Next Article in Journal
Green Synthesis of Fluorescent Carbon Dots through Solvothermal Treatment of Buchnania lanzan Leaf Extract
Previous Article in Journal
Synthesis of Dibenzylbutane and 9,8′-Neo-Lignans via Cyclometalation of Allylbenzene by EtAlCl2 and Mg in the Presence of Zr ansa-Complexes
 
 
Font Type:
Arial Georgia Verdana
Font Size:
Aa Aa Aa
Line Spacing:
Column Width:
Background:
Proceeding Paper

Ti(O-iPr)4-EtMgBr-Catalyzed Reaction of Dialkyl-Substituted Alkynes with Et2Zn †

Institute of Petrochemistry and Catalysis of Russian Academy of Sciences, 141 Prospekt Oktyabrya, 450075 Ufa, Russia
*
Author to whom correspondence should be addressed.
Presented at the 25th International Electronic Conference on Synthetic Organic Chemistry, 15–30 November 2021; Available online: https://ecsoc-25.sciforum.net/.
Chem. Proc. 2022, 8(1), 61; https://doi.org/10.3390/ecsoc-25-11639
Published: 12 November 2021

Abstract

:
For the first time, the Ti(O-iPr)4-EtMgBr carbozincation of dialkyl-substituted alkynes with Et2Zn was carried out. It was found that the reaction of 1,2-disubstituted alkynes (5-decyne, 4-octyne, 3-hexyne) with Et2Zn is accompanied by the regioselective formation of stereoisomeric tetra-alkyl-substituted hexa-1,3-diene derivatives in high yield. It was also found that the 2-zincoethylzincation of dialkyl-substituted alkynes in the presence of catalytic amounts of Ti(O-iPr)4 and EtMgBr does not stop at the stage of ethylzincation of the triple bond, but is accompanied by the involvement of a second alkyne molecule with the formation of two stereoisomeric hexa-1,3-diene derivatives. The effect of the solvent on the carbozincation of the dilkyl-substituted alkynes under the conditions of titanium-magnesium catalysis was studied.

1. Introduction

The catalytic reaction of the carbozincation of alkynes is an effective tool for the synthesis of multi-substituted olefins of various structures. The high tolerance of organozinc reagents to the presence of functional groups in the structure of the acetylene molecule allowed us, for the first time, to perform the Ti(O-iPr)4-EtMgBr-catalyzed 2-zincoethylzincation of such heterofunctional alkynes as 1-alkynylphosphines, 2-alkynylamines [1], and the ethylzincination of 1-alkynyl phosphine sulfides [2]. Negishi was the first to use a catalytic system based on Ti(O-iPr)4 and EtMgBr for the carbocyclization of non-functionalized and oxygen-containing enynes [3]. Despite the wide range of currently known catalytic systems for the carbozincation of functionally substituted alkynes using dialkyl and halogen-containing zinc derivatives, the carbozincation of non-activated alkynes is poorly developed. The literature [3] describes the only example of the Cp2ZrCl2-EtMgBr-catalyzed regio- and stereoselective 2-zincoethylzincation of 5-decyne with Et2Zn. In this work, we studied the Ti(O-iPr)4-EtMgBr-catalyzed reaction of dialkyl-substituted alkynes with Et2Zn for the first time.

2. Results and Discussion

We found that the reaction of dialkyl-substituted alkynes 1 (5-decyne, 4-octyne, 3-hexyne) with 2.5 equivalents of Et2Zn (1 M in hexanes) in the presence of 15 mol.% Ti(O-iPr)4, (0.3 M in hexanes) and 20 mol.% EtMgBr (2.5 M in Et2O) in hexane solution at room temperature for 6 h, after deuterolysis or hydrolysis, gave stereoisomeric hexa-1,3-diene derivatives 2,3,4 in a ratio of ~1.5:1 (Scheme 1). The structure of the resulting compounds was established using 1D- and 2D-NMR spectroscopy of the products of their deuterolysis 4 and hydrolysis 2,3. It should be emphasized that a hexane–diethyl ether (in an approximate volume ratio of ~30:1) solvent system was used, since the Grignard reagent used in the reaction was a 2.5 M solution in Et2O. It was found that the reaction proceeded equally effectively in a solution of a mixture of methylene chloride with diethyl ether (hexane was replaced by methylene chloride). According to [4], the reaction of 5-decyne with Et2Zn in the diethyl ether—hexane solvent system in the presence of catalytic amounts of Ti(O-iPr)4 and EtMgBr followed the classical route of the carbozincation reaction and led to the formation of the product of 2-zincoethylzincation. However, the reaction of 5-decyne with a reaction system consisting of 2.5 equiv. of Et2Zn, 10 mol.% Ti (O-iPr)4, and 20 mol.% EtMgBr in a solution of a mixture of diethyl ether—hexane (approximate volume ratio 1:1) at 23 °C proceeded slowly. The formation of (Z)-5-ethyl-5-decene with a yield of 64% was observed only after 4 days, provided that an additional portion of Ti(O-iPr)4 in the amount of 10 mol% was added to the reaction system after 24 h.
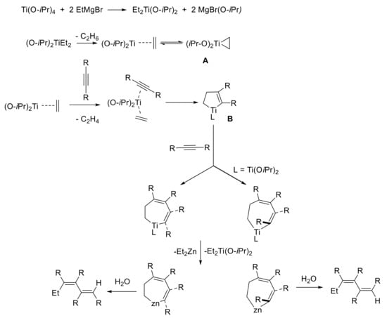
We believe that the formation of the tetra-alkylhexa-1,3-diene derivatives in the studied reaction occurred as follows. According to Scheme 2, a rapid ligand exchange between titanium (IV) isopropoxide and ethylmagnesium bromide gave an unstable diethyltitanium compound, which was further converted into a titanacyclopropane intermediate (titanium (II)-ethylene complex). Kulinkovich was the first to suggest the generation of a titanacyclopropane intermediate upon the interaction of Grignard reagents with titanium (IV) alkoxides [5]. According to Scheme 2, the further insertion of the triple bond of alkyne at the Ti-C bond of the titanacyclopropane intermediate A led to the formation of the titanium-cyclopentene intermediate B. As a result of the deuterolysis of the carbometallation reaction of 5-decyne, we obtained a mixture of two dideuterated compounds: (5E, 7E)-6,7-dibutyl-5-(ethyl-2-d)dodeca-5,7-diene-8-d 4a and (5E, 7Z)-6,7-dibutyl-5-ethyldodeca-5,7-diene 4b. Based on the observed regiochemistry of the reaction, we assumed that the formation of the diene occurred as a result of the insertion of the triple bond of the second acetylene molecule at the Ti-C(sp2) bond of the titanium cyclopentene intermediate B. We believe that the metal–carbon bond of intermediate B, where the titanium atom was bonded to the more nucleophilic sp2-hybridized carbon atom, was more reactive towards the second alkyne molecule. The process of insertion of the second molecule of the acetylene substrate proceeded non-stereoselectively, which led to the formation of the second stereoisomer: (5E, 7Z)-6,7-dibutyl-5-ethyldodeca-5,7-diene. Further trans-metalation of tetralkyltitanacyclohepta-2,4-diene and subsequent hydrolysis led to the formation of a mixture of stereoisomers: (5E, 7E)-6,7-dibutyl-5-ethyldodeca-5,7-diene and (5E, 7Z)-6,7-dibutyl-5-ethyldodeca-5,7-diene in a 1.5:1 ratio.

3. Conclusions

It was found that the Ti(O-iPr)4-EtMgBr-catalyzed reaction of dialkyl-substituted alkynes (5-decyne, 4-octyne, 3-hexyne) with Et2Zn in hexane-diethyl ether or methylene chloride-diethyl ether solution system was accompanied by the quantitative formation of stereoisomeric tetraalkyl-substituted-1,3-diene derivatives in a ratio of ~1.5:1. A mechanism has been proposed for the conversion of dialkyl-substituted alkynes into hexa-1,3-dienes under the conditions of Ti-Mg-catalyzed organozinc synthesis.

4. Experimental Part

The reagents were obtained from Sigma-Aldrich or Acros. Hexane and dichloromethane were distilled over P2O5. Diethyl ether was dried over sodium. Nuclear magnetic resonance spectroscopy was performed on a Brucker Avance 500. The 1H NMR spectra were recorded at 500 MHz and 13C-{1H} NMR spectra at 100 MHz in CDCl3. The chemical shifts are reported in ppm relative to tetramethylsilane (TMS) as the internal standard. Elemental analysis was performed using a Carlo-Erba CHN 1106 elemental analyzer. Mass spectra were obtained on a Finnigan 4021 instrument.
The typical procedure for (5E,7E)-6,7-dibutyl-5-ethyldodeca-5,7-diene (3a) and (5E,7Z)-6,7-dibutyl-5-ethyldodeca-5,7-diene (3b) was completed as follows. To a solution of 276 mg of dec-5-yne (2 mmol) and Et2Zn (1 M in hexanes, 5 mL, 5 mmol) in hexane (6 mL), Ti(O-iPr)4 (0.5 M in hexanes, 0.6 mL, 0.3 mmol) was added. Ethylmagnesiurn bromide (2.5 M in Et2O, 0.16 mL, 0.4 mmol) was then added and the reaction mixture rapidly turned black. After 18 h at 23 °C, the reaction mixture was diluted with Et2O (5 mL), and 25 wt% KOH solution (3 mL) was added dropwise while the reaction flask was cooled in an ice bath. The aqueous layer was extracted with diethyl ether (3 × 5 mL). The combined organic layers were washed with brine (10 mL) and dried over anhydrous CaCl2. The reaction mixture was filtered through a filter paper and concentrated in vacuo to give the crude product as a yellow oil. The residue was distilled through a micro column at 1 mmHg to afford 3a and 3b (559 mg, 91%) as a colorless oil. b.p. 159–161 °C. 1H NMR (500 MHz, CDCl3): δ = 0.86–0.99 (m, 15H), 1.28–1.43 (m, 8H), 1.99–2.08 (m, 18H), 4.99–5.03 (q, J = 14 Hz, J = 7.05 Hz, 18H). 13C NMR (500 MHz, CDCl3): δ = 13.58 (1C), 13.92, 13.89* (1C), 14.04 (1C), 14.54, 14.34* (1C), 14.65, 14,63* (1C), 21.38 (1C), 21.83, 21.77* (1C), 22.08 (1C), 22.68 (1C), 23.26, 23.24* (C(1)), 25.64 (1C), 29.85 (1C), 29.89 (1C), 31.89 (1C), 32.04 (C1), 32.13 (1C), 32.26, 32.22* (1C), 34.89 (1C), 127.44, 127.27* (1C), 136.05, 135.75* (1C), 137.71, 137,48* (1C), 140.06, 139.94 (1C). MS (EI): m/z, % = 204 (15) [M+], 161 (11), 147 (13), 117 (18), 105 (100). Anal. calcd for C22H42, (%): C, 86.19; H, 13.81; Found, %: C, 86.25; H, 13.77. (5E,7E)-6,7-dibutyl-5-(ethyl-2-d)dodeca-5,7-diene-8-d (4a) and (5E,7Z)-6,7-dibutyl-5-(ethyl-2-d)dodeca-5,7-diene-8-d (4b). Using the procedure described above, 276 mg of dec-5-yne (2 mmol) and D2O (instead of H2O) gave a crude product that was distilled through a micro column at 1,2 mmHg to afford 4a and 4b (531 mg, 86%) as a colorless oil. b.p. 160–162 °C (1,2 mmHg). 1H NMR (500MHz, CDCl3): δ = 0.89–0.94 (m, 6H), 0.97–1.02 (m, 2H), 1.31–1.36 (m, 8H), 1.99–2.04 (m, 6H). 13C NMR (500MHz, CDCl3): δ = 12.49–12.95 (1C), 14.06 (2C), 22.44 (1C), 22.87 (1C), 27.26, 27,37* (1C), 29.42, 29.49* (1C), 29.91 (1C), 30.79 (1C), 32.42 (1C), 122.89–123.44 (t, J = 22Hz, 1C), 140.96, 141.05* (1C) (GAM-155-2). Anal. calcd for C22H40D2, (%): C, 85.63; Found, %: C, 85.71.

Author Contributions

Conceptualization, R.N.K.; methodology, U.M.D.; software, O.S.M.; validation, A.M.G.; formal analysis, A.M.G.; investigation, A.M.G.; resources, I.R.R.; data curation, R.N.K.; writing—original draft preparation, R.N.K.; writing—review and editing, I.R.R.; visualization, R.N.K.; supervision, U.M.D.; project administration, R.N.K.; funding acquisition, R.N.K. All authors have read and agreed to the published version of the manuscript.

Funding

The study was supported by the Russian Science Foundation (grant No. 19-73-10113).

Institutional Review Board Statement

Not applicable.

Informed Consent Statement

Not applicable.

Data Availability Statement

Not applicable.

Acknowledgments

The authors thank the Shared Facility Center «Agidel», Institute of Pet-rochemistry and Catalysis, Russian Academy of Sciences, for the registration of NMR and mass spectra and for the elemental analysis of new compounds.

Conflicts of Interest

The authors declare no conflict of interest.

References

  1. Kadikova, R.N.; Ramazanov, I.R.; Mozgovoi, O.S.; Gabdullin, A.M.; Dzhemilev, U.M. 2-Zincoethylzincation of 2-alkynylamines and 1-alkynylphosphines catalyzed by titanium(IV) isopropoxide and ethylmagnesium bromide. Synlett 2019, 30, 311–314. [Google Scholar] [CrossRef]
  2. Kadikova, R.N.; Gabdullin, A.M.; Mozgovoi, O.S.; Dzhemilev, U.M. NbCl5-Mg reagent system in regio- and stereoselective synthesis of (2Z)-alkenylamines and (3Z)-alkenylols from substituted 2-alkynylamines and 3-alkynylols. Molecules 2021, 26, 3722. [Google Scholar] [CrossRef]
  3. Negishi, E.I.; Takahashi, T. Product Class 11: Organometallic Complexes of Zirconium and Hafnium. Sci. Synth. 2003, 2, 681–848. [Google Scholar] [CrossRef]
  4. Montchamp, J.-L.; Negishi, E.-I. Carbozincation of enynes catalyzed by titanium(IV) alkoxides and alkylmagnesium derivatives. J. Am. Chem. Soc. 1998, 120, 5345–5346. [Google Scholar] [CrossRef]
  5. Kulinkovich, O.G.; Sviridov, S.V.; Vasilevskii, D.A. Titanium(IV) isopropoxide-catalyzed formation of 1-substituted cyclopropanols in the reaction of ethylmagnesium bromide with methyl alkanecarboxylates. Synthesis 1991, 3, 234. [Google Scholar] [CrossRef]
Scheme 1. Ti (O-iPr)4-EtMgBr-catalyzed reaction of dialkyl-substituted alkynes with Et2Zn.
Scheme 1. Ti (O-iPr)4-EtMgBr-catalyzed reaction of dialkyl-substituted alkynes with Et2Zn.
Chemproc 08 00061 sch001
Scheme 2. The proposed mechanism of the carbozincation reaction of dialkyl-substituted alkynes.
Scheme 2. The proposed mechanism of the carbozincation reaction of dialkyl-substituted alkynes.
Chemproc 08 00061 sch002
Publisher’s Note: MDPI stays neutral with regard to jurisdictional claims in published maps and institutional affiliations.

Share and Cite

MDPI and ACS Style

Gabdullin, A.M.; Mozgovoj, O.S.; Kadikova, R.N.; Ramazanov, I.R.; Dzhemilev, U.M. Ti(O-iPr)4-EtMgBr-Catalyzed Reaction of Dialkyl-Substituted Alkynes with Et2Zn. Chem. Proc. 2022, 8, 61. https://doi.org/10.3390/ecsoc-25-11639

AMA Style

Gabdullin AM, Mozgovoj OS, Kadikova RN, Ramazanov IR, Dzhemilev UM. Ti(O-iPr)4-EtMgBr-Catalyzed Reaction of Dialkyl-Substituted Alkynes with Et2Zn. Chemistry Proceedings. 2022; 8(1):61. https://doi.org/10.3390/ecsoc-25-11639

Chicago/Turabian Style

Gabdullin, Azat M., Oleg S. Mozgovoj, Rita N. Kadikova, Ilfir R. Ramazanov, and Usein M. Dzhemilev. 2022. "Ti(O-iPr)4-EtMgBr-Catalyzed Reaction of Dialkyl-Substituted Alkynes with Et2Zn" Chemistry Proceedings 8, no. 1: 61. https://doi.org/10.3390/ecsoc-25-11639

APA Style

Gabdullin, A. M., Mozgovoj, O. S., Kadikova, R. N., Ramazanov, I. R., & Dzhemilev, U. M. (2022). Ti(O-iPr)4-EtMgBr-Catalyzed Reaction of Dialkyl-Substituted Alkynes with Et2Zn. Chemistry Proceedings, 8(1), 61. https://doi.org/10.3390/ecsoc-25-11639

Article Metrics

Back to TopTop