Abstract
Rhodamine 6G is widely used in biochemistry and cell imaging as a sensitive layer of chemical sensors. At the same time, the features of the interaction of Rh6G with low-molecular-weight analytes present in most biochemical preparations have not been studied. In this study, the interaction of Rh6G thin films with water vapor, acetic acid, ethyl alcohol, ammonia, benzene, pyridine, nitrobenzene, acetone, and acetonitrile in the gas phase was studied. The kinetic features and adsorption capacity of the sensitive layer were compared with those of other sensitive layer materials (macrocyclic dibenzotetraazaanulenes, phthalocyanines, and their metal complexes). The response values of the Rh6G-based sensor significantly exceed the responses of other sensors, regardless of the type of analyte. This means that this material is promising for multivariate sensor arrays, where the issue of cross-selectivity is a prerequisite. However, when developing selective sensors or when using Rhodamine 6G for analytical analysis in biochemistry, the ability of Rh6G to interact with a wide range of low-molecular-weight analytes must be taken into account.
1. Introduction
Chemosensors based on rhodamine and its derivatives are potentially attractive tools for analytical chemistry, biology, medicine, and environmental protection. Such sensor systems play an important role as they are simple, fast, effective, and low-cost monitoring and diagnostic tools. High biocompatibility and fluorescence in the near-infrared range of rhodamine derivatives make them an excellent choice for the creation of biosensors.
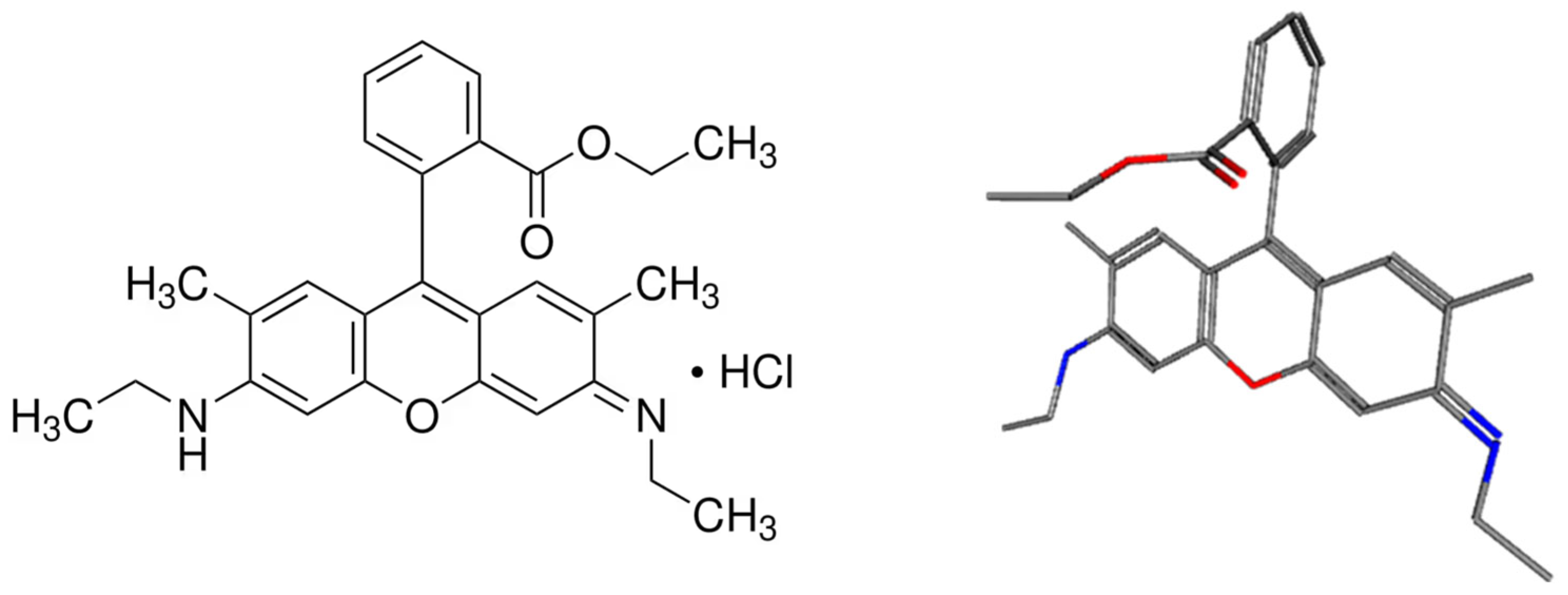
Rhodamine 6G is a highly effective luminescent xanthene dye of the rhodamine family. The building blocks common to all rhodamines are a dibenzopyrene chromophore (xanthene) and a derivative of the benzoic acid molecule (carboxyphenyl group) (Figure 1). Rhodamines are singly charged positive ions with a size of c.a. 0.7 × 1.4 nm; the positive charge is mainly located on two amino groups (due to the tautomerism of two energetically equivalent states with the rearrangement of the aromatic ring and a -C=N+- double bond). An interesting feature of its molecular structure is the perpendicularity of the plane of the xanthene chromophore and that of the aromatic carboxyphenyl group.
Figure 1.
Chemical structure (left) and the 3D conformation (right) of Rhodamine 6G molecule. The spatial structure is presented according to PubChem modeling data (https://pubchem.ncbi.nlm.nih.gov/compound/Rhodamine-6G#section=Names-and-Identifiers (accessed on 17 January 2024)).
In recent years, there has been a consistent development of classical rhodamine-based sensor systems; at the same time, researchers are showing an increasing interest in new devices that use non-standard analytical approaches [1]. In particular, the use of rhodamine-based luminescent chemosensors that emit in the near-infrared range (NIR) is considered for the detection of metal ions such as Al(III), Cu(II), Hg(II), Co(II), Fe(III), Au(III), and Cr(III) [2].
Sensors based on Rhodamine 6G can be used for water vapor detection, as hydrogel sensors capable of detecting Hg2+ in flowing or stagnant water [3], to detect the physiologically important ions of transition metals, such as Cu(II) and Fe(III) [4]. The idea of detecting heavy and transition metal ions using different characteristics of the same Rh6G sensors in living organisms is particularly attractive [5,6].
Rhodamine 6G is also widely used for labeling oligonucleotides in biochemistry as well as cell imaging. Despite the widespread use of this compound for various analytical purposes, the features of the interaction of Rh6G with low-molecular-weight analytes present in most biochemical preparations have not been studied. This is important not only for understanding the possibility of the influence of non-target components on the analytical signal during analysis, but also it is of great practical importance since it allows the development of (bio)chemical sensors for specific applications. In this study, we studied the features of the interaction of Rh6G thin films with a number of low-molecular-weight analytes in the gas phase (to exclude cross-interaction, etc.), namely, water vapor, acetic acid, ethyl alcohol, ammonia, benzene, pyridine, nitrobenzene, acetone, and acetonitrile. The kinetic features and the adsorption capacity of the sensitive layer were compared with those for other classical sensitive layer materials (macrocyclic dibenzotetraazaanulenes, phthalocyanines, and their metal complexes).
2. Materials and Methods
H2TAA, its derivative (EGTAA), and their metal complexes with copper were kindly provided by Prof. Lampeka Ya.D. Phthalocyanine, its metal complexes with copper and lead, and Rhodamine 6G were obtained from Sigma-Aldrich Inc. and were used without additional purification (Figure 2). Planar molecules of H2TAA and its metal complexes with copper form dimers in the crystalline state; H2EGTAA molecules and their metal complexes lose their planar conformation due to the steric effects of peripheral substituents. Phthalocyanines do not form dimers, both in the case of planar (H2Pc CuPc) and structures distorted by the large size of the cation (PbPc). Thus, these compounds demonstrate quite diverse binding centers on the surface of their films for molecules from the gas phase.
Figure 2.
Illustration of the measurement procedure using an “electronic nose”-type system based on quartz microbalance transducers with the sensitive layers of organic molecular crystals.
Thin oriented films of all compounds used as sensitive layers in this study were obtained using thermal sputtering in vacuum (VUP-5M, pressure of 5 × 10−4 Pa, growth rate of c.a. 0.1 nm/min) at a temperature of 297 ± 2 °K. Furthermore, 100 nm thick films were deposited on one side of metal electrodes of quartz piezoelectric resonators (quartz crystal microbalance, QCM) of RK169 type with a resonant frequency of 10 MHz.
To prepare the samples, we used double-distilled water and chemically pure acetic acid, ethyl alcohol, ammonia, benzene, pyridine, nitrobenzene, and acetone acids obtained from the Khimlaborreaktiv (UA) and Makrokhim (UA) companies. Liquids (5 mL) were collected immediately before measurements. To form a sample (headspace), the gas phase formed above the surface of a liquid due to bubbling was mixed with a flow (60 mL/min) of carrier gas (argon) at a constant temperature (297 ± 2 °K) (Figure 2).
The measurement procedure included (i) the stabilization of the baseline in an argon flow (frequency deviation: +/−2 Hz), (ii) an exposure to a gas sample of analyte vapor in carrier gas (10–25 min) under the constant flow rate, and (iii) subsequent purging with a carrier gas. To minimize the influence of previous experiments, a break of at least 4–5 h was taken between individual experiments, during which the sensor array was in an atmosphere of dried argon.
The equipment and software developed in the V. Lashkaryov Institute of Semiconductor Physics NAS of Ukraine were used for QCM oscillation excitation and for the measurements of their frequency shifts, which is proportional to the change in mass due to the adsorption of analyte’s molecules (Figure 2) [7].
3. Results and Discussion
3.1. Features of the Optical Characteristics of Thin Films of Rhodamine 6G
Despite the widespread use of Rh6G as a material for many optical devices (the active medium of tunable lasers, waveguide substrates, etc.), many features of its absorption spectrum remain unclear (Figure 3). Indeed, the lowest energy absorption band consists of a large peak (c.a. 545 nm, the bathachromic shift relative to the 520 nm position in solution is due to an interaction between molecules in a solid [8]) with the smaller peak at 514 nm (c.a. 498 nm in solution) and shoulder around 475 nm. According to the results of quantum chemical calculations, the absorption in this region is due to π-π transition (HOMO-LUMO), whose electron density is localized predominantly in the xanthene ring of Rh6G [9]. A characteristic feature of this transition is a vibronic structure as a shoulder at smaller wavelengths [10] due to electron–vibrational interaction (for example, in planar dibenzotetraazaannulene and its complexes). The results of spectral analysis in the gas phase [11], where the formation of intermolecular aggregates is unlikely, confirm the presence of a shoulder on the short-wavelength side of the main transition. This allows us to conclude that for Rh6G, there is a process of interaction between the lower electronic transition and the intramolecular vibration.
Figure 3.
The absorption spectrum of the 100 nm thick Rhodamine 6G film on a glass substrate obtained with thermal sputtering in vacuum.
At the same time, the numerous results of experimental studies show that upon transition from the gas phase to a solvent environment, Rh6G molecules form stable dimeric structures (H-dimers, which form in the ground state), and the equilibrium of these structures with single molecules depends on their concentration in the solution and on the type of solvent [12]. The absorption band of the dimer practically coincides with the position of the first vibronic band of the monomer, which makes their separation difficult. Theoretical calculations confirm the possibility of self-assembly of this kind of Rh6G aggregates [13]: calculation results predict the substantial redshifts or blueshifts of the optical absorption spectra of Rh6G dye molecules after aggregation in J or H dimers, respectively. Experimental results confirm theoretical expectations. For example, in thin films, dimers are credited with making the main contribution to high-luminescence quantum yields [14]. Despite some ambiguity in the interpretation of the role of Rh6G dimers in different aggregative states, there is an undoubtable need to take into account the characteristic features of excimer aggregates (the dimers of the same compound formed in the ground state) when considering the effects with their participation.
The absorption spectrum of the Rhodamine 6G film, presented in Figure 3, demonstrates not only the typical bathochromic shift of the spectrum of organic molecular crystals upon transition to a solid but also shows changes in the shape of the spectrum compared to the spectrum in solution [15]. Taking into account the short discussion above, it can be assumed that the increase in the band intensity in the 514 nm region is associated with the formation of Rh6G dimeric structures in the solid.
Summarizing all abovementioned facts, it is reasonable to highlight that Rh6G thin films may contain several types of reactive centers, and the properties of which differ due to one of the following local structural organizations: (1) several nucleophilic centers of different nature in the region of different types of side groups with the possibility of rotation and the ability to specifically interact with other molecules (including through the formation of hydrogen bonds); (2) the conjugated parts of molecule suitable for the formation of various configurations with aromatic fragments of other molecules and stacking interactions; (3) centers whose energy is modulated by the vibrational modes of the molecule; (4) dimeric structures with different energy levels due to the local effects of neighboring, closely located molecules; and (5) supramolecular structures caused by the structural feature of Rhodamine 6G due to the specific configuration of the molecule, namely, the perpendicular arrangement of the plane of the central fragment and a separate aromatic ring.
As noted above, in this study, we are interested in analyzing the diversity of binding centers for gaseous molecules in the thin films of Rhodamine 6G. The most promising way of doing so is direct adsorption measurements using the analytes of various natures, which allow the formation of various configurations of the organic adsorbate, and, accordingly, obtaining information about the cross-reactive (low-selective) centers that are present in this system.
3.2. The Ratio between the Magnitude of the Responses of QCM Sensors Based on Rhodamine 6G Sensitive Layers and Macrocyclic Heterocycles
The analysis of the obtained results unambiguously indicates that, among the used sensitive materials mentioned above, Rh6G has the maximum value of response with respect to all studied analytes in the gas phase (Figure 4). Despite the fact that the kinetics of the interaction of Rh6G with analytes significantly depends on the nature of the analyte, the interaction is controlled by the process of physical (ad)sorption and is a completely reversible process.
Figure 4.
Typical adsorption curves for various analytes (acetic acid, ethyl alcohol, pyridine, nitrobenzene, and acetone) for a sensor array with sensitive coatings based on heterocyclic macrocycles (annulenes and phthalocyanines, including their complexes with copper and lead) and Rhodamine 6G.
It should be especially emphasized that the response values for the Rh6G-based sensor significantly exceed the responses of other sensors, regardless of the type of analyte. This means that this material is promising for multivariate sensor arrays, where the issue of cross-selectivity is a prerequisite. However, this is an unacceptable property for selective and, especially, specific sensors, since the surface of the coating based on Rhodamine 6G has a sufficiently high adsorption capacity for compounds of various natures. Notably, this is applicable to the equilibrium filling of the surface in the presence of an analyte, i.e., reversible processes caused by interactions based on surface binding reactions typically of the physical adsorption type.
3.3. Features of the Response of a Sensor with a Sensitive Coating Based on Rhodamine 6G in Relation to Analytes of Various Nature
The response of sensors coated by Rhodamine 6G shows that the adsorption of all analytes is characterized by monotonic dependences when reaching a saturation level. The magnitude of the frequency shift is determined by the nature of the analyte (Figure 5). As can be seen from the figure, this coating has the greatest adsorption capacity for acetic acid and ethyl alcohol and the smallest adsorption capacity for acetonitrile, acetone, and nitrobenzene. The rather small response to water (about 200 Hz), in which Rh6G is highly soluble, is apparently due to the short exposure time. Indeed, as can be seen from Figure 4, the adsorption process did not reach a steady state, suggesting a higher adsorption capacity. Moreover, as already observed, in such cases, there are changes in the morphology of the coating and, as a consequence, changes in the selectivity profile of the sensor element. Thus, such sensors are unsuitable for practical use.
Figure 5.
The maximum response amplitudes of a QCM sensor with a sensitive Rh6G-based coating on the vapors of different analytes (inset): the kinetic dependences of the frequency change on time during the adsorption of acetic acid, pyridine, and acetone molecules from their vapors in carrier gas (argon) under a constant flow rate.
Acetonitrile, acetone, and nitrobenzene are similar in their limited ability to form hydrogen bonds, and the interactions in which they participate are usually related to the polar nature of their molecules (large dipole moments, tendency towards nucleophilic reactions, etc.). The small response values for these analytes possibly indicate that, on the surface of Rhodamine 6G, there is a relatively large number of centers capable of forming hydrogen bonds. The response to ethyl alcohol confirms this statement. Moreover, the presence of methyl and hydroxyl fragments in the structure of the ethyl alcohol molecule can facilitate its binding, since similar bi-functional fragments are present in the Rhodamine 6G molecule, its dimers, or more complex aggregates. The same principle of multifunctional coincidence according to the somewhat simplified “guest-host” principle can explain the rather strong difference in the adsorption capacity in relation to the analytes listed above.
As can be seen from the presented data, the greatest response is observed for acetic acid vapor. First of all, it should be noted that the response in this case is non-monotonic, i.e., after reaching the minimum frequency value, the response begins to increase. This behavior, in particular, may be associated with an anti-Sauerbrey response, i.e., changes in the mechanical properties of the coating are caused due to swelling, morphological changes, etc. [16]. A similar effect, although to a lesser extent, is observed for alcohol, in which these films can also dissolve.
The highest magnitude of adsorption on the surface of acetic acid molecules may be associated with cooperative solvation effects capable of forming multicomponent surface coatings. However, it is known that, in the gas phase, acetic acid is in the form of a dimer, which, when adsorbed on a surface, breaks down into two acid molecules, forming hydrogen bonds with the surface and with other acid molecules on a surface. In the case of dilute acetic acid, its percentage on the surface decreases due to the presence of water molecules; however, at the same time, conditions are created for the formation of surface networks of a multimolecular coating. According to the classification of solvents, acetic acid belongs to solvents that have acidic properties and are prone to the formation of loosely bound large surface associates.
4. Conclusions
The wide variety of low-energy binding sites for gaseous analytes on the surface of Rhodamine 6G films are due to a number of interrelated reasons at different levels of organization of the sensitive materials:
- The presence of nucleophilic centers of different natures on side groups with the possibility of forming hydrogen bonds;
- The ability of forming hydrophobic interactions, including those due to aromatic stacking;
- Binding centers and their energy is modulated by the vibrational modes of the molecule;
- The presence of dimeric structures with different energy levels due to the local effects of neighboring, closely located molecules;
- Supramolecular structures that stimulate the cooperative surface binding.
All this leads to an increase in the diversity of analytes capable of binding to the surface of Rhodamine 6G. It is the low selectivity coupled with the differences in responses to various analytes that make this material promising for cross-reactive sensor systems, provided that the selectivity profile is maintained with its long-term use. At the same time, these effects of physically (ad)sorbed compounds must be taken into account when developing selective sensors.
Finally, it is reasonable to emphasize the promise of Rh6G for the development of composite materials, since the combination of Rh6G with various inorganic nanostructured materials (ZnO, metal nanoparticles, etc.) makes it possible to purposefully change the selectivity profile of a sensitive layer. This allows the creation of efficient sensor arrays optimized for specific applications, including environmental monitoring or as a potential bio-sniffer for acute toxicity assays or highly sensitive sensors of the low-molecular-weight biological regulators of vital activity.
Author Contributions
Conceptualization, B.S. and I.K.; methodology, B.S., I.K. and J.B.; formal analysis and validation, I.K. and J.B.; investigation, J.B.; data curation, B.S. and J.B.; writing—original draft preparation, B.S.; writing—review and editing, B.S. and I.K.; visualization, J.B. All authors have read and agreed to the published version of the manuscript.
Funding
This research received no external funding.
Institutional Review Board Statement
Not applicable.
Informed Consent Statement
Not applicable.
Data Availability Statement
Data are available on request.
Conflicts of Interest
The authors declare no conflicts of interest.
References
- Wang, Y.; Wang, X.; Ma, W.; Lu, R.; Zhou, W.; Gao, H. Recent Developments in Rhodamine-Based Chemosensors: A Review of the Years 2018–2022. Chemosensors 2022, 10, 399. [Google Scholar] [CrossRef]
- Sarkar, S.; Chatterjee, A.; Biswas, K. A Recent Update on Rhodamine Dye Based Sensor Molecules: A Review. Crit. Rev. Anal. Chem. 2023, 27, 1–27. [Google Scholar] [CrossRef] [PubMed]
- Qu, Z.; Wang, C.; Duan, H.; Chi, L. Highly efficient and selective supramolecular hydrogel sensor based on rhodamine 6G derivatives. RSC Adv. 2021, 11, 22390–22397. [Google Scholar] [CrossRef] [PubMed]
- Sikdar, A.; Panja, S.S.; Biswas, P.; Roy, S. A Rhodamine-Based Dual Chemosensor for Cu(II) and Fe(III). J. Fluoresc. 2012, 22, 443–450. [Google Scholar] [CrossRef] [PubMed]
- Wang, L.; Yan, J.; Qin, W.; Liu, W.; Wang, R. A new rhodamine-based single molecule multianalyte (Cu 2þ, Hg 2þ) sensor and its application in the biological system. Dye. Pigment. 2012, 92, 1083–1090. [Google Scholar] [CrossRef]
- Suresh, M.; Shrivastav, A.; Mishra, S.; Suresh, E.; Das, A. A Rhodamine-Based Chemosensor that Works in the Biological System. Org. Lett. 2008, 10, 3013–3016. [Google Scholar] [CrossRef] [PubMed]
- Snopok, B.A.; Kruglenko, I.V. Multisensor systems for chemical analysis: State-of-the-art in Electronic Nose technology and new trends in machine olfaction. Thin Solid Film. 2002, 418, 21–41. [Google Scholar] [CrossRef]
- Snopok, B.A.; Lampeka, Y.D. Electron interactions in crystalline dibenzotetraazaannulene. Theor. Exp. Chem. 1996, 32, 20–23. [Google Scholar] [CrossRef]
- Watanabe, H.; Hayazawa, N.; Inouye, Y.; Kawata, S. DFT Vibrational Calculations of Rhodamine 6G Adsorbed on Silver: Analysis of Tip-Enhanced Raman Spectroscopy. J. Phys. Chem. B 2005, 109, 5012–5020. [Google Scholar] [CrossRef] [PubMed]
- Guthmuller, J.; Champagne, B. Resonance Raman Scattering of Rhodamine 6G as Calculated by Time-Dependent Density Functional Theory: Vibronic and Solvent Effects. J. Phys. Chem. A 2008, 112, 3215–3223. [Google Scholar] [CrossRef] [PubMed]
- Forbes, M.W.; Jockusch, R.A. Gas-Phase Fluorescence Excitation and Emission Spectroscopy of Three Xanthene Dyes (Rhodamine 575, Rhodamine 590 and Rhodamine 6G) in a Quadrupole Ion Trap Mass Spectrometer. J. Am. Soc. Mass Spectrom. 2011, 22, 93–109. [Google Scholar] [CrossRef] [PubMed]
- Chapman, M.; Euler, W.B. Rhodamine 6G Structural Changes in Water/Ethanol Mixed Solvent. J. Fluoresc. 2018, 28, 1431–1437. [Google Scholar] [CrossRef] [PubMed]
- Gavrilenko, V.I.; Noginov, M.A. Ab initio study of optical properties of rhodamine 6G molecular dimers. J. Chem. Phys. 2006, 124, 044301. [Google Scholar] [CrossRef] [PubMed]
- Kazakevičius, A.; Peckus, D.; Boiko, O.; Valkunas, L.; Leonenko, E.; Telbiz, G.; Gulbinas, V. Insights into the Mechanism of Enhanced Rhodamine 6G Dimer Fluorescence in Mesoscopic Pluronic-Silica Matrixes. J. Phys. Chem. C 2015, 119, 19126–19133. [Google Scholar] [CrossRef]
- Toptygin, D.; Packard, B.Z.; Brand, L. Resolution of absorption spectra of rhodamine 6G aggregates in aqueous solution using the law of mass action. Chem. Phys. Lett. 1997, 277, 430–435. [Google Scholar] [CrossRef]
- Kruglenko, I.; Kravchenko, S.; Kruglenko, P.; Burlachenko, J.; Krishchenko, I.; Manoilov, E.; Snopok, B. Advanced Quartz Microbalance Sensors for Gas-Phase Applications: Effect of Adsorbate on Shear Bond Stiffness between Physical Transducer and Superlattice of Latex Nanoparticles. Eng. Proc. 2022, 27, 40. [Google Scholar] [CrossRef]
Disclaimer/Publisher’s Note: The statements, opinions and data contained in all publications are solely those of the individual author(s) and contributor(s) and not of MDPI and/or the editor(s). MDPI and/or the editor(s) disclaim responsibility for any injury to people or property resulting from any ideas, methods, instructions or products referred to in the content. |
© 2023 by the authors. Licensee MDPI, Basel, Switzerland. This article is an open access article distributed under the terms and conditions of the Creative Commons Attribution (CC BY) license (https://creativecommons.org/licenses/by/4.0/).




