Abstract
In this paper, we present experimental findings related to the measurement of air temperature within an enclosure. We utilized both a conventional temperature sensor and a UOTS (ultra-sensitive oscillating temperature sensor) for this purpose. The UOTS’s output frequency was measured using a microcontroller’s timer and direct memory access. In one experiment, we subjected the air inside the enclosure to rapid heating to evaluate the responsiveness of both sensors. In another experiment, the air temperature was indirectly increased through the laboratory’s heating system. The initial experiment reaffirmed the superior responsiveness of the UOTS, as observed in previous tests. The second experiment, conducted over a duration of more than 20 h, allowed us to establish a frequency-temperature curve for the UOTS. It also enabled us to determine that the UOTS exhibits sensitivity at approximately 45 Hz per degree Celsius. This assessment provided valuable insights into temperature underestimation by the conventional temperature sensor, revealing a discrepancy of 9 °C during the rapid heating experiment. This quantified the significant advantage offered by the UOTS in terms of accuracy and responsiveness.
1. Introduction
Measuring air temperature is crucial for a wide range of human activities, from maintaining comfortable living conditions to preserving food and other materials. Different types of temperature sensors are available, such as resistance temperature detectors (RTDs) known for their high accuracy [1], thermocouples designed for a wider temperature range [2], thermistors that are cost-effective [3], and semiconductor sensors suitable for easy integration with microcontrollers (MCUs) [4]. Conventional contact sensors can only measure the temperature in the immediate vicinity and require time to reach thermal equilibrium before sensing any changes in their environment. In addition to these conventional options, non-contact temperature sensors like infrared sensors are utilized to measure the temperature of objects located at a distance. The global market size for temperature sensors was valued at $6.3 billion in 2020 and was projected to grow at an annual rate of 4.8% until 2027 [5].
Ultrasonic oscillating temperature sensors (UOTS) offer a compelling alternative to conventional temperature sensors as they can measure temperature across the entire ultrasound pathway, responding rapidly to changes in temperature. UOTS are made up of two ultrasonic transducers, a receiver and transmitter, and an electronic amplifier that compensates for acoustic and electrical losses in the signal loop, allowing the oscillations to continue. The medium between the transducers, where the ultrasound propagates, acts as the body of the sensor, as the speed of ultrasound is dependent on the medium’s temperature. The relative merits of the various air temperature sensors are presented in Table 1.
Table 1.
Advantages and disadvantages of various air temperature sensors.
Over the years, our research group developed various UOTSes for use in water and demonstrated that their advantages were achieved at a considerably lower cost compared to the direct measurement of the ultrasonic time of flight. Recently, we started developing UOTSes for air temperature measurements [6].
Section 2 of this paper describes the instrumentation and experimental procedures used in our study. Section 3 presents the data recorded by a conventional temperature sensor and the UOTS for a rapid heating test of the air inside an enclosure. The measurement results, recorded for 22 h in an open office environment, are presented in Section 4. Section 5 summarizes and concludes the paper.
2. Instrumentation and Experimental Procedures
We employed the experimental arrangement and equipment described in a previous article [6] with an important enhancement for the frequency measurement reported in [7]. The distance between the transducers was set at 150 mm. The UOTS output frequency was measured for 4000 periods using a clock frequency of 10 MHz. The measurement time was around 0.1 s (4000/40,000 Hz). The number of the counted clock pulses was approximately 1,000,000 (0.1 s × 10,000,000 Hz), resulting in a counting error of up to one pulse out of 1,000,000 or roughly 0.04 Hz frequency measurement error (40 kHz/1,000,000). After each measurement, there was a 0.1-s delay before the next measurement began.
The temperature readings were taken every second from the BMP280 sensor and stored on an SD card with a time stamp provided by a real-time clock.
Two experiments were carried out. The first one involved a rapid heating test in which a hairdryer was used to quickly increase the temperature inside the enclosure to record readings from both the conventional temperature sensor and the UOTS, as performed previously [6]. After switching the hairdryer on, some time was taken for the heater and fan to operate at full power, and then it was directed inside the enclosure.
The second experiment involved taking measurements over extended periods of time in an open office environment, where the heating was turned on for several hours in the afternoon. The sensors were placed inside the enclosure to minimize the influence of air circulation on the UOTS readings. It should be noted that enclosing conventional sensors also helps reduce the scatter of their readings.
3. Assessing Responsiveness of the Sensors to a (Nearly) Step Change in Air Temperature
We use a cardboard box to house both sensors and created a step change by using a hairdryer as it was shown in Figure 6 [5]. Upon initiating the recording of both temperature and UOTS output frequency, the hairdryer was removed from the enclosure, directed away from it, and switched on for a period of time to allow its heating element to reach the desired temperature. Subsequently, the hairdryer was directed inside the enclosure for a brief duration. To minimize air exchange with the environment, the enclosure flap was closed. This sequence was repeated five times, as illustrated in Figure 1a. Figure 1b provides a closer view of the recorded data, highlighting that the frequency of the UOTS decreased more rapidly compared to the readings from the conventional temperature sensor when the hairdryer was turned off.
Figure 1.
Experimental records for the rapid heating test (0.1 s measurement time). (a) Five subsequent heating cycles. (b) A section of the complete recording (second heating instance) viewed at a closer scale.
The test conducted successfully showcased the significantly quicker response time of the air UOTS in comparison to conventional temperature sensors, confirming previous findings as reported in references [6].
4. Continuous Monitoring of the Temperature inside the Enclosure
An UOTS detects temperature by responding to changes in the speed of sound, which is approximately 0.6 m/s/°C [8]. Additionally, this speed is influenced by relative humidity (around 0.2 m/s per 10%) and the speed of axial wind if present. To evaluate the feasibility of the UOTS as low-cost temperature sensors, we placed the sensor inside a cardboard box to minimize air movement and humidity fluctuations compared to the surrounding environment.
Figure 2a illustrates the temperature and UOTS frequency recorded over a 22-h period in an open-plan office environment during the night, with the heating being activated roughly 5.5 h after the start of the recording. These curves demonstrate a remarkable visual similarity when appropriately scaled. However, the UOTS frequency curve exhibited spikes resembling those observed earlier when the UOTS was operated in liquids.

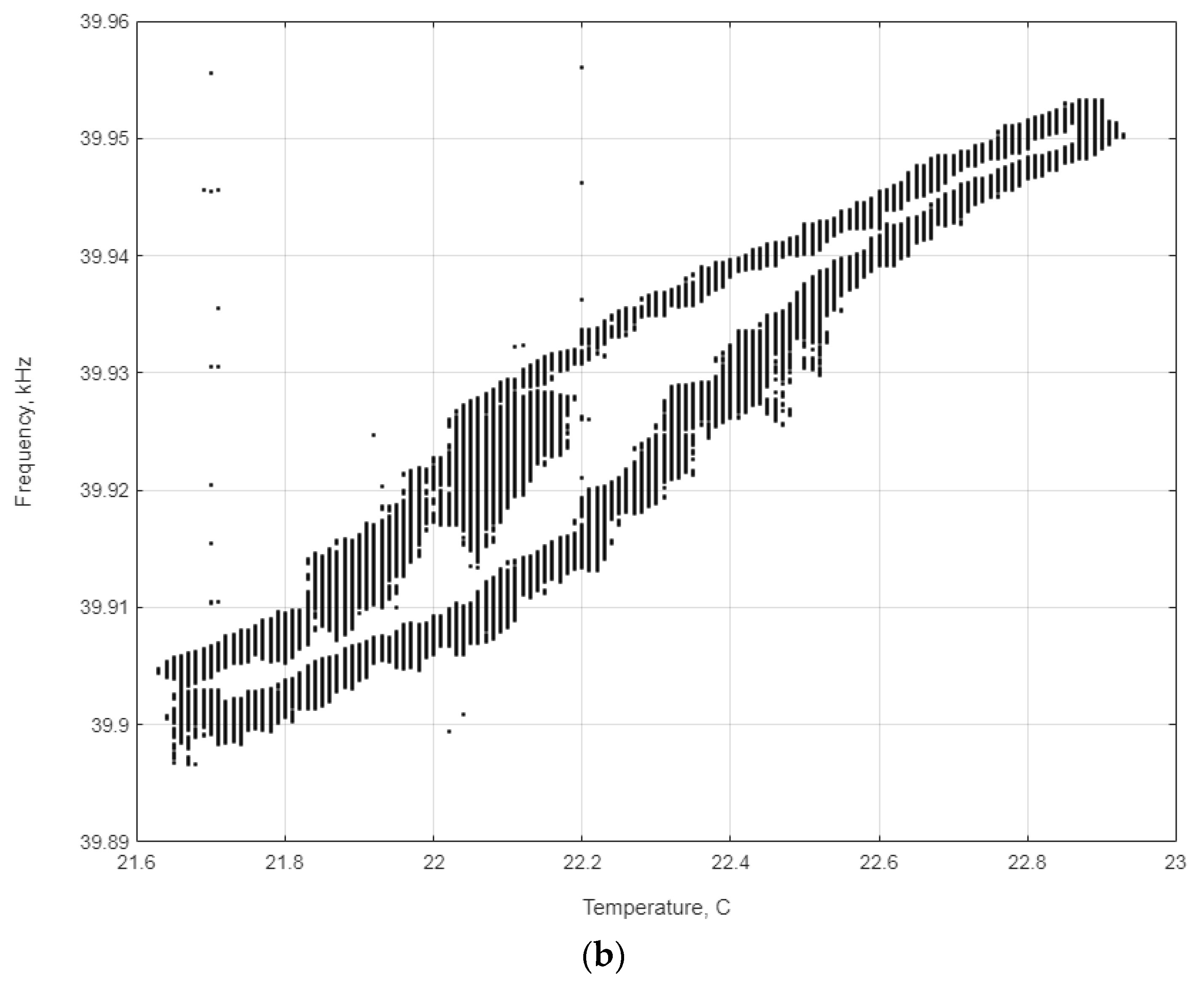
Figure 2.
Records obtained from an experiment monitoring the air temperature overnight inside a container (0.1 s measurement time). (a) Overall recordings. (b) Temperature–frequency relationship showing hysteresis.
Figure 2b presents a scatter diagram depicting the temperature-frequency readings, interpolated to correspond to the same time instances. If the plot resembled a narrow straight line, it would have been convenient to convert the UOTS readings directly into the temperature values recorded by the temperature sensor. However, this was unlikely because the conventional contact sensor had a greater thermal inertia, as demonstrated in Figure 1, and it did not capture the entire space between the transducers. Consequently, since the UOTS was not calibrated at this stage, we utilized the readings from the conventional temperature sensor as the best estimate available for the temperature between the transducers.
The scatter plot reveals some hysteresis in the frequency of the UOTS, as evidenced by the different frequency values at the same temperature. The slope of the graph indicates the sensitivity of the UOTS frequency to temperature, which we roughly estimated to be 45 Hz/°C within the temperature range of 21.8 °C to 22.8 °C. As the variation in UOTS frequencies at the same temperature did not exceed 20 Hz, we can conclude that the uncertainty of the UOTS output frequency in representing the readings of the conventional temperature sensor was within ±10 Hz/45 Hz/°C, approximately ±0.22 °C. For the current unoptimized prototype, this level of uncertainty was deemed acceptable.
This sensitivity value allows us to assess temperature increases when hot air from a hairdryer is introduced into the enclosure (Figure 1b). Since the frequency increased by up to 900 Hz, we can estimate that the air temperature rose by approximately 900 Hz/45 Hz/°C, which amounts to around 20 °C. This increase was considerably higher than the reported increment by the conventional temperature sensor, which was approximately 11 °C from the 22 °C baseline.
5. Summary and Conclusions
This paper presents experimental temperature data collected using both a conventional temperature sensor and a UOTS for measuring air temperature within an enclosure, employing most of the setups previously detailed [6]. The primary distinction in this study was related to the UOTS’s output frequency measurement method [7], which allowed for measurements to be taken every 0.1 s using an economical general-purpose microcontroller synchronized by a standard crystal oscillator. This represented a significant cost reduction compared to specialized microcontrollers that required oven-controlled crystal oscillators, as used in prior studies.
These sensors were positioned within a cardboard enclosure and subjected to two scenarios: rapid heating of the enclosed air and continuous temperature monitoring over a full day. The initial experiment affirmed the UOTS’s superior responsiveness, consistent with previous findings [6]. However, the second experiment demonstrated the UOTS’s suitability for long-term temperature monitoring, enabling the creation of a frequency-temperature diagram, which yielded an estimated UOTS sensitivity of 45 Hz per degree Celsius. Using this value, we calculated a temperature increase of 20 °C during the first experiment, whereas the conventional temperature sensor reported an increase of only 11 °C from the initial 22 °C baseline.
These developments and experimental outcomes open the possibility of constructing cost-effective ultrasonic temperature sensors capable of providing reliable and prolonged temperature readings that closely correspond to those of conventional sensors. The advantages of UOTS devices include enhanced responsiveness and the ability to measure temperature throughout the entire path between the transducers. The subsequent phase of UOTS development involves evaluating their performance in open spaces at various distances between the transducers.
Author Contributions
Conceptualization, A.N.K.; methodology, A.N.K.; software, A.N.K.; validation, A.E.; formal analysis, A.E.; investigation, A.E.; resources, A.E.; data curation, A.E.; writing—original draft preparation, A.N.K.; writing—review and editing, A.N.K.; visualization, A.E.; supervision, A.N.K. and T.J.M.; project administration, A.E. and T.J.M.; funding acquisition, A.E. All authors have read and agreed to the published version of the manuscript.
Funding
This research received no external funding.
Institutional Review Board Statement
Not applicable.
Informed Consent Statement
Not applicable.
Data Availability Statement
We did not upload the obtained data to a public repository because of the amount of work involved in properly describing and labeling these. However, we are happy to supply the reported data upon request.
Acknowledgments
Ali Elyounsi gratefully acknowledges support for his PhD studies from the Libyan Embassy (UK).
Conflicts of Interest
The authors declare no conflict of interest.
References
- The Fundamentals of RTD Temperature Sensors, PR Electronics. Available online: https://www.prelectronics.com/the-fundamentals-of-rtd-temperature-sensors/ (accessed on 3 January 2023).
- Webster, E. A critical review of the common thermocouple reference functions. Metrologia 2021, 58, 025004. [Google Scholar] [CrossRef]
- Wang, H. Experimental Research on the Stability of Negative Temperature Coefficient Thermistors. IEEE Instr. Meas. Mag. 2023, 26, 42–47. [Google Scholar] [CrossRef]
- Designing with Semiconductor Temperature Sensors, Sensor Tips. Available online: https://www.sensortips.com/temperture/designing-with-semiconductor-temperature-sensors/ (accessed on 3 January 2023).
- Temperature Sensor Market by Product Type (Thermocouples, RTDs, Thermistors, Temperature Sensor ICs, Bimetallic, Infrared, and Fiber Optic Temperature Sensors), Output, End-User Industry, and Region–Global Forecast to 2027, MarketsandMarkets, March 2020, Online Summary. Available online: https://www.marketsandmarkets.com/Market-Reports/temperature-sensor-market-522.html (accessed on 3 January 2023).
- Elyounsi, A.; Kalashnikov, A.N. Ultrasonic Oscillating Temperature Sensor for Operation in Air. Eng. Proc. 2021, 10, 62. [Google Scholar] [CrossRef]
- Elyounsi, A.; Kalashnikov, A.N. Continuous Rapid Accurate Measurement of the Output Frequency of Ultrasonic Oscillating Temperature Sensors. Eng. Proc. 2022, 27, 56. [Google Scholar] [CrossRef]
- Kaye and Laby, Tables of Physical and Chemical Constants, Table for Speed of Sound in Air. Available online: https://tinyurl.com/3ajpxh67 (accessed on 3 January 2023).
Disclaimer/Publisher’s Note: The statements, opinions and data contained in all publications are solely those of the individual author(s) and contributor(s) and not of MDPI and/or the editor(s). MDPI and/or the editor(s) disclaim responsibility for any injury to people or property resulting from any ideas, methods, instructions or products referred to in the content. |
© 2023 by the authors. Licensee MDPI, Basel, Switzerland. This article is an open access article distributed under the terms and conditions of the Creative Commons Attribution (CC BY) license (https://creativecommons.org/licenses/by/4.0/).


