Influence of Chitosan on Fish Gelatin Hydrogel: Rheological Properties and Microstructure
Abstract
1. Introduction
2. Materials and Methods
2.1. Fish Gelatin and Chitosan
2.2. Molecular Weight Distribution of Fish Gelatin and Chitosan
2.3. Preparation of Fish Gelatin–Chitosan Hydrogels
2.4. Rheological Measurements
- A frequency sweep (ω of 10−2–102 rad/s) at 1% strain was conducted. Changes in the storage (G′) and loss (G″) moduli were measured.
- A strain amplitude sweep (γ of 10−2–103%) at frequency f = 1 Hz was conducted. Values of the storage (G′) and loss (G″) moduli were recorded.
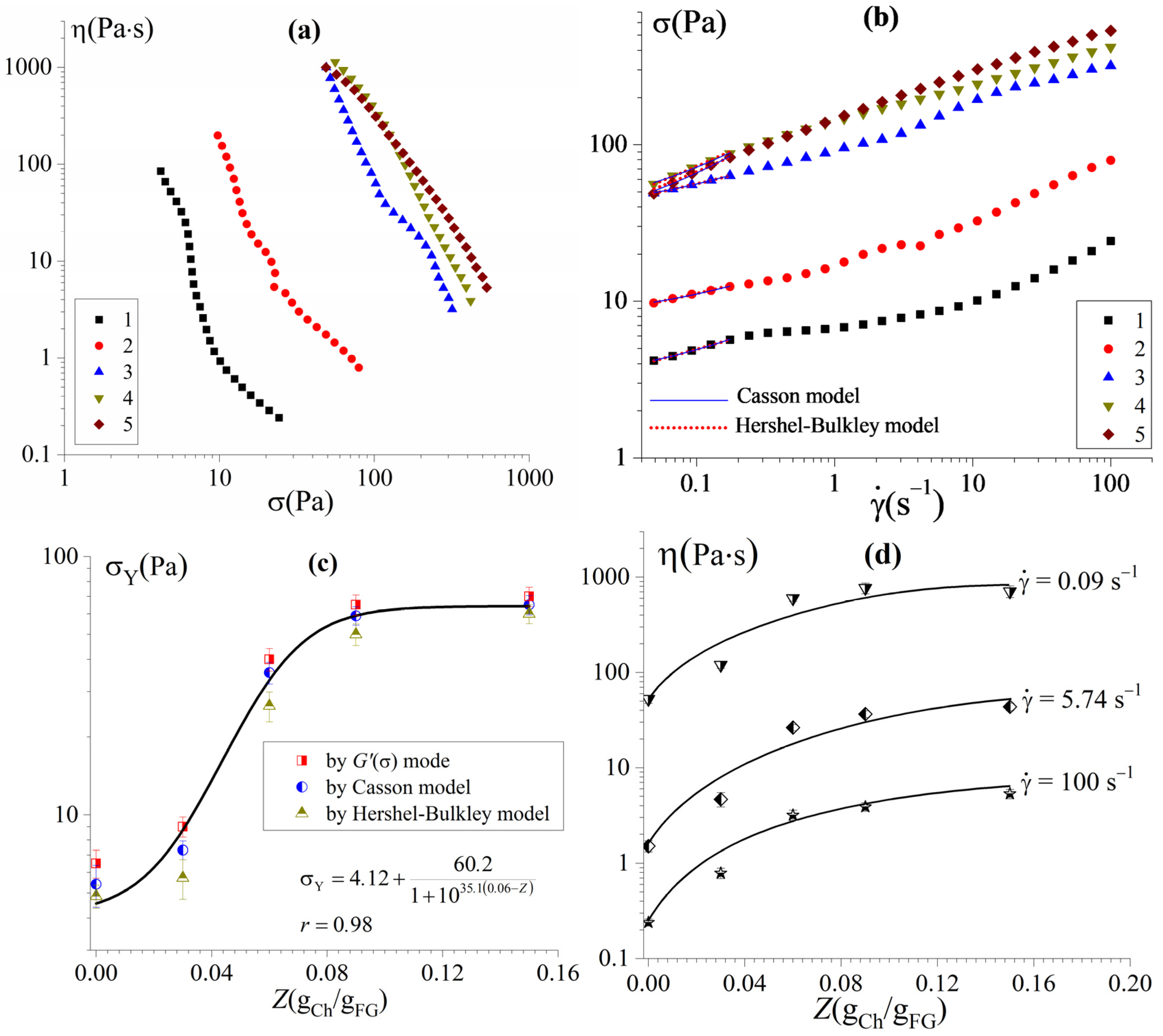
- Shearing of the samples in the rate-controlled ( of 10−2–102 s−1) or stress-controlled (σ of 100–103 Pa) regimes was performed. Changes in apparent viscosity (η) were recorded.
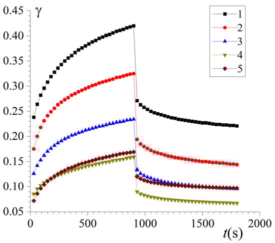
- A creep recovery test was carried out at a constant shear stress of 10 Pa from 0 to 900 s (creep phase). The shear stress was removed, and the changes in strain were recorded from 900 to 1800 s (elastic recovery phase).
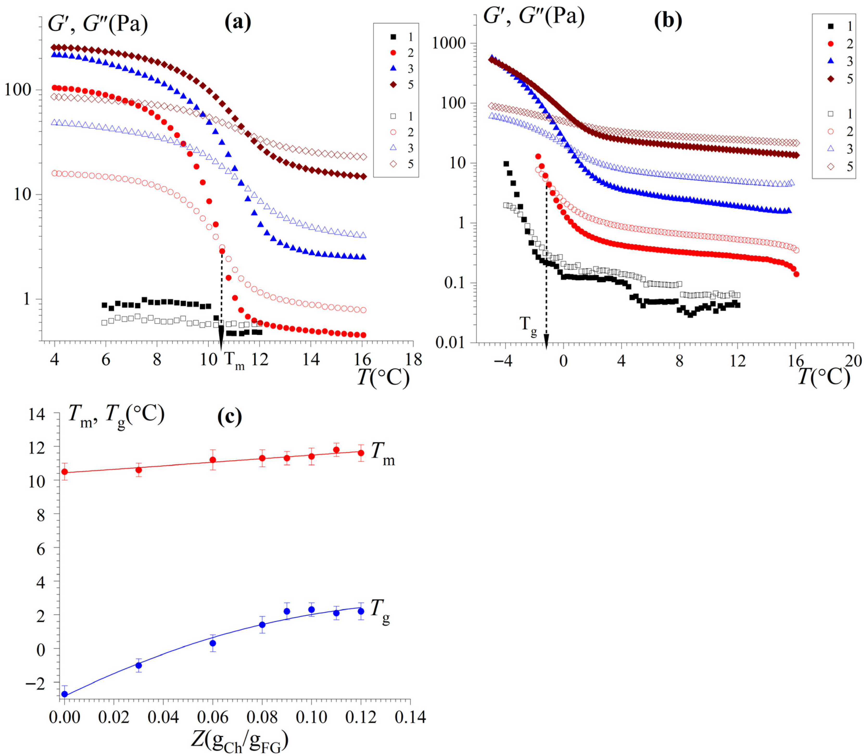
- A temperature sweep during the gel–sol–gel transition was conducted on hydrogel samples that were prepared at 4 ± 1 °C for 20 h. The gels were placed on a rheometer, then the gels were heated from 4 to 16 °C at a ramp rate of 1 °C/min, and then they were cooled from 16 to −5 °C at a constant shear strain of γ = 1% and a constant frequency of f = 1 Hz. Melting (Tm) and gelling (Tg) temperatures were determined as the temperatures at the crossover of G′ and G″ during the heating and cooling processes, respectively [10].
2.5. Ultraviolet (UV) Absorption Spectra
2.6. Fourier Transform Infrared (FTIR) Spectra
2.7. Dynamic Quasi-Elastic Light Scattering (QELS) Measurements
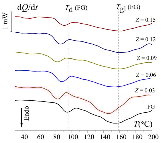
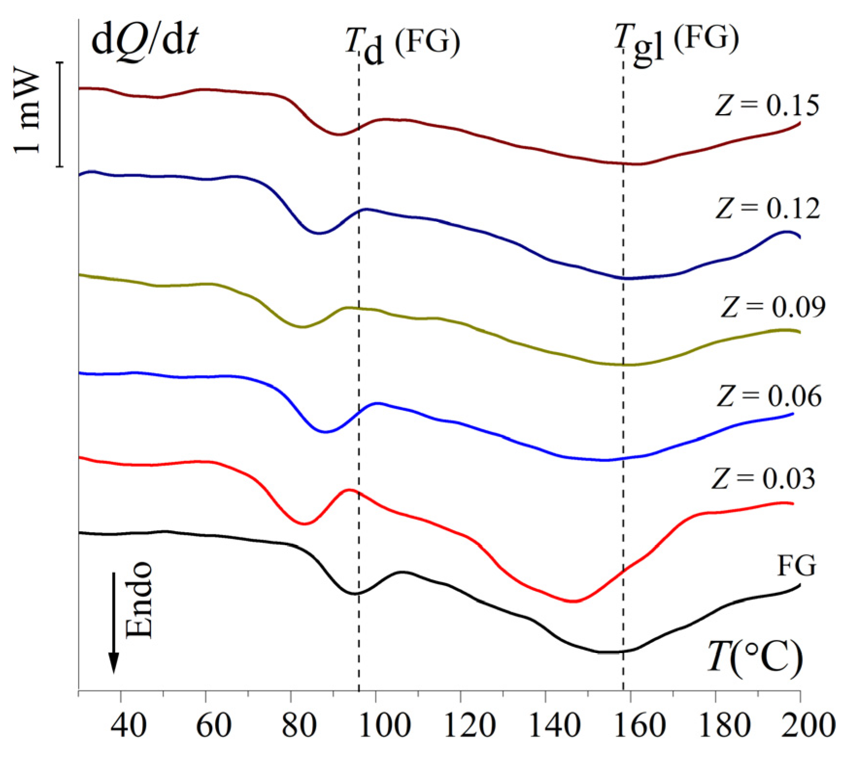
2.8. Differential Scanning Calorimetry (DSC) Measurements
2.9. Scanning Electron Microscopy (SEM)
2.10. Statistical Analysis
3. Results and Discussion
3.1. Gel Viscoelasticity
3.2. Yield Stress and Flow Curves
3.3. Creep Sweep
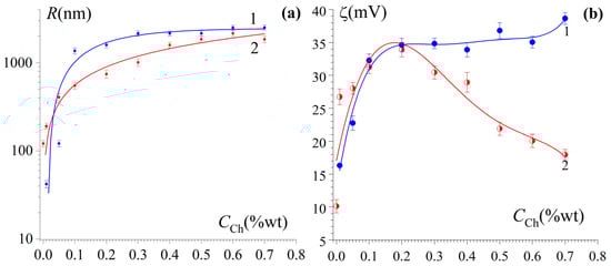
3.4. Fish Gelatin–Chitosan Complexes in Aqueous Phase
3.5. Gel Thermal Stability: Gelling and Melting Temperatures
3.6. Microstructure of Modified Gel
4. Conclusions
Supplementary Materials
Author Contributions
Funding
Institutional Review Board Statement
Data Availability Statement
Acknowledgments
Conflicts of Interest
Abbreviations
| Ch | Chitosan |
| FG | Fish gelatin |
| Z | Chitosan–to–fish gelatin mass ratio |
| UV | Ultraviolet |
| FTIR | Fourier transform infrared |
| QELS | Quasi-elastic light scattering |
| DSC | Differential scanning calorimetry |
| SEM | Scanning electron microscopy |
References
- Oliveira, V.M.; Assis, C.R.D.; Costa, B.A.M.; Neri, R.C.A.; Monte, F.T.; Freitas, H.M.S.C.V.; Franka, R.C.P.; Santos, J.F.; Bezerra, R.S.; Porto, A.L.F. Physical, biochemical and spectroscopic techniques for characterization collagen from alternative sources: A review based on the sustainable valorization of aquatic by-products. J. Mol. Struct. 2021, 1224, 129023. [Google Scholar] [CrossRef]
- Yang, H.; Wang, H.; Huang, M.; Cao, G.; Tao, F.; Shen, Q.; Zhou, G.; Yang, H. Repurposing fish waste into gelatin as a potential alternative for mammalian sources: A review. Compr. Rev. Food Sci. Food Saf. 2022, 21, 942–963. [Google Scholar] [CrossRef] [PubMed]
- Joy, J.M.; Padmaprakashan, A.; Pradeep, A.; Paul, P.T.; Mannuthy, R.J.; Mathew, S. A review on fish skin-derived gelatin: Elucidating the gelatin peptides—Preparation, bioactivity, mechanistic insights, and strategies for stability improvement. Foods 2024, 13, 2793. [Google Scholar] [CrossRef] [PubMed]
- Lv, L.; Huang, Q.; Ding, W.; Xiao, X.; Zhang, H.; Xiong, L. Fish gelatin: The novel potential application. J. Funct. Foods 2019, 63, 103581. [Google Scholar] [CrossRef]
- Pezeshki-Modaress, M.; Zandi, M.; Rajabi, S. Tailoring the gelatin/chitosan electrospun scaffold for application in skin tissue engineering: An in vitro study. Prog. Biomater. 2018, 7, 207–218. [Google Scholar] [CrossRef]
- Karim, A.A.; Bhat, R. Fish gelatin: Properties, challenges, and prospects as an alternative to mammalian gelatins. Food Hydrocoll. 2009, 23, 563–576. [Google Scholar] [CrossRef]
- Nurilmala, M.; Suryamarevita, H.; Hizbullah, H.H.; Agoes, M.J.; Yoshihiro, O. Fish skin as a biomaterial for halal collagen and gelatin. Saudi J. Biol. Sci. 2022, 29, 1100–1110. [Google Scholar] [CrossRef]
- Haug, I.J.; Draget, K.I. Gelatin. In Handbook of Hydrocolloids; Phillips, G.O., Williams, P.A., Eds.; CRC Press: Boca Raton, FL, USA, 2009; pp. 142–163. [Google Scholar]
- Derkach, S.R.; Voron’ko, N.G.; Kuchina, Y.A.; Kolotova, D.S.; Grokhovsky, V.A.; Nikiforova, A.A.; Sedov, I.A.; Faizullin, D.A.; Zuev, Y.F. Rheological Proper-ties of Fish and Mammalian Gelatin Hydrogels as Bases for Potential Practical Formulations. Gels 2024, 10, 486. [Google Scholar] [CrossRef]
- Sow, L.C.; Chong, J.M.N.; Liao, Q.X.; Yang, H. Effects of κ-carrageenan on the structure and rheological properties of fish gelatin. J. Food Eng. 2018, 239, 92–103. [Google Scholar] [CrossRef]
- Huang, S.; Tu, Z.; Sha, X.; Wang, H.; Hu, Y.; Hu, Z. Gelling properties and interaction analysis of fish gelatin–low-methoxyl pectin system with different concentrations of Ca2+. LWT Food Sci. Technol. 2020, 132, 109826. [Google Scholar] [CrossRef]
- Huang, T.; Tu, Z.; Shangguan, X.; Wang, H.; Zhang, L.; Bansal, N. Characteristics of fish gelatin-anionic polysaccharide complexes and their applications in yoghurt: Rheology and tribology. Food Chem. 2021, 343, 128413. [Google Scholar] [CrossRef] [PubMed]
- Sow, L.C.; Tan, S.J.; Yang, H. Rheological properties and structure modification in liquid and gel of tilapia skin gelatin by the addition of low acyl gellan. Food Hydrocoll. 2019, 90, 9–18. [Google Scholar] [CrossRef]
- Chassenieux, C.; Nicolai, T. Mechanical properties and microstructure of (emul)gels formed by mixtures of proteins and polysaccharides. Curr. Opin. Colloid Interface Sci. 2024, 70, 101781. [Google Scholar] [CrossRef]
- Makshakova, O.N.; Zuev, Y.F. Interaction-Induced Structural Transformations in Polysaccharide and Protein-Polysaccharide Gels as Functional Basis for Novel Soft-Matter: A Case of Carrageenans. Gels 2022, 8, 287. [Google Scholar] [CrossRef]
- Derkach, S.R.; Voron’ko, N.G.; Kuchina, Y.A. Intermolecular Interactions in the Formulation of Polysaccharide-Gelatin Complexes: A Spectroscopic Study. Polymers 2022, 14, 2777. [Google Scholar] [CrossRef]
- de Oliveira, L.C.; Barbosa, J.R.; Ribeiro, S.C.A.; de Vasconcelos, M.A.M.; de Aguiar, B.A.; Pereira, S.G.V.S.; Albuquerque, G.A.; da Silva, F.N.L.; Crizel, R.L.; Campelo, P.H.; et al. Improvement of the characteristics of fish gelatin—Gum arabic through the formation of the polyelectrolyte complex. Carbohydr. Polym. 2019, 223, 115068. [Google Scholar] [CrossRef]
- Shi, X.-D.; Huang, J.-J.; Wu, J.-L.; Cai, X.-X.; Tian, Y.-Q.; Rao, P.-F.; Huang, J.-L.; Wang, S.-Y. Fabrication, interaction mechanism, functional properties, and applications of fish gelatin-polysaccharide composites: A review. Food Hydrocoll. 2022, 122, 107106. [Google Scholar] [CrossRef]
- Sun, X.; Wang, H.; Li, S.; Song, C.; Zhang, S.; Ren, J.; Udenigwe, C.C. Maillard-Type Protein–Polysaccharide Conjugates and Electrostatic Protein–Polysaccharide Complexes as Delivery Vehicles for Food Bioactive Ingredients: Formation, Types, and Applications. Gels 2022, 8, 135. [Google Scholar] [CrossRef] [PubMed]
- Bather, S.; Seibt, J.H.; Hundschell, C.S.; Bonilla, J.C.; Clausen, M.P.; Wagemans, A.M. Phase behaviour and structure formation of alginate-gelatin composite gels. Food Hydrocoll. 2024, 149, 109538. [Google Scholar] [CrossRef]
- Zhou, X.; Yu, J.; Qian, S.; Chen, Y. Study on texture detection of gelatin–agar composite gel based on bionic chewing. J. Food Meas. Charact. 2023, 17, 5093–5102. [Google Scholar] [CrossRef]
- Parvez, S.; Rahman, M.M.; Khan, M.A.; Khan, A.H.; Islam, J.M.M.; Ahmed, M.; Rahman, M.F.; Ahmed, M. Preparation and characterization of artificial skin using chitosan and gelatin composites for potential biomedical application. Polym. Bull. 2012, 69, 715–731. [Google Scholar] [CrossRef]
- Hosseini, S.F.; Gomez-Guillen, M.C. A state-of-the-art review on the elaboration of fish gelatin as bioactive packaging: Special emphasis on nanotechnology-based approaches. Trends Food Sci. Technol. 2018, 79, 125–135. [Google Scholar] [CrossRef]
- Ng, W.L.; Yeong, W.Y.; Naing, M.W. Polyelectrolyte gelatin-chitosan hydrogel optimized for 3D bioprinting in skin tissue engineering. Int. J. Bioprinting 2025, 2, 53–62. [Google Scholar] [CrossRef]
- Chen, Y.; Duan, Q.; Yu, L.; Xie, F. Thermomechanically processed chitosan: Gelatin films being transparent, mechanically robust and less hygroscopic. Carbohydr. Polym. 2021, 272, 118522. [Google Scholar] [CrossRef]
- Wang, W.; Xue, C.; Mao, X. Chitosan: Structural modification, biological activity and application. Int. J. Biol. Macromol. 2020, 164, 4532–4546. [Google Scholar] [CrossRef]
- Novikov, V.Y.; Derkach, S.R.; Konovalova, I.N.; Dolgopyatova, N.V.; Kuchina, Y.A. Mechanism of Heterogeneous Alkaline Deacetylation of Chitin: A Review. Polymers 2023, 15, 1729. [Google Scholar] [CrossRef]
- Santos, V.P.; Marques, N.S.S.; Maia, P.C.S.V.; de Lima, M.A.B.; de Oliveira Franco, L.; de Campos-Takaki, G.M. Seafood Waste as Attractive Source of Chitin and Chitosan Production and Their Applications. Int. J. Mol. Sci. 2020, 21, 4290. [Google Scholar] [CrossRef] [PubMed]
- Voron’ko, N.G.; Derkach, S.R.; Kuchina, Y.A.; Sokolan, N.I. The chitosan–gelatin (bio)polyelectrolyte complexes formation in an acidic medium. Carbohydr. Polym. 2016, 138, 265–272. [Google Scholar] [CrossRef] [PubMed]
- Staroszczyk, H.; Sztuka, K.; Wolska, J.; Wojtasz-Pajak, A.; Kolodziejska, I. Interactions of fish gelatin and chitosan in uncrosslinked and crosslinked with EDC films: FT-IR study. Spectrochim. Acta Part A 2014, 117, 707–712. [Google Scholar] [CrossRef] [PubMed]
- Derkach, S.; Voron’ko, N.; Sokolan, N. The rheology of hydrogels based on chitosan–gelatin (bio)polyelectrolyte complexes. J. Dispers. Sci. Technol. 2017, 38, 1427–1434. [Google Scholar] [CrossRef]
- Wang, H.; Ding, F.; Ma, L.; Zhang, Y. Edible films from chitosan-gelatin: Physical properties and food packaging application. Food Biosci. 2021, 40, 100871. [Google Scholar] [CrossRef]
- Aleksandrova, L.; Uspenskaya, M.; Elangwe, C.; Ishevskiy, A. Architectonics of gelatin/biopolymer/transglutaminase for packaging films: A review. Int. J. Biol. Macromol. 2025, 320, 145923. [Google Scholar] [CrossRef]
- Sethi, S.; Kaith, B.S. A review on chitosan-gelatin nanocomposites: Synthesis, characterization and biomedical applications. React. Funct. Polym. 2022, 179, 105362. [Google Scholar] [CrossRef]
- Malkin, A.Y.; Isayev, A.I. Rheology: Concepts, Methods, and Applications, 3rd ed.; ChemTec Publishing: Toronto, ON, Canada, 2017. [Google Scholar]
- Zuev, Y.F.; Derkach, S.R.; Lunev, I.V.; Nikiforova, A.A.; Klimovitskaya, M.A.; Bogdanova, L.R.; Skvortsova, P.V.; Kurbanov, R.K.; Kazantseva, M.A.; Zueva, O.S. Water as a Structural Marker in Gelatin Hydrogels with Different Cross-Linking Nature. Int. J. Mol. Sci. 2024, 25, 11738. [Google Scholar] [CrossRef] [PubMed]
- Malkin, A.Y.; Derkach, S.R.; Kulichikhin, V.G. Rheology of Gels and Yielding Liquids. Gels 2023, 9, 715. [Google Scholar] [CrossRef]
- Geng, H.; Sun, W.; Zhan, S.; Jia, R.; Lou, Q.; Huang, T. Glycosylation with different saccharides on the gelling, rheological and structural properties of fish gelatin. Food Hydrocoll. 2024, 150, 109699. [Google Scholar] [CrossRef]
- Hyun, K.; Wilhelm, M.; Klein, C.O.; Cho, K.S.; Nam, J.G.; Ahn, K.H.; Lee, S.J.; Ewoldt, R.H.; McKinley, G.H. A review of nonlinear oscillatory shear tests: Analysis and application of large amplitude oscillatory shear (LAOS). Prog. Polym. Sci. 2011, 36, 1697–1753. [Google Scholar] [CrossRef]
- Amin, U.; Lin, Y.; Zuo, X.; Zheng, H. Soft matter approach for creating novel protein hydrogels using fractal whey protein assemblies as building blocks. Food Hydrocoll. 2024, 151, 109828. [Google Scholar] [CrossRef]
- Geonzon, L.C.; Enoki, T.; Humayun, S.; Tuvikene, R.; Matsukawa, S.; Mayumi, K. Understanding the rheological properties from linear to nonlinear regimes and spatiotemporal structure of mixed kappa and reduced molecular weight lambda carrageenan gels. Food Hydrocoll. 2024, 150, 109752. [Google Scholar] [CrossRef]
- Derkach, S.; Zhabyko, I.; Voron’ko, N.; Maklakova, A.; Dyakina, T. Stability and the rheological properties of concentrated emulsions containing gelatin/κ-carrageenan polyelectrolyte complexes. Colloids Surf. A 2015, 483, 216–223. [Google Scholar] [CrossRef]
- Fan, Z.; Cheng, P.; Zhang, P.; Zhang, G.; Han, J. Rheological insight of polysaccharide/protein based hydrogels in recent food and biomedical fields: A review. Int. J. Biol. Macromol. 2022, 222, 1642–1664. [Google Scholar] [CrossRef]
- Rabek, J.F. Experimental Methods in Polymer Chemistry: Physical Principles and Applications; John Wiley & Sons, Inc.: New York, NY, USA, 1980. [Google Scholar]
- Huang, T.; Zhao, H.; Fang, Y.; Lu, J.; Yang, W.; Qiao, Z.; Lou, Q.; Xu, D.; Zhang, J. Comparison of gelling properties and flow behaviors of microbial transglutaminase (MTGase) and pectin modified fish gelatin. J. Texture Stud. 2019, 50, 400–409. [Google Scholar] [CrossRef]
- Muyonga, J.N.; Cole, C.G.B.; Dyodu, K.G. Fourier transform infrared (FTIR) spectroscopy study of acid soluble collagen and gelatin from skin and bones of young and adult Nile perch (Lates niloticus). Food Chem. 2004, 86, 325–332. [Google Scholar] [CrossRef]
- Duan, Q.; Chen, Y.; Yu, L.; Xie, F. Chitosan–Gelatin Films: Plasticizers/Nanofillers Affect Chain Interactions and Material Properties in Different Ways. Polymers 2022, 14, 3797. [Google Scholar] [CrossRef]
- Natarajan, N.; Shashirekha, V.; Noorjahan, S.E.; Rameshkumar, M.; Rose, C.; Sastry, T.P. Fibrin–Chitosan–Gelatin Composite Film: Preparation and Characterization. J. Macromol. Sci. Part A Pure Appl. Chem. 2005, 42, 945–953. [Google Scholar] [CrossRef]
- Liu, W.; Lin, S.; Liang, S.; Wang, S.; Yoshimasa, N.; Yue, T. Unlocking stability and efficiency in benzyl isothiocyanate-loaded emulsions: Unveiling synergistic interactions of fish skin gelatin and pectin. Food Biosci. 2024, 58, 103788. [Google Scholar] [CrossRef]
- Izumrudov, V.A. Self-assembly and molecular ‘recognition’ phenomena in solutions of (bio)polyelectrolyte complexes. Russ. Chem. Rev. 2008, 77, 381–393. [Google Scholar] [CrossRef]
- Derkach, S.R.; Kolotova, D.S.; Voron’ko, N.G.; Obluchinskaya, E.D.; Malkin, Y.A. Rheological Properties of Fish Gelatin Modified with Sodium Alginate. Polymers 2021, 13, 743. [Google Scholar] [CrossRef]
- Cen, S.; Zhang, L.; Liu, L.; Lou, Q.; Wang, C.; Huang, T. Phosphorylation modification on functional and structural properties of fish gelatin: The effects of phosphate contents. Food Chem. 2022, 380, 132209. [Google Scholar] [CrossRef]
- Mukherjeea, I.; Rosolen, M. Thermal transitions of gelatin evaluated using DSC sample pans of various seal integrities. J. Therm. Anal. Calorim. 2013, 114, 1161–1166. [Google Scholar] [CrossRef]
- Chen, H.; Wu, D.; Ma, W.; Wu, C.; Liu, J.; Du, M. Strong fish gelatin hydrogels double crosslinked by transglutaminase and carrageenan. Food Chem. 2022, 376, 131873. [Google Scholar] [CrossRef] [PubMed]









Disclaimer/Publisher’s Note: The statements, opinions and data contained in all publications are solely those of the individual author(s) and contributor(s) and not of MDPI and/or the editor(s). MDPI and/or the editor(s) disclaim responsibility for any injury to people or property resulting from any ideas, methods, instructions or products referred to in the content. |
© 2025 by the authors. Licensee MDPI, Basel, Switzerland. This article is an open access article distributed under the terms and conditions of the Creative Commons Attribution (CC BY) license (https://creativecommons.org/licenses/by/4.0/).
Share and Cite
Derkach, S.; Voron’ko, N.; Bordiyan, V.; Dyakina, T.; Petrova, L.; Kuchina, Y.; Kolotova, D.; Nikiforova, A.; Zuev, Y. Influence of Chitosan on Fish Gelatin Hydrogel: Rheological Properties and Microstructure. Polysaccharides 2025, 6, 110. https://doi.org/10.3390/polysaccharides6040110
Derkach S, Voron’ko N, Bordiyan V, Dyakina T, Petrova L, Kuchina Y, Kolotova D, Nikiforova A, Zuev Y. Influence of Chitosan on Fish Gelatin Hydrogel: Rheological Properties and Microstructure. Polysaccharides. 2025; 6(4):110. https://doi.org/10.3390/polysaccharides6040110
Chicago/Turabian StyleDerkach, Svetlana, Nikolay Voron’ko, Vlada Bordiyan, Tatyana Dyakina, Liudmila Petrova, Yuliya Kuchina, Daria Kolotova, Alena Nikiforova, and Yuriy Zuev. 2025. "Influence of Chitosan on Fish Gelatin Hydrogel: Rheological Properties and Microstructure" Polysaccharides 6, no. 4: 110. https://doi.org/10.3390/polysaccharides6040110
APA StyleDerkach, S., Voron’ko, N., Bordiyan, V., Dyakina, T., Petrova, L., Kuchina, Y., Kolotova, D., Nikiforova, A., & Zuev, Y. (2025). Influence of Chitosan on Fish Gelatin Hydrogel: Rheological Properties and Microstructure. Polysaccharides, 6(4), 110. https://doi.org/10.3390/polysaccharides6040110

