Mechanical and Thermal Characteristics of Coir Powder-Filled Epoxy Composites for Industrial Application †
Abstract
1. Introduction
2. Experimental Work
2.1. Materials
2.2. Material Characterization
2.2.1. Mechanical Testing
2.2.2. Dynamic Analysis
3. Result and Discussion
3.1. Mechanical Testing
3.1.1. Tensile Testing
3.1.2. Flexural Testing
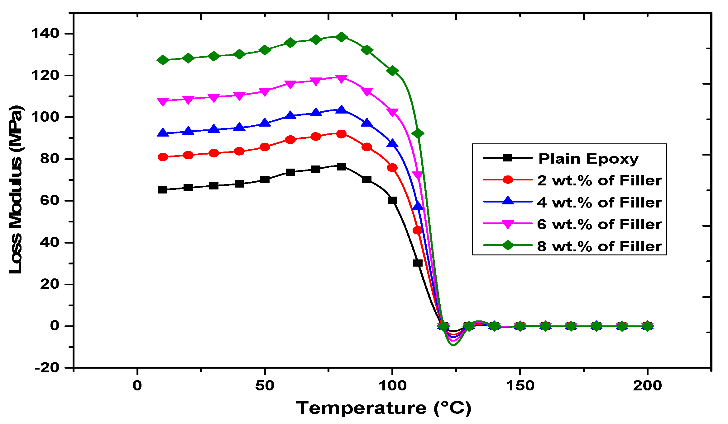
3.2. Dynamic Analysis
3.3. Microstructural Analysis
4. Conclusions
Author Contributions
Funding
Institutional Review Board Statement
Informed Consent Statement
Data Availability Statement
Conflicts of Interest
References
- Raj, S.S.R.; Dhas, J.E.R.; Jesuthanam, C.P. Challenges on Machining Characteristics of Natural Fiber-Reinforced Composites–A Review. J. Reinf. Plast. Compos. 2021, 40, 41–69. [Google Scholar] [CrossRef]
- Zaghloul, M.Y.M.; Zaghloul, M.M.Y.; Zaghloul, M.M.Y. Developments in Polyester Composite Materials–An in-Depth Review on Natural Fibres and Nano Fillers. Compos. Struct. 2021, 278, 114698. [Google Scholar] [CrossRef]
- Puttegowda, M.; Pulikkalparambil, H.; Rangappa, S.M. Trends and Developments in Natural Fiber Composites. Appl. Sci. Eng. Prog. 2021, 14, 543–552. [Google Scholar] [CrossRef]
- Rahmawati, C.; Handayani, L.; Faisal, M.; Zardi, M.; Sapuan, S.M.; Hadi, A.E.; Ahmad, J.; Isleem, H.F. Optimization of Mortar Compressive Strength Prepared with Waste Glass Aggregate and Coir Fiber Addition Using Response Surface Methodology. J. Renew. Mater. 2023, 11, 3751–3767. [Google Scholar] [CrossRef]
- Shrivastava, R.; Parashar, V. Effect of Alkali Treatment on Tensile Strength of Epoxy Composite Reinforced with Coir Fiber. Polym. Bull. 2023, 80, 541–553. [Google Scholar] [CrossRef]
- Martinelli, F.R.B.; Ribeiro, F.R.C.; Marvila, M.T.; Monteiro, S.N.; Filho, F.d.C.G.; Azevedo, A.R.G.d. A Review of the Use of Coconut Fiber in Cement Composites. Polymers 2023, 15, 1309. [Google Scholar] [CrossRef] [PubMed]
- Kumar, S.S.; Vignesh, V.; Prasad, V.; Sunil, B.D.Y.; Srinivas, R.; Sanjay, M.R.; Siengchin, S. Static and Dynamic Mechanical Analysis of Hybrid Natural Fibre Composites for Engineering Applications. Biomass Convers. Biorefinery 2023, 14, 1–13. [Google Scholar] [CrossRef]
- Krishnanunni, M.; Kiran, M.; Philipose, R.; Alex, A.E.; Nair, P.R. Characterisation of Mechanical and Thermal Properties of Copper Slag Filled Composite Material with and without Coconut Fibre. Mater. Today Proc. 2023, 1–5. [Google Scholar] [CrossRef]
- Nandwani, S.; Vardhan, S.; Bahl, S.; Yadav, A.K.; Samyal, R.; Bagha, A.K. Evaluating the Dynamic Characteristics of Microwave-Casted Metal Matrix Composite Material Using Experimental Modal Analysis. Proc. Inst. Mech. Eng. Part E J. Process Mech. Eng. 2023, 238, 1–12. [Google Scholar] [CrossRef]
- Velmurugan, G.; Natrayan, L. Experimental Investigations of Moisture Diffusion and Mechanical Properties of Interply Rearrangement of Glass/Kevlar-Based Hybrid Composites under Cryogenic Environment. J. Mater. Res. Technol. 2023, 23, 4513–4526. [Google Scholar] [CrossRef]
- Sun, Z.; Yang, X.; Wang, M.; Duan, G.; Wang, W. Properties of Coir Fibre/Polylactic Acid Composites Based on Amylase Processing. J. Thermoplast. Compos. Mater. 2023, 37, 426–439. [Google Scholar] [CrossRef]
- Arockiasamy, F.S.; Muthukrishnan, M.; Iyyadurai, J.; Kaliappan, S.; Lakshmaiya, N.; Djearamane, S.; Tey, L.H.; Wong, L.S.; Kayarohanam, S.; Obaid, S.A.; et al. Tribological characterization of sponge gourd outer skin fiber-reinforced epoxy composite with Tamarindus indica seed filler addition using the Box–Behnken method. E-Polymers 2023, 23, 20230052. [Google Scholar] [CrossRef]
- Venkatachalam, G.; Hemanth, V.; Logesh, M.; Piyush, A.; Siva kumar, M.; Pragasam, V.; Loganathan, T.G. Investigation of Tensile Behavior of Carbon Nanotube/Coir Fiber/Fly Ash Reinforced Epoxy Polymer Matrix Composite. J. Nat. Fibers 2023, 20, 2148151. [Google Scholar] [CrossRef]
- Chandrasekar, M.; Shahroze, R.M.; Ishak, M.R.; Saba, N.; Jawaid, M.; Senthilkumar, K.; Kumar, T.S.M.; Siengchin, S. Flax and Sugar Palm Reinforced Epoxy Composites: Effect of Hybridization on Physical, Mechanical, Morphological and Dynamic Mechanical Properties. Mater. Res. Express 2019, 6. [Google Scholar] [CrossRef]
- Lakshmaiya, N.; Surakasi, R.; Nadh, V.S.; Srinivas, C.; Kaliappan, S.; Ganesan, V.; Paramasivam, P.; Dhanasekaran, S. Tanning Wastewater Sterilization in the Dark and Sunlight Using Psidium guajava Leaf-Derived Copper Oxide Nanoparticles and Their Characteristics. ACS Omega 2023, 8, 39680–39689. [Google Scholar] [CrossRef] [PubMed]
- Latha, A.D.; Kumar, A.S.; Singh, S.J.; Velmurugan, C. Experimental Investigations of Flammability, Mechanical and Moisture Absorption Properties of Natural Flax/NanoSiO 2 Based Hybrid Polypropylene Composites. Silicon 2023, 15, 7621–7637. [Google Scholar] [CrossRef]
- Ganesan, V.; Kaliyamoorthy, B. Utilization of Taguchi Technique to Enhance the Interlaminar Shear Strength of Wood Dust Filled Woven Jute Fiber Reinforced Polyester Composites in Cryogenic Environment. J. Nat. Fibers 2020, 19, 1990–2001. [Google Scholar] [CrossRef]






Disclaimer/Publisher’s Note: The statements, opinions and data contained in all publications are solely those of the individual author(s) and contributor(s) and not of MDPI and/or the editor(s). MDPI and/or the editor(s) disclaim responsibility for any injury to people or property resulting from any ideas, methods, instructions or products referred to in the content. |
© 2024 by the authors. Licensee MDPI, Basel, Switzerland. This article is an open access article distributed under the terms and conditions of the Creative Commons Attribution (CC BY) license (https://creativecommons.org/licenses/by/4.0/).
Share and Cite
Lakshmaiya, N.; Kaliappan, S.; Chinta, N.D.; Govindarajulu, P. Mechanical and Thermal Characteristics of Coir Powder-Filled Epoxy Composites for Industrial Application. Eng. Proc. 2024, 61, 13. https://doi.org/10.3390/engproc2024061013
Lakshmaiya N, Kaliappan S, Chinta ND, Govindarajulu P. Mechanical and Thermal Characteristics of Coir Powder-Filled Epoxy Composites for Industrial Application. Engineering Proceedings. 2024; 61(1):13. https://doi.org/10.3390/engproc2024061013
Chicago/Turabian StyleLakshmaiya, Natrayan, S. Kaliappan, Neelima Devi Chinta, and Padmanaban Govindarajulu. 2024. "Mechanical and Thermal Characteristics of Coir Powder-Filled Epoxy Composites for Industrial Application" Engineering Proceedings 61, no. 1: 13. https://doi.org/10.3390/engproc2024061013
APA StyleLakshmaiya, N., Kaliappan, S., Chinta, N. D., & Govindarajulu, P. (2024). Mechanical and Thermal Characteristics of Coir Powder-Filled Epoxy Composites for Industrial Application. Engineering Proceedings, 61(1), 13. https://doi.org/10.3390/engproc2024061013

