Abstract
Creating environmentally friendly and renewable resources for various industrial uses has attracted increasing attention over the past few years. The thermal and mechanical features of epoxy-based composites filled with coir powder, an organic and sustainable fiber made from coconut husks, are examined in this work. The current study focuses on the thermo-mechanical performance of epoxy matrix composites with coir filler in the micrometer range. Tension, flexural, and dynamic mechanical analysis were all carried out to characterize and forecast the thermal behavior of the micro-composites and pure polymers. According to the findings of this study, 8 and 6 wt.% of coir filler-based composites exhibit the highest tensile and flexural strengths of 41.36 MPa and 171.24 MPa, respectively. In the case of dynamic mechanical analysis, 8 wt.% filler had the highest storage modulus of 1214.98 MPa. The results demonstrate that the damping factor increases dramatically as the temperature rises and reaches its maximum value after the glass transition section. Additionally, including coir powder improves the composites’ thermal insulation capabilities, indicating their promise in demanding thermal resistance and insulation.
1. Introduction
Regarding environmental security, natural fabrics and additives have many possible applications on composite material. Natural fibers have several advantages over synthetic fibers. These include low density, low cost, full degradability, minimal manufacturing danger, wide availability, reduced wear of processed instruments, and low hazardous smoke emissions when heated [1]. Natural fabrics have a few downsides, including limited resilience, swelling owing to high moisture uptake, and low substrate suitability. Using freely accessible agricultural waste is becoming more important in polymeric materials. The advantage of using natural fibers or particles as reinforcing agents in polymer matrices is their low cost. The expense of ceramics or metal nano-fillers is substantially greater than that of the matrix phase, but this is not true in organic fill composites with reinforcement [2,3]. Hence, using micron- and nano-level filler made from organic fibers has research potential. Among the different natural fillers, coconut husk fiber, or coir, possesses a special mix of qualities that make it desirable for various uses. While its low weight benefits weight-sensitive applications like automobiles and aviation, its high tensile strength improves materials’ longevity and structural integrity [4]. Coir is appropriate for wet or high-wear conditions because of its inherent resistance to moisture and abrasion. Its thermal insulation and sound-absorbing properties also find use in building and acoustic applications. Furthermore, the abundance of coir in areas where coconut farming occurs makes it accessible and environmentally friendly. Its ability to resist insects and fungus also decreases the demand for chemical pesticides. Coir fiber is positioned as a flexible and ecologically beneficial substitute for synthetic materials in various industries because of its biocompatibility and elasticity [5].
Given the wide-ranging ramifications for several sectors, figuring out the thermal properties of natural composites is crucial. These traits offer essential information about how these materials behave under various temperature conditions, enabling the selection of suitable materials for certain applications. In order to create goods, such as automobile parts, aircraft constructions, and construction substances, that can survive at extremely high temperatures, it is crucial to comprehend their thermal conductivity, heat resistance, and expansion during heating qualities [6]. Furthermore, using this information to improve production procedures, organic composites can be employed successfully in applications demanding thermal endurance, insulating material, or durability against temperature-induced deterioration. In the end, studying the thermal characteristics of organic polymers aids in creating durable and dependable materials, promoting innovation in sectors where temperature performance is crucial [7]. At the same time, in comparison to other thermoset resins epoxy resin is a multifunctional polymer with outstanding qualities. It is perfect for a variety of purposes because of its remarkable resistance to chemicals, strong mechanical properties, and good adhesion qualities. Low shrinkage during curing is a characteristic of epoxy resins that guarantees dimension stability in molded products [8,9]. They are appropriate for electronic and electrical parts because of their superior electrical insulation qualities and resilience to humidity and weather conditions. Epoxy resins are also extremely adjustable for various applications in industry, like composite materials, protective coatings, adhesives, and related products and encapsulations. This is because fillers may be added to modify them for certain functions. Epoxy resins are preferred in several sectors, including construction, aviation, defense, and semiconductors. This is due to its versatility in adhering to different substrates and its strength and resistance to degradation [10].
This study is unique because it investigates using coir powder as a filler for reinforcement in epoxy composites designed primarily for industrial purposes. Although coir-based composites have been examined in the past, our work aims to offer a thorough knowledge of their appropriateness for commercial usage by methodically analyzing the mechanical and thermal properties of those materials. This study offers important insights into the possibility of using coir-based composites as environmentally friendly alternatives for various industrial uses, opening up a new way to improve the quality of products while minimizing the environmental impact. It also adds to the expanding body of information on environmentally friendly materials. To manufacture the micro-composites in this work, varying weight percents of coir filler (0 to 8 wt.%) were used as reinforcements in an epoxy matrix.
2. Experimental Work
2.1. Materials
The present study epoxy is a matrix material with a density of 1.35 g/cc and L16 type hardener as a curing agent; both materials were procured from Bangalore, Karnataka, in India. Epoxy is a thermosetting material that has been employed in a variety of engineering applications. The ester substituent is the main strand of a composite resin. The adhesive resin and promoter were combined in a weight proportion of 10:1 for faster drying and also treated with essential caution as the combination of catalysts and resin produces additional warmth. The fiber layer of coconut husk is known as coir fiber. Coir fibers of this type are abundant in southern India and were obtained from a small coconut husk enterprise in the Indian state of Tamil Nadu. First, gathered coir fibers were allowed to dry out before being chopped into little pieces of 2–3 mm length, and ultimately, such tiny pieces of fiber bundles were crushed into a powder using a flour mill.
2.2. Material Characterization
2.2.1. Mechanical Testing
Tensile and flexural tests were performed on three samples from every classification, and mean values were presented in the current research. Epoxy-developed composites’ flexural and tensile characteristics were evaluated using the Tillie Universal testing equipment. Both experiments were performed at ambient temperature and imposed constant cross head speed of 1 mm/min. The tensile and flexural samples were obtained via ASTM D638-10 and ASTM D790-10 specifications [11], respectively.
2.2.2. Dynamic Analysis
Dynamic mechanical analysis (DMA) experiments were carried out using the DMA Q800 V20.6 Release 24 equipment to estimate the elastomeric characteristics like storage elasticity, damping factor, and loss factor of coir filler loaded and empty polymer composites. The specimens were clamped using dual beam modes for DMA testing, and the temperature at which glass transitions (Tg) occur in the virgin epoxy and its mixtures was determined using the temperature sweep technique. This cyclical pressure was delivered at a frequency of 1 Hz, and the measuring temperature difference was adjusted to range from ambient temperature to 180 °C at a heating rate of 5 °C per minute. Both extremities of the specimen remained locked in a dual cantilevered position, and a movable clamp was provided at the middle of the experiment’s beam. Its clamp’s central section provides a harmonic pressure to the specimen with a predetermined movement frequency. The homogeneous sample used for the DMA measurement has dimensions of 65 × 12 × 3 mm3.
3. Result and Discussion
3.1. Mechanical Testing
3.1.1. Tensile Testing
The growing tendency of tensile properties when introducing the natural fillers can be seen in Figure 1. According to Figure 1, the empty epoxy has an ultimate tensile strength of 38.95 MPa. The mean tensile strength of the coir filler (2%, 4%, 6%, and 8%) included in the epoxy-based composite material was 38.64, 39.12, 40.25, and 41.36 MPa, respectively. The 8 wt.% coir fillers demonstrated the highest tensile strength in an augmented composite material, which was 24.1% greater than plain epoxy matrix. Extension indicates the proportion of stress that could have been sustained without breakage in a tension test. Coir filler-reinforced epoxy composites had a lower elasticity at breakage than pristine epoxy [11]. Except the epoxy composite with 2 weight percent of coir filler, which had a modest drop in elongation, this reduction showed no change when compared to the epoxy when no filler was applied. While comparing the plain epoxy to the coir filler-reinforced epoxy composites, the drop in elongation indicates a rise in the overall brittleness of the epoxy composites. Due to several variables, epoxy composites with an 8 wt.% coir filler concentration surpass their counterparts with 2, 4, and 6 wt.% coir filler concentrations in terms of tensile strength. The epoxy matrix is adequately reinforced by the coir filler content at the 8 wt.% concentration without inducing significant aggregation or impairing the structural integrity of the resin. Through better bonding among the filler and matrices and effective load transmission, weak spots or voids are less likely to form. The composite’s load-carrying ability and general tensile strength may be improved by better fiber alignment and dispersion from the larger coir content. These elements work together to give the epoxy composite with 8 weight percent coir filler greater mechanical effectiveness, resulting in the best option out of the evaluated concentrations [12].
Figure 1.
Tensile strength and elongations of different weight ratios of coir filler-based composites.
3.1.2. Flexural Testing
The bending test was performed on virgin epoxy and epoxy with coir filler blends, and the findings are shown in Figure 2. All the epoxy with coir filler-based composites outperformed the virgin epoxy in bending strength. The 4 wt.% coir filler composite material achieved the lowest bending strength, which is 21.7% greater than the bending strength of the virgin epoxy. The 4 wt.% coir filler loaded into epoxy had the highest value of flexural strain. The specimen’s stress measurement indicates the degree of elongation even before breakage occurs. The composite materials’ bending strength and stress ratios are 6 wt.% > 8wt.% > 4wt.% > 2 wt.% and 4 wt.% > 8 wt.% > 6 wt.% > 2 wt.%. The highest flexural strength value obtained by 6 wt.% followed by 8 wt.% composite materials are 71.25% and 62.36% higher than the epoxy matrix. Because the reinforcement and resin content were in perfect balance, the epoxy laminate with 4 wt.% of coir filler had the highest flexural strength compared to the composites with 2, 6, and 8 wt.% of coir filler [13]. The coir filler successfully strengthens the epoxy matrix at this four weight percent concentration, improving its capacity to endure bending stresses without causing significant filler agglomeration or jeopardizing the underlying integrity of the matrices. This ideal filler level minimizes weak spots or gaps in the mixture by improving the distribution of load and bonding between surfaces. Furthermore, the matrix filler dispersion and favorable fiber alignment are probably encouraged by the 4 wt.% concentration, leading to a more homogeneous and effective load-bearing structure. The epoxy composite with four weight percent coir filler exhibits greater flexural strength due to these combined variables, resulting in the best option among the concentrations evaluated for purposes of needing significant bending resistance [14].
Figure 2.
Flexural strength and strain of different weight ratios of coir filler-based composites.
3.2. Dynamic Analysis
This thermally analytical technique was used to understand the behavior of materials under varying conditions. During the testing protocol, substances are deformed by introducing periodic pressure, and this distortion aids in understanding the reactivity to emphasize a large temperature range. The second order change, known as the glass transition temperature (Tg), is critical for polymerization. This may be seen using the thermo-mechanical analysis approach known as the DMA approach. Figure 3 depicts the influence of coir filler concentration on the storage modulus (E) of filled and empty epoxy matrices about temperature. Except the 4 wt.% composite materials in Figure 3, all the other blends had higher E values than plain matrix. Figure 3 indicates an increase in E value at the plastic state, whereas the comment thread in Figure 3 clearly increases E in the elastic range. According to the DMA findings, the 2 wt.%, 6 wt.%, and 8 wt.% coir filler-packed polymers had higher E values over the range of temperatures. E decreases as temperature increases in all data samples because warming causes more segmentation motion in a polymerization [15]. The decrease in E as temperature rises indicates that the polymer substance has been mechanically relaxed. In Figure 3, the reduction in E has begun to decrease at temperatures somewhat above ambient temperature.
Figure 3.
Storage modulus of different weight ratios of coir filler-based composites.
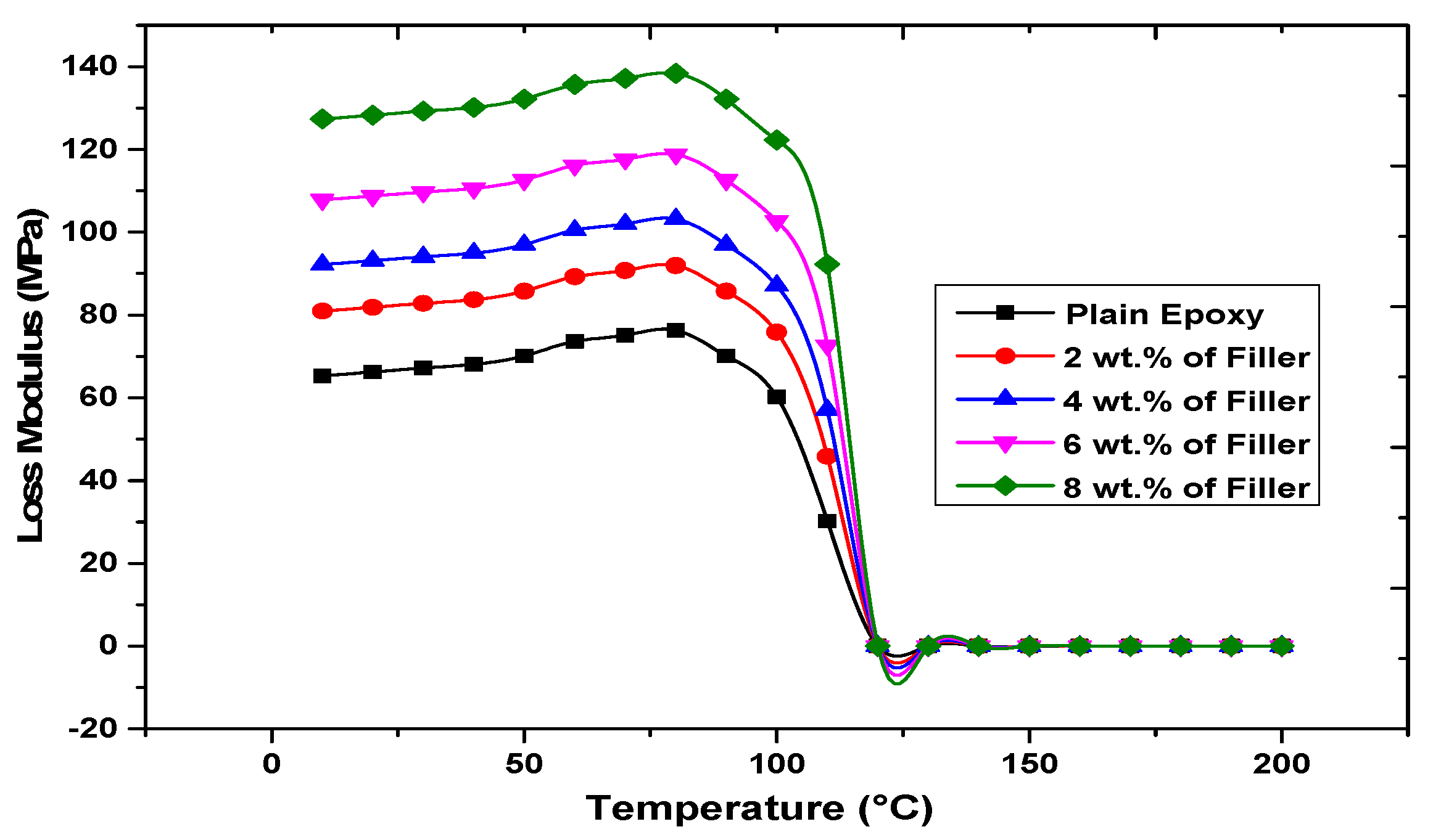
The loss modulus (E′′) shows the viscoelastic reaction of a polymer. Figure 4 depicts the fluctuation of loss modulus over temperatures, with a peak of E′′ indicating segment movement inside the polymer materials. Figure 4 shows that the E′′ values of clean and epoxy composites normally increase in the plastic region, i.e., from ambient temperature to 80 °C, and afterwards begin to decrease with surface warming in the elastomeric area, i.e., above 80 °C but below 124 °C. As demonstrated in Figure 5, all epoxy composites had greater tan (δ) values than the pure epoxy, indicating that epoxy-based composites had better energy absorption capability. The 8 wt.% epoxy had the greatest storage modulus and lowest tan (δ), indicating improved coir filler adherence to the substrate and an excellent interface bond between the materials compared to clean epoxy. The tension results of the test of 8 wt.% composite materials demonstrated maximum durability when compared to virgin epoxy due to improved interfacial adhesion. The same behavior was confirmed through dynamic analysis of epoxy composites [7].
Figure 4.
Loss modulus of different weight ratios of coir filler-based composites.
Figure 5.
Tan delta of different weight ratios of coir filler-based composites.
Figure 5 shows the tan (δ) or E′′/E of coir particles loaded and unloaded with elastomeric polymers. The 2 wt.% coir particles loaded epoxy had the highest dampening value, whereas the pure polymers with 8 wt.% filler injected composites had the lowest dampening component [13,14]. The tan (δ) contour for greater weight percentage has contacted the super clean polymer tan (δ) significance; this reducing essence of tan (δ) demonstrates that higher filler epoxy composites and micro composite materials start behaving extra elastically during test results, resulting in a bigger opportunity for enduring the burden rather than dispersing this same load. Figure 5 shows that dampening factors increases dramatically with warmth and reaches its maximum level after the new topology; also, the dampening factor decreased in behavior throughout elastomeric part for all coir filler-filled and empty epoxy micro-composites. A larger tan (δ) signal indicated a greater process time for molecular relaxing.
3.3. Microstructural Analysis
A scanning electron microscope (SEM) was used to look at the broken top layer of the tensile testing sample to learn more about how the material broke and looked on the outside. Figure 6 shows SEM images of the tensile test specimens with epoxy matrix and two weight percent, four weight percent, six weight percent, and eight weight percent coir filler. These photos showed that the shattered surfaces of the lightweight components had different designs resembling rivers. A rougher matrix texture and patterns that look like rivers were seen during tensile testing in Figure 6a. This suggests a mechanism for strengthening, better attachment, and a mostly brittle way of breaking [16]. Carefully incorporating the matrix with coir filler for an appropriate amount of time improved the durability of the composite. In addition, the composites’ increased mechanical strength compared to pure resin resulted from the coir powder’s strong adherence to the polyester matrix. Additionally, the storage modulus of the epoxy composites was higher than that of the clean epoxy, demonstrating a stronger bond among the composite components [17].
Figure 6.
Microstructural analysis of (a) 2 wt.% coir-filled, (b) 4 wt.% coir-filled, (c) 6 wt.% coir-filled, and (e) 8 wt.% coir-filled epoxy composite.
4. Conclusions
The thermal properties characteristics of the coir filler-filled epoxy micro-composites were investigated and contrasted to the virgin one. The greater weight percentage of coir powder-filled epoxy micro-composites demonstrated improved durability in both the flexural and tensile tests. The strengths of the 6 wt.% and 8 wt.% composites were virtually identical. DMA was extremely useful in demonstrating the rise in storage modulus and composite dampening behavior as temperature increased. As the filler concentration reached 8 wt.%, the storage modulus achieved its highest benefit, and low tan (δ) was also detected. This demonstrates high coir filler adherence to substrate and excellent interface bond toughness of the 8 wt.% composites compared to comparable epoxy matrix.
Author Contributions
Conceptualization, N.L. and S.K.; methodology, N.D.C. and P.G.; writing—original draft preparation, N.L.; writing—review and editing, S.K.; supervision, N.L.; All authors have read and agreed to the published version of the manuscript.
Funding
This research received no external funding.
Institutional Review Board Statement
Not applicable.
Informed Consent Statement
Not applicable.
Data Availability Statement
Data sharing is not applicable to this article.
Conflicts of Interest
The authors declare no conflicts of interest.
References
- Raj, S.S.R.; Dhas, J.E.R.; Jesuthanam, C.P. Challenges on Machining Characteristics of Natural Fiber-Reinforced Composites–A Review. J. Reinf. Plast. Compos. 2021, 40, 41–69. [Google Scholar] [CrossRef]
- Zaghloul, M.Y.M.; Zaghloul, M.M.Y.; Zaghloul, M.M.Y. Developments in Polyester Composite Materials–An in-Depth Review on Natural Fibres and Nano Fillers. Compos. Struct. 2021, 278, 114698. [Google Scholar] [CrossRef]
- Puttegowda, M.; Pulikkalparambil, H.; Rangappa, S.M. Trends and Developments in Natural Fiber Composites. Appl. Sci. Eng. Prog. 2021, 14, 543–552. [Google Scholar] [CrossRef]
- Rahmawati, C.; Handayani, L.; Faisal, M.; Zardi, M.; Sapuan, S.M.; Hadi, A.E.; Ahmad, J.; Isleem, H.F. Optimization of Mortar Compressive Strength Prepared with Waste Glass Aggregate and Coir Fiber Addition Using Response Surface Methodology. J. Renew. Mater. 2023, 11, 3751–3767. [Google Scholar] [CrossRef]
- Shrivastava, R.; Parashar, V. Effect of Alkali Treatment on Tensile Strength of Epoxy Composite Reinforced with Coir Fiber. Polym. Bull. 2023, 80, 541–553. [Google Scholar] [CrossRef]
- Martinelli, F.R.B.; Ribeiro, F.R.C.; Marvila, M.T.; Monteiro, S.N.; Filho, F.d.C.G.; Azevedo, A.R.G.d. A Review of the Use of Coconut Fiber in Cement Composites. Polymers 2023, 15, 1309. [Google Scholar] [CrossRef] [PubMed]
- Kumar, S.S.; Vignesh, V.; Prasad, V.; Sunil, B.D.Y.; Srinivas, R.; Sanjay, M.R.; Siengchin, S. Static and Dynamic Mechanical Analysis of Hybrid Natural Fibre Composites for Engineering Applications. Biomass Convers. Biorefinery 2023, 14, 1–13. [Google Scholar] [CrossRef]
- Krishnanunni, M.; Kiran, M.; Philipose, R.; Alex, A.E.; Nair, P.R. Characterisation of Mechanical and Thermal Properties of Copper Slag Filled Composite Material with and without Coconut Fibre. Mater. Today Proc. 2023, 1–5. [Google Scholar] [CrossRef]
- Nandwani, S.; Vardhan, S.; Bahl, S.; Yadav, A.K.; Samyal, R.; Bagha, A.K. Evaluating the Dynamic Characteristics of Microwave-Casted Metal Matrix Composite Material Using Experimental Modal Analysis. Proc. Inst. Mech. Eng. Part E J. Process Mech. Eng. 2023, 238, 1–12. [Google Scholar] [CrossRef]
- Velmurugan, G.; Natrayan, L. Experimental Investigations of Moisture Diffusion and Mechanical Properties of Interply Rearrangement of Glass/Kevlar-Based Hybrid Composites under Cryogenic Environment. J. Mater. Res. Technol. 2023, 23, 4513–4526. [Google Scholar] [CrossRef]
- Sun, Z.; Yang, X.; Wang, M.; Duan, G.; Wang, W. Properties of Coir Fibre/Polylactic Acid Composites Based on Amylase Processing. J. Thermoplast. Compos. Mater. 2023, 37, 426–439. [Google Scholar] [CrossRef]
- Arockiasamy, F.S.; Muthukrishnan, M.; Iyyadurai, J.; Kaliappan, S.; Lakshmaiya, N.; Djearamane, S.; Tey, L.H.; Wong, L.S.; Kayarohanam, S.; Obaid, S.A.; et al. Tribological characterization of sponge gourd outer skin fiber-reinforced epoxy composite with Tamarindus indica seed filler addition using the Box–Behnken method. E-Polymers 2023, 23, 20230052. [Google Scholar] [CrossRef]
- Venkatachalam, G.; Hemanth, V.; Logesh, M.; Piyush, A.; Siva kumar, M.; Pragasam, V.; Loganathan, T.G. Investigation of Tensile Behavior of Carbon Nanotube/Coir Fiber/Fly Ash Reinforced Epoxy Polymer Matrix Composite. J. Nat. Fibers 2023, 20, 2148151. [Google Scholar] [CrossRef]
- Chandrasekar, M.; Shahroze, R.M.; Ishak, M.R.; Saba, N.; Jawaid, M.; Senthilkumar, K.; Kumar, T.S.M.; Siengchin, S. Flax and Sugar Palm Reinforced Epoxy Composites: Effect of Hybridization on Physical, Mechanical, Morphological and Dynamic Mechanical Properties. Mater. Res. Express 2019, 6. [Google Scholar] [CrossRef]
- Lakshmaiya, N.; Surakasi, R.; Nadh, V.S.; Srinivas, C.; Kaliappan, S.; Ganesan, V.; Paramasivam, P.; Dhanasekaran, S. Tanning Wastewater Sterilization in the Dark and Sunlight Using Psidium guajava Leaf-Derived Copper Oxide Nanoparticles and Their Characteristics. ACS Omega 2023, 8, 39680–39689. [Google Scholar] [CrossRef] [PubMed]
- Latha, A.D.; Kumar, A.S.; Singh, S.J.; Velmurugan, C. Experimental Investigations of Flammability, Mechanical and Moisture Absorption Properties of Natural Flax/NanoSiO 2 Based Hybrid Polypropylene Composites. Silicon 2023, 15, 7621–7637. [Google Scholar] [CrossRef]
- Ganesan, V.; Kaliyamoorthy, B. Utilization of Taguchi Technique to Enhance the Interlaminar Shear Strength of Wood Dust Filled Woven Jute Fiber Reinforced Polyester Composites in Cryogenic Environment. J. Nat. Fibers 2020, 19, 1990–2001. [Google Scholar] [CrossRef]
Disclaimer/Publisher’s Note: The statements, opinions and data contained in all publications are solely those of the individual author(s) and contributor(s) and not of MDPI and/or the editor(s). MDPI and/or the editor(s) disclaim responsibility for any injury to people or property resulting from any ideas, methods, instructions or products referred to in the content. |
© 2024 by the authors. Licensee MDPI, Basel, Switzerland. This article is an open access article distributed under the terms and conditions of the Creative Commons Attribution (CC BY) license (https://creativecommons.org/licenses/by/4.0/).





