Abstract
We describe a novel two-step approach for the synthesis of compounds with a hydroxyl-amide group (hydroxamic acids), which are widely known for their biological activity (histone deacetylase inhibitors, matrix metalloproteinases inhibitors and others). The first stage is the synthesis of N-substituted succinimide via the reaction of aromatic amine or carboxylic acid hydrazide with succinic anhydride. The second step involves the imide ring opening reaction by hydroxylamine. For both stages, universal synthetic methods are developed to exclude additional purification procedures for the target compounds. Sixteen hydroxamic acids are synthesized using the developed approach. Most of the compounds are obtained for the first time.
1. Introduction
Hydroxamic acids belong to a very important class of compounds for anticancer drug development [1] because of their ability to inhibit metalloenzymes [2] such as histone deacetylase (HDAC) [3,4] or matrix metalloproteinase (MMP) [5,6]. Additionally, these compounds are of great interest for the development of such a modern field of organic chemistry as oxidative coupling reactions [7,8,9]. There are several well-known reactions for the synthesis of hydroxamic acids (see Figure 1) that involve carboxylic acids, esters, amides and aldehydes as starting compounds with different reaction activation additives (N,N-dimethylchloromethaniminium chloride, ethyl chloroformate, 1-methanesulfonyl-1H-benzotriazole MSBT, cyclic phosphonic anhydride PPAA, etc.) or catalysts (KCN, Fe3+, MgO, etc.) [2,10,11]. One more reaction that we believe can expand the possibilities for the synthesis of a broad number of new compounds with hydroxamic acid group is the five-membered imide cycle opening by ammonia derivatives [12,13,14]. Recently [15], based on the reaction of N-substituted succinimides with hydroxylamine, we developed a novel approach that features simple and mild conditions. Here, we report a detailed description of the developed approach, which consists of two steps: (i) the synthesis of N-substituted succinimides by the reaction of succinic anhydride with amines in chloroform in the presence of polyphosphate ester and (ii) the treatment of N-substituted succinimides by hydroxylamine aquatic solution.
Figure 1.
General approaches to the synthesis of hydroxamic acids [2,10,11].
2. Materials and Methods
Mass spectra were recorded on a Finnigan MAT INCOS 50 mass spectrometer with direct sample injection (EI ionization, 70 eV). IR spectra were acquired on a Bruker Alpha FT-IR spectrometer (all samples were analyzed directly without dilution in KBr). 1H and 13C NMR spectra were acquired on a Bruker DRX-500 (and DRX-600) in CDCl3 or DMSO-d6 with TMS as the internal standard.
Polyphosphate ester (PPE) was synthesized according to the described method [16]. Hydrazides were synthesized using a general approach described in [17]. Succinic anhydride was purified from succinic acid residues by Soxhlet extraction using chloroform (TCM) as a solvent (anhydride was collected as extract).
Synthesis of compounds 1. General method (one-pot approach): an amount of 10 mmol of amine (or hydrazide) R-NH2 (or R-C(O)-NHNH2) was added to refluxing solution of 10 mmol succinic anhydride in 50 mL of TCM. Resulted mixture was refluxed for 6 h, then the PPE (1 g for 1a; 2 g for 1b–f; 3 g for 1h–p; 5 g for 1g) was added, and reaction continued for 6 h at the same temperature. General method (two-step approach): An amount of 10 mmol of amine (or hydrazide) R-NH2 (or R-C(O)-NHNH2) was added to refluxing solution of 10 mmol succinic anhydride in 50 mL of TCM. Resulted mixture was refluxed for 6 h. Formed precipitate IM (intermediate amido acid) was filtered, washed by 30 mL of TCM, and suspended in 50 mL of TCM in 100 mL flask. To the resulting suspension, the PPE (1.5 g for 1a–f; 2.5 g for 1h–p; 5 g for 1g) was added, and reaction mixture was refluxed for 6 h. For both approaches, the reaction can be monitored by TLC (TCM as eluent for 1a–f and TCM with isopropanol (with a volume ratio of 90:10) for 1g–p). At the completion of the imidization reaction, the reaction mixture turned homogenous (except for 1g that precipitates out of the reaction mixture). Isolation of 1a–f and 1h–p. Reaction mixture was treated with 35 mL of NaHCO3 hot saturated solution, then organic fraction was separated and dried with Na2SO4. TCM was removed on rotary evaporator and resulted precipitate was washed by 30 mL of hot methanol. Isolation of 1g. The precipitate was filtered off and washed by TCM (3 × 30 mL) and dried in desiccator with phosphorus pentoxide.
Synthesis of compounds 2 (general method): an amount of 1.11 g (16 mmol) of hydroxylamine hydrochloride was dissolved in 6.8 mL of 20% ammonia water solution. Then, the excess ammonia was removed under vacuum (10 torr, during 30 min) followed by argon bubbling within 3 h (until the smell of ammonia disappears). The hydroxylamine water solution was added to a suspension of 1 (4 mmol) in 1 mL of methanol. Resulted reaction mixture was stirred at 30 °C for 1 h (except for 2b that was stirred at 40 °C for 8 h); the precipitate structure changing (from crystalline to amorphous) was observed during the reaction. Resulted precipitate was filtered, washed by water (3 × 30 mL) and TCM (3 × 30 mL), and dried in desiccator with phosphorus pentoxide.
Synthesis of 2-phenyl-1H-isoindole-1,3(2H)-dione: an amount of 0.93 g (10 mmol) of aniline was added to refluxing solution of 1.66 g (10 mmol) benzene-1,2-dicarboxylic acid with 17 g of PPE in TCM (40 mL). Resulted mixture was refluxed for 6 h, then treated with 100 mL of NaHCO3 hot saturated solution. Organic fraction was separated and dried with Na2SO4. TCM was removed on rotary evaporator and resulted precipitate was washed by hot methanol (3 × 25 mL). Yield 0.96 g (43%) of colorless crystals.
Compounds 1f, 1h–p and 2b–p were synthesized for the first time. Compounds 1a–e, 1g and 2a are also described in [18,19,20,21,22,23]. All spectral data are available in Supporting Materials. Most of the 1H NMR (and some of 13C NMR) spectra of the synthesized hydroxamic acids 2 (see Supplementary Materials) have additional signals or broad peaks related to cis-trans isomerization [24].
3. Results and Discussion
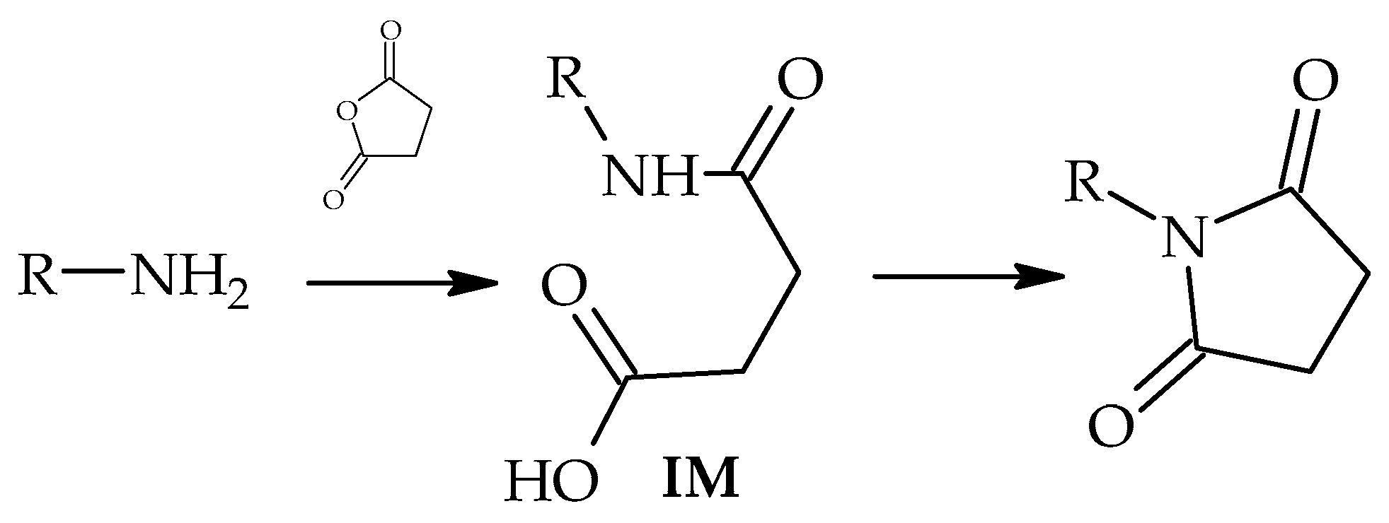
For our work, a universal method for the synthesis of N-substituted succinimides had to be developed. The simplest way to obtain N-substituted succinimides is the acylation reaction of amine by succinic anhydride, followed by a cyclodehydration process to a target imide (Scheme 1).
Scheme 1.
Synthesis of N-substituted succinimides.
The first step of the reaction depicted in Scheme 1 usually undergoes with high yields under mild conditions in diethyl ether, toluene, 1,2-dimethoxyethane [25], polyethylene glycol [26], etc. The cyclodehydration reaction (step 2 in Scheme 1) can be provided by heating (120 °C) [26,27,28,29] or acetic anhydride addition [25,30,31]. At first, we synthesized N-phenylsuccinimide by thermal imidization and found some side-product formation, which might be caused by the partial thermal degradation of the intermediate amido acid (IM). Therefore, we hypothesize that thermal imidization is not universal for N-substituted succinimides synthesis, especially for compounds with less thermal stability than 4-anilino-4-oxobutanoic acid. Using acetic anhydride can result in a side acetylation reaction (e.g., the reaction with phenol groups [32,33]).
Polyphosphate ester (PPE) is a known mild reagent for cyclodehydration reactions [34,35] and it can be used even without additional protection of the phenol groups [34]. Here, we report for the first time the usage of PPE as the dehydration additive for imidization reaction. We have found that an addition of 1–5 g of PPE per 10 mmol of formed acylation product (amidoacid) leads to its conversion into succinimide. This finding provides a two-step reaction (Scheme 1) in chloroform (TCM) in a one-pot manner (Scheme 2, synthesis of 1a–f). The first step in Scheme 2 can be controlled by visually observing the reaction mixture: the acylation product IMa–f precipitates from TCM following a dissolving process after PPE addition. It should be noted that using colorless amine Ar-NH2 is an absolute prerequisite for the one-pot approach (the coloration of Ar-NH2 indicates the presence of impurities which significantly decrease the yield of 1). This limitation can be circumvented by separating of the intermediate amido acid IMa–f precipitate from impurities dissolved in TCM, hence the subsequent imidization stage can be carried out in pure solvent. The yield difference between “one-pot” (without separation of IMa–f) and “two step” (with separation of IMa–f) syntheses of 1a–f is clearly seen in Table 1. The main feature of the proposed method of 1 synthesis is the simplicity of product separation (no additional purification procedures are required, the product is only washed by methanol).
Scheme 2.
Synthetic route to hydroxamic acids based on aniline derivatives.
Table 1.
Compounds synthesized according to Scheme 2.
The experimental conditions for the last step in Scheme 2 were optimized using 1a. We found that if the reaction of N-phenyl succinimide with hydroxylamine was carried out in absolute methanol, it was difficult to isolate and purify the target compound 2a from impurities. Using hydroxylamine water solution (see Section 2) proved to be a more suitable approach. Despite poor water solubility of the succinimides 1a–f, the imide ring opening reaction can be carried out directly in hydroxylamine water solution, and the reaction proceeds with visible change in the appearance of the precipitate (the precipitate structure changing from crystalline to amorphous). Addition of some amount of methanol into the reaction mixture can increase the reaction rate, which is most likely related to a slight increase in the imide solubility.
Using a water-based reaction medium simplifies the separation and purification process, and all impurities can be removed easily by washing the filtered precipitate with water and TCM. The yield primarily depends on the solubility of the product in the reaction medium and can be changed by varying the amount of methanol in the reaction mixture.
A necessary condition for imide ring opening in the presence of hydroxylamine is the acidity of initial R-NH2 (Scheme 2) that must be more than that for hydroxylamine. As it can be seen from Table 2, the pKa value for anisidine (used for 2b synthesis) is close to the pKa of hydroxylamine, and the synthesis of 2b proceeded much slower in comparison to the other compounds, and it had to be carried out at a higher temperature for longer time (see Section 2 for details). The additional confirmation of the found effect of initial amine acidity is the fact that the reaction between hydroxylamine and commercially available pyrrolidine-2,5-dione does not take place (because pKa (NH3) > pKa (NH2OH), see Table 2).
Table 2.
A comparison of pKa values for Ar-NH2 and some hydrazides.
To expand the potential of the proposed approach, hydrazides of carboxylic acids were used. Their basicity is noticeably lower than that of hydroxylamine (Table 2) and does not depend substantially on the nearest substituents (Table 2 shows that aliphatic and aromatic hydrazides have close values of pKa). The reaction conditions used for aniline derivatives described above proved to be suitable for the synthesis based on hydrazides (Scheme 3). Table 3 shows the resulting structures obtained using various carboxylic acid hydrazides. It can be seen (Table 3) that the yield difference between the “one-pot” and “two-step” syntheses of 1g–p is not so noticeable as for 1a–f, which is primarily due to the fact that hydrazides are more stable (contain less impurities) than derivatives of aniline.
Scheme 3.
Synthetic route to hydroxamic acids based on hydrazides.
Table 3.
Compounds synthesized according to Scheme 3.
The nature of the imide ring opening reaction described here looks similar to the one of hydrazine hydrate interaction with phthalimides. The fact that hydrazine reacts with phthalimide was first observed at the end of the 19th century [38] and was used as the basis for the Ing–Manske procedure (the Gabriel synthesis) [39]. Additionally, there are many examples of using the mentioned reaction for N-aminophthalimide synthesis [40,41,42]. It is known that hydrazine hydrate reacts with phthalimide even at –20 °C [42], which is important to exclude the transformation of N-amino phthalimide into 2,3-dihydrophthalazine-1,4-dione. This fact is a further confirmation that reactions between five-membered cyclic imides and ammonia derivatives (in particular, the reaction between N-substituted succinimides and hydroxylamine) can easily undergo without heating.
Taking into account the similarity mentioned above, it was important to compare the reactions of hydroxylamine with succinimides and phthalimides at the same conditions. For this purpose, N-phenyl phthalimide was synthesized and compared with 1a. In contrast to 1a, which reacts with NH2OH with the formation of 2a only (Scheme 4), N-phenyl phthalimide in hydroxylamine water solution decays into a number of products, including aniline (the reaction was monitored by TLC).
Scheme 4.
A comparison of the hydroxylamine reactions with N-phenyl succinimide and N-phenyl phthalimide.
Moreover, the aniline formation was also observed with a hydroxylamine concentration that was less than that expected based on the stoichiometry of the reaction (whereas the reaction of 1a with a tenfold excess of hydroxylamine did not lead to aniline formation). Although the phthalimide ring opening has to be occurred [43], we could not separate phthalic analogue of 2a using the approach proposed in the present work. Unlike the reaction of hydroxylamine with 1a, that of with N-phenyl phthalimide leads to homogenization of the reaction mixture, which significantly complicates the separation of the products. Thus, we can conclude that our approach is so far suitable only for N-substituted succinimides (if the pKa inequality condition described above is satisfied). Some questions still remain to be answered, such as: (i) is it possible to find the experimental conditions optimal for the separation of the phthalimide ring opening product?; (ii) how will the reaction of hydroxylamine with N-substituted maleimides proceed?; (iii) will the experimental conditions affect the composition of the isomers formed during the described [13,14] interaction of hydroxylamine with succinimides substituted in positions 1 and 3 simultaneously?; and (iv) is it possible to involve six-membered imide cycles in the reaction with hydroxylamine?
4. Conclusions
A novel approach for hydroxamic acids synthesis has been proposed based on the reaction between N-substituted succinimides and hydroxylamine. The reaction occurs through imide ring opening and results in the formation of N-hydroxybutaneamide derivatives (the imide ring opening is possible only when pKa (RNH2) < pKa (NH2OH), where RNH2 is the initial amine used for imide synthesis). To obtain N-substituted succinimides of different structures, a new method based on the reaction of amines or hydrazides with succinic anhydride in the presence of polyphosphate ester has been proposed. The developed approach provides a simple tool to obtain a broad spectrum of new hydroxamic acids that can be used in medicinal chemistry research or for free radical C–O coupling reactions. Compared to the previously described methods (Figure 1), the reactions of N-substituted succinimides with hydroxylamine make it possible to synthesize N-hydroxybutanamide derivatives with fewer steps and without expensive additives.
Supplementary Materials
The following supporting information can be downloaded at: https://www.mdpi.com/article/10.3390/org4020015/s1. The compounds and spectrum view Figures S1–S104.
Author Contributions
Conceptualization, S.Y.G.; methodology, S.Y.G.; validation S.Y.G. and B.A.T.; formal analysis, B.A.T. and S.Y.G.; investigation, B.A.T. and S.Y.G.; resources, S.Y.G. and A.A.T.; data curation, S.Y.G. and B.A.T.; writing—original draft preparation, S.Y.G.; writing—review and editing, S.Y.G. and A.A.T.; visualization, S.Y.G. and A.A.T.; supervision, A.A.T.; project administration, A.A.T.; funding acquisition, A.A.T. All authors have read and agreed to the published version of the manuscript.
Funding
This research was funded by the Russian Foundation for Basic Research, grant number 20-03-00950 A, state registration No. AAAA-A20-120013190052-4) and the Ministry of Science and Higher Education of the Russian Federation (state registration No. AAAA-A19-119071 890015-6).
Data Availability Statement
The authors confirm that the data supporting the findings of this study are available within the article and its Supplementary Materials.
Conflicts of Interest
The authors declare no conflict of interest. The funders had no role in the design of the study; in the collection, analyses, or interpretation of data; in the writing of the manuscript; or in the decision to publish the results.
References
- Gupta, M.K.; Singh, G.; Gupta, S. Hydroxamic Acid Derivatives as Potential Anticancer Agents. In Hydroxamic Acid: A Unique Family of Chemicals with Multiple Biological Activities; Gupta, S.P., Ed.; Springer: Heidelberg, Germany; New York, NY, USA; Dordrecht, The Netherlands; London, UK, 2013; pp. 173–204. [Google Scholar]
- Citarella, A.; Moi, D.; Pinzi, L.; Bonanni, D.; Rastelli, G. Hydroxamic Acid Derivatives: From Synthetic Strategies to Medicinal Chemistry Applications. ACS Omega 2021, 6, 21843–21849. [Google Scholar] [CrossRef] [PubMed]
- Bertrand, P. Inside HDAC with HDAC inhibitors. Eur. J. Med. Chem. 2010, 45, 2095–2116. [Google Scholar] [CrossRef] [PubMed]
- Thaler, F.; Patil, V.M.; Gupta, S.P. Hydroxamic Acids as Histone Deacetylase Inhibitors. In Hydroxamic Acid: A Unique Family of Chemicals with Multiple Biological Activities; Gupta, S.P., Ed.; Springer: Heidelberg, Germany; New York, NY, USA; Dordrecht, The Netherlands; London, UK, 2013; pp. 99–151. [Google Scholar]
- Patil, V.M.; Gupta, S.P. Structure–Activity Relationship Studies of Hydroxamic Acids as Matrix Metalloproteinase Inhibitors. In Hydroxamic Acid: A Unique Family of Chemicals with Multiple Biological Activities; Gupta, S.P., Ed.; Springer: Heidelberg, Germany; New York, NY, USA; Dordrecht, The Netherlands; London, UK, 2013; pp. 71–98. [Google Scholar]
- Cathcart, J.M.; Cao, J. MMP Inhibitors: Past, present and future. Front. Biosci. Landmark Ed. 2015, 20, 1164–1178. [Google Scholar] [CrossRef] [PubMed]
- Schmidt, V.A.; Alexanian, E.J. Metal-Free Oxyaminations of Alkenes Using Hydroxamic Acids. J. Am. Chem. Soc. 2011, 133, 11402–11405. [Google Scholar] [CrossRef] [PubMed]
- Giglio, B.C.; Alexanian, E.J. Alkene Hydrofunctionalization Using Hydroxamic Acids: A Radical-Mediated Approach to Alkene Hydration. Org. Lett. 2014, 16, 4304–4307. [Google Scholar] [CrossRef]
- Krylov, I.B.; Paveliev, S.A.; Budnikov, A.S.; Segida, O.O.; Merkulova, V.M.; Vil’, V.A.; Nikishin, G.I.; Terent’ev, A.O. Hidden Reactivity of Barbituric and Meldrum’s Acids: Atom-Efficient Free-Radical C–O Coupling with N-Hydroxy Compounds. Synthesis 2022, 54, 506–516. [Google Scholar] [CrossRef]
- Porcheddu, A.; Giacomelli, G. Synthesis of oximes and hydroxamic acids. In The Chemistry of Hydroxylamines, Oximes and Hydroxamic Acids; Rappoport, Z., Liebmann, J.F., Eds.; Wiley: An Interscience Publication: Chichester, UK, 2009; pp. 163–232. [Google Scholar]
- Alam, M.A. Methods for Hydroxamic Acid Synthesis. Curr. Org. Chem. 2019, 23, 978–993. [Google Scholar] [CrossRef]
- Hearn, M.T.W.; Ward, A.D. Hydroxamic Acids. VI The Synthesis, Properties and Reactions of Amidic Hydroxamic Acid and Dihydroxamic Acid Derivatives. Aust. J. Chem. 1977, 30, 2031–2043. [Google Scholar] [CrossRef]
- Devlin, J.P.; Ollis, W.D.; Thorpe, J.E.; Wood, R.J.; Broughton, B.J.; Warren, P.J.; Wooldridge, K.R.H.; Wright, D.E. Studies concerning the antibiotic actinonin. Part III. Synthesis of structural analogues of actinonin by the anhydride–imide method. J. Chem. Soc. Perkin Trans. 1 1975, 9, 830–841. [Google Scholar] [CrossRef]
- Reichelt, A.; Gaul, C.; Frey, R.R.; Kennedy, A.; Martin, S.F. Design, Synthesis, and Evaluation of Matrix Metalloprotease Inhibitors Bearing Cyclopropane-Derived Peptidomimetics as P1′ and P2′ Replacements. J. Org. Chem. 2002, 67, 4062–4075. [Google Scholar] [CrossRef]
- Tretyakov, B.A.; Gadomsky, S.Y.; Terentiev, A.A. Method for Producing Derivatives of N-Hydroxybutanamide. Russian Federation Patent RU2769320 C1, 30 March 2022. [Google Scholar]
- Dixon, L.A. Polyphosphate Ester. In Encyclopedia of Reagents for Organic Synthesis; John Wiley & Sons, Ltd.: Hoboken, NJ, USA, 2001. [Google Scholar] [CrossRef]
- Yale, H.L.; Losee, K.; Martins, J.; Holsing, M.; Perry, F.M.; Bernstein, J. Chemotherapy of Experimental Tuberculosis. VIII. The Synthesis of Acid Hydrazides, their Derivatives and Related Compounds. J. Am. Chem. Soc. 1953, 75, 1933–1942. [Google Scholar] [CrossRef]
- Lea, Z.-G.; Chen, Z.-C.; Hu, Y.; Zheng, Q.-G. Organic Reactions in Ionic Liquids: Ionic Liquid-Promoted Efficient Synthesis of N-Alkyl and N-Arylimides. Synthesis 2004, 7, 995–998. [Google Scholar] [CrossRef]
- Lee, H.-S.; Yu, J.-S.; Lee, C.-K. Use of Correlation of 1H and 13C Chemical Shifts of N-Arylsuccinanilic Acids, N-Arylsuccinimides, N-Arylmaleanilic Acids, and N-Arylmaleimides with the Hammett Substituent Constants for the Studies of Electronic Effects. Bull. Korean Chem. Soc. 2009, 30, 2351–2354. [Google Scholar] [CrossRef]
- Garad, D.N.; Tanpure, S.D.; Mhaske, S.B. Radical-mediated dehydrative preparation of cyclic imides using (NH4)2S2O8–DMSO: Application to the synthesis of vernakalant. Beilstein J. Org. Chem. 2015, 11, 1008–1016. [Google Scholar] [CrossRef]
- Short, F.W.; Long, L.M. Synthesis of 5-aryl-2-oxazolepropionic acids and analogs. Antiinflammatory agents. J. Heterocycl. Chem. 1969, 6, 707–712. [Google Scholar] [CrossRef]
- Itsuo, M.; Kohya, N.; Masateru, M. Reaction of benzaldoxime with N-phenylmaleimide. Kobunshi Ronbunshu 1988, 45, 605–608. [Google Scholar] [CrossRef]
- Hermant, P.; Bosc, D.; Piveteau, C.; Gealageas, R.; Lam, B.; Ronco, C.; Roignant, M.; Tolojanahary, H.; Jean, L.; Renard, O.-Y.; et al. Controlling Plasma Stability of Hydroxamic Acids: A MedChem Toolbox. J. Med. Chem. 2017, 60, 9067–9089. [Google Scholar] [CrossRef]
- Brown, D.A.; Glass, W.K.; Mageswaran, R.; Girmay, B. cis-trans Isomerism in monoalkylhydroxamic acids by 1H, 13C and 15N NMR spectroscopy. Magn. Reson. Chem. 1988, 26, 970–973. [Google Scholar] [CrossRef]
- Kar, A.; Argade, N.P. A Simple Key for Benzylic Mono- and gem-Dibromination of Primary Aromatic Amine Derivatives Using Molecular Bromine. Synthesis 2002, 2, 221–224. [Google Scholar] [CrossRef]
- Liang, J.; Lv, J.; Fan, J.-C.; Shang, Z.-C. Polyethylene Glycol as a Nonionic Liquid Solvent for the Synthesis of N-Alkyl and N-Arylimides. Synth. Commun. 2009, 39, 2822–2828. [Google Scholar] [CrossRef]
- Abdel-Aziz, A.A.-M.; Eltahir, K.E.H.; Asiri, Y.A. Synthesis, anti-inflammatory activity and COX-1/COX-2 inhibition of novel substituted cyclic imides. Part 1: Molecular docking study. Eur. J. Med. Chem. 2011, 46, 1648–1655. [Google Scholar] [CrossRef] [PubMed]
- Makurina, V.I.; Chuvurin, A.V.; Karnozhitskaya, T.M.; Chernykh, V.P. Kinetics and Mechanism of the Hydrazinolysis of the Imides of 4-Substituted Succinanilic Acids in Dimethylformamide. J. Org. Chem. USSR Engl. Transl. 1990, 26, 1978–1980. [Google Scholar]
- Correa-Basurto, J.; Flores-Sandoval, C.; Marin-Cruz, J.; Rojo-Dominguez, A.; Espinoza-Fonseca, L.M.; Trujillo-Ferrara, J.G. Docking and quantum mechanic studies on cholinesterases and their inhibitors. Eur. J. Med. Chem. 2007, 42, 10–19. [Google Scholar] [CrossRef]
- Sortino, M.; Garibotto, F.; Cechinel Filho, V.; Gupta, M.; Enriz, R.; Zacchino, S. Antifungal, cytotoxic and SAR studies of a series of N-alkyl, N-aryl and N-alkylphenyl-1,4-pyrrolediones and related compounds. Bioorg. Med. Chem. 2011, 19, 2823–2834. [Google Scholar] [CrossRef] [PubMed]
- Araghi, M.; Mirkhani, V.; Moghadam, M.; Tangestaninejad, S.; Mohammadpoor-Baltork, I. New porphyrin–polyoxometalate hybrid materials: Synthesis, characterization and investigation of catalytic activity in acetylation reactions. Dalton Trans. 2012, 41, 11745–11752. [Google Scholar] [CrossRef]
- Moghadam, M.; Tangestaninejad, S.; Mirkhani, V.; Mohammadpoor-Baltork, I.; Gharaati, S. Polystyrene-bound electron-deficient tin(IV) porphyrin: A new, highly efficient, robust and reusable catalyst for acetylation of alcohols and phenols with acetic anhydride. C. R. Chim. 2011, 14, 1080–1087. [Google Scholar] [CrossRef]
- Yakuschenko, I.; Pozdeeva, N.N.; Gadomsky, S.Y. A novel one-pot synthesis method of 3,4,5-triaryl-substituted 1,2,4-triazoles. Chem. Heterocycl. Compd. 2019, 55, 834–838. [Google Scholar] [CrossRef]
- Kokovina, T.S.; Gadomsky, S.Y.; Terentiev, A.A.; Sanina, N.A. A Novel Approach to the Synthesis of 1,3,4-Thiadiazole-2-Amine Derivatives. Molecules 2021, 26, 5159. [Google Scholar] [CrossRef]
- Lide, D.R. (Ed.) CRC Handbook of Chemistry and Physics, 84th ed.; CRC Press LLC: Boca Raton, FL, USA, 2003; p. 2616. [Google Scholar]
- Available online: https://scifinder-n.cas.org (accessed on 15 November 2022).
- Rothenburg, R. Saureimide und Hydrazinhydrat. Chem. Berich. 1894, 27, 691. [Google Scholar] [CrossRef]
- Ing, H.R.; Manske, R.H.F. CCCXII.—A modification of the Gabriel synthesis of amines. J. Chem. Soc. 1926, 129, 2348–2351. [Google Scholar] [CrossRef]
- Sanz, D.; Pérez-Torralba, M.; Alarcón, S.H.; Claramunt, R.M.; Foces-Foces, C.; Elguero, J. Tautomerism in the Solid State and in Solution of a Series of 6-Aminofulvene-1-aldimines. J. Org. Chem. 2002, 67, 1462–1471. [Google Scholar] [CrossRef] [PubMed]
- Dey, S.K.; Lightner, D.A. 1,1′-Bipyrroles: Synthesis and Stereochemistry. J. Org. Chem. 2007, 72, 9395–9397. [Google Scholar] [CrossRef] [PubMed]
- Yin, J.X.; Mekelburga, T.; Hyland, C. Unusual (Z)-selective palladium(ii)-catalysed addition of aryl boronic acids to vinylaziridines. Org. Biomol. Chem. 2014, 12, 9113. [Google Scholar] [CrossRef] [PubMed]
- Chung, C.-Y.; Tseng, C.-C.; Li, S.-M.; Tsai, S.-E.; Lin, H.-Y.; Wong, F.F. Structural Identification between Phthalazine-1,4-Diones and N-Aminophthalimides via Vilsmeier Reaction: Nitrogen Cyclization and Tautomerization Study. Molecules 2021, 26, 2907. [Google Scholar] [CrossRef] [PubMed]
- Khan, M.N. Kinetic Evidence for the Occurrence of a Stepwise Mechanism in the Hydrazinolysis of Phthalimide. J. Org. Chem. 1995, 60, 4536–4541. [Google Scholar] [CrossRef]
Disclaimer/Publisher’s Note: The statements, opinions and data contained in all publications are solely those of the individual author(s) and contributor(s) and not of MDPI and/or the editor(s). MDPI and/or the editor(s) disclaim responsibility for any injury to people or property resulting from any ideas, methods, instructions or products referred to in the content. |
© 2023 by the authors. Licensee MDPI, Basel, Switzerland. This article is an open access article distributed under the terms and conditions of the Creative Commons Attribution (CC BY) license (https://creativecommons.org/licenses/by/4.0/).




















