First fossil record of the smallest deer cf. Pudu Molina, 1782 (Artiodactyla, Cervidae), in the Late Pleistocene of South America. J. Vertebr. Paleontol. 2014, 34, 483–488. [Google Scholar] [CrossRef]
- Alcaraz, M.; Zurita, A. Nuevos registros de cérvidos poco conocidos: Epieuryceros cf. proximus Castellanos y Antifer sp. (Mammalia, Artiodactyla, Cervidae). Rev. Mus. Argent. Cienc. Nat. 2004, 6, 41–48. [Google Scholar] [CrossRef]
- Rusconi, C. Tercera noticia sobre los vertebrados fosiles de Las Arenas Puelchenses de Villa Ballester. An. Soc. Cíent. Argent. 1934, 117–118, 28–30. [Google Scholar]
- Rotti, A.; Vezzosi, R.I.; Mothé, D.; dos Santos Avilla, L. Rising from the ashes: The biggest South American deers (Cetartiodactyla: Cervidae) once roamed Northeast Brazil. J. S. Am. Earth Sci. 2021, 108, 103–154. [Google Scholar] [CrossRef]
- Carette, E. Cérvidos actuales y fóssiles de Sid America: Revisión de las formas extinguidas pampeanas. Rev. Mus. La Plata 1922, 26, 393–472. [Google Scholar]
- Tomiati, C.; Abbazzi, L. Deer fauna from Pleistocene and Holocene localities of Ecuador (South America). Geobios 2002, 35, 631–645. [Google Scholar] [CrossRef]
- Mosbrugger, V. Climate change and water cycle-some lessons from the geological past. In Climatic Changes and Water Resources in the Middle East and North Africa; Zereini, F., Hötzl, H., Eds.; Springer: Berlin/Heidelberg, Germany, 2008; pp. 3–13. [Google Scholar]
- Allen, H.D. Mediterranian environments. In The Physical Geography of Africa; Adams, W.M., Goudie, A.S., Orme, A.R., Eds.; Oxford University Press: Oxford, UK, 1996; pp. 307–325. [Google Scholar]
- Rundel, P.W.; Arroyo, M.T.; Cowling, R.M.; Keeley, J.E.; Lamont, B.B.; Vargas, P. Mediterranean biomes: Evolution of their vegetation, floras, and climate. Ann. Rev. Ecol. Evol. Syst. 2016, 47, 383–407. [Google Scholar] [CrossRef]
- Clauss, M.; Frey, R.; Kiefer, B.; Lechner-Doll, M.; Loehlein, W.; Polster, C.; Rössner, G.E.; Streich, W.J. The maximum attainable body size of herbivorous mammals: Morphophysiological constraints of foregut, and adaptations of hindgut fermenters. Oecologia 2003, 136, 14–27. [Google Scholar] [CrossRef]
- Hsü, K.J.; Montadert, L.; Bernoulli, D.; Cita, M.B.; Erickson, A.; Garrison, R.E.; Kidd, R.B.; Mèlierés, F.; Müller, C.; Wright, R. History of the Mediterranean salinity crisis. Nature 1977, 267, 399–403. [Google Scholar] [CrossRef]
- Van der Made, J.; Morales, J.; Montoya, P. Late Miocene turnover in the Spanish mammal record in relation to palaeoclimate and the Messinian Salinity Crisis. Palaeogeogr. Palaeoclimatol. Palaeoecol. 2006, 238, 228–246. [Google Scholar] [CrossRef]
- Dundas, R.G. Quaternary records of the dire wolf, Canis dirus, in North and South America. Boreas 1999, 28, 375–385. [Google Scholar] [CrossRef]










| Period | Subfamily | Zoogeographic Area | |||||
|---|---|---|---|---|---|---|---|
| Western Oriental | Sino-Malayan | Eastern Palearctic | Western Palearctic | Nearctic | Neotropical | ||
| Late Pleistocene | Capreolinae | 2 | 3 | 3 | 7 | 18 | |
| Cervinae | 5 | 23 | 3 | 8 | 1 | ||
| Middle Pleistocene | Capreolinae | 1 | 4 | 3 | 6 | 9 | |
| Cervinae | 4 | 20 | 2 | 11 | |||
| Early Pleistocene | Capreolinae | 1 | 2 | 4 | 4 | 3 | |
| Cervinae | 4 | 18 | 4 | 17 | |||
| Late Pliocene | Capreolinae | 3 | 2 | 4 | 3 | 2 | |
| Cervinae | 2 | 6 | 5 | 4 | |||
| Early Pliocene | Capreolinae | 3 | 4 | 4 | 3 | ||
| Cervinae | 12 | 4 | 7 | ||||
| stem deer | 3 | 2 | |||||
| Late Miocene | Capreolinae | 8 | 1 | 21 | |||
| Cervinae | 15 | 2 | 1 | ||||
| stem deer | 3 | ||||||
Publisher’s Note: MDPI stays neutral with regard to jurisdictional claims in published maps and institutional affiliations. |
© 2022 by the author. Licensee MDPI, Basel, Switzerland. This article is an open access article distributed under the terms and conditions of the Creative Commons Attribution (CC BY) license (https://creativecommons.org/licenses/by/4.0/).
Share and Cite
Croitor, R. Paleobiogeography of Crown Deer. Earth 2022, 3, 1138-1160. https://doi.org/10.3390/earth3040066
Croitor R. Paleobiogeography of Crown Deer. Earth. 2022; 3(4):1138-1160. https://doi.org/10.3390/earth3040066
Chicago/Turabian StyleCroitor, Roman. 2022. "Paleobiogeography of Crown Deer" Earth 3, no. 4: 1138-1160. https://doi.org/10.3390/earth3040066
APA StyleCroitor, R. (2022). Paleobiogeography of Crown Deer. Earth, 3(4), 1138-1160. https://doi.org/10.3390/earth3040066

