Abstract
Colon cancer is the third most diagnosed cancer worldwide, followed by lung and breast cancer. Conventional treatment methods are associated with numerous side effects and compliance issues. Thus, colon targeted drug delivery has gained much attention due to its evident advantages. Although many technologies have been explored, the use of pH-sensitive polymers, especially biodegradable polymers, holds exceptional promise. This review aims to collate research articles concerning recent advances in this area. A systematic search using multiple databases (Google Scholar, EMBASE, PubMed, MEDLINE and Scopus) was carried out following the preferred reported items for systematic reviews and meta-analyses (PRISMA) guidelines with an aim to explore the use of pH-sensitive carbohydrate polymers in developing colon targeted pharmaceutical formulations. Following screening and quality assessment for eligibility, 42 studies were included, exploring either single or a combination of carbohydrate polymers to develop targeted formulations for colon cancer therapy. Pectin (11) is the most widely used of these biopolymers, followed by chitosan (09), alginate (09) and guar gum (08). This systematic review has successfully gathered experimental evidence highlighting the importance of employing carbohydrate polymers in developing targeting formulations to manage colon cancer.
1. Introduction
Colon cancer (CC), also known as colorectal cancer or bowel cancer, is a significant cause of morbidity and mortality worldwide. With over 200,000 deaths annually, CC accounts for the highest proportion of cancer-related deaths in Europe, the fourth most cancer-related deaths globally, and the third most diagnosed cancer [1,2,3]. The development of the disease is initiated when colonic epithelial cells develop a benign adenomatous polyp [4], which then progresses into an advanced adenoma with a high grade of dysplasia and then further develops into invasive cancer [5,6]. The invasive cancers that remain confined within the walls of the colon (tumour–node–metastasis stages I and II) are curable, but if left untreated, they spread to the regional lymph nodes (stage III) and then to distant-sited metastases (stage IV), as illustrated in Figure 1a,b [6,7,8].
Figure 1.
Schematic illustration showing (a) different stages of colon cancer, [6] reproduced with permission from MDPI and (b) different parts of colon with malignant tumour.
As with most cancers, CC does not discriminate and can affect individuals of all demographics. However, researchers have identified numerous lifestyle and sociodemographic risk factors that may increase the chances of individuals developing the condition. Lifestyle factors, such as smoking, alcohol consumption, poor diet, obesity and leading a sedentary lifestyle, have all been associated with an increased risk of developing CC; therefore, limiting exposure to such factors may be an effective measure in reducing CC risk. On the other hand, sociodemographic risk factors including ethnicity, gender [9], age [10,11], previous history of cancer (ovary or breast) [12,13], inflammatory bowel disease such as ulcerative colitis [14] and environmental conditions [15] have also been identified but these cannot be modified and controlled. Nevertheless, following the diagnosis of CC, treatment must be swift and effective with minimal side effects. The primary treatment approaches for CC include surgery, chemotherapy, radiation therapy, immunotherapy and molecularly targeted treatment [16]. In clinical practice, surgery remains the mainstay in the early stage of the disease, but recurrence of tumours after surgery is a substantial drawback that often leads to death [17]. Furthermore, conventional chemotherapies for the treatment of CC are usually not as effective as other cancers due to the drugs being delivered to a non-targeted site which may ultimately lead to patients suffering from unwanted side effects [18,19].
In recent years, to tackle the issues mentioned above, colon targeted drug delivery systems have gained much attention [20] due to their potential to deliver antineoplastic agents directly to the colon. This approach increases the concentration of the drug at the target region, thus reducing the need for multiple dosing and, consequently, reducing the risk of adverse effects [21,22]. These drug delivery systems are assisted by the long retention time (up to 5 days) of colonic contents and higher absorption of several drugs by colonic mucosa, resulting in the colon being an ideal site for drug delivery [23]. Direct administration of the drug via the rectal route can attain drug targeting to the colon; however, due to the ease of administration leading to improved patient compliance, oral drug delivery is the most preferred route and has resulted in the development of many oral anticancer agents over the past ten years, which have been evaluated for the treatment of colon cancer [24,25,26]. Furthermore, compared to rectal dosage forms, orally delivered anticancer drugs provide flexibility in their manufacturing and are cost-effective and relatively safe to administer [27,28,29].
Oral colon-targeted drug delivery can be facilitated by prodrug formation [30], pH-based drug delivery [31,32], mucoadhesive formulations [33], pressure-controlled systems [23], timed controlled release systems, osmotic systems [34], and microbial and/or enzymatically triggered systems [35,36]. It is imperative to deliver anticancer drugs at an adequate concentration to the local region without premature drug loss/release in the upper GI tract to achieve successful colon targeting [24,37]. To this end, several techniques have been employed; the most widely used method is to coat the drug with a pH-sensitive polymer or a polymer that degrades explicitly in the colon by the action of colonic bacteria [38,39].
For this purpose, carbohydrate-based natural polymers for colon-specific drug delivery have received considerable interest [40] as they are biocompatible, biodegradable, non-toxic, inexpensive, have acceptable safety profiles and can be employed in developing dosage forms by simple techniques [24,41,42]. Additionally, drug release from the carbohydrate polymers is primarily achieved by microflora degradation, which is also considered as an essential approach for colon targeting, thus making carbohydrate polymers an ideal candidate for their use in developing colon-targeted drug delivery systems [41,43]. Based on this approach, numerous polysaccharides have been investigated, including guar gum, pectin, inulin, amylose, chondroitin sulphate and chitosan [44]. This family of natural polysaccharides is comprised of structures with many derivatisable groups with a wide range of molecular weights and varying chemical compositions [45]. Carbohydrate-based drug delivery offers the opportunity to provide sustained or delayed drug release, thus warranting good absorption in the colon [46]. Therefore, the current review aims to comprehensively analyse recent advances in colon-specific drug delivery using a systematic approach by employing PRISMA (preferred reporting items for systematic reviews and meta-analyses) guidelines [47].
2. Methodology
2.1. Search Plot, Information Sources, and Screening Process
A search plot following the PRISMA guidelines was developed [47] encompassing key quality assessment determinants of research studies: identification, screening, eligibility and inclusion, as illustrated in Figure 2. A systematic search of published original research studies from 2000 to 2020 was carried out for this review. A comprehensive search plot based on Google Scholar, EMBASE, PubMed, MEDLINE and Scopus databases was formed. The lead authors searched using the following terms: “Colon Targeted Drug Delivery” OR “Pharmaceutical formulations targeting colon or colorectal cancer” OR “Natural polymers used to target Colorectal Cancer”. From the collected research studies, titles and abstracts were screened initially and studies unrelated to the rationale of the current systematic review were excluded. The remaining studies were then screened thoroughly to scan their eligibility. Additionally, studies that did not meet the criteria of the review were then removed.
Figure 2.
Search strategy for systematic review according to PRISMA guidelines [47].
2.2. Study Selection
The primary investigators independently evaluated the eligible studies. The full text was screened thoroughly by two reviewers against the rationale of the systematic review. Any differences of opinion and disagreements over the eligibility of any study among reviewers were settled through a joint discussion.
2.3. Data Extraction and Collection
Essential characteristics of eligible research studies were extracted using a form [48], which was used and verified by the primary investigators. The extracted information was arranged using Microsoft Word 2019 [49,50,51,52,53,54] to include active pharmaceutical ingredients, carbohydrate polymers used either alone or in combination, type of investigations and test (in vitro/in vivo studies), other excipients and overall study characteristics.
2.4. Risk of Bias Assessment
A recently published framework was adopted [48] to assess the risk of bias for all the eligible studies. This framework is based on six key domains: research rationale, description of the methodology, characterization and testing, description of results, description of discussion and conclusions. The research team independently applied the framework to each study to examine the risk of bias. After the authors’ preliminary investigation, the final recommendations on each study were concluded after a detailed panel discussion.
3. Results and Discussion
As shown in Figure 2, the current systematic search plot resulted in the identification of 1028 unique studies; however, after removing duplicates, 605 articles were included. These articles were screened further by their article title or abstract, which led to the removal of a further 515 articles. Thus, 90 articles were subjected to full-text screening, which removed 48 articles and resulted in a total of 42 articles [55,56,57,58,59,60,61,62,63,64,65,66,67,68,69,70,71,72,73,74,75,76,77,78,79,80,81,82,83,84,85,86,87,88,89,90,91,92,93,94,95,96] that were considered eligible to be included in the review for further analysis. The main reasons behind exclusion were the lack of targeted delivery of drug to the colonic site.
The included articles were further categorized, and information was extracted according to the type of natural polysaccharide and the characteristics have been described Table S1 (supplementary data) and discussed separately in the following sections. After a detailed data extraction exercise, various biopolymers have emerged as forerunners in terms of their utility, such as pectin, chitosan, guar gum, alginate, hyaluronic acid, dextran and chondroitin sulphate. Table 1 summarises the structural units and pharmaceutical applications of carbohydrate-based polymers explored for colon-specific drug delivery systems. Meta-synthesis of the included studies from Figure 3a identified an increasing application of biopolymers for colon targeted drug delivery over the last twenty years. Figure 3b illustrates the distribution of articles based on the different carbohydrate polymers investigated as a carrier for colon drug delivery. Pectin, chitosan, alginate and guar gum were the most frequently explored as carriers compared to hyaluronic acid, dextran and chondroitin sulphate. Figure 3c illustrates the distribution of drugs based on their frequency in included studies. Among all the drugs, 5-fluorouracil (5-FU) is the most common therapeutic agent for colon cancer treatment compared to other therapeutic agents. The distribution of the risk of bias in the included studies is depicted in Figure 3d and a detailed summary is tabulated in Table S2 (supplementary data). After risk of bias evaluation, the studies generally had a low risk of bias with 4% unclear risk of bias in the discussion section, 0.6% in results and 2% in testing and methodology sections.
Table 1.
Carbohydrate-based polymers: their structural units and pharmaceutical applications.
Figure 3.
(a) Bar chart indicating the number of articles from Jan 2000 to Jun 2020 (b) Application of natural polysaccharides for colon-specific drug delivery (c) Distribution of drugs for targeted delivery in colorectal cancer and (d) Overall risk of bias assessment according to the six areas covered among the included studies.
3.1. Pectin
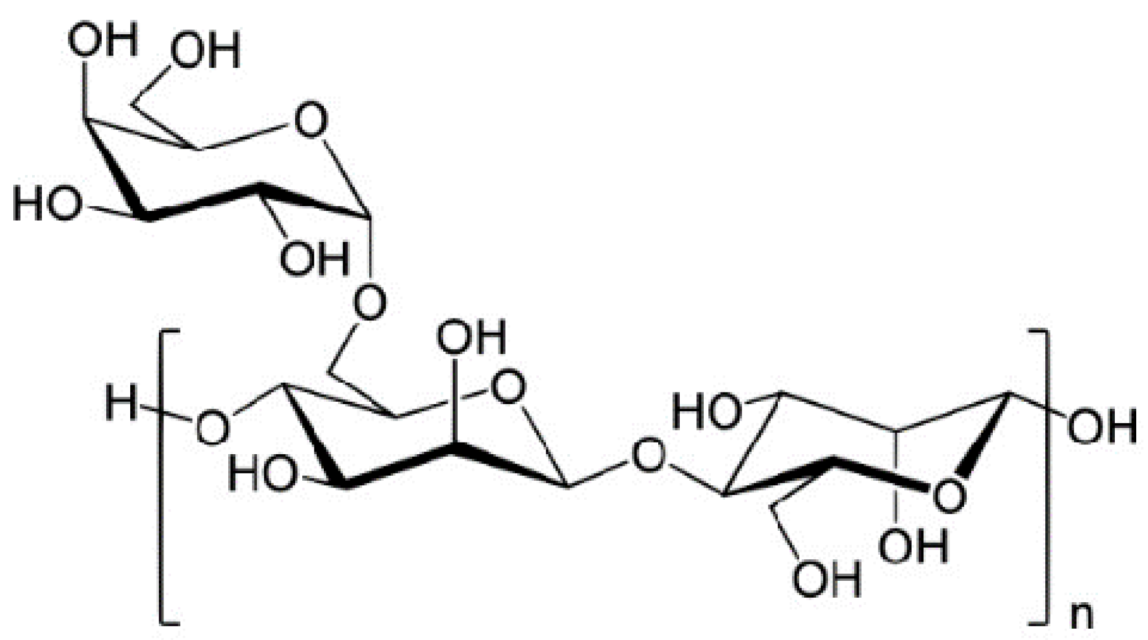
Pectin is a long-chain, high molecular weight, non-starch polymer naturally present in plant cell walls and middle lamina and is commercially extracted from apple pomace and citrus peels [120]. The chemical structure of pectin comprises a long chain composed of a backbone of galacturonic acid units connected by α-1-4-glycosidic bonds (Table 1). Attached to this backbone are neutral sugars, including arabinose, galactose and rhamnose [121,122,123,124]. The applications of pectin are numerous, and it is especially popular in the food and pharmaceutical industries, where it is utilised as a thickening agent or as an excipient due to its excellent gelling property, long gastric residence and complete biodegradability [125,126,127]. In the pharmaceutical industry, an efficient drug delivery system (DDS) may be designed by mixing pectin with pH-resistant hydrophobic polymers to form a complex with positively charged polyelectrolytes (usually Ca2+) or by forming prodrugs [123,128,129]. Pectins with a low degree of esterification and high amidation are common in colon-targeted DDS due to their gelling abilities and the possibility of enhancing hydrophobicity by introducing amide groups [130]. Therefore, numerous studies have successfully used pectin as a carrier to target chemotherapeutic agents directly for colorectal cancer. Wang et al. reported the conjugation of 5-FU-1-acetic acid with pectin. In previous in vivo studies, the release of 5-FU-1-acetic acid from 5-FU-pectin after oral administration was found to occur extensively in the colon and caecum of rats. [55]. In the same year, Jain et al. developed calcium pectinate beads coated with pH-dependent Eudragit S-100 loaded with 5-FU to provide a colon-specific delivery system. The in vitro and in vivo studies reported that the orally administered beads effectively transferred maximum drug load to the colonic site [56].
In another study, colon-specific delivery of 5-FU via Eudragit (L100-55, L100, and S100)-coated pectin microspheres was reported. The optimized formulation, composed of 1:6 drug: polymer ratio, released drug in simulated colonic fluid (pH 7.4) containing 2% rat caecal content. Moreover, after oral administration, an in vivo (albino rats) organ distribution study revealed a maximum percentage of the drug after 6 to 8 h in the colonic region while no drug was found in the stomach and small intestine [57]. In the following year, He Wei et al. [58] performed in vivo/in vitro studies for pectin /ethyl cellulose film-coated pellets of 5-FU. From in vitro dissolution studies, they observed that the drug release rate is affected by coat thickness and pectin content, and the optimum coating was attained with a pectin/ethyl cellulose 1:2 w/w ratio. According to this report, 2.0 ± 1.2% of the drug was released in simulated upper gastrointestinal tract (GIT) conditions followed by slow, prolonged release in colon-simulated media. In vivo results indicated that 5-FU was detectable in rat plasma 7 h post-oral administration compared to 0.25 h in animals that received uncoated pellets. Pectin/ethyl cellulose coated pellets displayed delayed Tmax and decreased Cmax with prolonged mean residence time compared to uncoated pellets. It was also reported that the pectin/ethyl cellulose coating prevented epithelial lesions in the stomachs of rats after 24 h incubation. Based on these findings, it was concluded that pectin/ethyl cellulose film coating could effectively target the colon.
An in situ intracapsular coating of ethylcellulose as a hydrophobic layer on zinc-pectinate pellets was reported to provide targeted delivery of 5-FU [59]. On wetting, the pectin coat of the intracapsular system dissolved which led to network formation of an ethylcellulose plug with the pellets. Less than 25% of the drug was released in the upper GIT, whereas most drug was released upon prolonged dissolution and in response to pectinase (a microbial enzyme located in colon), which digested the core pellets. From in vivo (rats) examination, following the 8 h transit time in the upper GI tract, the intracapsular pellet coating formed a plug that remained mechanically robust before reaching the target site. Two years later, Subudhi et al. [60] formulated nanoparticles of citrus pectin and Eudragit S100 containing 5-FU drug to provide targeted delivery for colorectal cancer. Citrus pectin acts as a ligand for galectin-3 receptors expressed over colorectal cancers, providing a multifaceted approach. In vitro studies revealed selective drug release of 70% in the colonic region after 24 h and an in vitro cytotoxicity assay demonstrated a 1.5-fold more significant cytotoxicity of nanoparticles compared to 5-FU solution against HT-29 cancer cells. The study also presented in vivo (albino rats) data that indicated the successful delivery of coated nanoparticles to the colonic region with extended drug release. Pectin-zinc-chitosan-polyethylene glycol-based colloidal nano-suspension was formulated for targeted delivery of resveratrol. There was negligible drug release in a simulated juice model (pH = 4). While in the SCF (simulated colon fluid) ~49% of the drug was released in the presence of pectinase. From these findings, the proposed NPs can be employed as a novel strategy for successfully delivering resveratrol in the fruit juice matrix [61].
Zhu et al. [62] developed doxorubicin (DOX)-loaded porous starch (PS) granules coated with pectin (P)-chitosan (Pch) for drug targeting. Figure 4 depicts the appearance of beads before lyophilisation and beads with no drug were bright and translucent, Figure 4a. By contrast, coating the drug with pectin displayed caking due to the insolubility of medicine in the solution of pectin, Figure 4b. However, Pch /PS/DOX beads were bright and opaque with a uniform distribution of DOX when PS/ doxorubicin powder was added, Figure 4c. Moreover, in vitro simulated profiles displayed only 13.80% and 17.56% release rates in the upper GIT from Pch/PS/DOX and P/PS/DOX, respectively. The PS and pectin/chitosan coating layer can be used as an effective method to provide a colon targeted delivery.
Figure 4.
Images of the prepared beads: (a) beads without PS/DOX, (b) beads containing PS/DOX and (c) beads containing Pch/PS/DOX [62], reproduced with permission from Elsevier.
Ansari et al. [63] reported pterostilbene loaded beads containing pectin and zinc acetate as a cross-linking agent. The optimised formulation was further coated with pH-dependent Eudragit S-100 and delivered pterostilbene to the colon as evaluated from pharmacokinetics and organ distribution studies using albino rats as the animal model. In the same year, Sabra et al. [64] developed a curcumin-containing modified pectinate-chitosan nanoparticulate carrier system (MCPCNPs). Its mucoadhesive properties extended its contact time, the in vitro findings confirm its potential for colon targeting. In another study, the same authors evaluated the efficacy and specificity of the cetuximab (Cet)-conjugated to the MCPCNPs (Cet-MCPCNPs) towards cells that overexpress epidermal growth factor receptor (EGFR) which are responsible for epithelial malignancies. The in vitro release studies of the drug in simulated media displayed a drug release profile with a significant reduction of cancer cell propagation. Thus, the data suggests a new approach for the treatment of colorectal cancer [65].
The research studies cited above show that pectin has great potential in developing targeted drug delivery systems for colorectal cancer.
3.2. Chitosan
Chitosan is a linear amino polysaccharide comprised of (1→4) linked D-glucosamine and N-acetyl-D-glucosamine units randomly distributed throughout. Chitosan is obtained from chitin found naturally in the exoskeleton of crustaceans such as shrimp and crab, through alkaline deacetylation [131]. There is a strong interest in pharmaceutical and biomedical applications for this cationic polysaccharide due to its extensive availability, characteristic pharmacological properties, mucoadhesivity and other beneficial biological properties [132]. The ability of chitosan to prolong residence time in the GI tract through mucoadhesion and its ability to enhance absorption by increasing permeability are the major factors contributing to its extensive evaluation as a component of oral dosage forms [133]. Consequently, chitosan-based delivery systems have been widely studied for colonic drug targeting since such systems can protect therapeutic agents from the hostile conditions of the upper GI tract and release the entrapped agents, specifically at the colonic site, through degradation of the glycosidic linkages of chitosan by colonic microflora. Aydin and Pulat [66] developed tripolyphosphate-crosslinked 5-FU encapsulated chitosan nanoparticles to provide localised drug delivery for colorectal cancer. The optimised nanoparticles displayed significant swelling characteristics when exposed to pH 5 and demonstrated controlled and sustained release (in vitro) of 5-FU from chitosan nanoparticles ranging from 29.1–60.8% depending on pH after 408h. The release profiles suggested that chitosan nanoparticles can be used as pH-responsive smart-drug delivery agents to provide localised cancer treatment. In another study, a multiparticulate system composed of chitosan microspheres to provide colon-specific capecitabine delivery for colorectal cancer treatment was reported. According to in vitro release studies, the formulation demonstrated an initial burst release mimicking stomach conditions that were not satisfactory because the contents needed to be released in the colon. Hence, this study has suggested that coating of microspheres may be a valuable option to attain colon targeting [67].
Galactosylated chitosan (GC), a derivative of chitosan, is reported to provide targeted delivery of therapeutic agents. GC can significantly enhance the hepatocyte-targeting compared to chitosan due to specific ligand–receptor interaction between galactose-moieties and asialoglycoprotein receptors. Although studies on colon-targeting specificity are limited, several recent reports have shown that GC could help deliver drugs precisely to the colonic activated macrophages due to the receptor-mediated endocytosis. For this purpose, Liu et al. [68] developed 5-FU-loaded mesoporous silica nanoparticles (5-FU@MSN-NH2)-based galactosylated chitosan (GCs) as galactose receptor-mediated materials for colon targeting drug delivery. The 5-FU@MSN-NH2/GC displayed high loading capacity, sustained release and higher toxicity to human colon cancer cells than free 5-FU (in vitro). The 5-FU@MSN-NH2/GC nanoparticles recognized and bound specifically to the galectin-receptor on the surface of cancer cells. In the same year, Woraphatphadung et al. [69] formulated pH-sensitive polymeric micelle carriers of N-octyl-N, Osuccinyl chitosan (OSCS) and N-naphthyl-N,O-succinyl chitosan (NSCS) to incorporate curcumin (CUR). The release of the drug from all CUR-loaded micelles was pH-dependent. The cumulative percentage of drug released in the simulated gastric fluid was limited, while the release was significantly higher in simulated intestinal and colonic media. The drug-loaded NSCS exhibited higher anti-cancer activity against colorectal HT-29 cancer cells.
The mucoadhesiveness of polysaccharides has advantages for drug uptake providing prolonged contact between the mucosal surface and drug delivery carriers. Dodov et al. [70] formulated lectin-conjugated chitosan-Ca-alginate microparticles containing 5-FU after conjugation with wheat germ agglutinin to provide a muco/bio-adhesive system for local drug delivery. In vitro drug release from the microparticles mimicked the simulated in vivo conditions, thus providing high drug concentration at the local site and enhanced 5-FU tissue accumulation. Chitosan succinate (CS)-sodium alginate (SA) macromolecular complex beads containing capecitabine were found to offer a high degree of protection from premature drug release in the upper GIT while most of the drug was delivered in the colonic region. The CS-SA beads induced apoptosis by inhibiting the proliferation of HT-29 cells [71].
The enteric coating over chitosan protects it to dissolve at acidic pH (2–4) in the stomach as the amine groups of chitosan tends to fully ionise in gastric conditions which may lead to premature drug release. While the prepared formulation reaches the small intestine, the increase in pH leads to dissolving of the enteric coat and the release of the chitosan-coated core [134]. Under these findings, chitosan nanoparticles containing 5-FU were developed with enteric-coated polymer Eudragit L100 to protect the drug from the acidic environment after oral administration. The optimised drug-polymer ratio (1:3) released the drug in intestinal fluid once the nanoparticles reached the colon after 4 h with a sustained release effect over 24 h (in vitro) [72].
Similarly, in another study, Jain and Sanjay [73] prepared ligand-coupled chitosan nanoparticles encapsulating 5-FU with the enteric coating of hyaluronic acid. Drug release studies conducted under simulated gastric conditions and following colon transit time indicated that the drug remained protected in both stomach and intestine physiological media. The presence of relatively high drug concentration with prolonged exposure demonstrated a potential to provide an enhanced anti-tumour efficacy along with reduced systemic toxicity. Patel [74] has prepared chitosan-based meloxicam microspheres followed by tableting and coating using enteric polymer (Eudragit® S100). The pharmacokinetic investigation was carried out using a rabbit model showing significant difference in Tmax and Tlag time between enteric-coated and uncoated tablets. Moreover, the optimised formulation revealed the successful colon targeting.
The research studies cited above clearly indicate chitosan’s usefulness in developing colon targeted formulations.
3.3. Guar Gum
Guar gum is a naturally occurring, long-chain carbohydrate polymer derived from the refined endosperm of guar beans Cyamposis tetragonolobus. The polymer is composed of high molecular weight hydrocolloidal polysaccharides comprised of mannan and galactan units joined by glycosidic linkages [135,136,137,138]. The carbohydrate consists of approximately 80% galactomannan, 5% protein, 12% water, 0.7% fat and 2% acid-soluble ash [139]. It is a highly water-soluble, non-toxic and completely biodegradable polymer that usually swells in cold water to form a gel or solution with a low shear viscosity compared to other hydrocolloids [140,141,142,143,144,145,146]. The gelling property of the polymer retards the drug release from the dosage form, and its microbial degradation in the colon which is mainly due to anaerobic bacteria which are colonic Bacteroides species (B. thetaiotaomicron, B. uniformis, B. fragilis, B. distasonis, B. ovatus, B. Variabilis and B. distasonis). Guar gum is useful as a hydrophilic matrix for oral controlled delivery of drugs, [143] and for the colon-specific controlled release of various therapeutic agents [144]. For example, Krishnaiah and co-researchers [75] investigated drug release from (in vitro) fast disintegrating 5-FU core tablets compression-coated with guar gum. The compression coat was comprised of 60%, 70% and 80% guar gum and the formulations were given names as FHV-60%, FHV-70% and FHV-80%, respectively. Among them, the FHV-80% formulation displayed negligible drug release in SGF (simulated gastric fluid) and SIF (simulated intestinal fluid) in comparison to other formulations (FHV-60% and FHV-70%). The FHV-80% formulation released 41% of the drug in the physiological environment of the colon. Thus, the FHV-80% formulation is more likely to target the drug to the colonic region without significant drug release in the stomach and small intestine. In the following year, the same formulations were tested in human subjects to evaluate their pharmacokinetic characteristics. A delayed absorption rate followed oral administration of the colon-targeted tablets with 80% guar gum compression coat, with decreased Cmax, delayed Tmax and a decreased absorption rate constant in comparison to the immediate release tablet, indicating the inability of the FHV-80% to release 5-FU in the stomach and small intestine, making the drug available in the colon for therapeutic action [76]. Chaurasia et al. [77] prepared cross-linked guar gum microspheres containing methotrexate (MTX) for colon delivery. The microspheres, formulated by crosslinking guar gum with glutaraldehyde were tested in vitro using different dissolution media (phosphate buffer saline (PBS), simulated GIT fluids of different pHs and rat caecal content containing release media). The results indicated that the drug release characteristics were considerably altered as the concentration of glutaraldehyde and guar gum varied. Moreover, the result suggested drug retention until it reached the colon.
Guar gum-based tablets were developed using quercetin. In vitro release studies confirmed that guar gum delayed the release of drug in the upper GI tract and allowed drug release in the colonic region [78]. In the subsequent year, Vat and Pathak [79] evaluated drug release from directly compressed piroxicam-loaded guar gum (GG) microsphere tablets to provide sustained and targeted adjuvant therapy for colonic adenocarcinomas. The cross-linked (glutaraldehyde) guar gum microsphere tablets were coated with Eudragit S-100 to produce a lag time of 2h in SGF followed by a substantially decreased drug release in SIF between 8–10 h. In simulated colonic medium (with pectinase enzymes), a controlled drug release of 96.66–97.11% was achieved. According to the in vivo findings using a rabbit animal model, the coated tablets were captured intact in the stomach and small intestines, and their significant size reduction began in the colon. It was concluded that the model formulation could be used as a potential candidate for developing colon targeted formulations. Singh et al. [80] improved the oral drug delivery of 5-FU via probiotic and prebiotic approaches. Drug nanoparticles were coated with guar and xanthan gum to act as prebiotics and probiotics in this approach. After coating, the drug remained protected in the GI tract and released its contents (93%) in the 7.4 pH in 4% w/v rat caecal content. In conclusion, the developed approach could overcome the cytotoxicity problem of 5-FU for colonic bacteria. Mesoporous silica nanoparticles (MSN), which are based on enzyme-responsive material, were modified with a capping layer containing 5-FU as a model drug within the MSN mesoporous channels as shown in Figure 5. Drugs were not released at low pH and were triggered through enzymatic biodegradation of the polymer by colonic enzymes present in the simulated colonic microenvironment (in vitro). In conclusion, the drug-loaded GG-MSN delivery system demonstrated promising potential for oral administration for colon targeting [81]. In the same year, cross-linked polymer-based 5-FU loaded microspheres composed of guar gum and sodium borate were developed to provide a controlled release formulation. The drug–polymer ratio (1:09) along with 6% sodium borate was able to control the release of the drug over 24 h. The drug remained stable in the microspheres in vitro and followed zero-order kinetics in both degradation and erosion. [82].
Figure 5.
Schematic diagram displaying GG-MSN-based colon specific drug delivery concept, which is activated by colonic enzymes [81], reproduced with permission from Elsevier.
The research studies mentioned above clearly indicate that after oral administration of guar gum coated formulations, the therapeutic agents were successfully delivered to colonic regions.
3.4. Alginate
Alginate is a naturally occurring hydrophilic and anionic polysaccharide derived from bacteria and brown seaweed. [145,146] The polymer has a linear chain made of alternating units of 1,4 linked β-D-mannuronic acid and α-L-guluronic acids [147]. Alginate is commercially available in the form of a salt, e.g., sodium alginate. The chemical versatility, biodegradability and low toxicity of alginate are well known; however, the unique property of alginate to develop a stable gel in aqueous media by adding multivalent cations makes it useful for cell immobilization and drug delivery. Moreover, alginate also possesses cross-linking capability, mucoadhesiveness and pH-sensitivity as key properties suitable for oral colonic delivery [110,148,149]. Therefore, alginates have been explored in the design of nano-drug carriers for site-specific drug delivery, especially in colon cancer treatments [110,150,151]. Zang et al. [83] formulated a graphene oxide-based sodium alginate containing 5-FU (GO-ALG/5-FU) drug delivery system to enable colon-targeting. Both in vitro and in vivo studies displayed colon-targeted release behaviour with lower systemic toxicity. Mice treated with GO-ALG/5-FU exhibited higher tumour suppression with prolonged survival time. In another study, colon-specific microspheres of 5-FU in alginate were cross-linked with calcium chloride and further coated with pH-dependent Eudragit S-100. The coated microspheres showed a high potential to target the pH encountered in the colonic region [84]. Later, this group also investigated the pharmacokinetics and pharmacodynamics of the same formulation in rats compared to conventional immediate release 5-FU tablets. The immediate-release tablets predominately distributed 5-FU in the upper GI tract within 1–2 h while the colonic-specific microspheres displayed no drug release in the stomach and intestinal regions, as shown in Figure 6. Significantly higher levels of the active drug were obtained in the colonic tissues from the microspheres (p < 0.001). The drug concentration was higher than the IC50 required to halt the growth or kill cancer cells of the colon. Over 4 weeks, rats given microspheres had reduced tumour volume and tumour multiplicity relative to immediate release 5-FU treated rats [85].
Figure 6.
5-FU concentrations in homogenates of caecum contents (a) caecum tissues (b) colonic contents (c) and colon tissues (d) after oral administration of colon-specific developed microspheres and immediate-release (IR) formulations of 5-FU. [85], reproduced with permission from Oxford Academic.
In another study, Eudragit® S100-coated nanoparticles were encapsulated in alginate pellets with indomethacin as a model drug to provide colon-specific drug delivery. The alginate pellets loaded with Eudragit® S100 NPS or indomethacin powder exhibited a diameter of ~2 mm, as shown in Figure 7. The NPS incorporation displayed a significantly higher fraction of drug load (around 60%) in SCF (simulated colonic fluid). The results demonstrated that NPs loaded alginate carriers exhibited a promising strategy for the delivery of chemotherapeutic agents in the colonic region [86]. In the following year, Agarwal et al. [87] developed calcium alginate–carboxymethyl cellulose (CA-CMC) beads for the oral delivery. In vitro dissolution studies showed negligible drug release from beads in SGF (simulated gastric fluid) due to swelling and mucoadhesion of beads in SGF, whereas CA-CMC beads degraded slowly in SIF (simulated intestinal fluid) and the rate of degradation also considerably increased due to colonic microflora-induced enzymatic breakdown. Apoptosis analysis (by flow cytometry), nuclear condensation and cytotoxicity data in HT-29 cells confirmed the CA-CMC-loaded 5-FU product had therapeutic potential. In the same year, another study reported alginate beads coated with pH-dependent Eudragit® S-100 self-emulsifying curcumin (SE-Cur). The rate and amount of drug released from the beads were influenced by calcium chloride and alginate concentrations. The formulation, containing a mixture of 2–4% alginate, SE-Cur and 0.1 or 0.3 M calcium chloride, could inhibit the drug release in the upper GIT and SIF while in SCF > 60% of the drug was released within 12 h. From these findings, the alginate could be used as a carrier to deliver poorly soluble drugs [88].
Figure 7.
Alginate pellets with 2 mm in diameter (left) comprised of indomethacin-loaded S100 nanoparticles and alginate pellets (right) incorporating indomethacin powder developed using the drop technique [86], reproduced with permission from Wiley.
Asnani and Kokare [89] developed cross-linked hydrogel-based portulaca-alginate beads containing 5-FU. Portulaca, a natural polysaccharide, is soluble in acidic pH while it does not swell in alkaline or neutral pH environments. Therefore, in this study, portulaca was cross-linked with sodium alginate and calcium ions, followed by further crosslinking with epichlorohydrin. The developed microspheres exhibited sustained drug release after oral administration and higher relative bioavailability compared to the 5-FU solution (in vitro and in vivo (rat model)). The drug distribution was higher in the colonic region. In a recent study, a multi-unit mat of nanofibers was formulated to provide targeted delivery of bioactive peptide and salmon calcitonin (sCT) to the colonic region. Sodium alginate and sCT-loaded liposomes were coated with pectin to ensure the sustained release from the core-shell nanofibers mat in SCF [90]. Sun et al. [91] formulated dual-layered, pH-sensitive microbeads of alginate/chitosan/kappa-carrageenan (Alg/Cs/kC) to provide targeted delivery of 5-FU. Here kappa-carrageenan, which is isolated from seaweed, was used as a carrier due to its excellent gelling, anticoagulant, antioxidant, antifungal and antibacterial properties. The freshly prepared wet and dry microbeads are shown in Figure 8. From in vitro release studies under simulated GI conditions, the addition of a kC layer decreased drug release from 14% to 7%. Thus, the results indicate that the proposed microbeads could be used effectively to target anticancer drugs to the colon.
Figure 8.
5-FU-loaded Alg/Cs/kC microbeads, and digital photographs of freshly prepared (a) wet and (b) dry microbeads [91], reproduced with permission from Elsevier.
The research studies cited above clearly indicate that alginate, when cross-linked with the pH-dependant coatings, successfully targeted the drugs to the colonic region with improved bioavailability after oral administration.
3.5. Hyaluronic Acid
Hyaluronic acid (HA) is a linear polysaccharide comprised of alternating D-glucuronic acid (GlcUA) and N-acetyl-D-glucosamine (GlcNAc) units [152]. It is usually found in vertebrates, animals and bacteria but it is not present in plants, fungi or insects. HA has been utilised as a drug delivery agent for various routes of administration including nasal, ophthalmic, parenteral, pulmonary and topical routes [153,154]. HA has also been explored in colon-specific drug delivery systems for oral administration. Jain et al. developed hyaluronic acid-coupled chitosan-based nanoparticles containing 5-FU (HACTNP) to treat colon cancer. The HACTNP nanoparticles demonstrated significantly higher uptake in cancer cells in comparison to uncoupled nanoparticles. The cytotoxicity of the drug incorporated in HACTNP was much higher than the conventional solution of 5-FU even at a lower concentration of 5-FU [92].
In another study, hyaluronic acid coupled with chitosan nanoparticles containing oxaliplatin was encapsulated within the core of Eudragit S100 pellets (Figure 9). After oral administration in mice, the formulated pellets delivered 1.99 ± 0.82 and 9.36 ± 1.10 μg of drug/g of tissue in the colon and in tumour after 12 h, respectively. Moreover, this delivery system exhibited a higher drug concentration in the colonic milieu and tumours with an extended exposure time of the drug [93].
Figure 9.
Mechanistic system of Eudragit-coated pellets encapsulating nanoparticles for colon-specific targeting [93], reproduced with permission from Elsevier.
In a recent study to reduce side effects and maximise therapeutic response, Kotla et al. [94] formulated hyaluronan functionalised polymeric nanoparticles using curcumin (Cur-HA NPs). The schematic of the fabricated nanoconjugate system is shown in Figure 10. The in vitro release study in the enzymatic dissolution media (SGF with pepsin) displayed that the drug release was protected during its transit through the GI tract, but drug load was higher in the colonic site. Moreover, the in vitro cell culture studies on the colon carcinoma cell lines (Caco-2 and HT-29) displayed no cytotoxicity; thus, the constituents used are regarded as safe.
Figure 10.
Schematic illustration of fabrication of the nanoconjugate system [94].
3.6. Dextran
This hydrophilic polymer is naturally sourced from the exo-cellular bacteria Leuconostoc mesenteroides (family Lactobacillus) [95,150]. The polysaccharide is made of long α-D-glucose molecules, most of which are linked to 1:6-α-glucose units while the side chains consist of 1:3-α-linked branches [143]. Gram-negative anaerobic intestinal bacteria display dextranase activity in the colon, but dextran remains undigested in the stomach and small intestine. [155]. It is conveniently used as a drug vehicle due to its hydrophilic and colloidal nature, inertness, low cost and versatile chemical derivatization [156]. After the successful delivery of dextran-T-70-naproxen ester prodrug in pigs by Harboe et al. [157] with almost 100% bioavailability, the polymer has been used in other drug delivery systems. Dextran has been exploited in terms of colon targeted drug delivery by Rai et al. [95] with colon-specific delivery of 5-FU using Eudragit S-100 and L-100 enteric-coated dextran microspheres. The release of the drug from coated dextran microspheres was pH-dependent. No drug release was observed in an acidic environment. By contrast, the drug release was fast at pH (7.4), where the Eudragit starts solubilizing, which facilitated the continuous release of drug from the microspheres. After oral administration of Eudragit S-100 enteric-coated dextran microspheres, the drug became available in the colon by the 12th hour. In conclusion, Eudragit L-100/S-100 enteric-coated microspheres could directly deliver drug loads into the colon without significant dose-dumping in the stomach or small intestine [95].
3.7. Chondroitin Sulphate
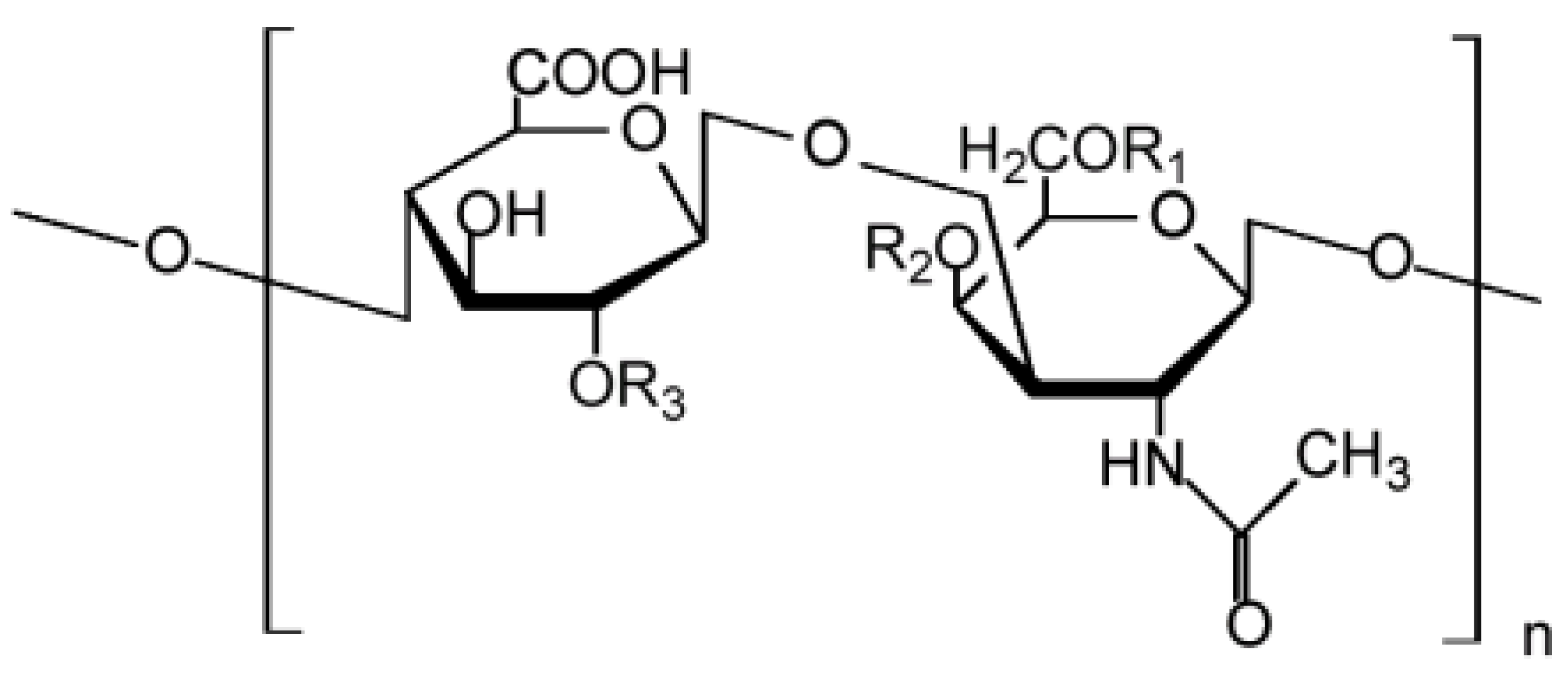
Chondroitin sulphate is a natural water-soluble and biocompatible polymer composed of D-glucuronic acid and N-acetyl galactosamine repeating units. The polymer is biodegradable when exposed to Gram-negative anaerobic bacteria in the colonic region of the large intestine. Chondroitin sulphate has been utilized in several ways to develop polymeric drug delivery systems, including hydrogels, nanogels and microgels as well as colon-targeted delivery systems [158]. Raza et al. [96] developed chondroitin sulphate–polyvinyl alcohol cross-linked microcapsule to provide targeted delivery of 5-FU for colon cancer. The optimized formulation displayed maximum drug entrapment efficiency with higher drug loading compared to other formulations prepared. The drug release was lower in the gastric environment, while the drug release maximum was at pH 7.4 (82%) due to the hydrolysis of acetyl linkage glutaraldehyde at alkaline pH present as a crosslinker. From the above findings, the proposed drug delivery system can be used to deliver therapeutic acid-sensitive moieties and where controlled drug release is desirable.
4. Conclusions
This review was planned to systematically search the evidence of the potential of carbohydrate polymers in colon targeted formulations for managing colon cancer. All the eligible studies were thoroughly screened using PRISMA guidelines. This systematic review identified seven different carbohydrate polymers presently explored. Among them, pectin (11) is the most explored biopolymer, followed by chitosan (09), alginate (09) and guar gum (08). In vitro and in vivo investigations confirm their successful execution and have demonstrated that incorporating carbohydrate polymers, either single or in combination, has successfully delivered pharmaceutical ingredients to the colon with minimal drug loss in the upper GI tract. The findings of this systematic review also confirm the use of carbohydrate polymers in delivering prebiotics and probiotics. Moreover, chondroitin sulphate-polyvinyl alcohol cross-linked microcapsules for controlled drug delivery in the colon have been identified. In conclusion, this comprehensive systematic review shows a thorough understanding and importance of carbohydrate polymer as natural materials for targeted colon drug delivery. In addition, while developing colon targeted drug delivery, the critical parameter (pH of the GIT and colonic medium) and concentration (drug: polymer ratio) have been considered essential parameters for successfully developing colon targeted formulations. Although the current systematic review has highlighted the progress in developing carbohydrate polymers for colon targeting, these systems are still transitioning between labs and clinics. For instance, the tumour microenvironment can influence the pH of the drug target areas, which can complicate the drug release kinetics from these dosage forms and obscure the overall treatment plan. More extensive research and development work, especially on pre-clinical aspects, is essential to better understand and optimise these formulations.
Supplementary Materials
The following supporting information can be downloaded at: https://www.mdpi.com/article/10.3390/polysaccharides3040040/s1, Table S1: Study characteristics of carbohydrate-based polymers used to provide targeted delivery; Table S2: Assessment of risk of bias for each study included in the systematic review.
Author Contributions
Conceptualization B.R.C., M.U.G.; methodology, S.F., J.S.N., T.L.A., B.R.C., M.U.G.; validation, S.F., J.S.N., T.L.A., A.M.Y., T.H., Y.S., N.K., Q.M.; data curation, S.F., T.L.A.; writing—original draft preparation, S.F., T.L.A.; writing—review and editing, S.F., J.S.N., T.L.A., A.M.Y., T.H., YS, N.K., Q.M., B.R.C., M.U.G.; supervision, M.U.G.; project administration, M.U.G. All authors have read and agreed to the published version of the manuscript.
Funding
This research received no external funding.
Institutional Review Board Statement
Not applicable.
Informed Consent Statement
Not applicable.
Acknowledgments
The authors acknowledge the financial assistance provided by the University of Huddersfield, UK.
Conflicts of Interest
The authors declare no conflict of interest.
References
- Ferlay, J.; Colombet, M.; Soerjomataram, I.; Dyba, T.; Randi, G.; Bettio, M.; Gavin, A.; Visser, O.; Bray, F. Cancer incidence and mortality patterns in Europe: Estimates for 40 countries and 25 major cancers in 2018. Eur. J. Cancer 2018, 103, 356–387. [Google Scholar] [CrossRef] [PubMed]
- Bray, F.; Ferlay, J.; Soerjomataram, I.; Siegel, R.L.; Torre, L.A.; Jemal, A. Global cancer statistics 2018: GLOBOCAN estimates of incidence and mortality worldwide for 36 cancers in 185 countries. CA-Cancer J. Clin. 2018, 68, 394–424. [Google Scholar] [CrossRef] [PubMed]
- Keum, N.; Giovannucci, E. Global burden of colorectal cancer: Emerging trends, risk factors and prevention strategies. Nat. Rev. Gastroenterol. Hepatol. 2019, 16, 713–732. [Google Scholar] [CrossRef]
- Marshall, J.R. Prevention of colorectal cancer: Diet, chemoprevention, and lifestyle. Gastrointest. Endosc. Clin. N. Am. 2008, 37, 73–82. [Google Scholar] [CrossRef]
- Grieu, F.; Malaney, S.; Ward, R.; Joseph, D.; Iacopetta, B. Lack of association between CCND1 G870A polymorphism and the risk of breast and colorectal cancers. Anticancer Res. 2003, 23, 4257–4259. [Google Scholar] [PubMed]
- Hossain, S.; Karuniawati, H.; Jairoun, A.A.; Urbi, Z.; Ooi, D.J.; John, A.; Lim, Y.C.; Kibria, K.M.K.; Mohiuddin, A.M.; Ming, L.C.; et al. Colorectal Cancer: A Review of Carcinogenesis, Global Epidemiology, Current Challenges, Risk Factors, Preventive and Treatment Strategies. Cancers 2022, 14, 1732. [Google Scholar] [CrossRef]
- Markowitz, S.D.; Dawson, D.M.; Willis, J.; Willson, J.K.V. Focus on colon cancer. Cancer Cell. 2002, 1, 233–236. [Google Scholar] [CrossRef]
- Markowitz, S.D.; Bertagnolli, M.M. Molecular origins of cancer: Molecular basis of colorectal cancer. N. Engl. J. Med. 2009, 361, 2449–2460. [Google Scholar] [CrossRef]
- Derakhshankhah, H.; Izadi, Z.; Alaei, L.; Lotfabadi, A.; Saboury, A.A.; Dinarvand, R.; Divsalar, A.; Seyedarabi, A.; Barzegari, E.; Evini, M. Colon cancer and specific ways to deliver drugs to the large intestine. Curr. Med. Chem. Anticancer Agents. 2017, 17, 1317–1327. [Google Scholar] [CrossRef]
- Amersi, F.; Agustin, M.; Ko, C.Y. Colorectal cancer: Epidemiology, risk factors, and health services. Clin. Colon Rectal Surg. 2005, 18, 133–140. [Google Scholar] [CrossRef]
- Haggar, F.A.; Boushey, R.P. Colorectal cancer epidemiology: Incidence, mortality, survival, and risk factors. Clin. Colon Rectal Surg. 2009, 22, 191–197. [Google Scholar] [CrossRef] [PubMed]
- Weissman, S.; Sebrow, J.; Gonzalez, H.H.; Weingarten, M.J.; Rosenblatt, S.; Mehta, T.I.; Thaker, R.; Krzyzak, M.; Saleem, S. Diagnosis of Primary Colorectal Carcinoma with Primary Breast Cancer: Associations or Connections? Cureus 2019, 11, e4287. [Google Scholar] [CrossRef] [PubMed]
- Fedirko, V.; Tramacere, I.; Bagnardi, V.; Rota, M.; Scotti, L.; Islami, F.; Negri, E.; Straif, K.; Romieu, I.; La Vecchia, C. Alcohol drinking and colorectal cancer risk: An overall and dose–response meta-analysis of published studies. Ann. Oncol. 2011, 22, 1958–1972. [Google Scholar] [CrossRef] [PubMed]
- Krishnaiah, Y.S.; Khan, M.A. Strategies of targeting oral drug delivery systems to the colon and their potential use for the treatment of colorectal cancer. Pharm. Dev. Technol. 2012, 17, 521–540. [Google Scholar] [CrossRef]
- Watson, A.J. An overview of apoptosis and the prevention of colorectal cancer. Crit. Rev. Oncol. Hematol. 2006, 57, 107–121. [Google Scholar] [CrossRef] [PubMed]
- Gulbake, A.; Jain, A.; Jain, A.; Jain, A.; Jain, S.K. Insight to drug delivery aspects for colorectal cancer. World J. Gastroenterol. 2016, 22, 582–599. [Google Scholar] [CrossRef]
- Marshall, J.L. Managing potentially resectable metastatic colon cancer. Gastrointest. Cancer. Res. 2008, 2, S23–S26. [Google Scholar]
- Michor, F.; Iwasa, Y.; Lengauer, C.; Nowak, M.A. Dynamics of colorectal cancer. Semin. Cancer Biol. 2005, 15, 484–493. [Google Scholar] [CrossRef]
- Meany, D.L.; Sokoll, L.J.; Chan, D.W. Early Detection of Cancer: Immunoassays for Plasma Tumor Markers. Expert Opin. Med. Diagn. 2009, 3, 597–605. [Google Scholar]
- Ravi, V.; Pramod Kumar, T.M.; Siddaramaiah. Novel colon targeted drug delivery system using natural polymers. Indian J. Pharm. Sci. 2008, 70, 111–113. [Google Scholar]
- Naeem, M.; Awan, U.A.; Subhan, F.; Cao, J.; Hlaing, S.P.; Lee, J.; Im, E.; Jung, Y.; Yoo, J.W. Advances in colon-targeted nano-drug delivery systems: Challenges and solutions. Arch. Pharmacal. Res. 2020, 43, 153–169. [Google Scholar] [CrossRef]
- Rubinstein, A. Colonic drug delivery. Drug Discov. Today Technol. 2005, 2, 33–37. [Google Scholar] [CrossRef] [PubMed]
- Philip, A.K.; Philip, B. Colon targeted drug delivery systems: A review on primary and novel approaches. Oman Med. J. 2010, 25, 79–87. [Google Scholar] [CrossRef] [PubMed]
- Amidon, S.; Brown, J.E.; Dave, V.S. Colon-targeted oral drug delivery systems: Design trends and approaches. AAPS PharmSciTech 2015, 16, 731–741. [Google Scholar] [CrossRef] [PubMed]
- Kotla, N.G.; Gulati, M.; Singh, S.K.; Shivapooja, A. Facts, fallacies and future of dissolution testing of polysaccharide based colon-specific drug delivery. J. Control. Release 2014, 178, 55–62. [Google Scholar] [CrossRef]
- Shah, N.N.; Casella, E.; Capozzi, D.; McGettigan, S.; Gangadhar, T.C.; Schuchter, L.; Myers, J.S. Improving the safety of oral chemotherapy at an academic medical center. J. Oncol. Pract. 2016, 12, 71–76. [Google Scholar] [CrossRef]
- Faisal, W.; Farag, F.; Abdellatif, A.A.; Abbas, A. Taste masking approaches for medicines. Curr. Drug Deliv. 2018, 15, 167–185. [Google Scholar] [CrossRef]
- Tawfeek, H.M.; Abdellatif, A.A.; Dennison, T.J.; Mohammed, A.R.; Sadiq, Y.; Saleem, I.Y. Colonic delivery of indometacin loaded PGA-co-PDL microparticles coated with Eudragit L100-55 from fast disintegrating tablets. Int. J. Pharm. 2017, 531, 80–89. [Google Scholar] [CrossRef]
- Leuva, V.; Patel, B.; Chaudhary, D.; Patel, J.; Modasiya, M. Oral colon-specific drug delivery system. J. Pharm. Res. 2012, 5, 2293–2297. [Google Scholar]
- Wichitnithad, W.; Nimmannit, U.; Wacharasindhu, S.; Rojsitthisak, P. Synthesis, characterization and biological evaluation of succinate prodrugs of curcuminoids for colon cancer treatment. Molecules 2011, 16, 1888–1900. [Google Scholar] [CrossRef]
- Rao, K.M.; Nagappan, S.; Seo, D.J.; Ha, C.S. pH sensitive halloysite-sodium hyaluronate/poly (hydroxyethyl methacrylate) nanocomposites for colon cancer drug delivery. Appl. Clay Sci. 2014, 97, 33–42. [Google Scholar] [CrossRef]
- Ashwanikumar, N.; Kumar, N.A.; Nair, S.A.; Kumar, G.V. Methacrylic-based nanogels for the pH-sensitive delivery of 5-fluorouracil in the colon. Int. J. Nanomed. 2012, 7, 5769. [Google Scholar]
- Tran, P.H.; Tran, T.T. Mucoadhesive formulation designs for oral controlled drug release at the colon. Curr. Pharm. Des. 2021, 27, 540–547. [Google Scholar] [CrossRef] [PubMed]
- Singh, K.I.; Singh, J.; Sharma, D.; Sharma, A. Colon specific drug delivery system: Review on novel approaches. Int. J. Pharm. Sci. Res. 2012, 3, 637. [Google Scholar]
- Sinha, V.; Kumria, R. Microbially triggered drug delivery to the colon. Eur. J. Pharm. Sci. 2003, 18, 3. [Google Scholar] [CrossRef]
- Ji, C.; Xu, H.; Wu, W. In vitro evaluation and pharmacokinetics in dogs of guar gum and Eudragit FS30D-coated colon-targeted pellets of indomethacin. J. Drug Target. 2007, 15, 123–131. [Google Scholar] [CrossRef]
- Kumar, M.; Ali, A.; Kaldhone, P.; Shirode, A.; Kadam, V.J. Report on pharmaceutical approaches to colon targeted drug delivery systems. J. Pharm. Res. 2010, 3, 470–473. [Google Scholar]
- Zhang, L.; Sang, Y.; Feng, J.; Li, Z.; Zhao, A. Polysaccharide-based micro/nanocarriers for oral colon-targeted drug delivery. J. Drug Target. 2016, 24, 579–589. [Google Scholar] [CrossRef]
- Godge, G.; Hiremath, S. Development and evaluation of colon targeted drug delivery system by using natural polysaccharides/polymers. Dhaka Univ. J. Pharm. Sci. 2014, 13, 105–113. [Google Scholar] [CrossRef]
- Shukla, R.K.; Tiwari, A. Carbohydrate polymers: Applications and recent advances in delivering drugs to the colon. Carbohydr. Polym. 2012, 88, 399–416. [Google Scholar] [CrossRef]
- Kotla, N.G.; Rana, S.; Sivaraman, G.; Sunnapu, O.; Vemula, P.K.; Pandit, A.; Rochev, Y. Bioresponsive drug delivery systems in intestinal inflammation: State-of-the-art and future perspectives. Adv. Drug Deliv. Rev. 2019, 146, 248–266. [Google Scholar] [CrossRef] [PubMed]
- Barclay, T.G.; Day, C.M.; Petrovsky, N.; Garg, S. Review of polysaccharide particle-based functional drug delivery. Carbohydr. Polym. 2019, 221, 94–112. [Google Scholar] [CrossRef] [PubMed]
- Kaur, G.; Grewal, J.; Jyoti, K.; Jain, U.K.; Chandra, R.; Madan, J. Oral controlled and sustained drug delivery systems: Concepts, advances, preclinical, and clinical status. In Drug Targeting and Stimuli Sensitive Drug Delivery Systems; Elsevier: Amsterdam, The Netherlands, 2018; pp. 567–626. [Google Scholar]
- Ranjbari, J.; Mokhtarzadeh, A.; Alibakhshi, A.; Tabarzad, M.; Hejazi, M.; Ramezani, M. Anti-cancer drug delivery using carbohydrate-based polymers. Curr. Pharm. Des. 2017, 23, 6019–6032. [Google Scholar] [CrossRef]
- Chourasia, M.; Jain, S. Polysaccharides for colon targeted drug delivery. Drug Deliv. 2004, 11, 129–148. [Google Scholar] [CrossRef]
- Das, S.; Deshmukh, R.; Jha, A. Role of Natural Polymers in the Development of Multiparticulate Systems for Colon Drug Targeting. Syst. Rev. Pharm. 2010, 1, 79. [Google Scholar] [CrossRef]
- Moher, D.; Liberati, A.; Tetzlaff, J.; Altman, D.G.; Group, P. Preferred reporting items for systematic reviews and meta-analyses: The PRISMA statement. PLoS Med. 2009, 6, e1000097. [Google Scholar] [CrossRef]
- Khizer, Z.; Sadia, A.; Sharma, R.; Farhaj, S.; Nirwan, J.S.; Kakadia, P.G.; Hussain, T.; Yousaf, A.M.; Shahzad, Y.; Conway, B.R.; et al. Drug Delivery Approaches for Managing Overactive Bladder (OAB): A Systematic Review. Pharmaceuticals 2021, 14, 409. [Google Scholar] [CrossRef]
- Nirwan, J.S.; Hasan, S.S.; Conway, B.R.; Ghori, M.U. Investigating the association between body mass index and gastroesophageal reflux disease: A systematic review and meta-analysis. Turk. J. Gastroenterol. 2019, 30 (Suppl. 3), S592–S593. [Google Scholar]
- Yousaf, M.; Nirwan, J.S.; Smith, A.M.; Timmins, P.; Conway, B.R.; Ghori, M. Raft-forming polysaccharides for the treatment of gastroesophageal reflux disease (GORD): Systematic review. J. Appl. Polym. Sci. 2019, 136, 48012. [Google Scholar] [CrossRef]
- Hasan, S.S.; Zaidi, S.T.R.; Nirwan, J.S.; Ghori, M.U.; Javid, F.; Ahmadi, K.; Babar, Z.U.D. Use of central nervous system (CNS) medicines in aged care homes: A systematic review and meta-analysis. J. Clin. Med. 2019, 8, 1292. [Google Scholar] [CrossRef]
- Nirwan, J.S.; Hasan, S.S.; Babar, Z.U.D.; Conway, B.R.; Ghori, M.U. Global prevalence and risk factors of gastro-oesophageal reflux disease (GORD): Systematic review with meta-analysis. Sci. Rep. 2020, 10, 5814. [Google Scholar] [CrossRef] [PubMed]
- Nirwan, J.S.; Hasan, S.S.; Conway, B.R.; Ghori, M.U. Investigating the association between education level and gastroesophageal reflux disease (GERD): A systematic review and meta-analysis. Turk. J. Gastroenterol. 2019, 30 (Suppl. 3), S892–S893. [Google Scholar]
- Nirwan, J.S.; Hasan, S.S.; Conway, B.R.; Ghori, M.U. Investigating the association between diet and gastroesophageal reflux disease (GERD): A systematic review and meta-analysis. Turk. J. Gastroenterol. 2019, 30 (Suppl. 3), S616–S618. [Google Scholar]
- Wang, Q.-W.; Liu, X.-Y.; Liu, L.; Feng, J.; Li, Y.-H.; Guo, Z.J.; Mei, Q.B. Synthesis and evaluation of the 5-fluorouracil-pectin conjugate targeted at the colon. Med. Chem. Res. 2007, 16, 370–379. [Google Scholar] [CrossRef]
- Jain, A.; Gupta, Y.; Jain, S.K. Potential of calcium pectinate beads for target specific drug release to colon. J. Drug Target. 2007, 15, 285–294. [Google Scholar] [CrossRef]
- Paharia, A.; Yadav, A.K.; Rai, G.; Jain, S.K.; Pancholi, S.S.; Agrawal, G.P. Eudragit-coated pectin microspheres of 5-fluorouracil for colon targeting. AAPS PharmSciTech 2007, 8, 12. [Google Scholar] [CrossRef]
- Wei, H.; Qing, D.; De-Ying, C.; Bai, X.; Li-Fang, F. In-vitro and in-vivo studies of pectin/ethylcellulose-film-coated pellets of 5-fluorouracil for colonic targeting. J. Pharm. Pharmacol. 2008, 60, 35–44. [Google Scholar] [CrossRef]
- Elyagoby, A.; Layas, N.; Wong, T. Colon-specific delivery of 5-fluorouracil from zinc pectinate pellets through In Situ intracapsular ethylcellulose–pectin plug formation. J. Pharm. Sci. 2013, 102, 604–616. [Google Scholar] [CrossRef]
- Subudhi, M.B.; Jain, A.; Jain, A.; Hurkat, P.; Shilpi, S.; Gulbake, A.; Jain, S.K. Eudragit S100 coated citrus pectin nanoparticles for colon targeting of 5-fluorouracil. Materials 2015, 8, 832–849. [Google Scholar] [CrossRef]
- Andishmand, H.; Tabibiazar, M.; Mohammadifar, M.A.; Hamishehkar, H. Pectin-zinc-chitosan-polyethylene glycol colloidal nano-suspension as a food grade carrier for colon targeted delivery of resveratrol. Int. J. Biol. Macromol. 2017, 97, 16–22. [Google Scholar] [CrossRef]
- Zhu, J.; Zhong, L.; Chen, W.; Song, Y.; Qian, Z.; Cao, X.; Huang, Q.; Zhang, B.; Chen, H.; Chen, W. Preparation and characterization of pectin/chitosan beads containing porous starch embedded with doxorubicin hydrochloride: A novel and simple colon targeted drug delivery system. Food Hydrocoll. 2019, 95, 562–570. [Google Scholar] [CrossRef]
- Ansari, M.; Sadarani, B.; Majumdar, A. Colon targeted beads loaded with pterostilbene: Formulation, optimization, characterization and in vivo evaluation. Saudi Pharm. J. 2019, 27, 71–81. [Google Scholar] [CrossRef] [PubMed]
- Sabra, R.; Roberts, C.J.; Billa, N. Courier properties of modified citrus pectinate-chitosan nanoparticles in colon delivery of curcumin. Colloids Interface Sci. Commun. 2019, 32, 100192. [Google Scholar] [CrossRef]
- Sabra, R.; Billa, N.; Roberts, C.J. Cetuximab-conjugated chitosan-pectinate (modified) composite nanoparticles for targeting colon cancer. Int. J. Pharm. 2019, 572, 118775. [Google Scholar] [CrossRef]
- Tığlı Aydın, R.S.; Pulat, M. 5-Fluorouracil encapsulated chitosan nanoparticles for pH-stimulated drug delivery: Evaluation of controlled release kinetics. J. Nanomater. 2012, 2012, 42. [Google Scholar] [CrossRef]
- Dilip, N.T. Formulation and development of colon specific multiparticulate system of capecitabine. Asian J. Pharm. 2016, 10, 401–407. [Google Scholar]
- Liu, W.; Zhu, Y.; Wang, F.; Li, X.; Liu, X.; Pang, J.; Pan, W. Galactosylated chitosan-functionalized mesoporous silica nanoparticles for efficient colon cancer cell-targeted drug delivery. R. Soc. Open Sci. 2018, 5, 181027. [Google Scholar] [CrossRef]
- Woraphatphadung, T.; Sajomsang, W.; Rojanarata, T.; Ngawhirunpat, T.; Tonglairoum, P.; Opanasopit, P. Development of chitosan-based pH-sensitive polymeric micelles containing curcumin for colon-targeted drug delivery. AAPS PharmSciTech 2018, 19, 991–1000. [Google Scholar] [CrossRef]
- Dodov, M.G.; Calis, S.; Crcarevska, M.; Geskovski, N.; Petrovska, V.; Goracinova, K. Wheat germ agglutinin-conjugated chitosan–Ca–alginate microparticles for local colon delivery of 5-FU: Development and in vitro characterization. Int. J. Pharm. 2009, 381, 166–175. [Google Scholar] [CrossRef]
- Sinha, P.; Udhumansha, U.; Rathnam, G.; Ganesh, M.; Jang, H.T. Capecitabine encapsulated chitosan succinate-sodium alginate macromolecular complex beads for colon cancer targeted delivery: In vitro evaluation. Int. J. Biol. Macromol. 2018, 117, 840–850. [Google Scholar] [CrossRef]
- Tummala, S.; Kumar, M.S.; Prakash, A. Formulation and characterization of 5-Fluorouracil enteric coated nanoparticles for sustained and localized release in treating colorectal cancer. Saudi Pharm. J. 2015, 3, 308–314. [Google Scholar] [CrossRef] [PubMed]
- Jain, A.; Jain, S.K. Optimization of chitosan nanoparticles for colon tumors using experimental design methodology. Artif. Cells Nanomed. Biotechnol. 2016, 44, 1917–1926. [Google Scholar] [CrossRef] [PubMed]
- Patel, M.M. Formulation and development of di-dependent microparticulate system for colon-specific drug delivery. Drug Deliv. Transl. Res. 2017, 7, 312–324. [Google Scholar] [CrossRef] [PubMed]
- Krishnaiah, Y.S.R.; Satyanarayana, V.; Dinesh Kumar, B.; Karthikeyan, R.S. In vitro drug release studies on guar gum-based colon targeted oral drug delivery systems of 5-fluorouracil. Eur. J. Pharm. Sci. 2002, 16, 185–192. [Google Scholar] [CrossRef]
- Krishnaiah, Y.S.R.; Satyanarayana, V.; Dinesh Kumar, B.; Karthikeyan, R.S.; Bhaskar, P. In vivo pharmacokinetics in human volunteers: Oral administered guar gum-based colon-targeted 5-fluorouracil tablets. Eur. J. Pharm. Sci. 2003, 19, 355–362. [Google Scholar] [CrossRef]
- Chaurasia, M.; Chourasia, M.K.; Jain, N.K.; Jain, A.; Soni, V.; Gupta, Y.; Jain, S.K. Cross-linked guar gum microspheres: A viable approach for improved delivery of anticancer drugs for the treatment of colorectal cancer. AAPS PharmSciTech 2006, 7, 74. [Google Scholar] [CrossRef] [PubMed]
- Singhal, A.; Jain, H.; Singhal, V.; Elias, E.J.; Showkat, A. Colon-targeted quercetin delivery using natural polymer to enhance its bioavailability. Pharmacogn. Res. 2011, 3, 35–39. [Google Scholar] [CrossRef] [PubMed]
- Vats, A.; Pathak, K. Tabletted guar gum microspheres of piroxicam for targeted adjuvant therapy for colonic adenocarcinomas. Ther. Deliv. 2012, 3, 1281–1295. [Google Scholar] [CrossRef]
- Singh, S.; Kotla, N.G.; Tomar, S.; Maddiboyina, B.; Webster, T.J.; Sharma, D.; Sunnapu, O. A nanomedicine-promising approach to provide an appropriate colon-targeted drug delivery system for 5-fluorouracil. Int. J. Nanomed. 2015, 10, 7175. [Google Scholar]
- Kumar, B.; Kulanthaivel, S.; Mondal, A.; Mishra, S.; Banerjee, B.; Bhaumik, A.; Banerjee, I.; Giri, S. Mesoporous silica nanoparticle based enzyme responsive system for colon specific drug delivery through guar gum capping. Colloids Surf. B 2017, 150, 352–361. [Google Scholar] [CrossRef]
- Kamal, T.; Sarfraz, M.; Arafat, M.; Mikov, M. Cross-linked guar gum and sodium borate based microspheres as colon-targeted anticancer drug delivery systems for 5-fluorouracil. Pak. J. Pharm. Sci. 2017, 30, 2329–2336. [Google Scholar] [PubMed]
- Zhang, B.; Yan, Y.; Shen, Q.; Ma, D.; Huang, L.; Cai, X.; Tan, S. A colon targeted drug delivery system based on alginate modificated graphene oxide for colorectal liver metastasis. Mater. Sci. Eng. C 2017, 79, 185–190. [Google Scholar] [CrossRef]
- Rahman, Z.; Kohli, K.; Khar, R.K.; Ali, M.; Charoo, N.A.; Shamsher, A.A. Characterization of 5-fluorouracil microspheres for colonic delivery. AAPS PharmSciTech 2006, 7, 113–121. [Google Scholar]
- Rahman, Z.; Kohli, K.; Zhang, S.Q.; Khar, R.K.; Ali, M.; Charoo, N.A.; Tauseef, M.; Shamsher, A.A.; Mohammed, N.N.; Repka, M.A. In-vivo evaluation in rats of colon-specific microspheres containing 5-fluorouracil. J. Pharm. Pharmacol. 2008, 60, 615–623. [Google Scholar] [PubMed]
- Ma, Y.; Coombes, A.G. Designing colon-specific delivery systems for anticancer drug-loaded nanoparticles: An evaluation of alginate carriers. J. Biomed. Mater. Res. A 2014, 102, 3167–3176. [Google Scholar]
- Agarwal, T.; Narayana, S.G.H.; Pal, K.; Pramanik, K.; Giri, S.; Banerjee, I. Calcium alginate-carboxymethyl cellulose beads for colon-targeted drug delivery. Int. J. Biol. Macromol. 2015, 75, 409–417. [Google Scholar] [PubMed]
- Sookkasem, A.; Chatpun, S.; Yuenyongsawad, S.; Wiwattanapatapee, R. Alginate beads for colon specific delivery of self-emulsifying curcumin. J. Drug Deliv. Sci. Technol. 2015, 29, 159–166. [Google Scholar] [CrossRef]
- Asnani, G.P.; Kokare, C.R. In vitro and in vivo evaluation of colon cancer targeted epichlorohydrin crosslinked Portulaca-alginate beads. Biomol. Concepts 2018, 9, 190–199. [Google Scholar] [CrossRef]
- Feng, K.; Li, C.; Wei, Y.-S.; Zong, M.-H.; Wu, H.; Han, S.-Y. Development of a polysaccharide based multi-unit nanofiber mat for colon-targeted sustained release of salmon calcitonin. J. Colloid Interface Sci. 2019, 552, 186–195. [Google Scholar] [CrossRef]
- Sun, X.; Liu, C.; Omer, A.; Yang, L.-Y.; Ouyang, X.-k. Dual-layered pH-sensitive alginate/chitosan/kappa-carrageenan microbeads for colon-targeted release of 5-fluorouracil. Int. J. Biol. Macromol. 2019, 132, 487–494. [Google Scholar] [CrossRef]
- Jain, A.; Jain, S.K. In vitro and cell uptake studies for targeting of ligand anchored nanoparticles for colon tumors. Eur. J. Pharm. Sci. 2008, 35, 404–416. [Google Scholar] [CrossRef] [PubMed]
- Jain, A.; Jain, S.K.; Ganesh, N.; Barve, J.; Beg, A.M. Design and development of ligand-appended polysaccharidic nanoparticles for the delivery of oxaliplatin in colorectal cancer. Nanomedicine 2010, 6, 179–190. [Google Scholar] [CrossRef] [PubMed]
- Kotla, N.G.; Burke, O.; Pandit, A.; Rochev, Y. An Orally Administrated Hyaluronan Functionalized Polymeric Hybrid Nanoparticle System for Colon-Specific Drug Delivery. Nanomaterials 2019, 9, 1246. [Google Scholar] [CrossRef] [PubMed]
- Rai, G.; Yadav, A.K.; Jain, N.K.; Agrawal, G.P. Eudragit-coated dextran microspheres of 5-fluorouracil for site-specific delivery to colon. Drug Deliv. 2016, 23, 328–337. [Google Scholar] [CrossRef]
- Raza, H.; Ranjha, N.M.; Mahmood, A.; Azam, F.; Sarfraz, R.M.; Rashid, Z. Development and in vitro characterization of 5-flurouracilloaded, colon-targeted drug delivery system. Trop. J. Pharm. Res. 2018, 17, 195–204. [Google Scholar] [CrossRef]
- Pranati, S.; Rishabha, M. Sources of pectin, extraction and its applications in pharmaceutical industry-an overview. Indian J. Nat. Prod. Res. 2011, 2, 10–18. [Google Scholar]
- Sriamornsak, P. Chemistry of pectin and its pharmaceutical uses: A review. SUST J. 2003, 3, 206. [Google Scholar]
- Aburto, J.; Moran, M.; Galano, A.; Torres-García, E. Non-isothermal pyrolysis of pectin: A thermochemical and kinetic approach. J. Anal. Appl. Pyrolysis 2015, 112, 94–104. [Google Scholar] [CrossRef]
- Itoh, K.; Hirayama, T.; Takahashi, A.; Kubo, W.; Miyazaki, S.; Dairaku, M.; Togashi, M.; Mikami, R.; Attwood, D. In situ gelling pectin formulations for oral drug delivery at high gastric pH. Int. J. Pharm. 2007, 335, 90–96. [Google Scholar] [CrossRef]
- Shariatinia, Z. Pharmaceutical applications of chitosan. Adv. Colloid Interface Sci. 2019, 263, 131–194. [Google Scholar] [CrossRef] [PubMed]
- Nazar, H. Developing biomaterials for tissue engineering and regenerative medicine. Pharm. J. 2013, 291, 223. [Google Scholar]
- Morin-Crini, N.; Lichtfouse, E.; Torri, G.; Crini, G. Applications of chitosan in food, pharmaceuticals, medicine, cosmetics, agriculture, textiles, pulp and paper, biotechnology, and environmental chemistry. Environ. Chem. Lett. 2019, 17, 1667–1692. [Google Scholar] [CrossRef]
- Silva, A.J.C., Jr.; Alves, S.; Tonholo, J.; Ribeiro, A.S. Dansyl-based fluorescent films prepared by chemical and electrochemical methods: Cyclic voltammetry, afm and spectrofluorimetry characterization. J. Braz. Chem. Soc. 2011, 22, 1808–1815. [Google Scholar] [CrossRef]
- Manjunath, M.; Anjali; Gowda, D.V.; Kumar, P.; Srivastava, A.; Osmani, R.A.; Shinde, C.G.; Hatna, S. Guar gum and its pharmaceutical and biomedical applications. Adv. Sci. Eng. Med. 2016, 8, 589–602. [Google Scholar] [CrossRef]
- Patel, J.J.; Karve, M.; Patel, N.K. Guar gum: A versatile material for pharmaceutical industries. Int. J. Pharm. Pharm. Sci. 2014, 6, 13–19. [Google Scholar]
- Oprea, S. Effects of guar gum content on structure and properties of multi-crosslinked polyurethane composite films. Compos. B. Eng. 2013, 44, 76–83. [Google Scholar] [CrossRef]
- Szekalska, M.; Puciłowska, A.; Szymańska, E.; Ciosek, P.; Winnicka, K. Alginate: Current Use and Future Perspectives in Pharmaceutical and Biomedical Applications. Int. J. Polym. Sci. 2016, 2016, 7697031. [Google Scholar] [CrossRef]
- Kothale, D.; Verma, U.; Dewangan, N.; Jana, P.; Jain, A.; Jain, D. Alginate as promising natural polymer for pharmaceutical, food, and biomedical applications. Curr. Drug Deliv. 2020, 17, 755–775. [Google Scholar] [CrossRef] [PubMed]
- Lee, K.Y.; Mooney, D.J. Alginate: Properties and biomedical applications. Prog. Polym. Sci. 2012, 37, 106–126. [Google Scholar] [CrossRef] [PubMed]
- Dhamecha, D.; Movsas, R.; Sano, U.; Menon, J.U. Applications of alginate microspheres in therapeutics delivery and cell culture: Past, present and future. Int. J. Pharm. 2019, 569, 11867. [Google Scholar] [CrossRef] [PubMed]
- Huang, G.; Huang, H. Application of hyaluronic acid as carriers in drug delivery. Drug Deliv. 2018, 25, 766–772. [Google Scholar] [CrossRef]
- Fallacara, A.; Baldini, E.; Manfredini, S.; Vertuani, S. Hyaluronic acid in the third millennium. Polymers 2018, 10, 701. [Google Scholar] [CrossRef]
- Sayed Aly, M.N. Intra-articular drug delivery: A fast growing approach. Recent Pat. Drug Deliv Formul. 2008, 2, 231–237. [Google Scholar] [CrossRef]
- Bhavani, A.L.; Nisha, J. Dextran—The polysaccharide with versatile uses. Int. J. Pharm. Biol. Sci. 2010, 1, 569–573. [Google Scholar]
- Huang, S.; Huang, G. Preparation and drug delivery of dextran-drug complex. Drug Deliv. 2019, 26, 252–261. [Google Scholar] [CrossRef]
- Atamanov, M.K.; Noboru, I.; Shotaro, T.; Amrousse, R.; Tulepov, M.Y.; Kerimkulova, A.R.; Hobosyan, M.A.; Hori, K.; Martirosyan, K.S.; Mansurov, Z.A. Investigation of Combustion and Thermal Analysis of Ammonium Nitrate with Carbonaceous Materials. Combust. Sci. Technol. 2016, 188, 2003–2011. [Google Scholar] [CrossRef]
- Amhare, A.F.; Lei, J.; Deng, H.; Lv, Y.; Han, J.; Zhang, L. Biomedical application of chondroitin sulfate with nanoparticles in drug delivery systems: Systematic review. J. Drug Target. 2020, 29, 259–268. [Google Scholar] [CrossRef]
- Oprea, A.M.; Neamtu, A.; Stoica, B.; Vasile, C. Cellulose/chondroitin sulphate hydrogels as carr-iers for drug delivery applications. An. Ştiinţifice Ale Univ. Alexandru Ioan Cuza Din Iași Sect. II A Genet. Si Biol. Mol. 2009, 10, 85–92. [Google Scholar]
- Liu, Y.; Wang, J.-Y.; Jiang, W. An increasing prominent disease of Klebsiella pneumoniae liver abscess: Etiology, diagnosis, and treatment. Gastroenterol. Res. Prac. 2013, 2013, 258514. [Google Scholar]
- Xi, M.M.; Zhang, S.Q.; Wang, X.Y.; Fang, K.Q.; Gu, Y. Study on the characteristics of pectin–ketoprofen for colon targeting in rats. Int. J. Pharm. 2005, 298, 91–97. [Google Scholar] [CrossRef]
- Mohnen, D. Pectin structure and biosynthesis. Curr. Opin. Plant Biol. 2008, 11, 266–277. [Google Scholar] [CrossRef]
- Wong, T.W.; Colombo, G.; Sonvico, F. Pectin Matrix as Oral Drug Delivery Vehicle for Colon Cancer Treatment. AAPS PharmSciTech 2011, 12, 201–214. [Google Scholar] [CrossRef]
- Perera, G.; Barthelmes, J.; Bernkop-Schnürch, A. Novel pectin–4-aminothiophenole conjugate microparticles for colon-specific drug delivery. J. Control. Release 2010, 145, 240–246. [Google Scholar] [CrossRef]
- Tiwari, A.; Ramteke, S.; Dahima, R.; Shukla, R. Preparation and characterization of satranidazole loaded calcium pectinate microbeads for colon specific delivery; Application of response surface methodology. Curr. Nanosci. 2011, 7, 608–615. [Google Scholar] [CrossRef]
- Shukla, S.; Jain, D.; Verma, K.; Verma, S. Pectin-based colon-specific drug delivery. Chron. Young Sci. 2011, 2, 83–89. [Google Scholar] [CrossRef]
- Sundarraj, A.A.; Ranganathan, T.V. A review-Pectin from Agro and industrial waste. Int. J. Appl. Enviro. Sci. 2017, 12, 1777–1801. [Google Scholar]
- Pandey, S.; Mishra, A.; Raval, P.; Patel, H.; Gupta, A.; Shah, D. Chitosan–pectin polyelectrolyte complex as a carrier for colon targeted drug delivery. J. Young. Pharm. 2013, 5, 160–166. [Google Scholar] [CrossRef]
- Vaidya, A.; Jain, S.; Agrawal, R.K.; Jain, S.K. Pectin–metronidazole prodrug bearing microspheres for colon targeting. J. Saudi Chem. Soc. 2015, 19, 257–264. [Google Scholar] [CrossRef]
- Liu, L.; Fishman, M.L.; Kost, J.; Hicks, K.B. Pectin-based systems for colon-specific drug delivery via oral route. Biomaterials 2003, 24, 3333–3343. [Google Scholar] [CrossRef]
- Park, J.H.; Saravanakumar, G.; Kim, K.; Kwon, I.C. Targeted delivery of low molecular drugs using chitosan and its derivatives. Adv. Drug Deliv. Rev. 2010, 62, 28–41. [Google Scholar] [CrossRef]
- Agnihotri, S.A.; Mallikarjuna, N.N.; Aminabhavi, T.M. Recent advances on chitosan-based micro-and nanoparticles in drug delivery. J. Control. Release 2004, 100, 5–28. [Google Scholar] [CrossRef] [PubMed]
- Agnihotri, S.A.; Aminabhavi, T.M. Development of novel interpenetrating network gellan gum-poly (vinyl alcohol) hydrogel microspheres for the controlled release of carvedilol. Drug Dev. Ind. Pharm. 2005, 31, 491–503. [Google Scholar] [CrossRef] [PubMed]
- Sinha, V.R.; Kumria, R. Polysaccharides in colon-specific drug delivery. Int. J. Pharm. 2001, 224, 19–38. [Google Scholar] [CrossRef]
- Vemula, S.K.; Bontha, V.K. Colon Targeted Guar Gum Compression Coated Tablets of Flurbiprofen: Formulation, Development, and Pharmacokinetics. Biomed. Res. Int. 2013, 2013, 287919. [Google Scholar] [CrossRef]
- Aminabhavi, T.M.; Nadagouda, M.N.; Joshi, S.D.; More, U.A. Guar gum as platform for the oral controlled release of therapeutics. Expert Opin. Drug Deliv. 2014, 11, 753–766. [Google Scholar] [CrossRef] [PubMed]
- Das, S.; Subuddhi, U. pH-Responsive guar gum hydrogels for controlled delivery of dexamethasone to the intestine. Int. J. Biol. Macromol. 2015, 79, 856–863. [Google Scholar] [CrossRef]
- Srivastava, M.; Kapoor, V.P. Seed Galactomannans: An Overview. Chem. Biodivers. 2005, 2, 295–317. [Google Scholar] [CrossRef]
- Sinha, V.; Singh, A.; Singh, S.; Bhinge, J. Compression coated systems for colonic delivery of 5-fluorouracil. J. Pharm. Pharmacol. 2007, 59, 359–365. [Google Scholar] [CrossRef]
- Singhal, A.; Nalwaya, N.; Jarald, E.E.; Ahmed, S. Colon targeted curcumin delivery using guar gum. Pharmacogn. Res. 2010, 2, 82. [Google Scholar] [CrossRef]
- Mudgil, D.; Barak, S.; Khatkar, B.S. Guar gum: Processing, properties and food applications—A review. J. Food Sci. Technol. 2014, 51, 409–418. [Google Scholar] [CrossRef]
- Thombare, N.; Jha, U.; Mishra, S.; Siddiqui, M.Z. Guar gum as a promising starting material for diverse applications: A review. Int. J. Biol. Macromol. 2016, 88, 361–372. [Google Scholar] [CrossRef] [PubMed]
- Jain, A.; Gupta, Y.; Jain, S.K. Perspectives of biodegradable natural polysaccharides for site-specific drug delivery to the colon. J. Pharm. Pharm. Sci. 2007, 10, 86–128. [Google Scholar] [PubMed]
- Ji, C.; Xu, H.; Wu, W. Guar gum as potential film coating material for colon-specific delivery of fluorouracil. J. Biomater. Appl. 2009, 23, 311–329. [Google Scholar] [CrossRef]
- Narayanan, R.P.; Melman, G.; Letourneau, N.J.; Mendelson, N.L.; Melman, A. Photodegradable iron (III) cross-linked alginate gels. Biomacromolecules 2012, 13, 2465–2471. [Google Scholar] [CrossRef]
- Wang, Q.-S.; Wang, G.-F.; Zhou, J.; Gao, L.N.; Cui, Y.L. Colon targeted oral drug delivery system based on alginate-chitosan microspheres loaded with icariin in the treatment of ulcerative colitis. Int. J. Pharm. 2016, 515, 176–185. [Google Scholar] [CrossRef] [PubMed]
- Sun, J.; Tan, H. Alginate-based biomaterials for regenerative medicine applications. Materials 2013, 6, 1285–1309. [Google Scholar] [CrossRef]
- Agüero, L.; Zaldivar-Silva, D.; Peña, L.; Dias, M.L. Alginate microparticles as oral colon drug delivery device: A review. Carbohydr. Polym. 2017, 168, 32–43. [Google Scholar] [CrossRef]
- Shah, N.; Shah, T.; Amin, A. Polysaccharides: A targeting strategy for colonic drug delivery. Expert Opin. Drug Deliv. 2011, 8, 779–796. [Google Scholar] [CrossRef]
- Dheer, D.; Arora, D.; Jaglan, S.; Rawal, R.K.; Shankar, R. Polysaccharides based nanomaterials for targeted anti-cancer drug delivery. J. Drug Target. 2017, 25, 779–796. [Google Scholar] [CrossRef]
- Geetha, P.; Latha, M.; Pillai, S.S.; Deepa, B.; Kumar, K.S.; Koshy, M. Green synthesis and characterization of alginate nanoparticles and its role as a biosorbent for Cr (VI) ions. J. Mol. Struct. 2016, 1105, 54–60. [Google Scholar] [CrossRef]
- Necas, J.; Bartosikova, L.; Brauner, P.; Kolar, J. Hyaluronic acid (hyaluronan): A review. Vet. Med. 2008, 53, 397–411. [Google Scholar] [CrossRef]
- Lokeshwar, V.B.; ÖBek, C.; Pham, H.T.; Wei, D.; Young, M.J.; Duncan, R.C.; Soloway, M.S.; Block, N.L. Urinary hyaluronic acid and hyaluronidase: Markers for bladder cancer detection and evaluation of grade. J. Urol. 2000, 163, 348–356. [Google Scholar] [CrossRef]
- Brown, M.B.; Jones, S.A. Hyaluronic acid: A unique topical vehicle for the localized delivery of drugs to the skin. J. Eur. Acad. Dermatol. Venereol. 2005, 19, 308–318. [Google Scholar] [CrossRef]
- Pitarresi, G.; Casadei, M.A.; Mandracchia, D.; Paolicelli, P.; Palumbo, F.S.; Giammona, G. Photocrosslinking of dextran and polyaspartamide derivatives: A combination suitable for colon-specific drug delivery. J. Control. Release 2007, 119, 328–338. [Google Scholar] [CrossRef] [PubMed]
- Posocco, B.; Dreussi, E.; De Santa, J.; Toffoli, G.; Abrami, M.; Musiani, F.; Grassi, M.; Farra, R.; Tonon, F.; Grassi, G. Polysaccharides for the delivery of antitumor drugs. Materials 2015, 8, 2569–2615. [Google Scholar] [CrossRef]
- Harboe, E.; Larsen, C.; Johansen, M.; Olesen, H.P. Macromolecular prodrugs. XV. Colon-targeted delivery—Bioavailability of naproxen from orally administered dextran–naproxen ester prodrugs varying in molecular size in the pig. Pharm. Res. 1989, 6, 919–923. [Google Scholar] [CrossRef]
- Mansur, H.S.; Sadahira, C.M.; Souza, A.N.; Mansur, A.A. FTIR spectroscopy characterization of poly (vinyl alcohol) hydrogel with different hydrolysis degree and chemically crosslinked with glutaraldehyde. Mater. Sci. Eng. C 2008, 28, 539–548. [Google Scholar] [CrossRef]
Publisher’s Note: MDPI stays neutral with regard to jurisdictional claims in published maps and institutional affiliations. |
© 2022 by the authors. Licensee MDPI, Basel, Switzerland. This article is an open access article distributed under the terms and conditions of the Creative Commons Attribution (CC BY) license (https://creativecommons.org/licenses/by/4.0/).






