Abstract
Textile-based electrodes offer several advantages such as washability, flexibility, and reusability. However, there are challenges when it comes to long-term, real-time continuous monitoring, particularly during self-administration situations which introduce severe motion artifacts. In response to these challenges, researchers have explored various moisture retaining filling textiles to enhance the sustainability of long-term EMG monitoring. This study focuses on comparing three alternative textile fillings: 3D knitted fabric, nonwoven fabric, and microfiber sandwiched between embroidered textile electrodes to evaluate their moisture retention performance and ability to record EMG. The developed electrodes are comprised of embroidered a polyamide-silver hybrid conductive thread, with the filling textiles sandwiched between this yarn and the support fabric and bobbin yarn. The support fabric is an elastic textile band. The creation of these electrodes utilized satin stitch techniques. Impedance characteristics were analysed using an IVI-UM setup with a two-electrode configuration. The electrodes were applied to the subject’s bicep muscles using the elastic strap with a pressure of 12 mmHg. The developed textile filled embroidered electrodes using the satin stitch technique exhibited better dry and wet electrode skin-contact impedance performance compared to the normal satin stitch-based embroidered electrodes against to (Ag/AgCl) electrodes. Further evaluation focused on assessing the long-term stability and wettability of the wet electrode conditions with various drying time. The wet 3D knit (W3D) large satin stitched sandwiched electrodes displayed lower impedance characteristics than those made with wet nonwoven (WNW), wet microfiber (WMF), and the dry embroidered electrodes, with worst performing the normal satin stitch embroidered electrode. It was observed that increasing drying time increases skin-contact impedance, emphasizing the significance of selecting the appropriate filling materials capable of retaining moisture comfort over extended periods. This choice is vital for achieving long-term EMG monitoring and maintaining low contact impedance, which directly impacts the signal quality. The study evaluated the effects of moisture retention time for each textile filling type on sustainable long-term EMG monitoring. Among the tested electrodes, the wet ring satin stitch 3D knit (W3D) sandwiched embroidered electrode out-performed the others WNW, and wet MF based sandwiched electrode achieving a signal-to-noise ratio of 54.93 dB and a root mean square of 0.195 mV, respectively, at the parametric values identified in the experiments.
1. Introduction
Flexible electrodes known as textile electrodes can be produced through different methods, including embroidery using conductive yarn [1,2]. These electrodes can be used in both wet and dry conditions. Wet conditions can be achieved by utilizing tap water, saline solution, or hydrogel [3,4]. Performance differences can be observed between dry and wet textile electrodes. In terms of long-term monitoring and sustainability, wet textile electrodes are often superior to dry electrodes, depending on the intended application [5]. When it comes to monitoring signals, dry textile electrodes can lead to higher and unstable skin-electrode impedances, resulting in noise and a lower quality signal [6] whereas, the main disadvantage of wet textile electrodes is that they tend to dry out within a few minutes, which can alter their electrical properties and reduce their effectiveness [7,8]. For There is no clear information on the electrical performance of dry textile electrodes. Some studies have demonstrated their effectiveness when used without any moisture [6,7,8]. While others prefer to use them when wet [7,8,9,10]. To address this issue, researchers have suggested applying a specific amount of water or saline solution to the dry electrodes to achieve a performance comparable to that of conventional gel electrodes [6]. Maintaining the moisture level of textile electrodes for a desired period of time without drying out is indeed a challenging task. This is due to the fact that textile materials used in electrodes have the tendency to quickly absorb and release moisture, depending on environmental conditions. To address this challenge, researchers are exploring various methods of controlling the moisture levels of textile electrodes, such as using filling textile materials that can retain moisture for longer periods of time. Furthermore, advancements in textile technology and manufacturing processes may also aid in improving the sustainability of textile electrodes in the future [11,12]. For these reasons, often a compromise between comfort and electrical performance is required when choosing the planned electrode condition. Most research in the area of textile electrodes, both for bio-signal monitoring as well as for the use in electrotherapy, has so far focused on investigating the sustainability of textile electrodes as alternatives to conventional electrodes, while only a few studies systematically investigated the influence of different electrode constructions on the electrode monitoring performance. A first attempt was made by Rattfalt et al. [13], who compared three textile electrodes fabricated from different materials and by different textile manufacturing techniques, concluding that the electrode performance depended on the manufacturing technique [14]. Another approach was made by Helium Kim et al. [15], who compared different embroidered electrodes to find the optimum embroidery electrode in terms of electrode performance for long term EMGs monitoring with a focus on electrode shape and choice of stitch design. As a practical approach, they used a series of characterization methods starting with a big sample number and narrowing it down by excluding the worst performing electrodes after every test [15]. The main aim of this work was to find indications for how specific electrode construction parameters in combination with the external parameters electrode condition (i.e., dry or wet) influence the resulting contact impedance of the system, namely the skin–electrode impedance for EMG characteristics. As a result of this, the contact impedance-influencing factors should be determined, and recommendations for how to reduce the system’s impedance should be established especially when prone to motion.
2. Materials and Methods
2.1. Materials
Three types of textile filling materials were used, a 3DK knitted (D3k), microfiber (MF), and a nonwoven(NW) fabric. The polyester multifilament conductive hybrid thread (CleverTex® a polyamide-silver hybrid conductive thread can be customized in terms of their fineness, color shade, electrical conductivity and temperature resistance was used to fabricate the embroidered textile electrodes. The holding pressure was measured using a Microlab PicoPress instrument M-1200. In this research the sEMG was recorded using standard electrodes (Ag/AgCl) for comparison, with asynchronous EMG recording method, i.e., both types of electrodes fixed at the same place and the signal recorded at different times. Though there are time-based differences in this approach, we were interested in the effect of holding pressure and moisture retention time on sEMG. The analog signals were amplified and filtered (20–500 Hz) using MP360, BIOPAC Systems Inc. (Goleta, CA, USA). The data were full-wave rectified and averaged with a 100 ms time constant to draw the amplitude of the signals. The entire data processing of sEMG was performed using Matlab 2019 Software. Signal to Noise Ratio of the measured voltage (SNR voltage) was calculated. The test protocol we followed is depicted in Figure 1b.
Figure 1.
Schematic diagram of the developed electrode (a), sEMG recording with developed electrode (b).
2.2. Textile Electrode Development
As shown in Figure 1a. The absorbent filling textile was sandwiched between the a polyamide-silver hybrid conductive thread, and the textile band through embroidery. The textile band was used as a textile base. The metal snap fastener was deployed for connection with recording devices. An elastic Velcro strap was utilized to confine the textile electrode to its proper location on the muscle for the functional electrical stimulation application. The dimension of each layer of the textile electrode is about 20 mm × 20 mm, inter electrode distance (IED) of each electrode is 25 mm, the applied pressure is 12 mmHg, and 1 µL tap water was used to moisture the electrode.
3. Result and Discussion
3.1. Evaluating Wettability of Filling Textiles
The results from the contact angle test confirm significant differences among the various textile filling materials. Microfiber fabrics exhibited a decrease in contact angle to less than 90°, and the droplet vanished within few seconds after the application of water droplet. In contrast, the contact angle remained approximately equal to 90° for 3D knit and was greater than 90° for the nonwoven textile within the observation period of 4 s. This comparison underscores the rapid penetration of water into microfiber filling textiles compared to 3D knit and nonwoven filling textiles. These findings highlight the critical importance of careful selection of textile filling materials and the need for optimizing the design and characteristics of wet embroidered textile electrodes, particularly in the context of surface electromyography (sEMG) applications. Choosing the right materials and refining the electrode design are essential steps in ensuring the effectiveness and reliability of sEMG monitoring system, and as filling textile a 3D knit (Figure 2b), a microfiber (Figure 2c) and a nonwoven (Figure 2d).
Figure 2.
Developed embroidered electrode with normal satin stitch (a) and (b–d) sandwiched.
Impedance Measurement of the Developed Embroidered Electrodes
Selecting the right type of electrode and monitoring skin electrode impedance are crucial steps in Selecting the right type of electrode and monitoring skin electrode impedance are crucial steps in EMG monitoring. Low skin electrode impedance is desirable for accurate and reliable EMG signal recording, while high impedance can lead to signal quality issues and unreliable readings. Healthcare professionals pay close attention to electrode performance to ensure the accuracy of EMG data, which is vital for monitoring muscle conditions and guiding patient care. Here, we developed new embroidered electrodes with satin and fill stitch techniques for an optimal signal to noise ratio (SNR), and average rectified value (ARV). The impedance characteristics of wetted electrodes were carried out after 1 h of wetting under normal environmental condition. The large satin with ring circle embroidered electrode of wetted 3D knit (W-3D knit), wetted nonwoven (W-nonwoven), and wetted microfiber (W-microfiber) performed better than dry satin stitch electrodes. Its performance was almost the same as that of the gel electrode (Ag/AgCl) as shown by the impedance result (Figure 3). The impedance characteristics of dry, and wet 3D knit based embroidered electrodes are better than that of the microfiber, and nonwoven sandwiched electrode. This is due to the fact that 3D knit fabric has high recoverability on compression to retain moisture as confirmed from contact angle tests conducted on the three filling textile. However, the nonwoven fabric held the moisture for longer time without transferring it to the skin as needed, that made the impedance characteristics of it lower than that of W3D as observed from the results see Figure 3. Whereas, the large satin stitch dry sandwiched electrode performs better than normal satin stitch embroidered electrode. The inter electrode distance for all types of electrodes used were kept at 25 mm with an electrode diameter of 20 mm. Detail evaluation, and further analysis for sustainable long term sEMG monitoring application is under study.
Figure 3.
Impedance of the hydrogel electrode, Standard stitch dry textile electrode, fill stitch dry and wet textile electrode (w-textile electrode) tested on arm muscle.
3.2. sEMG Measurement and Data Processing
In the comparison of the normal satin stitch embroidered electrode technique, the recorded EMG signal was found to be of lesser quality compared to that of electrodes developed with different types of filling textile (3D Knit, Nonwovenand Microfiber)sandwiched large satin stitch embroidery method. This disparity can be attributed to the discomfort experienced with the satin stitch embroidered electrodes when placed on the skin. Additionally, the sEMG signals recorded using the 3D knitted large satin stitch textile sandwiched embroidered dry electrode exhibited greater stability compared to other electrodes, such as NW and MF (see Figure 4).
Figure 4.
sEMG raw, and filtered signals obtained via Ag/AgCl (a), wet electrode after 1 h of drying for W3D (b), WNW (c), WMF (d).
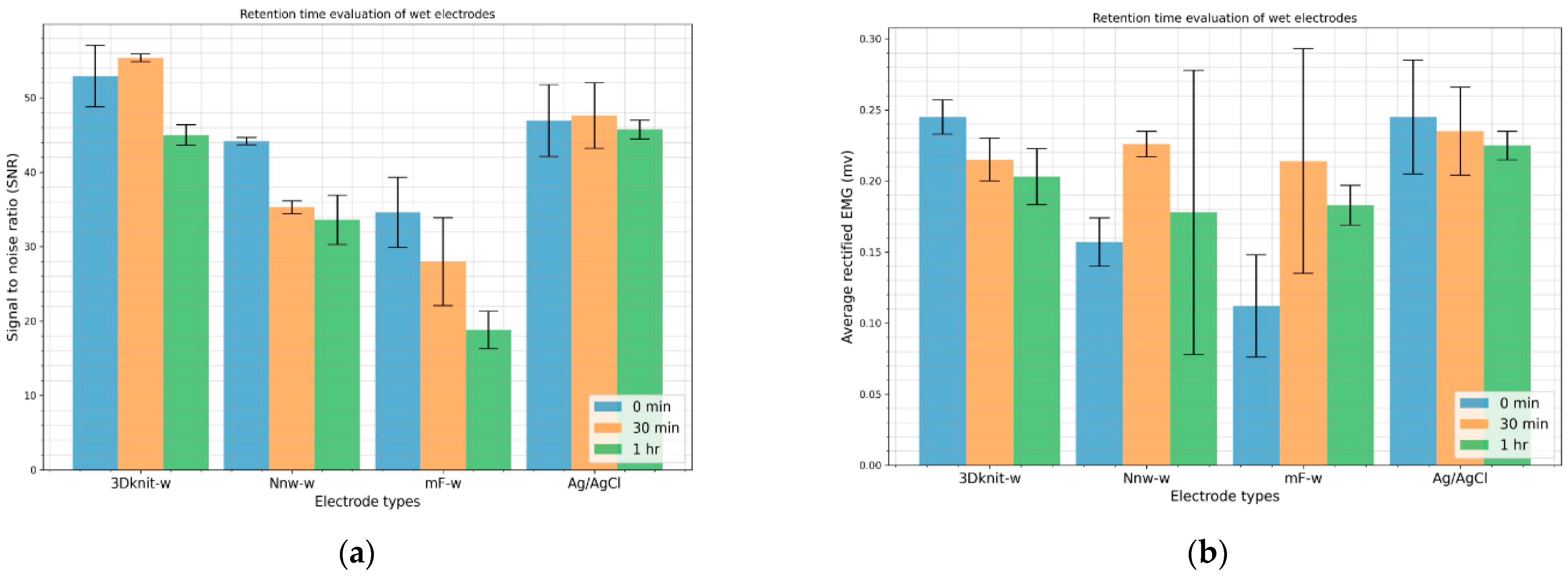
Consequently, the signal strength provided by the normal satin stitch electrodes was also insufficient in comparison with other electrode types. Recognizing this limitation, efforts were made to enhance the monitoring stability of the developed textile electrode. To achieve this, we conducted evaluations under both wet and dry conditions to compare the drying time for all sandwiched electrodes. The results indicated that the D3W electrode exhibited higher long-term moisture performance compared to other sandwiched filling textiles see Figure 5. This can be attributed to the high recoverability of the 3D knit fabric, which retains moisture for a longer duration and outperformed microfiber and nonwoven fabrics. Moreover, the electrode’s ability to retain moisture for an extended period was found to be directly related to the properties of the filling textile used in fill stitched area of the electrode. Notably, the 3D knit fabric emerged as the most effective choice for long-term moisture retention. These findings highlight that the sEMG signal detected by the 3D knit filling fabric-based electrode was significantly stronger than that of the other two types, even when they shared similar characteristics such as shape, inter-electrode distance (IED), and electrode size.
Figure 5.
Plot represents the means and the standard deviation of the three wet electrode types at different retention time for the same holding pressure (a), signal to noise ratio (SNR), and (b), averaged rectified value effects.
4. Conclusions
The study revealed that moisture retention time, filling textile types, and the same holding pressure, individually affect the, impedance characteristics, SNR and ARV measurements of sEMG significantly. The SNR and ARV measurements of sEMG monitoring was 54.93 dB, and 0.195 mv for the optimised parametric values; with moisture retention time 60 min, holding Pressure 12 mmHg, and filling fabric type 3D knit. The current study implies that among the developed embroidered electrode with three different filling textiles such as 3D knit, microfiber, and nonwoven fabric, the wetted 3D knit outperformed other types. Thus, this study shows the improvement in the moisture retaining properties of textile based embroidered electrodes using different types of filling textiles that maintain wetness property independent of the surroundings environments and individual parameters.
Author Contributions
All authors contributed to the study research design. B.B.E.: conceptualization, prepared Embroidered Textile electrode, data collection, analysis and interpretation of data, drafted the manuscript; B.M. and J.K.: Validation, proofreading, and editing of the manuscript, analyzed experimental results, and edited the paper; L.V.L.: supervised and administered the project. All authors have read and agreed to the published version of the manuscript.
Funding
The authors would like to express appreciation for the support of the NASCERE. The NASCERE project was sponsored with funds from the Ethiopian Government.
Institutional Review Board Statement
The study was conducted in accordance with approved by the Institutional Review Board (or Ethics Committee) of Jimma University MSC/JiT/16/2014, 24 February 2022.
Informed Consent Statement
Informed consent was obtained from all subjects involved in the study.
Data Availability Statement
The datasets used and/or analyzed during the current study are available from the corresponding author upon reasonable request.
Acknowledgments
The authors gratefully acknowledge the support of Ghent University and Network for Advancement of Sustainable Capacity in Education and Research in Ethiopia (NASCERE) Project.
Conflicts of Interest
The authors declare that there is no conflict of interest.
Declarations
Ethics approval and consent to participate: the experimental procedures involving human subjects described according to Jimma University’s institutional review board (IRB) in this paper, followed the principles outlined in the Helsinki Declaration of 1975, as revised in 2000.
References
- Kannaian, T.; Neelaveni, R.; Thilagavathi, G. Design and Development of Embroidered Textile Electrodes for Continuous Measurement of Electrocardiogram Signals. J. Ind. Text. 2013, 42, 303–318. [Google Scholar] [CrossRef]
- Ohiri, K.A.; Pyles, C.O.; Hamilton, L.H.; Baker, M.M.; McGuire, M.T.; Nguyen, E.Q.; Osborn, L.E.; Rossick, K.M.; McDowell, E.G.; Strohsnitter, L.M.; et al. E-Textile Based Modular sEMG Suit for Large Area Level of Effort Analysis. Sci. Rep. 2022, 12, 9650. [Google Scholar] [CrossRef]
- Papaiordanidou, M.; Takamatsu, S.; Rezaei-Mazinani, S.; Lonjaret, T.; Martin, A.; Ismailova, E. Cutaneous Recording and Stim-ulation of Muscles Using Organic Electronic Textiles. Adv. Healthc. Mater. 2016, 5, 2001–2006. [Google Scholar] [CrossRef] [PubMed]
- Stewart, A.M.; Pretty, C.G.; Chen, X. An Evaluation of the Effect of Stimulation Parameters and Electrode Type on Bicep Muscle Response for a Voltage-Controlled Functional Electrical Stimulator. IFAC-PapersOnLine 2017, 50, 15109–15114. [Google Scholar] [CrossRef]
- Zhou, H.; Lu, Y.; Chen, W.; Wu, Z.; Zou, H.; Krundel, L.; Li, G. Stimulating the Comfort of Textile Electrodes in Wearable Neuromuscular Electrical Stimulation. Sensors 2015, 15, 17241–17257. [Google Scholar] [CrossRef] [PubMed]
- An, X.; Tangsirinaruenart, O.; Stylios, G.K. Investigating the Performance of Dry Textile Electrodes for Wearable End-Uses. J. Text. Inst. 2019, 110, 151–158. [Google Scholar] [CrossRef]
- Yang, K.; Freeman, C.; Torah, R.; Beeby, S.; Tudor, J. Screen Printed Fabric Electrode Array for Wearable Functional Electrical Stimulation. Sens. Actuators A Phys. 2014, 213, 108–115. [Google Scholar] [CrossRef]
- Liu, M.; Ward, T.; Young, D.; Matos, H.; Wei, Y.; Adams, J.; Yang, K. Electronic Textiles Based Wearable Electrotherapy for Pain Relief. Sens. Actuators A Phys. 2020, 303, 111701. [Google Scholar] [CrossRef]
- Puurtinen, M.M.; Komulainen, S.M.; Kauppinen, P.K.; Malmivuo, J.A.V.; Hyttinen, J.A.K. Measurement of Noise and Impedance of Dry and Wet Textile Electrodes, and Textile Electrodes with Hydrogel. In Proceedings of the International Conference of the IEEE Engineering in Medicine and Biology Society, New York, NY, USA, 30 August–3 September 2006; pp. 6012–6015. [Google Scholar]
- Crema, A.; Malesevic, N.; Furfaro, I.; Raschella, F.; Pedrocchi, A.; Micera, S. A Wearable Multi-Site System for NMES-Based Hand Function Restoration. IEEE Trans. Neural Syst. Rehabil. Eng. 2017, 26, 428–440. [Google Scholar] [CrossRef] [PubMed]
- Euler, L.; Guo, L.; Persson, N.-K. Textile Electrodes: Influence of Knitting Construction and Pressure on the Contact Impedance. Sensors 2021, 21, 1578. [Google Scholar] [CrossRef] [PubMed]
- Poboroniuc, M.-S.; Irimia, D.-C.; Curteza, A.; Cretu, V.; Macovei, L. Improved Neuroprostheses by Means of Knitted Textiles Electrodes Used for Functional Electrical Stimulation. In Proceedings of the 2016 International Conference and Exposition on Electrical and Power Engineering (EPE), Iasi, Romania, 20–22 October 2016; pp. 320–325. [Google Scholar]
- Paiva, A.; Carvalho, H.; Catarino, A.; Postolache, O.; Postolache, G. Development of Dry Textile Electrodes for Electromiography a Comparison between Knitted Structures and Conductive Yarns. In Proceedings of the 2015 9th International Conference on Sensing Technology (ICST), Auckland, New Zealand, 8–10 December 2015; pp. 447–451. [Google Scholar]
- Rattfalt, L.; Chedid, M.; Hult, P.; Linden, M.; Ask, P. Electrical Properties of Textile Electrodes. In Proceedings of the 29th Annual International Conference of the IEEE Engineering in Medicine and Biology Society, Lyon, France, 22–26 August 2007; pp. 5735–5738. [Google Scholar]
- Kim, H.; Kim, S.; Lim, D.; Jeong, W. Development and Characterization of Embroidery-Based Textile Electrodes for Surface EMG Detection. Sensors 2022, 22, 4746. [Google Scholar] [CrossRef]
Disclaimer/Publisher’s Note: The statements, opinions and data contained in all publications are solely those of the individual author(s) and contributor(s) and not of MDPI and/or the editor(s). MDPI and/or the editor(s) disclaim responsibility for any injury to people or property resulting from any ideas, methods, instructions or products referred to in the content. |
© 2024 by the authors. Licensee MDPI, Basel, Switzerland. This article is an open access article distributed under the terms and conditions of the Creative Commons Attribution (CC BY) license (https://creativecommons.org/licenses/by/4.0/).




