Optimizing Asymmetric Meso-Scale Vortex Combustors for Swirl-Induced Flame Stabilization: A Computational Analysis
Abstract
1. Introduction
2. Numerical Method
2.1. Governing Equations
2.2. Computational Approach
3. Results
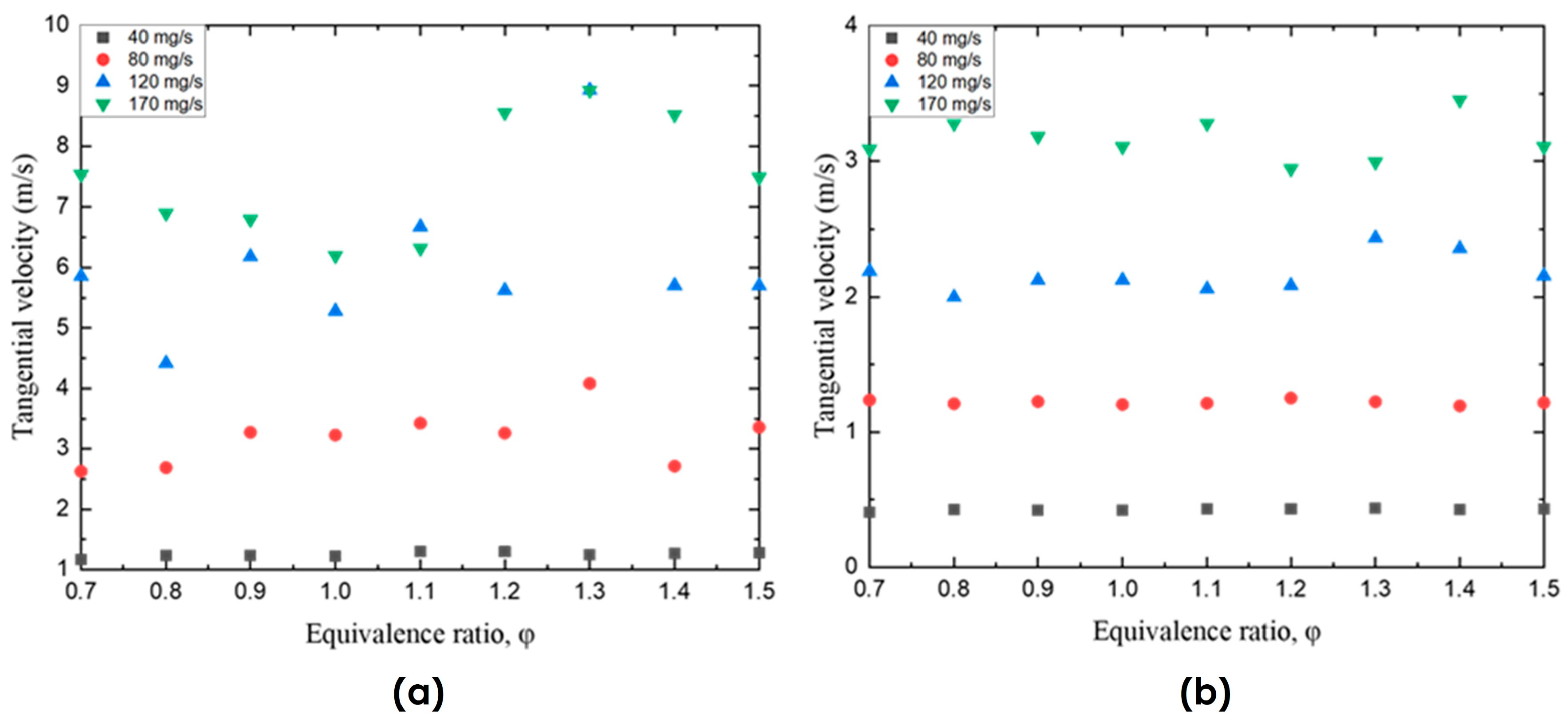
3.1. Dynamic Mixing
3.1.1. Mixing Vortex in Combustion Chamber
3.1.2. Flow Characteristics
3.1.3. Swirl Number
3.2. Combustion Temperatures
3.2.1. Temperature Pattern for Natural Gas with Air
3.2.2. Vortex Structure
4. Conclusions
Author Contributions
Funding
Data Availability Statement
Acknowledgments
Conflicts of Interest
References
- Wang, F.; Li, X.; Feng, S.; Yan, Y. Influence of Porous Media Aperture Arrangement on CH4/Air Combustion Characteristics in Micro Combustor. Processes 2021, 9, 1747. [Google Scholar] [CrossRef]
- Middelburg, L.M.; Ghaderi, M.; Bilby, D.; Visser, J.H.; Zhang, G.Q.; Lundgren, P.; Enoksson, P.; Wolffenbuttel, R.F. Maintaining Transparency of a Heated MEMS Membrane for Enabling Long-Term Optical Measurements on Soot-Containing Exhaust Gas. Sensors 2020, 20, 3. [Google Scholar] [CrossRef]
- Lefebvre, A.H.; Ballal, D.R. Gas Turbine Combustion: Alternative Fuels and Emissions, 3rd ed.; CRC Press: Boca Raton, FL, USA, 2010. [Google Scholar] [CrossRef]
- Rahbari, A.; Homayoonfar, S.; Valizadeh, E.; Aligoodarz, M.R.; Toghraie, D. Effects of micro-combustor geometry and size on the heat transfer and combustion characteristics of premixed hydrogen/air flames. Energy 2020, 215, 119061. [Google Scholar] [CrossRef]
- DuttaRoy, R.; Chakravarthy, S.R.; Sen, A.K. Experimental investigation of flame propagation and stabilization in a meso-combustor with sudden expansion. Exp. Therm. Fluid Sci. 2018, 90, 299–309. [Google Scholar] [CrossRef]
- Briones, A.M.; Burrus, D.L.; Erdmann, T.J.; Shouse, D.T. Effect of centrifugal force on the performance of high-g ultra compact combustor. In Proceedings of the ASME Turbo Expo 2015: Turbine Technical Conference and Exposition, Montreal, QC, USA, 15–19 June 2015; Volume 4B, pp. 1–15. [Google Scholar]
- Peng, Y.; Yu, J.; Chen, W.; Hao, C.; Zhang, J.; Fu, G.; Sun, B. Experimental Study on Combustion Characteristics of Methane Vertical Jet Flame. Processes 2025, 13, 1207. [Google Scholar] [CrossRef]
- Barakat, S.; Wang, H.; Jin, T.; Tao, W.; Wang, G. Isothermal swirling flow characteristics and pressure drop analysis of a novel double swirl burner. AIP Adv. 2021, 11, 035240. [Google Scholar] [CrossRef]
- Sharifzadeh, R.; Afshari, A. Large eddy simulation of swirling flows in a non-reacting trapped-vortex combustor. Aerosp. Sci. Technol. 2022, 127, 107711. [Google Scholar] [CrossRef]
- Pátý, M.; Valášek, M.; Resta, E.; Marsilio, R.; Ferlauto, M. Passive Control of Vortices in the Wake of a Bluff Body. Fluids 2024, 9, 131. [Google Scholar] [CrossRef]
- Sehole, H.A.H.; Mehdi, G.; Riaz, R.; Maqsood, A. Investigation of Sustainable Combustion Processes of the Industrial Gas Turbine Injector. Processes 2025, 13, 960. [Google Scholar] [CrossRef]
- Huang, D.; Wang, D.; Xu, J.; Meng, H. Computational Study of the Effect of Dual Air Swirling Injection on Turbulent Combustion of Kerosene–Air at a High Pressure. Eng. Proc. 2023, 56, 274. [Google Scholar] [CrossRef]
- Xie, J.; Pan, J.; Zhu, Y. Effects of the swirler on the performance of an advanced vortex combustor. Appl. Therm. Eng. 2023, 230, 120752. [Google Scholar] [CrossRef]
- Zhao, X.; Peng, W.; Yu, X.; Shi, B. A comparison of partially premixed methane/air combustion in confined vane-swirl and jet-swirl combustors. Combust. Sci. Technol. 2023, 195, 212–231. [Google Scholar] [CrossRef]
- Obieglo, A.; Gass, J.; Poulikakos, D. Comparative study of modeling a hydrogen nonpremixed turbulent flame. Combust. Flame 2000, 122, 176–194. [Google Scholar] [CrossRef]
- Khaleghi, M.; Hosseini, S.E.; Wahid, M.A. Vortex combustion and heat transfer in meso-scale with thermal recuperation. Int. Commun. Heat Mass Transf. 2015, 66, 250–258. [Google Scholar] [CrossRef]
- Latif, M.L.A.; Nawi, M.A.-H.M.; Alias, M.A.R.; Khor, C.Y.; Kamarudin, M.F.; Roslan, A.H.; Jaafar, H.J. Numerical Elucidation on the Dynamic Behaviour of Non-Premixed Flame in Meso-Scale Combustors. Modelling 2025, 6, 94. [Google Scholar] [CrossRef]
- Kamarudin, M.F.; Nawi, M.A.-H.M.; Roslan, A.H.; Latif, M.L.A.; Jaafar, H.J.; Hanid, M.H.M.; Danish, M. Effects of Heat Transfer on Combustion Characteristics in a Cylindrical Vortex Combustor. J. Adv. Res. Numer. Heat Trans. 2024, 27, 120–131. [Google Scholar] [CrossRef]
- Tomasch, S.; Swaminathan, N.; Spijker, C.; Ertesvåg, I.S. A Numerical Study of Flow Structures and Flame Shape Transition in Swirl-Stabilized Turbulent Premixed Flames Subject to Local Extinction. Combust. Sci. Technol. 2023, 197, 338–370. [Google Scholar] [CrossRef]
- Zhang, K.; Jin, Y.; Yao, K.; Wang, Y.; Lian, W. Effects of swirling motion on the cavity flow field and combustion performance. Aerosp. Sci. Technol. 2023, 138, 108275. [Google Scholar] [CrossRef]
- Fu, Y.; Lin, H.; Yu, J.; Song, A.; Guo, Q.; Wen, Z.; Wu, W. Study on Influence of Evaporation Tube Flow Distribution on Combustion Characteristics of Micro Combustion Chamber. Processes 2025, 13, 1691. [Google Scholar] [CrossRef]
- Feng, Z.; Tian, X.; Xu, L.; Xia, X.; Qi, F. Experimental Investigation of Pure Hydrogen Flame in a Matrix Micro-Mixing Combustor. Aerospace 2025, 12, 464. [Google Scholar] [CrossRef]
- Vignat, G.; Durox, D.; Candel, S. The suitability of different swirl number definitions for describing swirl flows: Accurate, common and (over-) simplified formulations. Prog. Energy Combust. Sci. 2022, 89, 100969. [Google Scholar] [CrossRef]
- Carreres, M.; García-Tíscar, J.; Belmar-Gil, M.; Cervelló-Sanz, D. Influence of key geometrical features on the non-reacting flow of a Lean Direct Injection (LDI) combustor through Large-Eddy Simulation and a Design of Experiments. Aerosp. Sci. Technol. 2022, 126, 107634. [Google Scholar] [CrossRef]









| Samples | Model X (mm) | Model A (mm) | Model B (mm) |
|---|---|---|---|
| Length of Micro Chamber, LMC | 32 | 48 | 64 |
| Diameter Outlet, DO | 10 | 15 | 20 |
| Diameter Air Inlet, d’AI | 1.5 | 2.25 | 3.0 |
| Diameter Fuel Inlet, d’FI | 1.0 | 1.5 | 2.0 |
| Ear Box Width, WEB | 1.5 | 2.25 | 3.0 |
| Height Meso Chamber, HMC | 30 | 45 | 60 |
| Volume | 4.288 × 10−6 m3 | 1.21 × 10−5 m3 | 2.583 × 10−5 m3 |
Disclaimer/Publisher’s Note: The statements, opinions and data contained in all publications are solely those of the individual author(s) and contributor(s) and not of MDPI and/or the editor(s). MDPI and/or the editor(s) disclaim responsibility for any injury to people or property resulting from any ideas, methods, instructions or products referred to in the content. |
© 2025 by the authors. Licensee MDPI, Basel, Switzerland. This article is an open access article distributed under the terms and conditions of the Creative Commons Attribution (CC BY) license (https://creativecommons.org/licenses/by/4.0/).
Share and Cite
Roslan, A.H.; Nawi, M.A.-H.M.; Khor, C.Y.; Md Sarip, M.S.; Abd Latif, M.L.; Alias, M.A.R.; Jaafar, H.J.; Kamarudin, M.F.; Abdull Sukor, A.S.; Jamlos, M.A. Optimizing Asymmetric Meso-Scale Vortex Combustors for Swirl-Induced Flame Stabilization: A Computational Analysis. Eng 2025, 6, 293. https://doi.org/10.3390/eng6110293
Roslan AH, Nawi MA-HM, Khor CY, Md Sarip MS, Abd Latif ML, Alias MAR, Jaafar HJ, Kamarudin MF, Abdull Sukor AS, Jamlos MA. Optimizing Asymmetric Meso-Scale Vortex Combustors for Swirl-Induced Flame Stabilization: A Computational Analysis. Eng. 2025; 6(11):293. https://doi.org/10.3390/eng6110293
Chicago/Turabian StyleRoslan, Azri Hariz, Mohd Al-Hafiz Mohd Nawi, Chu Yee Khor, Mohd Sharizan Md Sarip, Muhammad Lutfi Abd Latif, Mohammad Azrul Rizal Alias, Hazrin Jahidi Jaafar, Mohd Fathurrahman Kamarudin, Abdul Syafiq Abdull Sukor, and Mohd Aminudin Jamlos. 2025. "Optimizing Asymmetric Meso-Scale Vortex Combustors for Swirl-Induced Flame Stabilization: A Computational Analysis" Eng 6, no. 11: 293. https://doi.org/10.3390/eng6110293
APA StyleRoslan, A. H., Nawi, M. A.-H. M., Khor, C. Y., Md Sarip, M. S., Abd Latif, M. L., Alias, M. A. R., Jaafar, H. J., Kamarudin, M. F., Abdull Sukor, A. S., & Jamlos, M. A. (2025). Optimizing Asymmetric Meso-Scale Vortex Combustors for Swirl-Induced Flame Stabilization: A Computational Analysis. Eng, 6(11), 293. https://doi.org/10.3390/eng6110293

