Abstract
Strapdown airborne gravimeters based on a navigation-grade inertial measurement unit (IMU) are highly sensitive to perturbations during aircraft flight, especially in the case of flights in draped mode (at a constant altitude above the terrain) or drone-based flights. This implies the crucial importance of postprocessing, including determination of the IMU and GNSS navigation solutions, IMU/GNSS integration, and gravity estimation. In the paper, we briefly outline the key aspects of the developed postprocessing methodology. By processing raw data from two surveys (one is based on a small aircraft and the other on a drone), we investigate the best achievable spatial resolution of strapdown airborne gravimetry. We show that high-accuracy gravity estimates (at sub-mGal level) at a half-wavelength spatial resolution of 1 km can be obtained in the considered surveys.
1. Introduction
Airborne gravimetry is a well-established technique for measuring Earth’s gravity in remote areas, which is able to provide gravity data at a spatial resolution reaching 2–5 km [1]. Commonly, stabilized-platform inertial gravimeters are used in airborne gravimetry [2], but strapdown instruments are currently used as well [3]. The latter are based on a navigation-grade inertial measurement unit (IMU) and are attractive for aerogravimetry due to less weight and compact size. This allows one to install them onboard a small slow-moving aircraft or unmanned aerial vehicle (UAV), which leads to a higher spatial resolution of gravity data.
However, since strapdown airborne gravimeter measurements are highly sensitive to disturbances during flight, it is of crucial importance to develop adequate methodology and algorithms for raw data postprocessing.
Over the past three years, Lomonosov MSU has developed postprocessing algorithms for strapdown airborne gravimetry [4]. The objective of this study is to determine the best spatial resolution of aerogravity data with the developed algorithms in surveys based on a small aircraft and UAV.
2. Postprocessing Methodology
We formulate the problem of strapdown airborne gravimeter data postprocessing as determining gravity disturbance on the aircraft flight path from raw data collected by the gravimeter’s IMU inertial sensors (accelerometer and gyroscope readings) and global navigation satellite system (GNSS) receivers.
The developed postprocessing methodology includes several stages, which are briefly outlined below:
- GNSS raw data postprocessing;
- IMU raw data quality control;
- IMU initial and final alignments and pre- and post-flight calibration of IMU’s accelerometers;
- IMU/GNSS integration;
- Gravity disturbance estimation on the flight path.
In the first step, high-accuracy velocity and position of the onboard GNSS receiver antenna are determined from the multifrequency pseudorange, Doppler pseudorange rate and carrier-phase measurements recorded by the onboard and reference (ground-based) receivers [5]. The carrier-phase differential mode is used. This allows us to reach accuracy of GNSS velocity solution at the level of several cm/s. The developed GNSS postprocessing algorithms (and software) were widely used for GT-2A airborne gravimeter data processing [1].
In step 3, the IMU attitude is determined at aircraft standstill before and after the flight. The developed alignment algorithm admits angular motion of the gravimeter during aircraft standstill (caused by wind at the airfield or other external disturbances). During this step, the biases of IMU accelerometers are also determined using a calibration procedure [4].
In step 4, the integration of IMU and GNSS data is performed using the horizontal channels only. The integration algorithm is the Kalman filter and smoothing (open-loop estimation) [6].
In step 5, the gravity disturbance and residual instrumental errors of the gravimeter are estimated jointly using the following equation:
where is the IMU vertical velocity error, and are the residual attitude errors (misalignment of the vertical axis of the computed geodetic frame), and are the “horizontal” accelerometer measurements, is the vector of accelerometer noises and is the unit vector of the vertical accelerometer sensitivity axis expressed in the navigation (geodetic) frame. Other residual systematic errors of the gravimeter (time-synchronization error of IMU and GNSS data, lever-arm effect) [7] are not shown in (1) for brevity. The estimates of , and are obtained simultaneously through Kalman filtering and smoothing.
3. Results
We present the numerical results from two airborne gravimetry campaigns carried out in 2022 by Aerogeophysica JSC (Russia), who owns state-of-the-art strapdown airborne gravimeters (manufactured by iMAR and a domestic company). The raw data were kindly provided to Lomonosov MSU.
3.1. Fixed-Wing Aircraft Flights
The survey was based on a small fixed-wing aircraft (Antonov An-3T) flown in draped mode over a mountainous area. The flight height variations reached 600 m at survey lines, and the average flight height above the WGS-84 ellipsoid was about 1300 m. The average aircraft speed at survey lines was 43 m/s.
The flights were characterized by extreme vertical accelerations up to 2.5 g (Figure 1), which appears to be one of the first cases in airborne gravimetry (see also results in [4]). In Figure 1, the gravimeter’s IMU roll and pitch angles (estimated in stage 4 of the methodology) are also shown, indicating exceptionally strong dynamic conditions during the flight. As can be seen in Figure 1, the pitch angle varied from −30 up to 30 deg at several lines. This implies large specific force values in the vertical accelerometer measurements visible in Figure 1.
Figure 1.
(a) Gravimeter’s IMU vertical accelerometer readings (fixed-wing aircraft flight), m/s. (b) The estimates of IMU pitch and roll angles, deg. The dotted lines mark the time intervals of survey lines.
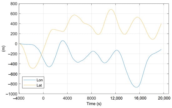
After the IMU accelerometer calibration (stage 3), the autonomous (stand-alone) IMU navigation solutions were computed to analyze the quality of IMU calibration. The autonomous IMU position errors (w.r.t. the GNSS position solution computed at stage 1) are shown in Figure 2. The Schuler oscillations [8] can be seen in both position errors (in the east and north directions). The position errors do not exceed 1 km during the 6.5 h flight. The IMU relative velocity errors are less than 0.5 m/s. These results show excellent quality of calibration as well as high accuracy (navigation grade) of the IMU.
Figure 2.
The IMU position errors in the autonomous mode (w.r.t. GNSS position solution), m.
The gravity disturbance was estimated (stage 5) using the gravimetric filter based on (1). Different cutoff frequencies of the filter were tested in order to obtain high-accuracy gravity data (within 1 mGal accuracy) at the best possible spatial resolution (Table 1). For this, the gravity disturbance estimates at repeat lines flown over the control track were analyzed. From the statistics presented in Table 1, it follows that the gravimetric filter with the cutoff frequency of 1/80 Hz provides the best result (1 mGal accuracy at a half-wavelength spatial resolution of 1.7 km). The obtained gravity disturbance estimates are shown in Figure 3. Also shown is the elevation profile, which illustrates the correlation of the obtained gravity estimates with topography.
Table 1.
Statistics for gravity estimation accuracy from four repeat lines (fixed-wing aircraft flights).
Figure 3.
(a) Gravity disturbance estimates at repeat lines from the fixed-wing aircraft flights, mGal. The filter cutoff frequency is 1/80 Hz. (b) Elevation profile, m.
The gravity disturbance estimates at survey lines obtained with the same cutoff frequency of the gravimetric filter (1/80 Hz) can be seen in Figure 4. The circles in the left side of the plot are due to the maneuvering of the aircraft when trying to follow more closely to the terrain. This was necessary for other onboard measurements (electromagnetometry, gamma-ray spectrometry) collected simultaneously with gravimetry.
Figure 4.
Gravity disturbance estimates at survey lines from the fixed-wing aircraft flights, mGal. The filter cutoff frequency is 1/80 Hz.
3.2. UAV Flights
The campaign was based on using a helicopter-type UAV (the photo is presented in [4]). Several flights were flown at a constant height of 340 m above the WGS-84 ellipsoid at an average speed of 25 m/s. The flights were flown in strong dynamic conditions due to wind (changes in roll and pitch angles reached 5–7 deg) and vibrations produced by the carrier (oscillations in the vertical velocity with an amplitude of 1 m/s).
The postprocessing strategy was the same as in the case of fixed-wing aircraft flights. In Figure 5, the gravity disturbance estimates at repeat lines are shown. The filter cutoff frequency is 1/100 Hz, which is equivalent to the half-wavelength spatial resolution of 1.25 km. The lower cutoff frequency was chosen to suppress the effect of vibrations in the gravimeter data. The estimation accuracy (from repeat line analysis) is 0.59 mGal (RMS). Figure 6 shows the gravity estimates at survey lines from two flights flown with this UAV (the line length is about 20 km).
Figure 5.
Gravity disturbance estimates at repeat lines from the UAV test, mGal. The filter cutoff frequency is 1/100 Hz.
Figure 6.
Gravity disturbance estimates at survey lines from the UAV test, mGal. The filter cutoff frequency is 1/100 Hz.
4. Discussion
From Table 1, it follows that the spatial resolution of gravity estimation in the fixed-wing aircraft (An-3T) flights is limited by the gravimeter filter cutoff frequency of 1/80 Hz. Any higher cutoff frequency value will lead to larger errors in the gravity estimates and, therefore, to RMS values larger than 1 mGal (from repeat line analysis). The estimation errors are mainly caused by (but not limited to) high-frequency noise in the GNSS solutions [1]. Another error source may be an underestimation of the instrumental errors of the IMU inertial sensors, especially in the case of draped flights. Recall that the vertical accelerations reached 2.5 g in the considered survey flights. To investigate this in more detail, flights in benign dynamic conditions (flights at a constant height above the ellipsoid) should also be carried out and analyzed. A laboratory calibration of the gravimeter will also help analyze the IMU instrumental errors.
As for the UAV test, a lower filter cutoff frequency (1/100 Hz) was chosen to suppress strong vibrations of the carrier. The achieved gravity estimation accuracy (0.6 mGal) is excellent. However, it should be noted that the magnitude of gravity disturbance was not large in this test (the measured gravity values were in the range from −16 mGal up to −8 mGal). Nevertheless, these results seem promising, as this test was one of the first surveys based on a UAV.
Thus, the achieved half-wavelength spatial resolution of gravity estimates in the two surveys is 1.7 km (with 1.0 mGal accuracy) in the case of An-3T flights in the draped mode and 1.3 km (with 0.6 mGal accuracy) in the case of the UAV test.
5. Conclusions
The objective of this study is to determine the best achievable spatial resolution of strapdown airborne gravimetry using the developed postprocessing algorithms and slow-moving carriers (a small aircraft and UAV).
We show that high-accuracy IMU/GNSS solutions are of crucial importance for obtaining high-quality gravity data, especially in the case of draped flights (i.e., following the terrain). Using the proposed postprocessing methodology, high-accuracy gravimetry results (at sub-mGal level) were obtained with the half-wavelength spatial resolution down to 1.3 km in a drone-based survey. This result is promising and can be regarded as an improvement in the achievable spatial resolution in airborne gravimetry (typically 2–5 km). This also confirms a good potential of strapdown airborne gravimetry for providing high-resolution gravity data.
Author Contributions
Conceptualization, V.V. and A.G.; methodology, V.V. and A.G.; software, V.V. and A.G.; formal analysis, V.V. and A.G.; investigation, V.V.; data curation, V.V.; writing—original draft, V.V.; writing—review and editing, V.V. and A.G.; visualization, V.V.; supervision, A.G.; project administration, V.V. and A.G.; funding acquisition, A.G. All authors have read and agreed to the published version of the manuscript.
Funding
This research received no external funding.
Institutional Review Board Statement
Not applicable.
Informed Consent Statement
Not applicable.
Data Availability Statement
The raw data are not publicly available due to privacy restrictions.
Acknowledgments
We thank the reviewers for the valuable comments.
Conflicts of Interest
The authors declare no conflict of interest.
References
- Krasnov, A.A.; Sokolov, A.V.; Bolotin, Y.V.; Golovan, A.A.; Parusnikov, N.A.; Motorin, A.V.; Nosov, A.; Stepanov, O.A.; Yurist, S.; Vyazmin, V. Data processing methods for onboard gravity anomaly measurements. In Methods and Technologies for Measuring the Earth’s Gravity Field Parameters; Peshekhonov, V.G., Stepanov, O.A., Eds.; Springer: Berlin/Heidelberg, Germany, 2022; pp. 63–150. [Google Scholar] [CrossRef]
- Studinger, M.; Bell, R.; Frearson, N. Comparison of AIRGrav and GT-1A airborne gravimeters for research applications. Geophysics 2008, 73, 151–161. [Google Scholar] [CrossRef]
- Jensen, T.E.; Olesen, A.V.; Forsberg, R.; Olsson, P.-A.; Josefsson, Ö. New results from strapdown airborne gravimetry using temperature stabilisation. Remote Sens. 2019, 11, 2682. [Google Scholar] [CrossRef]
- Golovan, A.A.; Vyazmin, V.S. Methodology of airborne gravimetry surveying and strapdown gravimeter data processing. Gyroscopy Navig. 2023, 14, 36–47. [Google Scholar] [CrossRef]
- Golovan, A.A.; Vavilova, N.B. Satellite navigation. Raw data processing for geophysical applications. J. Math. Sci. 2007, 146, 5920–5930. [Google Scholar] [CrossRef]
- Kailath, T.; Sayed, A.H.; Hassibi, B. Linear Estimation; Prentice Hall: Upper Saddle River, NJ, USA, 2000; 854p. [Google Scholar]
- Vavilova, N.B.; Golovan, A.A.; Kozlov, A.V.; Papusha, I.A.; Zorina, O.A.; Izmailov, E.A.; Kukhtevich, S.E.; Fomichev, A.V. INS/GNSS integration with compensated data synchronization errors and displacement of GNSS antenna. Experience of practical realization. Gyroscopy Navig. 2021, 12, 236–246. [Google Scholar] [CrossRef]
- Farrell, J.A. Aided Navigation Systems: GPS and High Rate Sensors; McGraw-Hill: New York, NY, USA, 2008; 552p. [Google Scholar]
Disclaimer/Publisher’s Note: The statements, opinions and data contained in all publications are solely those of the individual author(s) and contributor(s) and not of MDPI and/or the editor(s). MDPI and/or the editor(s) disclaim responsibility for any injury to people or property resulting from any ideas, methods, instructions or products referred to in the content. |
© 2023 by the authors. Licensee MDPI, Basel, Switzerland. This article is an open access article distributed under the terms and conditions of the Creative Commons Attribution (CC BY) license (https://creativecommons.org/licenses/by/4.0/).





