Next Article in Journal
Application of Eugenol-Derived Azo Dyes on Natural Textile Fabrics
Previous Article in Journal
Copper(II) Complexes of Hydrazone and Thiosemicarbazone Ligands: Synthesis, Characterization, Antibacterial and Antifungal Activity
 
 
Font Type:
Arial Georgia Verdana
Font Size:
Aa Aa Aa
Line Spacing:
Column Width:
Background:
Proceeding Paper

Comparative Study on the Catalytic Chloroacetylation of Phenol and Methoxyphenols Using FECL3 and FECL3·6H2O †

by
Ruzimurod Jurayev
1,*,
Azimjon Choriev
2 and
Anvar Abdushukurov
3
1
Department of Chemical Engineering, Shahrisabz Faculty of Food Engineering, Karshi State Technical University, 20, Shakhrisabz Str., Shakhrisabz 181306, Uzbekistan
2
Department of Organic Chemistry, Karshi State University, 17, Kuchabog Str., Karshi 180103, Uzbekistan
3
Department of Organic Chemistry, National University of Uzbekistan named after Mirzo Ulugbek, Tashkent 100174, Uzbekistan
*
Author to whom correspondence should be addressed.
Presented at the 29th International Electronic Conference on Synthetic Organic Chemistry, 14–28 November 2025; Available online: https://sciforum.net/event/ecsoc-29.
Chem. Proc. 2025, 18(1), 12; https://doi.org/10.3390/ecsoc-29-26671
Published: 11 November 2025

Abstract

The catalytic chloroacetylation of phenol and methoxyphenols was studied using FeCl3 and FeCl3·6H2O as Lewis acid catalysts to assess the effect of catalyst hydration on selectivity. Both catalysts effectively promoted the reaction, but FeCl3 favored O-acylation, while FeCl3·6H2O enhanced C-acylation to hydroxyphenacyl chlorides. Spectroscopic analyses (IR, UV–Vis, NMR) confirmed product structures and reaction pathways. Methoxy substitution significantly affected regioselectivity through resonance and inductive effects. The results demonstrate that catalyst hydration critically controls reactivity and product distribution, offering insights for selective synthesis of chloroacetylated aromatics relevant to pharmaceutical and fine chemical applications.

1. Introduction

Chloroacetylation of phenolic compounds remains one of the classical and practically significant reactions in synthetic organic chemistry, since it provides direct access to phenyl chloroacetates and hydroxyphenacyl chlorides—key intermediates in the design of pharmaceuticals, agrochemicals, and functional materials [1,2,3]. The general course of the reaction strongly depends on the nature of the catalyst, solvent polarity, and substrate substitution pattern. It has long been recognized that in nonpolar solvents such as benzene, phenol reacts with chloroacetyl chloride predominantly through O-acylation, affording phenyl chloroacetate in high yields (≈94%) [4]. Subsequent rearrangement of the ester under Lewis acid catalysis may lead to ortho- or para-hydroxyphenacyl chlorides according to the well-known Fries rearrangement mechanism [5,6].
The mechanistic competition between O-acylation and C-acylation has been the subject of numerous studies. Murashige and co-workers compared O-acylation, Friedel–Crafts acylation, and Fries rearrangement in detail, using triflic acid as a model catalyst [7]. Their findings highlight that ester-to-ketone rearrangement and direct C-acylation pathways become accessible under strongly activating conditions, while in less polar solvents or with milder Lewis acids, the O-acylated ester dominates. Such mechanistic insights are important benchmarks when evaluating FeCl3 and FeCl3·6H2O as catalysts.
Anhydrous ferric chloride (FeCl3) is one of the most frequently employed Lewis acid catalysts in Friedel–Crafts-type reactions, including acylations, rearrangements, and oxidative couplings [8]. The high Lewis acidity of FeCl3 arises from its ability to form activated acylium-like ion pairs such as [FeCl2]+[FeCl4] under suitable conditions [9]. In chloroacetylation of phenols, FeCl3 thus enhances the electrophilicity of the carbonyl carbon, promoting both O-acylation and subsequent rearrangement, depending on solvent polarity and temperature [10].
In contrast, ferric chloride hexahydrate (FeCl3·6H2O) exhibits significantly lower Lewis acidity because its coordination sphere is occupied by water ligands, shifting the behavior toward Brønsted-type acidity [11]. Nevertheless, recent reports have shown that FeCl3·6H2O can efficiently catalyze acetylation of alcohols, phenols, thiols, and amines with acetic anhydride under solvent-free conditions at room temperature, even at very low catalyst loadings [12]. This suggests that despite its reduced Lewis acidity, FeCl3·6H2O can activate acyl donors under mild conditions, making it a bench-stable, green alternative to anhydrous FeCl3 in some contexts [13].
Solvent polarity plays a decisive role in determining the outcome of chloroacetylation. In nonpolar solvents, ionic dissociation of chloroacetyl chloride is limited, and reactions proceed predominantly through nucleophilic substitution of the phenolic oxygen at the acyl carbon, affording O-acylates [4,14]. By contrast, in polar solvents or under stronger catalytic activation, rearrangements and direct aromatic acylations become significant. Substituent effects further modulate reactivity: in o-methoxyphenol, both hydroxyl and methoxy groups exhibit strong +M effects, raising electron density at ortho and para positions relative to the hydroxyl group. This leads to non-cooperative orientation and can promote formation of hydroxy-methoxyphenacyl chlorides alongside the O-acylate [15].
Phenyl chloroacetates are not only academic benchmarks but also valuable intermediates in industrial chemistry. Patents report solvent-free, high-yielding processes for phenol chloroacetylation, highlighting its scalability and economic attractiveness [16]. At the same time, sustainable catalysis has become a modern imperative: FeCl3 remains among the most cost-effective Lewis acids, yet the development of hydrate-based, room-temperature protocols under mild conditions reflects an increasing demand for greener alternatives [12,13,17].
Despite the long history of phenol and anisole acylations, direct comparative studies of FeCl3 and FeCl3·6H2O in chloroacetylation of phenol and methoxyphenols remain scarce. Most reports treat FeCl3 as a generic Lewis acid among others (AlCl3, ZnCl2, TiCl4), or focus on Fries rearrangements under harsh conditions [5,6,7]. By contrast, FeCl3·6H2O has been explored primarily for acetic anhydride-mediated acetylations [12,18], but its competence in activating chloroacetyl chloride—more reactive and rearrangement-prone—remains underexplored. Therefore, a focused comparative study will clarify whether FeCl3·6H2O can offer selectivity advantages (clean O-acylation, suppression of rearrangement) relative to FeCl3, while also shedding light on mechanistic differences arising from hydration.
Furthermore, in our previous studies, the O-chloroacetylation reactions of certain phenols were investigated under catalyst-free conditions [18,19]. In the present study, however, the focus has been placed on the chloroacetylation reactions carried out in the presence of catalysts.

2. Experimental Section

Thin-layer chromatography (TLC) on silica gel 60 F254 (MERCK, Hapur, Uttar Pradesh, India) plates was employed to monitor reaction progress, determine product composition, and assess purity. A petroleum ether–ethyl acetate (7:3) system served as the mobile phase, and spots were visualized under UV light. The crude products were purified by column chromatography using petroleum ether–ethyl acetate as the eluent. Precipitates obtained after quenching the reaction mixture in ice water were filtered and dried. FT-IR spectra were recorded on a Specord IR-71 spectrophotometer (Jena, Germany) (KBr pellet method), and 1H NMR spectra were acquired on a Bruker 400 MHz instrument (Billerica, MA, USA) with TMS as an internal standard. Melting points were measured by the open capillary method using an Mvtec apparatus (uncorrected) [20,21].
Synthesis of Phenylchloroacetate. (a) In a round-bottom flask equipped with a reflux condenser, 9.4 g (0.1 mol) of phenol was dissolved in 30 mL of pyridine, and 11.3 g (0.1 mol) of chloroacetyl chloride was added. The reaction mixture was refluxed, during which it turned deep red in color. Subsequently, 10 mL of diluted sulfuric acid solution was added, and the mixture was cooled with ice water. The reaction product separated as an oily layer. To remove pyridine, the mixture was treated with diethyl ether and diluted acid solution. The ether layer was separated, dried over CaCl2, and the solvent evaporated. The crude product was distilled under reduced pressure to give phenylchloroacetate. Yield: 10.2 g (60%). Boiling point: 120–122 °C/20 mmHg.
(b) In a round-bottom flask fitted with a reflux condenser connected to a gas outlet tube for hydrogen chloride, 9.4 g (0.1 mol) of phenol was dissolved in 50 mL of absolute benzene. To this solution, 11.3 g (0.1 mol) of chloroacetyl chloride was added, and the mixture was refluxed for 10 h. When hydrogen chloride evolution ceased, the mixture was washed with aqueous alkali, extracted with benzene, and dried over CaCl2. Benzene was removed under ambient conditions, and the product was distilled under reduced pressure (120–122 °C/20 mmHg). Yield: 16 g (94.1%).
(c) A mixture of 14.1 g (0.15 mol) of phenol, 5.65 g (0.05 mol) of chloroacetyl chloride, and 8.01 g (0.06 mol) of AlCl3 was treated at 0 °C according to the above procedure. The reaction afforded 5.95 g (70%) of phenylchloroacetate. Boiling point: 120–122 °C/20 mmHg.
Thin-layer chromatography (TLC) analysis of the products obtained by the three methods was performed using Silufol-254 plates as adsorbent, chloroform–methanol (20:1) as the eluent, and iodine vapor as the visualizing agent. The mixture of products was separated by column chromatography on Al2O3.
The composition of the fractions analyzed by TLC revealed that the ketone fraction consisted of approximately 80% o-methoxyphenylchloroacetate, 8% 2-hydroxy-3-methoxyphenacyl chloride, and 12% 4-hydroxy-3-methoxyphenacyl chloride.
(d) In a separate experiment, a mixture of 5.4 g (0.05 mol) of o-methoxyphenol, 5.65 g (0.05 mol) of chloroacetyl chloride, and 50 mL of benzene was refluxed for 30 h until the evolution of hydrogen chloride ceased. The reaction mixture was washed twice with aqueous alkali and twice with water, extracted with benzene, and dried over CaCl2. Benzene was removed by water-jet vacuum, and the product was distilled under reduced pressure. Boiling point: 130–135 °C/10 mmHg. Yield: 8 g (86.9%).
Column chromatography of this product indicated that it consisted of 95% o-methoxyphenylchloroacetate and 5% 2-hydroxy-3-methoxyphenacyl chloride.
The composition of the o-methoxyphenol chloroacetylation product obtained by the second method was also studied by TLC. For separation of the components, a solvent system consisting of CCl4:CHCl3 (1:1) was identified as optimal. The chromatogram showed two spots with Rf values of 0.68 and 0.26. The fraction with Rf = 0.68 was identified as o-methoxyphenylchloroacetate and was isolated by column chromatography on silica gel using CCl4:CHCl3 (1:1).
Synthesis of m-Methoxyphenylchloroacetate. In a round-bottom flask equipped with a reflux condenser, 10.8 g (0.1 mol) of m-methoxyphenol, 11.3 g (0.1 mol) of chloroacetyl chloride, and 100 mL of absolute benzene were placed and refluxed for 10 h. After the evolution of hydrogen chloride had ceased, the reaction mixture was washed twice with aqueous alkali, extracted with benzene, and dried over CaCl2. Benzene was removed using a water-jet vacuum, and m-methoxyphenylchloroacetate was distilled under reduced pressure. Yield: 17 g (92%). Boiling point: 145–150 °C/20 mmHg.
Synthesis of p-Methoxyphenylchloroacetate. A flask equipped with a reflux condenser and a glass outlet tube for hydrogen chloride was charged with 10.8 g (0.1 mol) of p-methoxyphenol, 11.3 g (0.1 mol) of chloroacetyl chloride, and 50 mL of benzene, and refluxed for 17 h. The reaction mixture was then washed twice with aqueous alkali, extracted with benzene, and dried over CaCl2. Benzene was evaporated under ambient conditions, and the product was distilled at 145–150 °C/20 mmHg to afford 16.2 g (87.7%) of p-methoxyphenylchloroacetate.
Analytical Data and Application. The purified phenylchloroacetate, together with o-, m-, and p-methoxyphenylchloroacetates obtained by the above procedures, were employed as reference compounds in the study of phenol and methoxyphenol isomer chloroacetylation and the subsequent rearrangement reactions of their chloroacetylated products.
Thin-layer chromatography (TLC) analysis demonstrated that in all three cases a single product was formed. The physicochemical constants of the isolated compounds were consistent with those reported in the literature for phenylchloroacetates.

3. Results and Discussion

Based on the results of the chloroacetylation reactions of phenol and isomeric methoxyphenols in the presence of small amounts of catalysts, it was established that the reaction yield depends on the relative amount of the starting phenol or methoxyphenol isomer (Scheme 1, Scheme 2, Scheme 3 and Scheme 4). To confirm this trend in the chloroacetylation of phenol and methoxyphenols, experiments were carried out under identical conditions (temperature 120–130 °C, catalyst loading 3 × 10−3 mol, reaction time 30 min) using FeCl3 and FeCl3·6H2O as catalysts. The experimental data are summarized in Table 1.
The obtained results indicate that when the molar ratio of phenol (or methoxyphenol) to chloroacetyl chloride is 1:1, the reaction yield is maximized. However, at a 2:1 ratio—i.e., when the amount of phenol or methoxyphenol is increased—a decrease in the reaction yield is observed. These findings are consistent with our previously obtained results.
This effect can be explained by the fact that increasing the proportion of phenol or methoxyphenol in the reaction mixture leads to the formation of products with higher molecular mass.
Phenol and cresols, being highly reactive substrates, undergo not only acylation but also polyalkylation reactions during chloroacetylation in the presence of Lewis acids. This side process becomes more pronounced when the proportion of phenol or methoxyphenol in the reaction mixture is increased, leading to the formation of higher molecular weight products. Consequently, the yield of the main product decreases. This conclusion is also supported by the fact that, after distillation of the reaction product, a considerable amount of residue remains in the flask, which cannot be readily distilled.
The decrease in the yield of chloroacetylphenols or chloroacetylmethoxyphenols, as well as the simultaneous increase in O-acylated by-products under the applied reaction conditions, can be attributed to these processes.
Previous research on acylation reactions has shown that the product yield depends on both the reactivity of the Lewis acid–acyl halide complex and the rate of decomposition of the ketone–catalyst complex. In this context, the higher catalytic activity of FeCl3 is associated with the easier decomposition of the ketone–FeCl3 complex.
In the chloroacetylation of phenol and isomeric methoxyphenols, FeCl3 was found to exhibit higher catalytic activity compared to FeCl3·6H2O. This difference can be explained by the negative influence of coordinated water molecules on the catalytic activity of FeCl3·6H2O.
According to the data presented in Table 1, the reactivity of phenol and methoxyphenols in chloroacetylation, as reflected by the reaction yields, increases in the following order:
Phenol < o-Methoxyphenol < p-Methoxyphenol < m-Methoxyphenol
The structures of the synthesized phenylchloroacetate and methoxy-substituted phenylchloroacetates were confirmed by IR, UV–Vis, and NMR spectroscopy (Table 2).
IR spectra (cm−1): All chloroacetylated products exhibited characteristic absorptions in the range of 1735–1745 cm−1, attributable to the ester carbonyl stretching vibration. The C–O–C asymmetric stretching bands appeared around 1230–1250 cm−1, while the symmetric C–O stretch was observed at 1050–1070 cm−1. Aromatic C=C stretching bands were identified near 1595–1610 cm−1. In methoxy derivatives, an additional strong absorption at 2830–2850 cm−1 confirmed the presence of OCH3 groups. The absence of broad O–H stretching in the 3300–3500 cm−1 region verified complete acylation of the phenolic hydroxyl groups.
1H-NMR spectra (δ, ppm, CDCl3): The ester methylene protons (–O–CH2–CO–) consistently appeared as a singlet at δ 4.65–4.80 ppm, confirming the formation of the chloroacetate moiety. Aromatic protons were observed in the δ 6.7–7.3 ppm range, with splitting patterns consistent with the substitution pattern of each isomer. In the methoxy-substituted derivatives, a singlet corresponding to the –OCH3 group was observed at δ 3.75–3.85 ppm. Notably, no phenolic OH signal was detected, supporting full conversion to the O-acylated product.
UV–Vis spectra (λmax, nm): Phenylchloroacetate showed an absorption maximum at 218–222 nm, characteristic of π–π* transitions in the aromatic ring. For methoxyphenyl derivatives, bathochromic shifts were observed with λmax values extending to 226–232 nm, attributable to conjugation between the methoxy substituent and the aromatic ring. These spectral shifts further supported successful chloroacetylation and substitution effects of the methoxy groups.
Taken together, the spectroscopic results (IR, 1H-NMR, UV–Vis) are in full agreement with the proposed structures of phenylchloroacetate and its o-, m-, and p-methoxy derivatives. These data confirm that, under catalytic conditions with FeCl3 and FeCl3·6H2O, the reactions predominantly yield O-acylated chloroacetate esters, consistent with the mechanistic discussion presented above.

4. Conclusions

The comparative investigation of the catalytic chloroacetylation of phenol and methoxyphenols demonstrated that the reaction outcome is strongly dependent on the catalyst employed and the substrate substitution pattern. Under identical conditions, FeCl3 exhibited higher catalytic activity than FeCl3·6H2O, which can be attributed to the negative influence of coordinated water molecules on the Lewis acidity of the hydrated salt.
Spectroscopic analyses (IR, 1H NMR, UV–Vis) confirmed the structures of the obtained phenylchloroacetate and methoxyphenylchloroacetates, verifying that the reactions predominantly proceed through O-acylation pathways. The absence of O–H stretching vibrations in the IR spectra, the presence of diagnostic methylene signals in the NMR spectra, and characteristic absorption maxima in the UV–Vis spectra all support the formation of chloroacetylated esters as the main products.
The catalytic study further revealed that reaction yields decrease when the substrate-to-chloroacetyl chloride molar ratio is increased from 1:1 to 2:1. This observation correlates with the enhanced probability of side processes, such as polyalkylation and formation of higher molecular weight by-products, thereby reducing the yield of the desired esters.
According to experimental data, the relative reactivity of phenolic substrates under the studied conditions follows the sequence:
Phenol < o-methoxyphenol < p-methoxyphenol < m-methoxyphenol.
These findings highlight the decisive role of both catalyst type and substitution pattern in governing the selectivity and efficiency of chloroacetylation. The results provide valuable insights into the design of catalytic systems for selective functionalization of phenolic compounds and can serve as a foundation for developing greener and more efficient synthetic strategies in fine chemical and pharmaceutical applications.

Author Contributions

Conceptualization, A.C. and R.J.; writing—original draft preparation, R.J. and A.A.; visualization, R.J. and A.A.; writing—review and editing, R.J. and A.A.; supervision, A.C. and R.J. contributed equally to this paper. All authors have read and agreed to the published version of the manuscript.

Funding

This work was funded by the Agency of innovative development under the Ministry of higher education, science and innovation of the Republic of Uzbekistan (Contract No. 65).

Institutional Review Board Statement

Not applicable.

Informed Consent Statement

Not applicable.

Data Availability Statement

The data presented in this study are available on request from the corresponding author.

Acknowledgments

The authors wish to acknowledge Karshi State University, Karshi, Uzbekistan, Karshi State Technical University, Karshi, Uzbekistan, National University of Uzbekistan named after Mirzo Ulugbek, Tashkent, Uzbekistan.

Conflicts of Interest

The authors declare no conflict of interest.

References

  1. Murashige, R.; Hayashi, Y.; Ohmori, S.; Torii, A.; Aizu, Y.; Muto, Y.; Murai, Y.; Oda, Y.; Hashimoto, M. Comparisons of O-acylation and Friedel–Crafts acylation of phenols and acyl chlorides and Fries rearrangement of phenyl esters in trifluoromethanesulfonic acid: Effective synthesis of optically active homatropine’s. Tetrahedron 2011, 67, 641–649. [Google Scholar] [CrossRef]
  2. Baier, D.M.; Rensch, T.; Bergheim, K.; Pietryga, V.; Grätz, S.; Borchardt, L. The Mechanochemical Fries Rearrangement: Manipulating Isomer Ratios in the Synthesis of p-Hydroxyacetophenone at Different Scales. Chem. Eur. J. 2023, 29, e202203931. [Google Scholar] [CrossRef] [PubMed]
  3. Tomifuji, R.; Maeda, K.; Takahashi, T.; Kurahashi, T.; Matsubara, S. FeCl3 as an Ion-Pairing Lewis Acid Catalyst. Formation of Highly Lewis Acidic FeCl2+ and Thermodynamically Stable FeCl4 To Catalyze the Aza-Diels–Alder Reaction with High Turnover Frequency. Org. Lett. 2018, 20, 7474–7477. [Google Scholar] [CrossRef] [PubMed]
  4. Jia, F.; Li, Z. Iron-catalyzed/mediated oxidative transformation of C–H bonds. Org. Chem. Front. 2014, 1, 194–214. [Google Scholar] [CrossRef]
  5. Persson, I. Ferric Chloride Complexes in Aqueous Solution: An EXAFS Study. J. Solut. Chem. 2018, 47, 797–805. [Google Scholar] [CrossRef] [PubMed]
  6. Baumler, S.M.; V, W.H.H.; Allen, H.C. Hydration of ferric chloride and nitrate in aqueous solutions: Water-mediated ion pairing revealed by Raman spectroscopy. Phys. Chem. Chem. Phys. 2019, 21, 19172–19180. [Google Scholar] [CrossRef] [PubMed]
  7. Eddine, N.J.; Jennen, F.; Kacem, Y.; Kraiem, J. Iron (III) Chloride Hexahydrate as a Highly Efficient Catalyst for Acetylation of Protic Nucleophiles with Acetic Anhydride under Solvent-free Conditions. Curr. Organocatal. 2021, 8, 162–171. [Google Scholar] [CrossRef]
  8. Fries Rearrangement. Organic-Chemistry.org. Available online: https://www.organic-chemistry.org/namedreactions/fries-rearrangement.shtm (accessed on 20 August 2025).
  9. Friedel–Crafts Acylation Mechanism. Master Organic Chemistry. Available online: https://www.masterorganicchemistry.com/friedel-crafts-acylation (accessed on 25 August 2025).
  10. Khan Academy. Friedel–Crafts Acylation. Available online: https://www.khanacademy.org/science/organic-chemistry/aromaticity/friedel-crafts (accessed on 22 August 2025).
  11. Dumas, D.J.; Krackov, M.H.; Sonnichsen, G.C. Improved Process for Preparing Phenyl Chloroacetate. World Patent WO 1992016491A1, 1 October 1992. Available online: https://patents.google.com/patent/WO1992016491A1 (accessed on 20 August 2025).
  12. Sarmah, P.; Das, B.K.; Phukan, P. Novel dicopper(II)-tetracarboxylates as catalysts for selective oxidation of benzyl alcohols with aqueous TBHP. Catal. Commun. 2010, 11, 932–935. [Google Scholar] [CrossRef]
  13. Heravi, M.M.; Zadsirjan, V.; Hamidi, H. Applications of Friedel–Crafts reactions in total synthesis. RSC Adv. 2018, 8, 26383–26424. [Google Scholar] [CrossRef] [PubMed]
  14. Ohata, J.; Patel, S.; O’Halloran, T.V. Friedel–Crafts reactions for biomolecular chemistry. Org. Biomol. Chem. 2024, 22, 4567–4581. [Google Scholar] [CrossRef] [PubMed]
  15. Rueping, M.; Nachtsheim, B.J.; Ieawsuwan, W. A review of new developments in the Friedel–Crafts alkylation—From green chemistry to asymmetric catalysis. Beilstein J. Org. Chem. 2010, 6, 6. [Google Scholar] [CrossRef] [PubMed]
  16. Kumar, V.; Sharma, A.; Singh, B. Recent Developments in Biocatalysts for Friedel–Crafts Reactions. ACS Catal. 2022, 12, 11245–11262. [Google Scholar] [CrossRef]
  17. Shivakumara, K.N. Review on friedel-crafts acylation of benzene derivatives using various catalytic systems. Int. J. Adv. Chem. Res. 2021, 3, 25–31. [Google Scholar] [CrossRef]
  18. Sartori, G.; Maggi, R. Advances in Friedel–Crafts Acylation Reactions: Catalytic and Green Processes; CRC Press: Boca Raton, FL, USA, 2009. [Google Scholar]
  19. Jurayev, R.S.; Choriev, A.U.; Qaxxorov, N.T. Effect and Spectroscopic Analysis of Solutions in Trychloratsetylpyrogallol Synthesis. Chem. Proc. 2023, 14, 80. [Google Scholar] [CrossRef]
  20. Choriev, A.U.; Jurayev, R.S.; Abdushukurov, A.K.; Abdullayev, M.G. Synthesis of 2-Izopropyl-5-methylphenylcarboxymethylen Tartrate. Eng. Proc. 2023, 37, 57. [Google Scholar] [CrossRef]
  21. Field, L.D.; Sternhell, S.; Kalman, J.R. Organic Structures from Spectra, 3rd ed.; Wiley: Hoboken, NJ, USA, 2003. [Google Scholar]
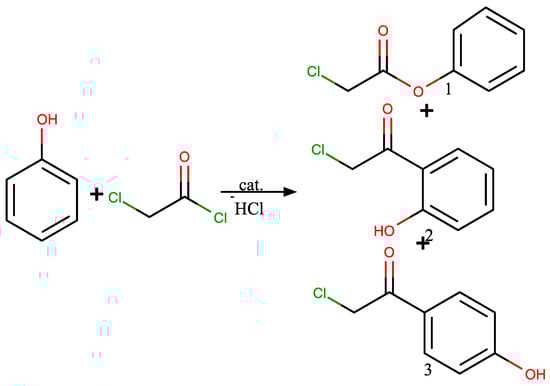
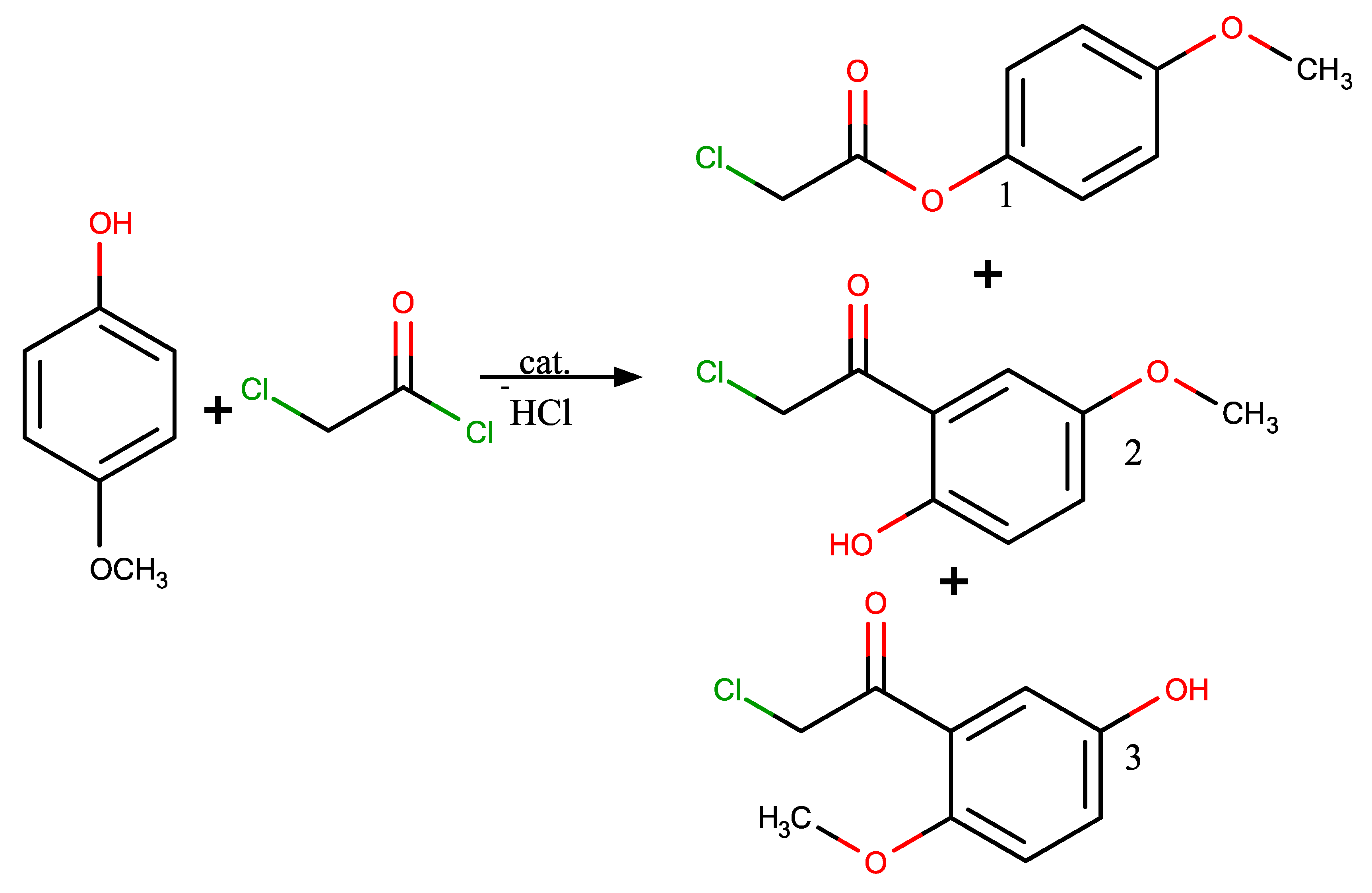
Scheme 1. React ion of phenol with chloracetyl chloride in the presence of a catalyst: 1: phenyl 2-chloroacetate; 2: 2-chloro-1-(2-hydroxyphenyl)ethenone; 3: 2-chloro-1-(4-hydroxyphenyl)ethenone.
Scheme 1. React ion of phenol with chloracetyl chloride in the presence of a catalyst: 1: phenyl 2-chloroacetate; 2: 2-chloro-1-(2-hydroxyphenyl)ethenone; 3: 2-chloro-1-(4-hydroxyphenyl)ethenone.
Chemproc 18 00012 sch001
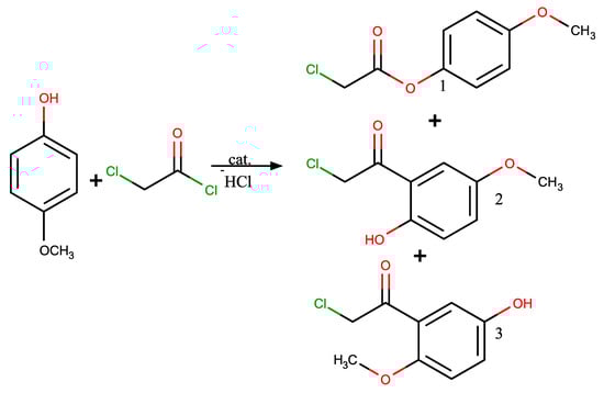
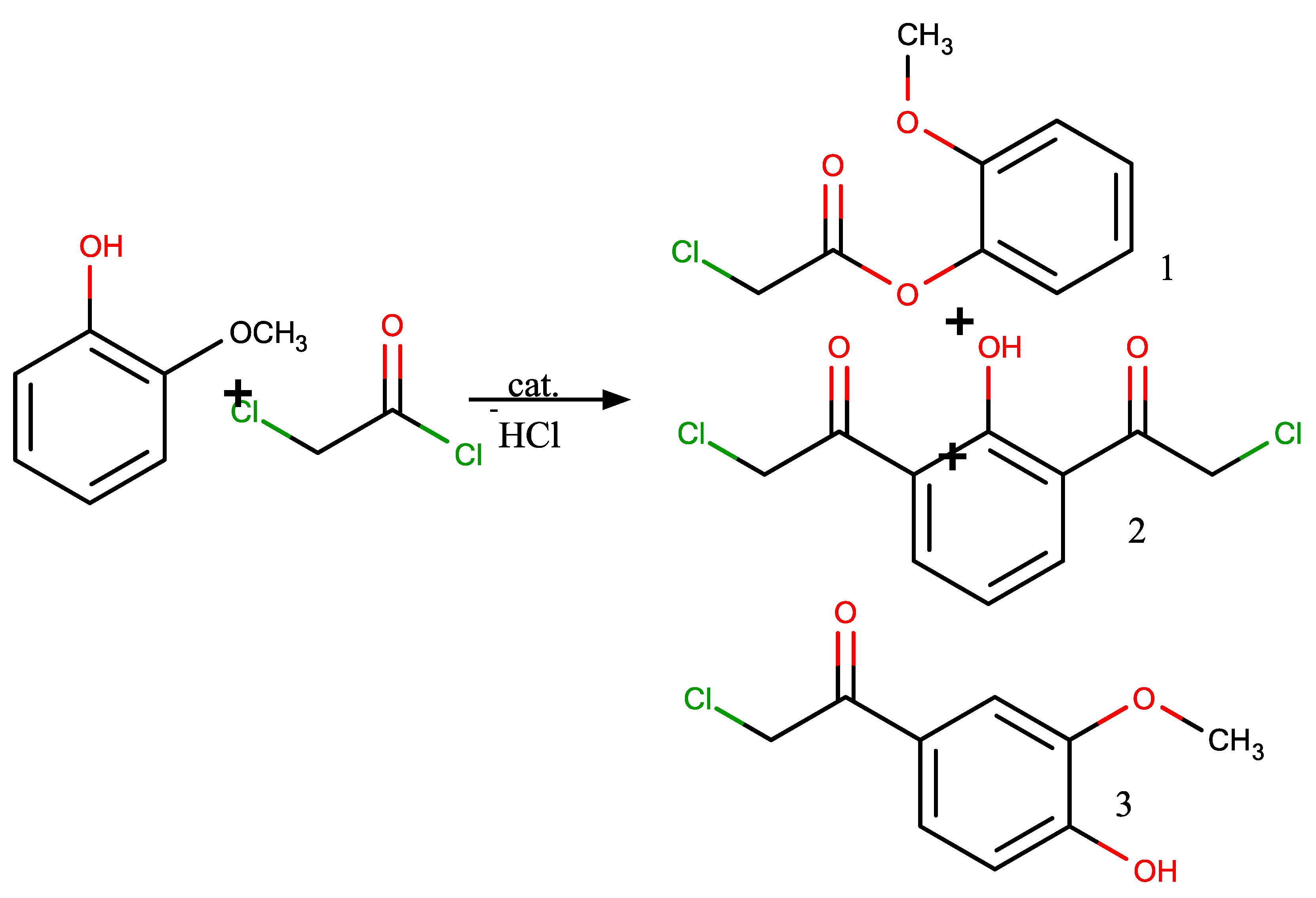
Scheme 2. React ion of o-methoxyphenol with chloracetyl chloride in the presence of a catalyst: 1: 2-methoxyphenyl 2-chloroacetate; 2: 1,1′-(2-hydroxy-1,3-phenylene)bis(2-chloroethanone); 3: 2-chloro-1-(4-hydroxy-3-methoxyphenyl)ethenone.
Scheme 2. React ion of o-methoxyphenol with chloracetyl chloride in the presence of a catalyst: 1: 2-methoxyphenyl 2-chloroacetate; 2: 1,1′-(2-hydroxy-1,3-phenylene)bis(2-chloroethanone); 3: 2-chloro-1-(4-hydroxy-3-methoxyphenyl)ethenone.
Chemproc 18 00012 sch002
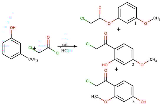
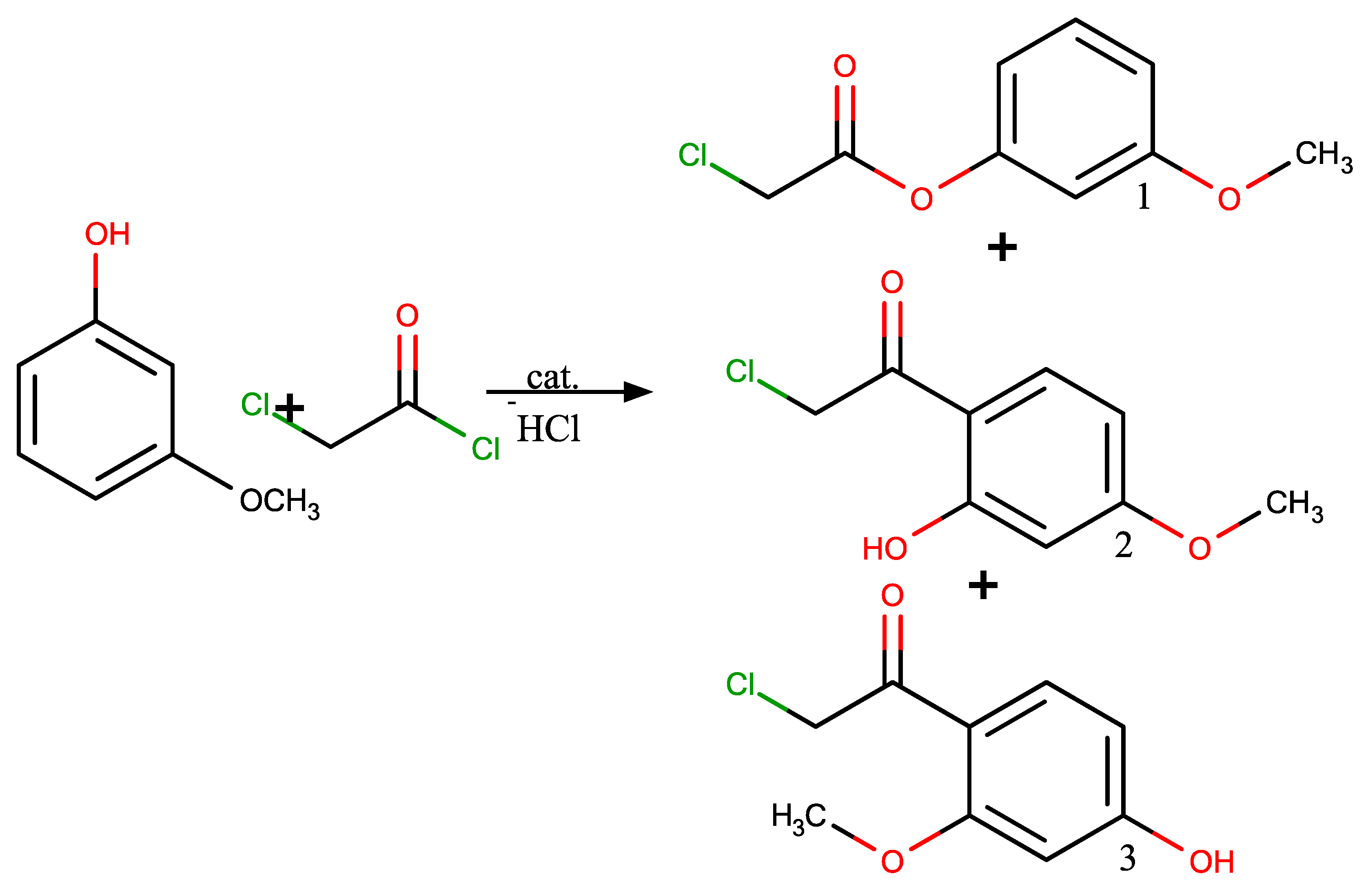
Scheme 3. React ion of m-methoxyphenol with chloracetyl chloride in the presence of a catalyst: 1: 3-methoxyphenyl 2-chloroacetate; 2: 2-chloro-1-(4-hydroxy-2-methoxyphenyl)ethanone; 3: 2-chloro-1-(2-hydroxy-4-methoxyphenyl)ethanone.
Scheme 3. React ion of m-methoxyphenol with chloracetyl chloride in the presence of a catalyst: 1: 3-methoxyphenyl 2-chloroacetate; 2: 2-chloro-1-(4-hydroxy-2-methoxyphenyl)ethanone; 3: 2-chloro-1-(2-hydroxy-4-methoxyphenyl)ethanone.
Chemproc 18 00012 sch003
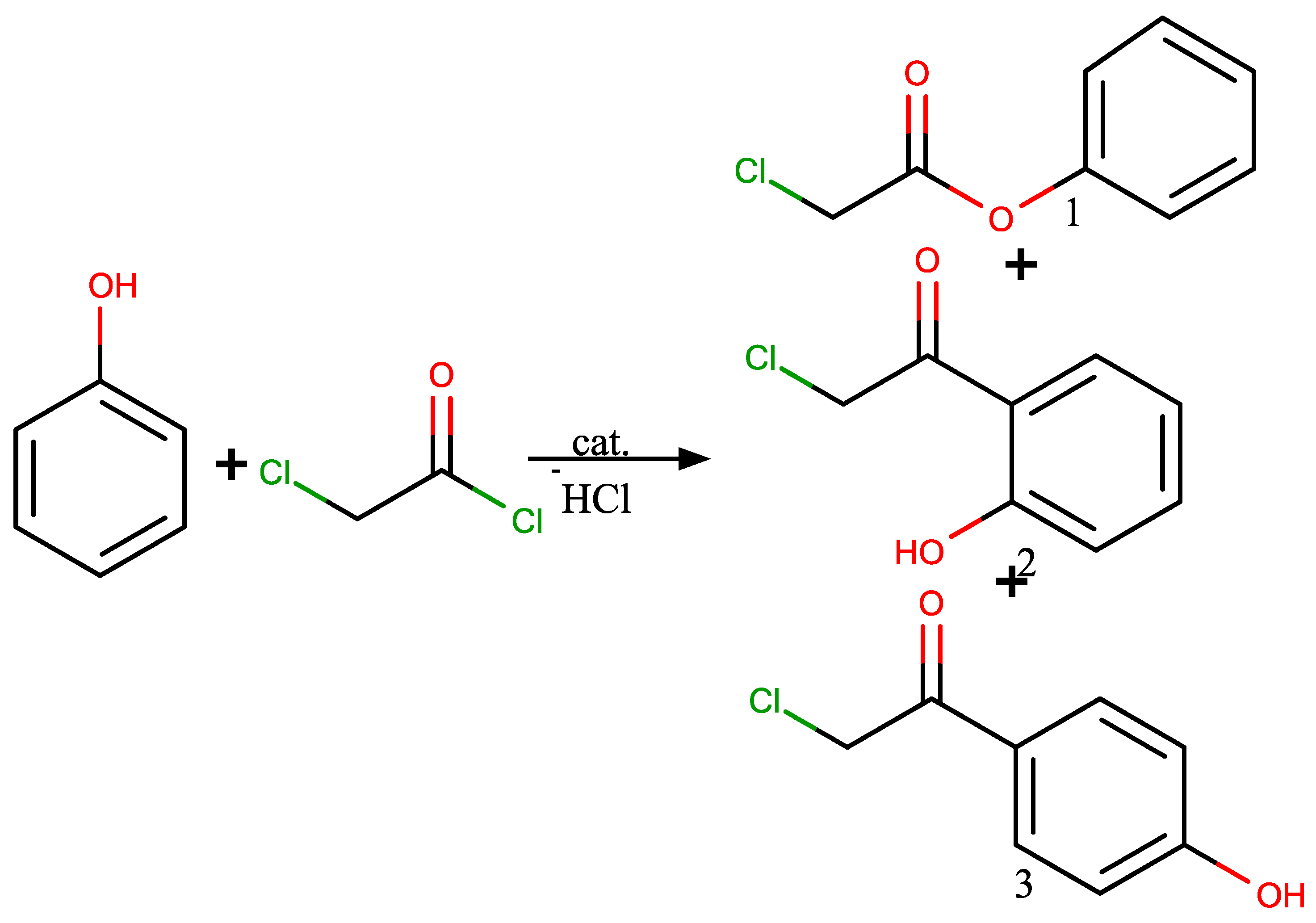
Scheme 4. React ion of p-methoxyphenol with chloracetyl chloride in the presence of a catalyst: 1: 4-methoxyphenyl 2-chloroacetate; 2: 2-chloro-1-(2-hydroxy-5-methoxyphenyl)ethanone; 3: 2-chloro-1-(5-hydroxy-2-methoxyphenyl)ethanone.
Scheme 4. React ion of p-methoxyphenol with chloracetyl chloride in the presence of a catalyst: 1: 4-methoxyphenyl 2-chloroacetate; 2: 2-chloro-1-(2-hydroxy-5-methoxyphenyl)ethanone; 3: 2-chloro-1-(5-hydroxy-2-methoxyphenyl)ethanone.
Chemproc 18 00012 sch004
Table 1. Chloroacetylation of phenol and methoxyphenols in the presence of catalytic amounts of FeCl3 and FeCl3·6H2O (Reaction temperature: 120–130 °C; reaction time: 30 min; amount of chloroacetyl chloride used: 5.6 g).
Table 1. Chloroacetylation of phenol and methoxyphenols in the presence of catalytic amounts of FeCl3 and FeCl3·6H2O (Reaction temperature: 120–130 °C; reaction time: 30 min; amount of chloroacetyl chloride used: 5.6 g).
Molar Ratio of ReagentReaction Yield, %Residual, (g)


1
2

3
4
Phenol:ChACh:Cat.
FeCl3
1:1:3·10−3
2:1:3·10−3
FeCl3·6H2O
1:1:3·10−3
2:1:3·10−3


80
73

75
67


1.1
1.8

1.1
2.1


5
6

7
8
o-methoxyphenol:ChACh:Cat.
FeCl3
1:1:3·10−3
2:1:3·10−3
FeCl3·6H2O
1:1:3·10−3
2:1:3·10−3


82
78

75
69


1.5
2.2

1.7
2.5


9
10

11
12
m-methoxyphenol:ChACh:Cat.
FeCl3
1:1:3·10−3
2:1:3·10−3
FeCl3·6H2O
1:1:3·10−3
2:1:3·10−3


96
95

90
87


0.4
0.6

1
1.8


13
14

15
16
p-methoxyphenol:ChACh:Cat.
FeCl3
1:1:3·10−3
2:1:3·10−3
FeCl3·6H2O
1:1:3·10−3
2:1:3·10−3


88
84

86
82


1.4
2.1

1.6
2.3
Table 2. Spectral data of phenylchloroacetate and methoxyphenylchloroacetates (IR, 1H NMR, UV–Vis).
Table 2. Spectral data of phenylchloroacetate and methoxyphenylchloroacetates (IR, 1H NMR, UV–Vis).
CompoundIR (cm−1)1H NMR (δ, ppm, CDCl3)UV–Vis (λmax, nm)
Phenylchloroacetate1740 (C=O), 1245 (C–O–C), 1060 (C–O), 1600 (C=C)4.70 (s, –O–CH2–CO–), 6.9–7.3 (m, Ar–H)220
o-Methoxyphenylchloroacetate1738 (C=O), 1240 (C–O–C), 1065 (C–O), 2835 (OCH3), 1595 (C=C)3.80 (s, –OCH3), 4.72 (s, –O–CH2–CO–), 6.7–7.2 (m, Ar–H)228
m-Methoxyphenylchloroacetate1742 (C=O), 1238 (C–O–C), 1055 (C–O), 2840 (OCH3), 1605 (C=C)3.82 (s, –OCH3), 4.75 (s, –O–CH2–CO–), 6.8–7.3 (m, Ar–H)231
p-Methoxyphenylchloroacetate1736 (C=O), 1248 (C–O–C), 1062 (C–O), 2838 (OCH3), 1598 (C=C)3.79 (s, –OCH3), 4.68 (s, –O–CH2–CO–), 6.9–7.2 (m, Ar–H)226
Disclaimer/Publisher’s Note: The statements, opinions and data contained in all publications are solely those of the individual author(s) and contributor(s) and not of MDPI and/or the editor(s). MDPI and/or the editor(s) disclaim responsibility for any injury to people or property resulting from any ideas, methods, instructions or products referred to in the content.

Share and Cite

MDPI and ACS Style

Jurayev, R.; Choriev, A.; Abdushukurov, A. Comparative Study on the Catalytic Chloroacetylation of Phenol and Methoxyphenols Using FECL3 and FECL3·6H2O. Chem. Proc. 2025, 18, 12. https://doi.org/10.3390/ecsoc-29-26671

AMA Style

Jurayev R, Choriev A, Abdushukurov A. Comparative Study on the Catalytic Chloroacetylation of Phenol and Methoxyphenols Using FECL3 and FECL3·6H2O. Chemistry Proceedings. 2025; 18(1):12. https://doi.org/10.3390/ecsoc-29-26671

Chicago/Turabian Style

Jurayev, Ruzimurod, Azimjon Choriev, and Anvar Abdushukurov. 2025. "Comparative Study on the Catalytic Chloroacetylation of Phenol and Methoxyphenols Using FECL3 and FECL3·6H2O" Chemistry Proceedings 18, no. 1: 12. https://doi.org/10.3390/ecsoc-29-26671

APA Style

Jurayev, R., Choriev, A., & Abdushukurov, A. (2025). Comparative Study on the Catalytic Chloroacetylation of Phenol and Methoxyphenols Using FECL3 and FECL3·6H2O. Chemistry Proceedings, 18(1), 12. https://doi.org/10.3390/ecsoc-29-26671

Article Metrics

Back to TopTop