Abstract
A new rapid iodination reagent, N1,N3,N5-tris[(2,4,6-trimethylpyridine)iodo(I)]-2,4,6-triphenyl-s-triazine trihexafluorophosphate, was synthesized in a modification of the established synthesis of 2,4,6-triiodo-3,5-dimethylphenol in the presence of bis(2,4,6-trimethylpyridine)iodo(I) hexafluorophosphate and used for the precise post-modification of mono- and trisubstituted phenyl compounds. We performed triple iodinations with our new phenyl-based compounds as a proof of principle of selected types of phenols, ß-sympatholytic agents and their spin-labeled derivatives, which can be employed in electron paramagnetic resonance (EPR) spectroscopy. The new rapid iodination reagent can be employed with high reactivity and regioselectivity.
1. Introduction
Multistep reactions of the Sandmeyer type using diazonium salt formation are a well-established method of achieving some ‘hard to access’ substitution patterns of iodoarenes that are not achievable via direct substitution [1,2,3,4,5,6]. Beyond these reactions, a broad variety of metal-based and metal-free one-pot (or two-step) syntheses to form arene C-I bonds with appropriate regioselectivity have been developed in the past few decades [7,8,9,10,11,12,13,14,15,16,17,18,19,20,21,22,23,24,25,26,27,28,29,30,31,32,33].
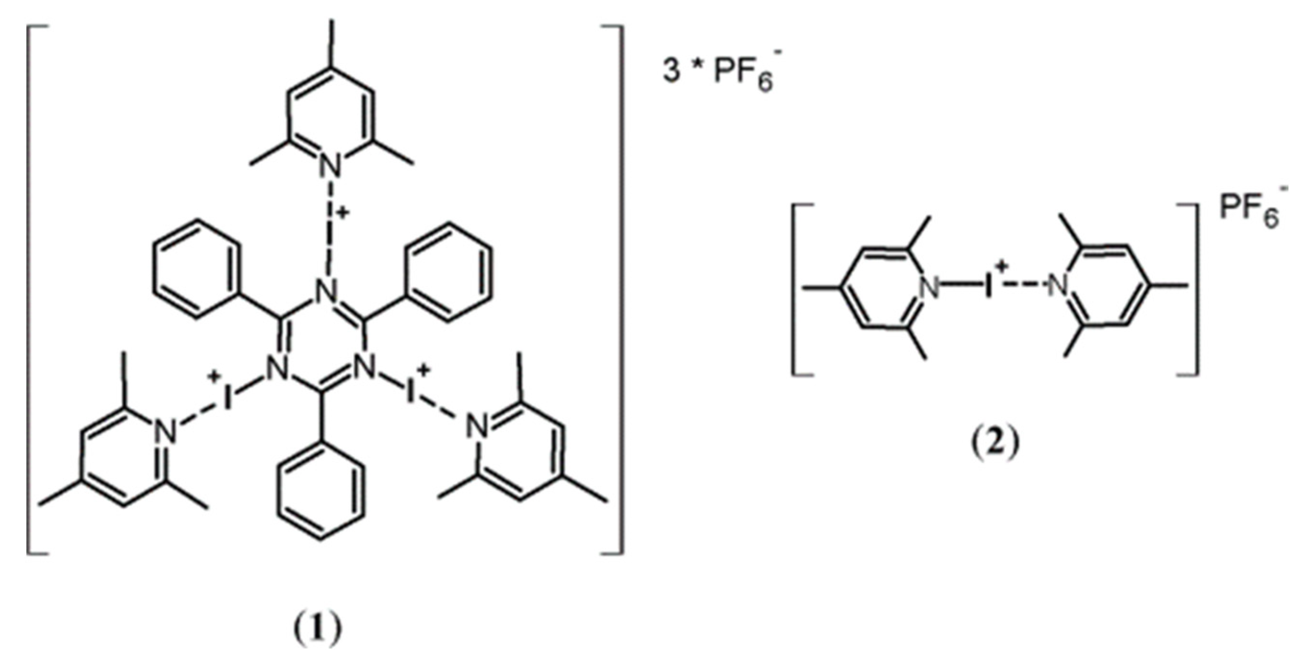
The metal-free post-modification of selected phenols to obtain the iodinated compounds, e.g., 2,4,6-triodo-3,5-dimethylphenol [34], can be achieved with bis-(2,4,6-trimethylpyridine)iodo(I) hexafluorophosphate 2 (see Figure 1), as reported in the work of Brunei and coworkers (1995) [34] and Homsi and coworkers (2000) [35]. Herein, we report a two-step synthesis of a new s-triazine-based rapid iodination reagent, N1,N3,N5-tris[(2,4,6-trimethylpyridine)iodo(I)]-2,4,6-triphenyl-s-triazine trihexafluorophosphate (FIC*17*), in the following abbreviated with 1 (see Figure 1, Scheme 1 and Table 1).
Figure 1.
Chemical structures of N1,N3,N5-tris[(2,4,6-trimethylpyridine)iodo(I)]-2,4,6-triphenyl-s-triazine trihexafluorophosphate (1) and bis(2,4,6-trimethylpyridine)iodo(I) hexafluorophosphate (2).
Scheme 1.
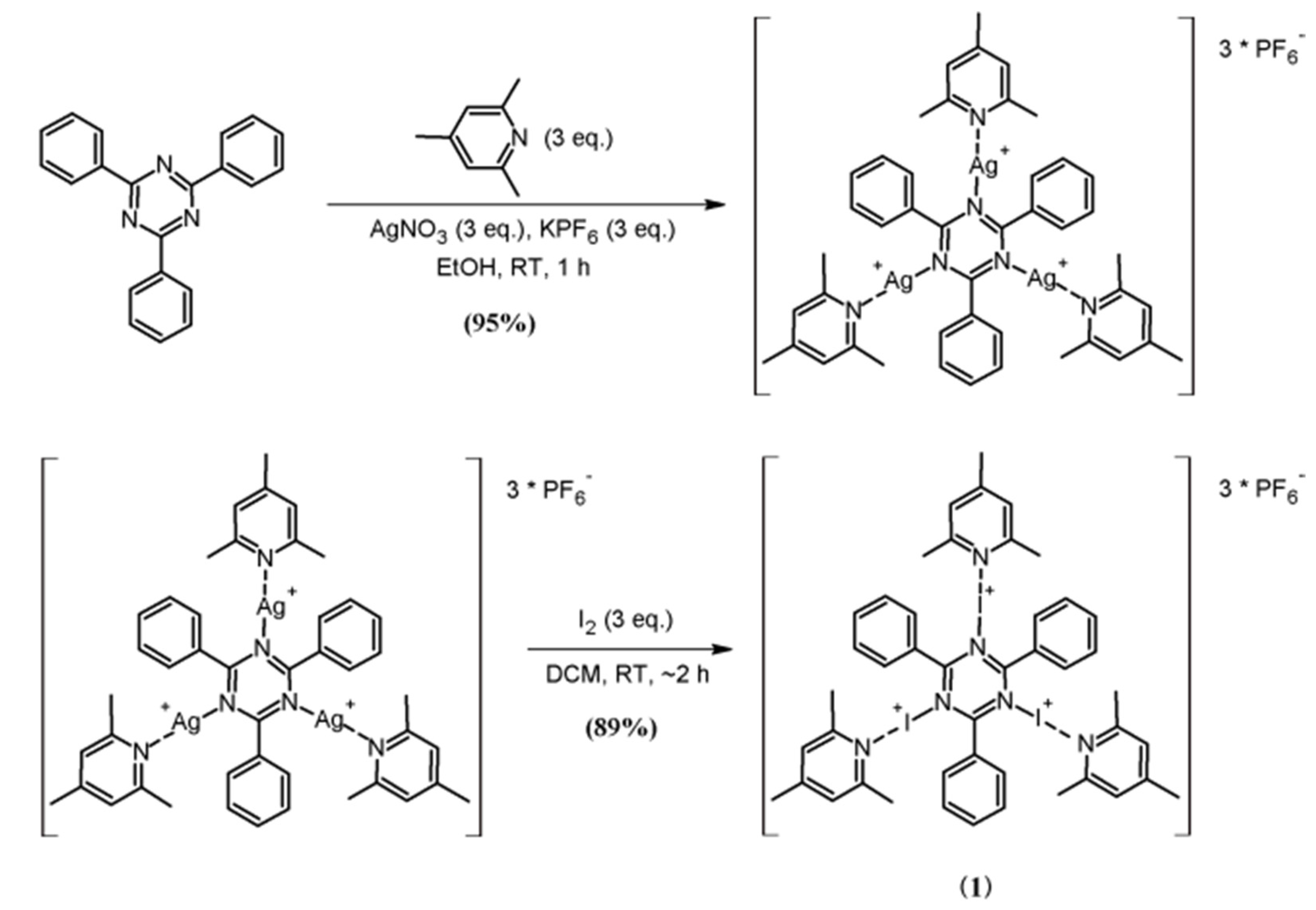
Synthetic strategy for the s-triazine-based iodination reagent, N1,N3,N5-tris[(2,4,6-trimethylpyridine)iodo(I)]-2,4,6-triphenyl-s-triazine trihexafluorophosphate (1) via its precursor, N1,N3,N5-tris[(2,4,6-trimethylpyridine)silver(I)]-2,4,6-triphenyl-s-tri-azine trihexafluorophosphate. Yields of each reaction step are given in brackets.
Table 1.
Iodination of selected aromatic substrates in the presence of 1 (*) marks stereogenic carbon atoms. All reactions were performed at RT.
Derived from the established iodination reagent 2 (see Figure 1) [35], 1 serves as triple-iodonium-ion (I+) donor and at identical iodine turnover, three activated I+ are available per used mole of reagent 1 instead of one I+ (as is the case for 2), and we can achieve very high yields, as shown below (95–99%). In 1, both reactants used for its synthesis, 2,4,6-trimethylpyridine as a water-soluble liquid and 2,4,6-triphenyl-s-triazine as a water-insoluble solid, are recyclable after completion of the iodination process. The recyclability of both reactants is an important environmental advantage and it reduces the follow-up costs in the recovery of 1. A further reason for the choice of the water-insoluble 2,4,6-triphenyl-s-triazine instead of the water-soluble 2,4,6-trimethyl-s-triazine as a reactant is that the phenyl groups around the basic triazine compound have experimentally been shown to stabilize each I+ better than the corresponding methyl groups in 2. We ascribe this stabilization to the interactions between iodonium ions and the aromatic phenyl group π-electron system of 2,4,6-triphenyl-s-triazine and π-π interactions to 2,4,6-trimethylpyridine by itself. By using 2,4,6-trimethyl-s-triazine instead 2,4,6-triphenyl-s-triazine as a reagent, for example, no additional stabilization effects are observed.
Apart from the work of Brunei et al. (1995) [34], 1 is well suited for the post-modifications of aromatic ß-sympatholytic agents, e.g., (2R,2S)-1-(isopropylamino)-3-phenoxypropan-2-ol (see Table 1, entry 3) and (2R,2S)-1-(3,5-dimethylphenoxy)-3-(iso-propylamino)propan-2-ol (see Table 1, entry 4), and their spin-labeled derivatives (see Table 1, entries 5–6) under mild reaction conditions.
2. Materials and Methods
Materials. All commercial chemicals were purchased from Sigma-Aldrich Chemie GmbH (St. Louis, MO, USA), TCI Deutschland GmbH (Eschborn, Germany), AppliChem GmbH (Darmstadt, Germany), Carl Roth GmbH + Co. KG (Karlsruhe, Germany), VWR International GmbH (Radnor, PA, USA) and ACROS Organics (Verona, Italy) in their highest purity grade and were used without further purification unless otherwise noted. All commercially used phenols, N,N′-dicyclohexylcarbodiimide (DCC), N,N′-diisopropylthiourea ([iPr]2-thiourea), potassium bromide (KBr), sodium chloride (NaCl), potassium hexafluorophosphate (KPF6), 2,4,6-trimethylpyridine, 2,4,6-triphenyl-s-triazine, (R,S)-epichlorhydrin, (R,S)-glycidyl tosylate, isopropylamine and 4-(dimethylamino)pyridine (DMAP), were received from Sigma-Aldrich Chemie GmbH. Potassium carbonate (K2CO3), sodium thiosulfate (Na2S2O3), anhydrous magnesium sulfate (MgSO4) and sodium hydroxide (NaOH) were received from AppliChem GmbH, and the stabilized nitroxide radical, 4-carboxy-TEMPO, was obtained from TCI Deutschland GmbH. All solvents were purchased from Sigma-Aldrich Chemie GmbH (dimethylsulfoxide (DMSO, ≥99.5%, EP, USP testing specifications)), ACROS Organics (dichloromethane (DCM), 99.9%, extra-dry, stabilized, AcroSeal®; 2-methyltetrahydrofuran (2-MeTHF), 99+%, extra-dry, stabilizer-free, AcroSeal®), VWR International GmbH (acetone, puriss., p.a., ACS reagent, reag. ISO, reag. Ph. Eur., ≥99.5% (GC), Riedel-de Haen) or Carl Roth GmbH + Co. KG (ethanol (EtOH), ROTISOLV®, HPLC Gradient Grade; n-hexane, ROTISOLV®, HPLC; ethyl acetate, ROTISOLV®, HPLC; diethyl ether (DEE), ROTISOLV®, ≥99.8%, Pestilyse®, stab.; petroleum ether, ROTIPURAN®, p.a., ACS, ISO; acetonitrile (MeCN), ROTIDRY®, ≥99.9%, ≤10 ppm H2O) and used as received for thin-layer chromatography (TLC), column chromatography and recrystallization. The solvents required for chemical reactions were dried using the respective standard methods and stored over the appropriate molecular sieves when they were not available in anhydrous form from the corresponding suppliers. For all reactions carried out under inert gas conditions, argon 5.0 from Linde AG was used as a protective gas. For filtration of organic solutions, 0.2 µm PTFE syringe filters (Rotilabo® syringe filter, Ø 25 mm, pore size: 0.20 µm, membrane: PTFE, housing material: PE) from Carl Roth GmbH + Co. KG were exclusively used unless otherwise mentioned in the following reaction descriptions. Furthermore, Milli-Q water (H2Odd) of type 1 from Merck Millipore GmbH was exclusively used for the preparation of aqueous salt solutions, purification of the obtained crude products by extraction, etc.
Instrumental techniques. (a) NMR spectroscopy. The 1H- and 13C(APT)-NMR spectra were measured at 27 °C with an Agilent Technologies VNMRS 400 MHz NMR spectrometer or Agilent Technologies DD2 500 MHz NMR spectrometer, in which the referencing was carried out to the signal of the deuterated solvent (CDCl3, DMSO-d6 or THF-d8). The chemical shifts (δ-values) of the NMR data are given in ppm relative to the internal standard tetramethylsilane (TMS). All 13C(APT)-NMR experiments were always measured under proton decoupling. The measured values were indicated as follows: Experiment. NMR (measuring frequency, solvent): δ [ppm] = δ-value (spin multiplicity, coupling constant(s), number of nuclei, if necessary). The coupling constants (xJa,b) are given in Hertz (Hz), in which the superscript number x gives the estimated number of bonds between the coupling nuclei a and b. The spin multiplicity was classified by the following symbols: s = singlet, d = doublet, dd = doublet of doublet, ddd = doublet of doublet of doublet, t = triplet, tt = triplet of triplet, td = triplet of doublet, q = quartet, quin = quintet, sext = sextet, sept = septet, m = multiplet. (b) FD mass spectrometry (MS). The field desorption (FD) mass spectra were recorded on a Fisons Instruments Field Sector Mass Spectrometer Instruments VG ZAB 2-SE-FPD at an applied voltage of 8 kV. In addition to the measured m/z-values, the respective associated signal intensities are given in % in parentheses and the type of positively charged molecular ions. Furthermore, the FD method is particularly well suited for the characterization of non-polar molecules, since fragmentation of the molecular ions does not occur. Prior to each measurement, ~2 mg of the sample was dissolved in 200 µL of the respective solvent (DCM or THF). Three equal drops of the resulting homogeneous solution were fixed on a freshly drawn, slightly roughened tungsten (W-) wire that was attached on an appropriate guide tube. Before transfer of the guide tube into the high-vacuum measuring cell, the solvent residues on the W-wire were removed by applying a fore-vacuum. After the transfer of the guide tube in the high-vacuum measuring cell and application of an accelerating voltage (8 kV), the now-ionized sample was measured. The signal intensities of the generated analyte ions could be detected using a preset acetone signal. (c) Elemental analysis (EA). The elemental composition of all synthesized compounds was mainly investigated in terms of their content of carbon (C), hydrogen (H), nitrogen (N) and, if available, sulfur (S) using a CHNS 932 elemental analyzer (Leco Corporation). CHNS determination of all anhydrous substances (each ~5 mg) was carried out in triplicate, with respect to all isolated solid in a finely pulverized state. All analysis results are arithmetic averages of all triply determined analysis values of the respective examined substance. (d) FTIR spectroscopy. The Fourier transform (FT) infrared (IR) spectra were recorded at RT and 256 scans with a Bruker Vector 22 FTIR spectrometer. For the production of 13 mm KBr pellets was used a hydraulic pump and an associated pressing tool from the company Perkin-Elmer. During the measurement, the KBr pellet was permanently flushed with a stream of dry air, in order to counteract an air moisture influence that could interfere with the sample measurement. Exclusively dry KBr was used for sample preparation. The KBr pellets were pressed using a sample concentration of ~1.5 mg sample per 150 mg KBr. The FTIR spectra were interpreted using OMNIC Spectra Software. The evaluation of the recorded FTIR spectra was performed according to the excellent work by Rintoul et al., 2008 [S1]. (e) Melting point determination. All observed melting points were measured with the fully automatic melting point apparatus Büchi Melting Point B-545 (BÜCHI Labortechnik GmbH, Essen, Germany). All melting points were determined in triplicate, read uncorrected and arithmetically averaged. (f) Preparative column chromatography. For the purification of the synthesis products, column chromatography was used with a stationary phase of silica gel 60, i.e., silica gel having an average pore diameter of 60 Å (Macherey-Nagel GmbH & Co. KG) with a grain size of 0.063–0.2 mm. (g) Analytical/preparative thin-layer chromatography (TLC). To determine the calculated Rf values using thin-layer chromatography (TLC), 0.2 mm silica gel and fluorescent-indicator-coated finished aluminum foils (ALUGRAM® SIL G/UV254) were used (Macherey-Nagel GmbH & Co. KG). The detection of the synthesized compounds was carried out based on intrinsic coloration by fluorescence quenching at short-wave UV light (λ = 254 nm) and intrinsic fluorescence at long-wave UV light (λ = 365 nm). The preparative TLC of the synthesized crude products was performed with 2 mm silica gel and fluorescence-indicator-coated glass plates (SIL g 200 UV254) at the scale 20 cm × 20 cm from the same manufacturer (Macherey-Nagel GmbH & Co. KG).
Synthetic strategy of 1 and its precursor. Synthesis of N1,N3,N5-tris[(2,4,6-tri-methylpyridine)silver(I)]-2,4,6-triphenyl-s-triazine trihexafluorophosphate. A total of 10.2 g (0.06 mol, 3 eq.) of silver nitrate and 11.1 g of potassium hexafluorophosphate (~0.06 mol, 3 eq.) were dissolved (partly suspended) in ~200 mL of absolute EtOH at RT under continuous stirring. Subsequently, a solution of 2,4,6-triphenyl-s-triazine (6.2 g, 0.02 mol, 1 eq.) dissolved in ~80 mL of absolute EtOH and a solution of 2,4,6-trimethylpyridine (8 mL, 0.06 mol, 3 eq.) also dissolved in ~80 mL of absolute EtOH were simultaneously and slowly added dropwise to the stirred reaction mixture over a period of about 15 min. After stirring of the resulting exothermic reaction mixture for 1 h at RT, the precipitated solid was filtered using a Buchner funnel, washed with plenty of H2Odd and freeze-dried for 24 h.
In the end, N1,N3,N5-tris[(2,4,6-trimethylpyridine)silver(I)]-2,4,6-triphenyl-s-triazine trihexafluorophosphate (27.2 g, 0.019 mol, 95%) manifested itself as a colorless (to slightly off-white) crystalline solid.
Synthesis of N1,N3,N5-tris[(2,4,6-trimethylpyridine)iodo(I)]-2,4,6-triphenyl-s-triazine trihexafluorophosphate (1). Under inert gas conditions, 27.2 g (0.019 mol, 1 eq.) of N1,N3,N5-tris[(2,4,6-trimethylpyridine)silver(I)]-2,4,6-triphenyl-s-triazine trihexafluorophosphate was suspended in 200 mL of dry DCM at RT under constant stirring. After the addition of 14.5 g (~0.057 mol, 3 eq.) of iodine, the reaction mixture was stirred (for about 2 h) until the iodine was completely consumed. The precipitated silver iodide was filtered using a Buchner funnel and rewashed with 50 mL of dry DCM. The obtained filtrate was concentrated to dryness on a rotary evaporator at a bath temperature limit of 30 °C, and the resulting solid was freeze-dried for 24 h in the darkness. Finally, 1 (25.3 g, 0.017 mol, 89%) could be isolated as a yellowish-brown crystalline solid.
Characterization of 1 and its precursor. N1,N3,N5-tris[(2,4,6-trimethylpyridine)-sil-ver(I)]-2,4,6-triphenyl-s-triazine trihexafluorophosphate: colorless to slightly off-white, crystalline solid; Mp. 218.6 °C; EA calcd. (%) for C45H48Ag3F18N6P3: C 37.76, H 3.38, N 5.87; found: C 37.76, H 3.36, N 5.88; MS (FD, 8 kV) m/z (%) 715.7 (6.5) [M2+] with 107Ag and 14N/14N/14N/14N/14N/14N, 716.3 (3.2) [M2+] with 109Ag and 14N/14N/14N/14N/14N/14N, 1430.5 (100) [M+] with 107Ag and 14N/14N/14N/14N/14N/14N, 1431.5 (10.2) [M+] with 107Ag and 14N/14N/14N/14N/14N/15N, 1432.5 (40.3) [M+] with 109Ag and 14N/14N/14N/14N/14N/14N, 1433.6 (8.3) [M+] with 109Ag and 14N/14N/14N/14N/14N/15N, 2861.2 (27.7) [2M+] with 107Ag and 14N/14N/14N/14N/14N/14N, 2862.9 (5.2) [2M+] with 107Ag and 14N/14N/14N/14N/14N/15N, 2865.0 (16.7) [2M+] with 109Ag and 14N/14N/14N/14N/14N/14N (calcd. for C45H48Ag3F18N6P3: m/z 1431.4 [M+]).
N1,N3,N5-tris[(2,4,6-trimethylpyridine)iodo(I)]-2,4,6-triphenyl-s-triazine trihexafluorophos-phate (1): yellowish-brown crystalline solid; Mp. 136.5 °C; EA calcd. (%) for C45H48F18I3N6P3: C 36.31, H 3.25, N 5.65; found: C 36.30, H 3.26, N 5.66; 1H NMR (400 MHz, THF-d8) δ 8.83–8.79 (m, 6H, o-6ArH, 6H1), 7.64–7.56 (m, 9H, m-6ArH/p-3ArH, 9H2), 6.75 (s, 6H, m-6ArH, 6H3), 2.37 (s, 18H, o-6CH3, 18H4), 2.21 (s, 9H, p-3CH3, 9H5); 13C NMR (101 MHz, THF-d8) δ 172.63 (3C7), 158.13 (6C8), 147.59 (3C9), 137.25 (3C10), 133.44 (3C6), 129.78 (6C2), 129.47 (6C1), 121.32 (6C3), 24.40 (6C4), 20.72 (3C5); IR (KBr) ṽmax 3107, 3087, 3060, 3045, 3010 (=C-H, m-w), 2983, 2954, 2922 (-C-H, s-m), 2870 (-CH3, m), 2854 (-C-H, w), 2769, 2745, 2729, 1912, 1826, 1817, 1774, 1748, 1690 (-C=N, s), 1654, 1611 (-C=C, s), 1590 (ring vibrations, s), 1571, 1523 (-C=C, s), 1500 (ring vibration, s), 1461, 1446, 1411, 1368 (CH3-def., s-m), 1314, 1300, 1220, 1174, 1158, 1146, 1085, 1068, 1028 (=C-N, m), 995, 974, 939, 923, 877, 841, 792, 743, 725 (=C-H-def., s), 683, 643, 616, 602, 591, 532, 517, 482, 467, 433, 427(=C-H-def. and -C-C, m-w); MS (FD, 8 kV) m/z (%) 744.2 (6.5) [M2+] with 14N/14N/14N/14N/14N/14N, 744.8 (3.2) [M2+] with 14N/14N/14N/14N/14N/15N, 1488.5 (100) [M+] with 14N/14N/14N/14N/14N/14N, 1489.4 (9.3) [M+] with 14N/14N/14N/14N/14N/15N, 2976.9 (30.3) [2M+] with 14N/14N/14N/14N/14N/14N, 2979.1 (3.4) [2M+] with 14N/14N/14N/14N/14N/15N (calcd. for C45H48F18I3N6P3: m/z 1488.5 [M+]).
All further synthetic strategies for iodination of all compounds can be found in the Supplementary Material (SM).
3. Results and Discussion
For future electron paramagnetic resonance (EPR) spectroscopy applications in our laboratory [6], we also synthesized the products’ spin-labeled derivatives, e.g., (2R,2S)-1-(isopropylamino)-3-phenoxypropan-2-yl 2,2,6,6-tetramethylpiperidine-1-oxyl-4-carboxylate (Table 1, entry 5) and (2R,2S)-1-(3,5-dimethylphenoxy)-3-(isopropyla-mino)propan-2-yl 2,2,6,6-tetramethylpiperidine-1-oxyl-4-carboxylate (Table 1, entry 6). Using 1, the reaction times were very short (≥5 min) and the iodinated products were obtained in excellent yields (≥95%) under mild reaction conditions (room temperature, RT). Thus, 1 can be seen as an expansion of the possibilities of retroactive iodination of aromatic systems/molecules.
In contrast to the synthesis of 2 [34,35], the synthesis of 1 was performed in two steps using water-free solvents in each reaction step (see Scheme 1).
In the first step, silver nitrate (1 eq.) and potassium hexafluorophosphate (1 eq.) were reacted with 2,4,6-triphenyl-s-triazine (1 equiv.) and 2,4,6-trimethylpyridine (3 eq.) in the presence of absolute ethanol (EtOH) to give N1,N3,N5-tris[(2,4,6-trimethylpyridine)-silver(I)]-2,4,6-triphenyl-s-triazine trihexafluorophosphate within a short amount of time (1 h) with an excellent yield (95%) at RT. In the second step, 1 was synthesized by mixing iodine (3 eq.) with the isolated and freeze-dried argentiferous precursor (1 eq.) in CH2Cl2 for 2 h at RT (see Scheme 1) in the presence of dry dichloromethane (DCM). The resulting yield of the second step was 89% (overall yield 85%). Details on synthesis and characterization are given in the SM.
To test the iodination potential of 1 on selected aromatic substrates (see Table 1), we first used two commercially available phenols, phenol (see Table 1, entry 1) and 3,5-dimethylphenol (see Table 1, entry 2), to achieve triple iodinations. We then tested our iodination reagent on two synthesized ß-sympatholytic agents, (2R,2S)-1-(isopropyl-amino)-3-phenoxypropan-2-ol (see Table 1, entry 3) and (2R,2S)-1-(3,5-dimethylphen-oxy)-3-(isopropylamino)propan-2-ol (see Table 1, entry 4), and their two TEMPO (2,2,6,6-tetramethylpiperidinyl-1-oxyl) spin-labeled derivatives, (2R,2S)-1-(isopropylamino)-3-phenoxypropan-2-yl 2,2,6,6-tetramethylpiperidine-1-oxyl-4-carboxylate (see Table 1, entry 5) and (2R,2S)-1-(3,5-dimethylphenoxy)-3-(isopropylamino)propan-2-yl 2,2,6,6-tetramethylpiperidine-1-oxyl-4-carboxylate (see Table 1, entry 6). Furthermore, the synthetic routes and appropriate characterizations of the two above-mentioned ß-sympatholytic agents and their two TEMPO spin-labeled derivatives are described in detail in the SM.
All reactions (see entries 1–6) give one main product with triple iodination (see entries 1–6) in a short amount of time (5–10 min) with high yields (95–99%) and a specific regioselectivity of each attached (o-, p-, m-) iodine atom under mild reaction conditions (RT). Again, all six products are characterized in detail (see the SM).
Finally, we could show that one eq. of 1 works quickly (5–10 min) at RT in the presence of all the selected substrates using dry CH2Cl2 and in a regioselective manner since the use of one eq. of 1 leads to only one o-, m- and p-triiodinated main product (see Table 1) with very good yields (95–99%). In the previous work of Brunei et al. [35], 2,4,6-triiodo-3,5-dime-thylphenol was easily synthesized with an excellent yield (95%) using three eq. of 2 and dry CH2Cl2 as a solvent under mild reaction conditions (RT, 10 min). Our synthesis of the same modified phenol was achieved in the presence of one eq. of 1 using the same dry solvent under mild reaction conditions (see Table 1, entry 2), with a 99% yield. Yet, we refrain from interpreting the small difference in overall yield as significant, as it could also be due to differences in purification efficiency.
4. Conclusions
In summary, the rapid iodination reagent 1 was successfully synthesized (see Scheme 1 and SM) and was used to synthesize iodinated phenols, including two well-known phenols (see Table 1, entries 1 and 2), 2,4,6-triiodophenol and 2,4,6-triiodo-3,5-dimethylphenol [34,36,37]; two recently developed ß-sympatholytic agents (see Table 1, entries 3 and 4), (2R,2S)-1-(isopropylamino)-3-(2,4,6-triiodophenoxy)propan-2-ol and (2R,2S)-1-(isopropylamino)-3-(2,4,6-triiodo-3,5-dimethylphenoxy)propan-2-ol; and their TEMPO spin-labeled derivatives (see Table 1, entries 5 and 6) [6,38,39], (2R,2S)-3-(isopropylamino)-1-(2,4,6-triiodophenoxy)propan-2-yl 2,2,6,6-tetramethylpiperidine-1-oxyl-4-carboxylate and (2R,2S)-3-(isopropylamino)-1-(2,4,6-triiodo-3,5-dimethylphen-oxy)propan-2-yl 2,2,6,6-tetramethylpiperidine-1-oxyl-4-carboxylate. This proof of principle indicates the broad potential use of 1 in particular for rapid and specific tri-iodination of phenolic compounds in excellent yields at RT.
Supplementary Materials
The following supporting information can be downloaded at: https://www.mdpi.com/article/10.3390/org4020011/s1. Detailed synthetic descriptions including appropriate characterizations of 1 and its argentiferous precursor as well as all compounds synthesized with 1 (Table 1) are given. An extensive characterization using 1H- and 13C-NMR spectroscopy, elemental analysis (EA), melting point determination, infrared (IR) spectroscopy and field desorption (FD) mass spectrometry (MS) is provided.
Author Contributions
Conceptualization, T.H. and D.H.; formal analysis, T.H.; investigation, T.H. and D.H.; resources, D.H.; writing—original draft preparation, T.H. and D.H.; writing—review and editing, D.H.; visualization, T.H.; supervision, D.H.; project administration and funding acquisition, D.H. All authors have read and agreed to the published version of the manuscript.
Funding
This work was financially supported by the Deutsche Forschungsgemeinschaft (DFG) under grant number HI1094/5-1.
Data Availability Statement
The data presented in this study are available in the article and the Supplementary Materials (SMs).
Acknowledgments
The authors thank H. Schimm (MLU) and S. Türk (MPI for Polymer Research, Mainz, Germany) for their technical support in FD mass spectrometry.
Conflicts of Interest
The authors declare no conflict of interest.
References
- Krasnokutskaya, E.A.; Semenischeva, N.I.; Filimonov, V.D.; Knochel, P. A New, One-Step, Effective Protocol for the Iodination of Aromatic and Heterocyclic Compounds via Aprotic Diazotization of Amines. Synthesis 2007, 1, 81–84. [Google Scholar] [CrossRef]
- Hubbard, A.; Okazaki, T.; Laali, K.K. Halo- and Azidodediazoniation of Arenediazonium Tetrafluoroborates with Trimethylsilyl Halides and Trimethylsilyl Azide and Sandmeyer-Type Bromodediazoniation with Cu(I)Br in [BMIM][PF6] Ionic Liquid. J. Org. Chem. 2008, 73, 316–319. [Google Scholar] [CrossRef] [PubMed]
- Filimonov, V.D.; Trusova, M.; Postnikov, P.; Krasnokutskaya, E.A.; Lee, Y.M.; Hwang, H.Y.; Kim, H.; Chi, K.-W. Unusually Stable, Versatile, and Pure Arenediazonium Tosylates: Their Preparation, Structures, and Synthetic Applicability. Org. Lett. 2008, 10, 3961–3964. [Google Scholar] [CrossRef]
- Filimonov, V.D.; Semenischeva, N.I.; Krasnokutskaya, E.A.; Tretyakov, A.N.; Hwang, H.Y.; Chi, K.-W. Sulfonic Acid Based Cation-Exchange Resin: A Novel Proton Source for One-Pot Diazotization-Iodination of Aromatic Amines in Water. Synthesis 2008, 2, 185–187. [Google Scholar] [CrossRef]
- Leas, D.A.; Dong, Y.; Vennerstrom, J.L.; Stack, D.E. One-Pot, Metal-Free Conversion of Anilines to Aryl Bromides and Iodides. Org. Lett. 2017, 19, 2518–2521. [Google Scholar] [CrossRef]
- Hauenschild, T.; Hinderberger, D. A Platform of Phenol-Based Nitroxide Radicals as an “EPR Toolbox” in Supramolecular and Click Chemistry. ChemPlusChem 2019, 84, 43–51. [Google Scholar] [CrossRef] [PubMed]
- Thiebes, C.; Surya Prakash, G.K.; Petasis, N.A.; Olah, G.A. Mild Preparation of Haloarenes by Ipso-Substitution of Arylboronic Acids with N-Halosuccinimides. Synlett 1998, 2, 141–142. [Google Scholar] [CrossRef]
- MacNeil, S.L.; Familoni, O.B.; Snieckus, V. Selective Ortho and Benzylic Functionalization of Secondary and Tertiary p-Tolylsulfonamides. Ipso-Bromo Desilylation and Suzuki Cross-Coupling Reactions. J. Org. Chem. 2001, 66, 3662–3670. [Google Scholar] [CrossRef]
- Klapars, A.; Buchwald, S.L. Copper-Catalyzed Halogen Exchange in Aryl Halides: An Aromatic Finkelstein Reaction. J. Am. Chem. Soc. 2002, 124, 14844–14845. [Google Scholar] [CrossRef]
- Stavber, S.; Kralj, P.; Zupan, M. Progressive Direct Iodination of Sterically Hindered Alkyl Substituted Benzenes. Synthesis 2002, 11, 1513–1518. [Google Scholar] [CrossRef]
- Castanet, A.-S.; Colobert, F.; Broutin, P.-E. Mild and regioselective iodination of electron-rich aromatics with N-iodosuccinimide and catalytic trifluoroacetic acid. Tetrahedron Lett. 2002, 43, 5047–5048. [Google Scholar] [CrossRef]
- Lulinski, P.; Kryska, A.; Sosnowski, M.; Skulski, L. Eco-friendly Oxidative Iodination of Various Arenes with a Urea-Hydrogen Peroxide Adduct (UHP) as the Oxidant [1]. Synthesis 2004, 3, 441–445. [Google Scholar] [CrossRef]
- Iskra, J.; Stavber, S.; Zupan, M. Nonmetal-Catalyzed Iodination of Arenes with Iodide and Hydrogen Peroxide. Synthesis 2004, 11, 1869–1873. [Google Scholar] [CrossRef]
- Prakash, G.K.S.; Mathew, T.; Hoole, D.; Esteves, P.M.; Wang, Q.; Rasul, G.; Olah, G.A. N-Halosuccinimide/BF3−H2O, Efficient Electrophilic Halogenating Systems for Aromatics. J. Am. Chem. Soc. 2004, 126, 15770–15776. [Google Scholar] [CrossRef]
- Sedelmeier, J.; Bolm, C. Efficient Copper-Catalyzed N-Arylation of Sulfoximines with Aryl Iodides and Aryl Bromides. J. Org. Chem. 2005, 70, 6904–6906. [Google Scholar] [CrossRef] [PubMed]
- Kalyani, D.; Dick, A.R.; Anani, W.Q.; Sanford, M.S. A Simple Catalytic Method for the Regioselective Halogenation of Arenes. Org. Lett. 2006, 8, 2523–2526. [Google Scholar] [CrossRef]
- Kraszkiewicz, L.; Sosnowski, M.; Skulski, L. Oxidative Iodination of Deactivated Arenes in Concentrated Sulfuric Acid with I2/NaIO4 and KI/NaIO4 Iodinating Systems. Synthesis 2006, 7, 1195–1199. [Google Scholar]
- Ganguly, N.C.; Barik, S.K.; Dutta, S. Ecofriendly Iodination of Activated Aromatics and Coumarins Using Potassium Iodide and Ammonium Peroxodisulfate. Synthesis 2010, 9, 1467–1472. [Google Scholar] [CrossRef]
- Qiu, D.; Mo, F.; Zheng, Z.; Zhang, Y.; Wang, J. Gold(III)-Catalyzed Halogenation of Aromatic Boronates with N-Halosuccinimides. Org. Lett. 2010, 12, 5474–5477. [Google Scholar] [CrossRef]
- Gallo, R.D.C.; Gebara, K.S.; Muzzi, R.M.; Raminelli, C. Efficient and selective iodination of phenols promoted by iodine and hydrogen peroxide in water. Braz. J. Chem. Soc. 2010, 21, 770–774. [Google Scholar] [CrossRef]
- Rodríguez-Lojo, D.; Cobas, A.; Peña, D.; Pérez, D.; Guitián, E. Aryne Insertion into I–I σ-Bonds. Org. Lett. 2012, 14, 1363–1365. [Google Scholar] [CrossRef]
- Jakab, G.; Hosseini, A.; Hausmann, H.; Schreiner, P.R. Mild and Selective Organocatalytic Iodination of Activated Aromatic Compounds. Synthesis 2013, 45, 1635–1640. [Google Scholar]
- Du, B.; Jiang, X.; Sun, P. Palladium-Catalyzed Highly Selective ortho-Halogenation (I, Br, Cl) of Arylnitriles via sp2 C–H Bond Activation Using Cyano as Directing Group. J. Org. Chem. 2013, 78, 2786–2791. [Google Scholar] [CrossRef]
- Partridge, B.M.; Hartwig, J.F. Sterically Controlled Iodination of Arenes via Iridium-Catalyzed C–H Borylation. Org. Lett. 2013, 15, 140–143. [Google Scholar] [CrossRef] [PubMed]
- Niu, L.; Zhang, H.; Yang, H.; Fu, H. Metal-Free Iodination of Arylboronic Acids and the Synthesis of Biaryl Derivatives. Synlett 2014, 25, 995–1000. [Google Scholar]
- Leboeuf, D.; Ciesielsk, J.; Frontier, A.J. Gold(I)-Catalyzed Iodination of Arenes. Synlett 2014, 25, 399–402. [Google Scholar] [CrossRef]
- Song, S.; Sun, X.; Li, X.; Yuan, Y.; Jiao, N. Efficient and Practical Oxidative Bromination and Iodination of Arenes and Heteroarenes with DMSO and Hydrogen Halide: A Mild Protocol for Late-Stage Functionalization. Org. Lett. 2015, 17, 2886–2889. [Google Scholar] [CrossRef]
- Chen, J.; Xiong, X.; Chen, Z.; Huang, J. Imidazolium Salt Catalyzed para-Selective Halogenation of Electron-Rich Arenes. Synlett 2015, 26, 2831–2834. [Google Scholar]
- Li, L.; Liu, W.; Zeng, H.; Mu, X.; Cosa, G.; Mi, Z.; Li, C.-J. Photo-induced Metal-Catalyst-Free Aromatic Finkelstein Reaction. J. Am. Chem. Soc. 2015, 137, 8328–8331. [Google Scholar] [CrossRef]
- Racys, D.T.; Warrilow, C.E.; Pimlott, S.L.; Sutherland, A. Highly Regioselective Iodination of Arenes via Iron(III)-Catalyzed Activation of N-Iodosuccinimide. Org. Lett. 2015, 17, 4782–4785. [Google Scholar]
- Racys, D.T.; Sharif, S.A.I.; Pimlott, S.L.; Sutherland, A. Silver(I)-Catalyzed Iodination of Arenes: Tuning the Lewis Acidity of N-Iodosuccinimide Activation. J. Org. Chem. 2016, 81, 772–780. [Google Scholar] [CrossRef]
- Fu, Z.; Li, Z.; Song, Y.; Yang, R.; Liu, Y.; Cai, H. Decarboxylative Halogenation and Cyanation of Electron-Deficient Aryl Carboxylic Acids via Cu Mediator as Well as Electron-Rich Ones through Pd Catalyst under Aerobic Conditions. J. Org. Chem. 2016, 81, 2794–2803. [Google Scholar] [CrossRef]
- Ajvazi, N.; Stavber, S. Electrophilic Iodination of Organic Compounds Using Elemental Iodine or Iodides: Recent Advances 2008–2021: Part I. Compounds 2022, 2, 3–24. [Google Scholar] [CrossRef]
- Brunei, Y.; Rousseau, G. Iodination of phenols and anilines with bis(sym-collidine)iodine(I) hexafluorophosphate. Tetrahedron Lett. 1995, 36, 8217–8220. [Google Scholar] [CrossRef]
- Homsi, F.; Robin, S.; Rousseau, G.; Patterson, S.; Hart, D.J. Preparation of Bis(2,4,6-Trimethylpyridine)Iodine(I) Hexafluorophosphate and Bis(2,4,6-Trimethylpyridine) Bromine(I) Hexafluorophosphate. Org. Synth. 2000, 77, 206–211. [Google Scholar]
- Rosenthaler, L.; Capuano, L. Process for preparing and therapeutical applications of the 2,4,6-triiodophenol. Pharm. Acta Helv. 1946, 21, 225–228. [Google Scholar] [PubMed]
- Emmanuvel, L.; Shukla, R.K.; Sudalai, A.; Gurunath, S.; Sivaram, S. NaIO4/KI/NaCl: A new reagent system for iodination of activated aromatics through in situ generation of iodine monochloride. Tetrahedron Lett. 2006, 47, 4793–4796. [Google Scholar] [CrossRef]
- Hauenschild, T.; Reichenwallner, J.; Enkelmann, V.; Hinderberger, D. Characterizing Active Pharmaceutical Ingredient Binding to Human Serum Albumin by Spin-Labeling and EPR Spectroscopy. Chem. Eur. J. 2016, 22, 12825–12838. [Google Scholar] [CrossRef]
- Sultani, H.N.; Haeri, H.H.; Hinderberger, D.; Westermann, B. Spin-labelled diketopiperazines and peptide–peptoid chimera by Ugi-multi-component-reactions. Org. Biomol. Chem. 2016, 14, 11336–11341. [Google Scholar] [CrossRef]
Disclaimer/Publisher’s Note: The statements, opinions and data contained in all publications are solely those of the individual author(s) and contributor(s) and not of MDPI and/or the editor(s). MDPI and/or the editor(s) disclaim responsibility for any injury to people or property resulting from any ideas, methods, instructions or products referred to in the content. |
© 2023 by the authors. Licensee MDPI, Basel, Switzerland. This article is an open access article distributed under the terms and conditions of the Creative Commons Attribution (CC BY) license (https://creativecommons.org/licenses/by/4.0/).













