Abstract
Easily available 2-(bis(alkylthio)methylene)malononitriles react with cyanoacetamide or cyanothioacetamide to give 4-(alkylthio)-6-amino-2-oxo(thioxo)-1,2-dihydropyridine-3,5-dicarbonitriles. Upon treatment with primary amines and/or HCHO, the compounds undergo heterocyclization to afford new pyrido[1,2-a][1,3,5]triazines or ring-condensed 1,3,5,7-tetrazocine derivatives.
1. Introduction
Ketene-S,S-acetals derived from malononitrile (2-(bis(alkylthio)-methylene)malononitriles) are widely used in organic synthesis. These compounds readily react with various nucleophilic reagents, so they are often used for the synthesis of a number of heterocyclic compounds, such as pyrans, pyrroles, thiophenes, pyrazoles, pyridines and pyrimidines, etc. [1,2]. Ketene-S,S-acetals also show biological activity, they found an application in agriculture and medicine [1,2,3].
2. Results and Discussion
Aminomethylation of multifunctional heterocyclic substrates gives polycyclic products which are of interest as ligands or platform to build supramolecular systems. Earlier, we reported [4,5,6] the aminomethylation reaction of 6-amino-3,5,-dicyano-2-thioxo(oxo)-1,2-dihydropyridines leading to pyrido[1,2-a][1,3,5]triazines useful as perspective herbicides. The aim of the present study is to prepare new pyrido[1,2-a][1,3,5]triazines starting from ketene-S,S-acetals.
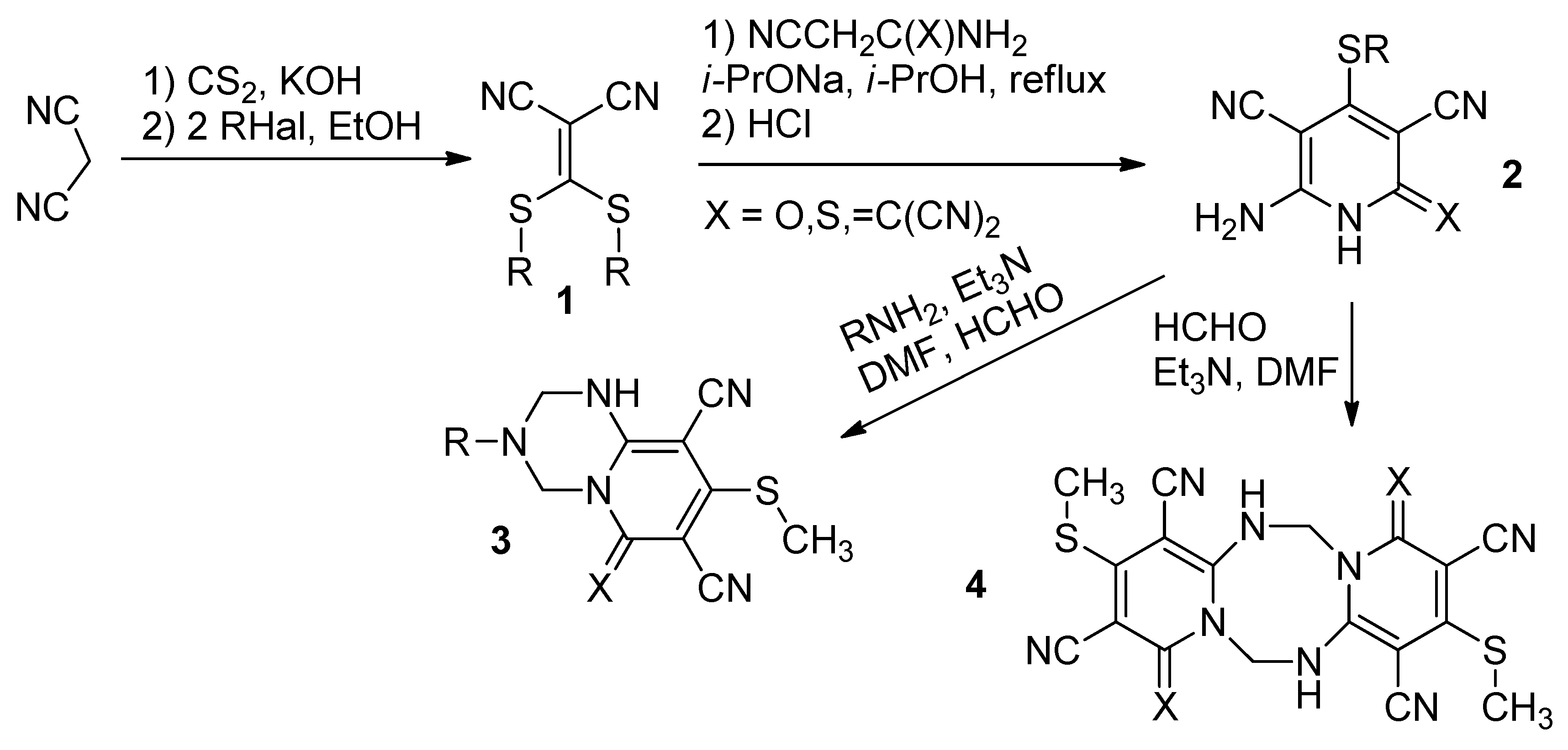
We prepared ketenedithioacetals 1 from carbon disulfide and malononitrile by known method [3]. Next, the reaction of the prepared ketendithioacetals 1 with active methylene compounds—cyanoacetamide [7,8,9] or cyanothioacetamide [7,10]—was performed. The reaction was carried out in i-PrOH in the presence of sodium isopropylate, followed by acidification with hydrochloric acid. The resulting 4-(alkylthio)-6-amino-2-oxo(thioxo)-1,2-dihydropyridine-3,5-dicarbonitriles 2 were treated with primary amines and HCHO. As a result, previously undescribed pyrido[1,2-a][1,3,5]triazines 3 were prepared. In the absence of primary amines, intermolecular aminomethylation occurs involving molecules 2 both as a substrate and as an aminomethylating agent predecessor to afford ring fused 1,3,5,7-tetrazocines 4 (Scheme 1).
Scheme 1.
The synthetic pathway to compounds 3 and 4.
3. Experimental
The following representative examples of practical procedures are given:
3.1. 6-Amino-4-(methylthio)-2-oxo-1,2-dihydropyridine-3,5-dicarbonitrile (2)

Sodium metal (0.3 g, 0.013 mol) was dissolved in absolute isopropanol (30 mL) placed in a round-bottom flask equipped with a reflux condenser. To the resulted solution, 0.84 g (0.01 mol) of cyanoacetamide and 1.7 g (0.01 mol) of 2-(bis (methylthio)methylene)malononitrile 1 were added. The mixture was refluxed for 3.5 h (Caution! Foul-smelling CH3SH evolved!). The precipitate of a sodium salt was filtered off, dissolved in water and treated dropwise with a solution of hydrochloric acid to adjust pH to 4.0. The precipitated solid was filtered off and washed with EtOH to give 1.1 g (53%) of 6-amino-4-(methylthio)-2-oxo-1,2-dihydropyridine-3,5-dicarbonitrile. M.p. > 240 °C.
IR spectrum (ν, cm−1): 3471 (NH); 2198 (2 CN); 1612 (C=C, C=N) (Figure 1).
Figure 1.
IR spectrum of 6-amino-4-(methylthio)-2-oxo-1,2 dihydropyridine-3,5-dicarbonitrile (2; R = CH3, X = O).
NMR 1H (δ, ppm, DMSO-d6): 2.70 (s, 3H, SCH3); 7.69 (br s, 2H, NH2); 11.73 (br s, 1H, NH). NMR 13C (δ, ppm, DMSO-d6): 162.2 (C=O); 159.5 (C6-NH2); 156.5 (C4); 116.2 (C≡N); 115.3 (C≡N); 90.2 (C3-CN); 76.3 (C5-CN); 17.9 (SCH3).
3.2. 3.,10-Bis(methylthio)-1,8-dithioxo-5,6,12,13-tetrahydro-1H,8H-dipyrido[1,2-a;1′,2′-e][1,3,5,7]tetrazocine-2,4,9,11-tetracarbonitrile (4, R = CH3, X = S)

A 50 mL beaker was charged with 0.3 g (0.0013 mol) of 4-(methylthio)-6-amino-2-thioxo-1,2-dihydropyridine-3,5-dicarbonitrile (2, R = CH3, X = S) and 30 mL of DMF. The solution was heated to reflux and then triethylamine (0.3 mL, 0.002 mol) was added. After the starting pyridine 2 dissolved completely, 0.53 mL (0.025 mol) of aq. HCHO (33%, d 1.1 g/mL) was added and the mixture was heated while stirring for another 2 h. Finally, the solution was poured into water and the precipitated solid was filtered off to give 3,10-bis(methylthio)-1,8-dithioxo-5,6,12,13-tetrahydro-1H,8H-dipyrido[1,2-a;1′,2′-e][1,3,5,7]tetrazocine-2,4,9,11-tetracarbonitrile. The yield was 300 mg (55%), m.p. > 250 °C. IR spectrum (ν, cm−1): 3459, 3344, 3232 (NH); 2195, 2166 (4 CN); 1651 (C=C, C=N); 1288, 1417 (C=S) (Figure 2).
Figure 2.
IR spectrum of 3,10-bis(methylthio)-1,8-dithioxo-5,6,12,13-tetrahydro-1H,8H-dipyrido[1,2-a;1′,2′- e][1,3,5,7]tetrazocine-2,4,9,11-tetracarbonitrile (4; R = CH3, X = S).
Author Contributions
Conceptualization, methodology, V.V.D., N.A.R.; synthesis, E.A.K.; analysis, V.V.D., N.A.A.; writing—original draft preparation, V.V.D.; writing—review and editing, V.V.D.; supervision, V.V.D., N.A.R.; funding acquisition, V.V.D. All authors have read and agreed to the published version of the manuscript.
Funding
The research was carried out with the financial support of the Kuban Science Foundation, scientific project No. MFI-20.1-26/20.
Conflicts of Interest
The authors declare no conflict of interest.
References
- Huang, L.; Wu, J.; Hu, J.; Bi, Y.; Huang, D. Ketene dithioacetals in organic synthesis. Tetrahedron Lett. 2020, 61, 151363. [Google Scholar] [CrossRef]
- Pan, L.; Bi, X.; Liu, Q. Recent developments of ketene dithioacetal chemistry. Chem. Soc. Rev. 2013, 42, 1251–1286. [Google Scholar] [CrossRef] [PubMed]
- Elgemeie, G.H.; Elzanate, A.M.; Elghandour, A.H.; Ahmed, S.A. Novel intramolecular cyclization of pyrazolone ketene S, N-acetals for the construction of methylsulfanylpyrazolo[4,3-b]pyridines. Synth. Commun. 2002, 32, 3509–3517. [Google Scholar] [CrossRef]
- Dotsenko, V.V.; Suikov, S.Y.; Pekhtereva, T.M.; Krivokolysko, S.G. Mannich reaction in the synthesis of N, S-containing heterocycles. 16. Synthesis of derivatives of tetrahydropyrido[1,2-a][1,3,5]triazine and 5,6,12,13-tetrahydro-1H,8H-dipyrido[1,2-a:1′,2′-e][1,3,5,7] tetrazocine. Chem. Heterocycl. Compd. 2013, 49, 1009–1023. [Google Scholar] [CrossRef]
- Khrustaleva, A.N.; Frolov, K.A.; Dotsenko, V.V.; Krivokolysko, S.G. Aminomethylation of 5-substituted 6-amino-2-oxo-1,2-dihydropyridine-3-carbonitriles. Russ. J. Org. Chem. 2014, 50, 1804–1808. [Google Scholar] [CrossRef]
- Khrustaleva, A.N.; Frolov, K.A.; Dotsenko, V.V.; Dmitrienko, A.O.; Bushmarinov, I.S.; Krivokolysko, S.G. Synthesis of Pyrido[1,2-a][1,3,5]Triazine Derivatives by Aminomethylation of 6-Amino-4-Aryl-2-Oxo-1,2-Dihydropyridine-3,5-Dicarbonitriles. Chem. Heterocycl. Compd. 2014, 50, 46–52. [Google Scholar] [CrossRef]
- Litvinov, V.P. Cyanoacetamides and their thio- and selenocarbonyl analogues as promising reagents for fine organic synthesis. Russ. Chem. Rev. 1999, 68, 737–763. [Google Scholar] [CrossRef]
- Fadda, A.A.; Bondock, S.; Rabie, R.; Etman, H.A. Cyanoacetamide derivatives as synthons in heterocyclic synthesis. Turkish J. Chem. 2008, 32, 259–286. [Google Scholar]
- Ghozlan, S.A.; Abdelmoniem, A.M.; Ramadan, M.A.; Abdelwahab, H.M.; Abdelrahman, M.G.M.; Abdelhamid, I.A. Synthesis, and synthetic applications of cyanoacetamides. Org. Chem. 2020, 297–399. [Google Scholar] [CrossRef]
- Dyachenko, V.D.; Dyachenko, I.V.; Nenajdenko, V.G. Cyanothioacetamide: A polyfunctional reagent with broad synthetic utility. Russ. Chem. Rev. 2018, 87, 1. [Google Scholar] [CrossRef]
Publisher’s Note: MDPI stays neutral with regard to jurisdictional claims in published maps and institutional affiliations. |
© 2020 by the authors. Licensee MDPI, Basel, Switzerland. This article is an open access article distributed under the terms and conditions of the Creative Commons Attribution (CC BY) license (https://creativecommons.org/licenses/by/4.0/).


