The Use of Heterocyclic Azo Dyes on Different Textile Materials: A Review
Abstract
1. Introduction
2. The Azo Dyes
3. Heterocyclic Azo Dyes
3.1. Heterocyclic Monoazo Dyes
3.2. Heterocyclic Diazo Dyes
3.2.1. Primary Diazo Dyes
3.2.2. Secondary Symmetrical Diazo Dyes
3.2.3. Secondary Asymmetrical Diazo Dyes
3.3. Heterocyclic Polyazo Dyes
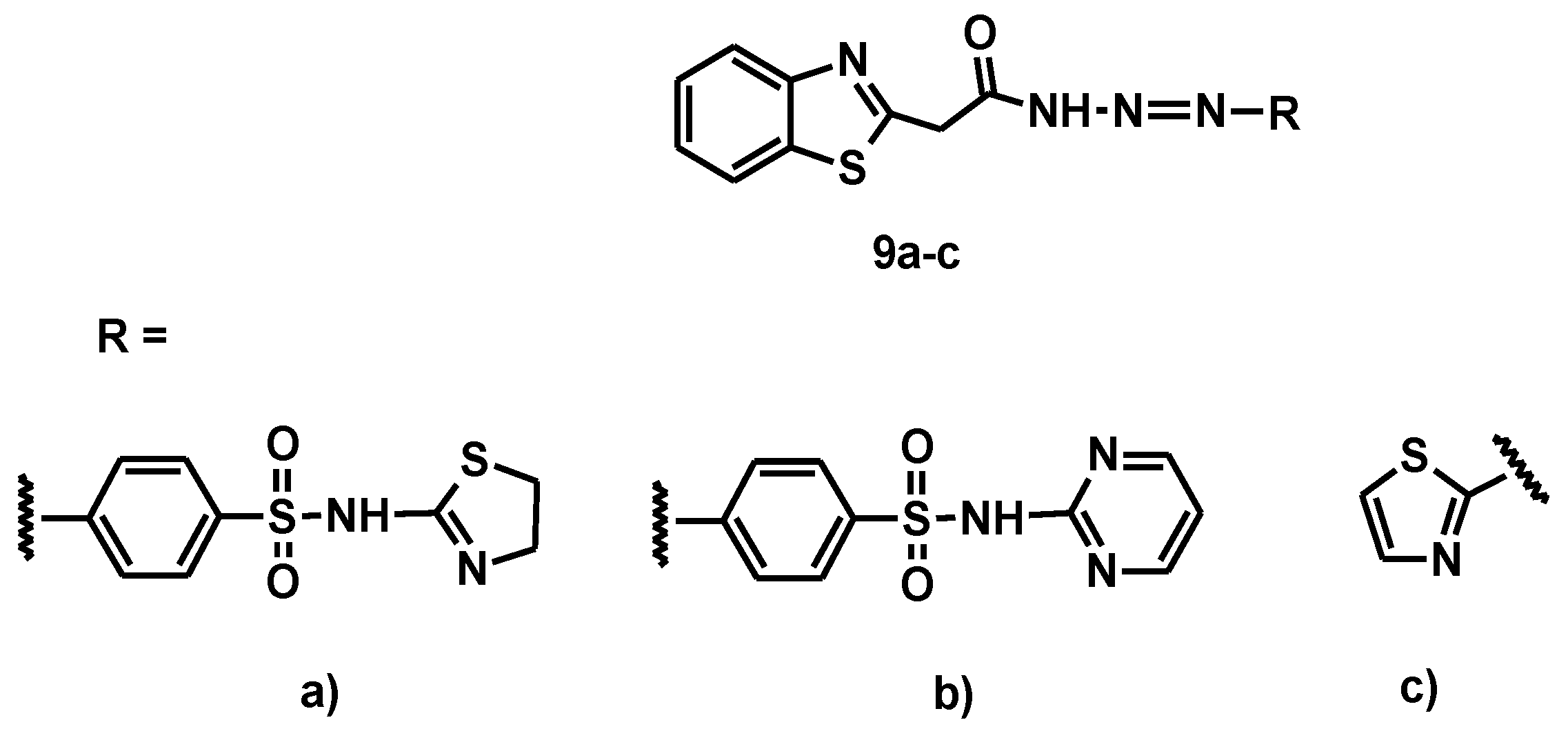
4. Ecological Impacts and Sustainable Solutions for Heterocyclic Azo Dyes
5. Conclusions
Author Contributions
Funding
Data Availability Statement
Conflicts of Interest
References
- Saxena, S.; Raja, A.S.M. Natural Dyes: Sources, Chemistry, Application and Sustainability Issues. In Roadmap to Sustainable Textiles and Clothing. Textile Science and Clothing Technology; Muthu, S., Ed.; Springer: Singapore, 2014; pp. 37–80. [Google Scholar] [CrossRef]
- Patel, B.H. Natural Dyes. In Handbook of Textile and Industrial Dyeing: Principles, Processes and Types of Dyes; Clark, M., Ed.; Woodhead Publishing Ltd.: Cambridge, UK, 2011; Volume 1, pp. 395–421. [Google Scholar]
- Waring, D.R. Heterocyclic Dyes and Pigments. Compr. Heterocycl. Chem. 1984, 1, 317–346. [Google Scholar]
- Winkler, F. The Colour Science of Dyes and Pigments; Adam Hilger Ltd.: Bristol, UK, 1983. [Google Scholar]
- Decelles, C. The story of dyes and dyeing. J. Chem. Educ. 1949, 26, 583. [Google Scholar] [CrossRef]
- Salman, M.; Jabbar, A.; Farooq, S.; Bashir, I.; Rafiq, M.S. New heterocyclic azo-disperse dyes; their synthesis, characterization, application, photo physical properties and solvatochromic studies. J. Mol. Struct. 2023, 1287, 135664. [Google Scholar] [CrossRef]
- Griffiths, J. Color and Constitution of Organic Molecules; Academic Press: London, UK, 1976. [Google Scholar]
- Hallas, G.; Choi, J.-H. Synthesis and properties of novel aziridinyl azo dyes from 2-aminothiophenes—Part 2: Application of some disperse dyes to polyester fibres. Dyes Pigments 1999, 40, 119–129. [Google Scholar] [CrossRef]
- Baroncini, M.; Groppi, J.; Corra, S.S.; Silvi, S.; Credi, A. Light-Responsive (Supra)Molecular Architectures: Recent Advances. Adv. Opt. Mater. 2019, 7, 1900392. [Google Scholar] [CrossRef]
- Wu, W.; Yao, L.; Yang, T.; Yin, R.; Li, F.; Yu, Y. NIR-light-induced deformation of cross-linked liquid crystalpolymers using upconversion nanophosphors. J. Am. Chem. Soc. 2011, 133, 15810–15813. [Google Scholar] [CrossRef]
- Gregory, P. Classification of Dyes by Chemical Structure. In The Chemistry and Application of Dyes: Topics in Applied Chemistry; Waring, D.R., Hallas, G., Eds.; Springer: Boston, MA, USA, 1990; pp. 17–47. [Google Scholar]
- Towns, A.D. Developments in azo disperse dyes derived from heterocyclic diazo components. Dyes Pigments 1999, 42, 3–28. [Google Scholar] [CrossRef]
- Patel, V.J.; Patel, M.P.; Patel, R.G. Synthesis and application of novel heterocyclic dyes based on 1l-amino-3-bromo-13H-acenaphtho[l,2-e]pyridazino[3,2-b]- quinazoline-13-one. J. Serb. Chem. Soc. 2002, 67, 727–734. [Google Scholar] [CrossRef]
- Patel, D.R.; Patel, K.C. Synthesis, characterization and application of quinazolinone based reactive dyes for various fibers. Fibers Polym. 2010, 11, 537–544. [Google Scholar] [CrossRef]
- Patel, D.R.; Patel, K.C. Synthesis of Some New Thermally Stable Reactive Dyes Having 4(3H)-quinazolinone Molecule for the Dyeing of Silk, Wool, and Cotton Fibers. Fibers Polym. 2011, 12, 741–752. [Google Scholar] [CrossRef]
- Patel, D.R.; Patel, K.C. Synthesis, characterization and in vitro antimicrobial screening of some new MCT reactive dyes bearing nitro quinazolinone moiety. J. Saudi Chem. Soc. 2015, 19, 347–359. [Google Scholar] [CrossRef]
- Lellis, B.; Fávaro-Polonio, C.Z.; Pamphile, J.A.; Polonio, J.C. Effects of textile dyes on health and the environment and bioremediation potential of living organisms. Biotechnol. Res. Innov. 2019, 3, 275–290. [Google Scholar] [CrossRef]
- Malinauskiene, L.; Bruze, M.; Ryberg, K.; Zimerson, E.; Isaksson, M. Contact allergy from disperse dyes in textiles: A review. Contact Dermat. 2013, 68, 65–75. [Google Scholar] [CrossRef] [PubMed]
- Moreau, L.; Goossens, A. Allergic contact dermatitis associated with reactive dyes in a dark garment: A case report. Contact Dermat. 2005, 53, 150–154. [Google Scholar] [CrossRef] [PubMed]
- Miles, L.W.C. Textile Printing, 2nd ed.; Society of Dyers and Colourists: Bradford, UK, 2003. [Google Scholar]
- Abdel Zaher, K.S.; Shaban, E.; Nawwar, G.A.M. Antibacterial Azo Dyes Containing Sulfa Drug Moieties and Their Colour Assessment on Printing Polyester Fabric. ChemistrySelect 2023, 8, e202300804. [Google Scholar]
- National Center for Biotechnology Information. “PubChem Compound Summary for CID 6249, Ampicillin” PubChem. Available online: https://pubchem.ncbi.nlm.nih.gov/compound/Ampicillin (accessed on 22 February 2024).
- Benkhaya, S.; M’rabet, S.; El Harfi, A. Classifications, properties, recent synthesis and applications of azo dyes. Heliyon 2020, 6, e03271. [Google Scholar] [CrossRef] [PubMed]
- Gunst, R. Heterocyclic Disazo Dyestuffs. U.S. Patent No 2,686,178, 2 February 1953. [Google Scholar]
- Fabian, W.M.F.; Timofei, S. Comparative molecular field analysis (CoMFA) of dye-fibre affinities. Part 2. Symmetrical bisazo dyes. J. Mol. Struct. THEOCHEM 1996, 362, 155–162. [Google Scholar] [CrossRef]
- Matsui, M.; Kamino, Y.; Hayashi, M.; Funabiki, K.; Shibata, K.; Muramatsu, H.; Abe, Y.; Kaneko, M. Fluorine-containing benzothiazolyl bisazo dyes-their application to guest-host liquid crystal displays. Liq. Cryst. 1998, 25, 235–240. [Google Scholar] [CrossRef]
- Karcı, F. Synthesis of disazo dyes derived from heterocyclic components. Color. Technol. 2005, 121, 275–280. [Google Scholar] [CrossRef]
- Hadjoudis, E.; Mavridis, I.M. Photochromism and thermochromism of Schiff bases in the solid state: Structural aspects. Chem. Soc. Rev. 2004, 33, 579–588. [Google Scholar] [CrossRef]
- Raczyńska, E.D.; Kosińska, W.; Ośmiałowski, B.; Gawinecki, R. Tautomeric equilibria in relation to pi-electron delocalization. Chem. Rev. 2005, 105, 3561–3612. [Google Scholar] [CrossRef]
- Bártová, K.; Císařová, I.; Lyčka, A.; Dračínský, M. Tautomerism of azo dyes in the solid state studied by 15N, 14N, 13C and 1H NMR spectroscopy, X-ray diffraction and quantum-chemical calculations. Dyes Pigments 2020, 178, 108342. [Google Scholar] [CrossRef]
- Bakan, E.; Karci, F.; Avinc, O. Synthetic Fiber Dyeing with Synthesized Novel Disperse Disazo Dyes Containing Methyl (-CH3) Group as an Auxochrome and Their Color Properties. Int. J. Eng. Appl. Sci. 2016, 10, 8269. [Google Scholar]
- Elnagdi, M.H.; Sallam, M.M.M.; Fahmy, H.M.; Ibrahim, S.A.M.; Elias, M.A.M. Reactions with the Arylhydrazones of α-Cyanoketones: The Structure of 2-Arylhydrazono-3-ketimino-nitriles. Helv. Chim. Acta 1976, 59, 551–557. [Google Scholar] [CrossRef]
- Elnagdi, M.H.; Elgemeie, G.E.; Abd-elaal, F.A.E. Recent developments in the synthesis of pyrazole derivatives. Heterocycles 1985, 23, 3121–3153. [Google Scholar]
- Naime, J.; Al Mamun, M.S.; Aly, M.A.S.; Maniruzzaman, M.; Badal, M.M.R.; Karim, K.M.R. Synthesis, characterization and application of a novel polyazo dye as a universal acid–base indicator. RSC Adv. 2022, 12, 28034–28042. [Google Scholar] [CrossRef] [PubMed]
- Çanakçı, D. Synthesis, characterisation, solvatochromic behaviour and thermal decomposition kinetics of novel polyazo dyes containing amide group and their transition metal complexes. J. Mol. Struct. 2019, 1181, 493–506. [Google Scholar] [CrossRef]
- Nath, I.; Chakraborty, J.; Abednatanzi, S.; Van Der Voort, P. A ‘Defective’ Conjugated Porous Poly-Azo as Dual Photocatalyst. Catalysts 2021, 11, 1064. [Google Scholar] [CrossRef]
- Zhang, J.; Khayatnezhad, M.; Ghadimi, N. Optimal model evaluation of the proton-exchange membrane fuel cells based on deep learning and modified African Vulture Optimization Algorithm. Energy Sources Part A 2022, 44, 287–305. [Google Scholar] [CrossRef]
- Bo, G.; Cheng, P.; Dezhi, K.; Xiping, W.; Chaodong, L.; Mingming, G.; Ghadimi, N. Optimum structure of a combined wind/photovoltaic/fuel cell-based on amended Dragon Fly optimization algorithm: A case study. Energy Sources Part A 2022, 44, 7109–7131. [Google Scholar] [CrossRef]
- Mijin, D.Ž.; Ušćumlić, G.S.; Valentić, N.V.; Marinković, A.D. Synthesis of azo pyridone dyes. Hem. Ind. 2011, 65, 517–532. [Google Scholar] [CrossRef][Green Version]
- Zouari-Mechichi, H.; Benali, J.; Alessa, A.H.; Hadrich, B.; Mechichi, T. Efficient Decolorization of the Poly-Azo Dye Sirius Grey by Coriolopsis gallica Laccase-Mediator System: Process Optimization and Toxicity Assessment. Molecules 2024, 29, 477. [Google Scholar] [CrossRef] [PubMed]
- Chung, K.-T. Azo Dyes and Human Health: A Review. J. Environ. Sci. Health Part C 2016, 34, 233–261. [Google Scholar] [CrossRef]
- Pereira, L.; Alves, M. Dyes—Environmental impact and remediation. In Environmental Protection Strategies for Sustainable Development; Springer: Dordrecht, The Netherlands, 2012; pp. 111–162. [Google Scholar]
- Hussien, F.A.H. An eco-friendly methodology for the synthesis of azocoumarin dye using cation exchange resins. Heliyon 2021, 7, e08439. [Google Scholar] [CrossRef]
- Amjad, R.; Munawar, M.A.; Khan, S.R.; Naeem, M. Synthesis and Spectral Studies of Some Novel Coumarin Based Disperse Azo Dyes: Studies of Coumarin Based Azo Dyes. Pak. J. Sci. Ind. Res. 2009, 52, 117–121. [Google Scholar]
- Al-Harby, N.F.; Albahly, E.F.; Mohamed, N.A. Kinetics, isotherm and thermodynamic studies for efficient adsorption of Congo Red dye from aqueous solution onto novel cyanoguanidine-modified chitosan adsorbent. Polymers 2021, 13, 4446. [Google Scholar] [CrossRef]
- Ali, A.E.; Chowdhury, Z.Z.; Devnath, R.; Ahmed, M.M.; Rahman, M.M.; Khalid, K.; Wahab, Y.A.; Badruddin, I.A.; Kamangar, S.; Hussien, M.; et al. Removal of Azo Dyes from Aqueous Effluent Using Bio-Based Activated Carbons: Toxicity Aspects and Environmental Impact. Separations 2023, 10, 506. [Google Scholar] [CrossRef]
- Fernandes, A.; Pinto, B.; Bonardo, L.; Royo, B.; Robalo, M.P.; Martins, L.O. Wasteful Azo dyes as a source of biologically active building blocks. Front. Bioeng. Biotechnol. 2021, 9, 672436. [Google Scholar] [CrossRef]
- Ravindiran, G.; Sundaram, H.; Rajendran, E.M.; Ramasamy, S.; Nabil, A.Z.; Ahmed, B. Removal of azo dyes from synthetic wastewater using biochar derived from sewage sludge to prevent groundwater contamination. Urban Clim. 2023, 49, 101502. [Google Scholar] [CrossRef]


















| 9a | 9b | 9c | Ampicillin | |
|---|---|---|---|---|
| Pseudomonas aeruginosa | 29 | 30 | 10 | 26 |
| Escherichia coli | 28 | 30 | 11 | 25 |
| Staphylococcus aureus | 29 | 30 | 9 | 21 |
| Bacillus subtilis | 26 | 20 | 9 | 26 |
| Polyester Fabric Printed with 9a | Polyester Fabric Printed with 9b | Polyester Fabric Printed with 9c | Ampicillin | |
|---|---|---|---|---|
| Pseudomonas aeruginosa | 15 | 12 | 8 | 26 |
| Escherichia coli | 12 | 12 | 10 | 25 |
| Staphylococcus aureus | 12 | 14 | 9 | 21 |
| Bacillus subtilis | 16 | 12 | 8 | 26 |
Disclaimer/Publisher’s Note: The statements, opinions and data contained in all publications are solely those of the individual author(s) and contributor(s) and not of MDPI and/or the editor(s). MDPI and/or the editor(s) disclaim responsibility for any injury to people or property resulting from any ideas, methods, instructions or products referred to in the content. |
© 2024 by the authors. Licensee MDPI, Basel, Switzerland. This article is an open access article distributed under the terms and conditions of the Creative Commons Attribution (CC BY) license (https://creativecommons.org/licenses/by/4.0/).
Share and Cite
Emanuele, L.; D’Auria, M. The Use of Heterocyclic Azo Dyes on Different Textile Materials: A Review. Organics 2024, 5, 277-289. https://doi.org/10.3390/org5030015
Emanuele L, D’Auria M. The Use of Heterocyclic Azo Dyes on Different Textile Materials: A Review. Organics. 2024; 5(3):277-289. https://doi.org/10.3390/org5030015
Chicago/Turabian StyleEmanuele, Lucia, and Maurizio D’Auria. 2024. "The Use of Heterocyclic Azo Dyes on Different Textile Materials: A Review" Organics 5, no. 3: 277-289. https://doi.org/10.3390/org5030015
APA StyleEmanuele, L., & D’Auria, M. (2024). The Use of Heterocyclic Azo Dyes on Different Textile Materials: A Review. Organics, 5(3), 277-289. https://doi.org/10.3390/org5030015
