Abstract
This study investigates the energy performance of paraffin-based hybrid fuels enhanced with potassium nitrate (KNO3), ammonium nitrate (NH4NO3), aluminum (Al), titanium (Ti), and stearic acid additives. The fuels were evaluated using thermochemical calculations via ProPEP3 Version 1.0.3.0 software, revealing significant improvements in specific impulse (Isp) and combustion temperature. While formulations with nitrates and aluminum exhibited noticeable increases in combustion efficiency and thermal output, titanium-containing mixtures provided moderate improvements. Stearic acid improved fuel processability and provided a stable burning profile without significant energy penalties. These findings demonstrate that suitable combinations of additives can substantially improve the energy output of paraffin-based hybrid fuels, making them more viable for aerospace propulsion applications.
1. Introduction
Modern space launch vehicles often rely on solid propellants during one or more of their stages, with the majority using formulations based on ammonium perchlorate (AP, NH4Cl4O), frequently combined with aluminum powder. The emission of hazardous chlorinated combustion products originates from the decomposition of ammonium perchlorate (AP), regardless of the presence of aluminum [1,2]. In response, research efforts are increasingly focused on identifying environmentally friendlier propellant alternatives that maintain comparable performance characteristics [3]. For example, the former flagship launcher of the European Space Agency, Ariane-5, burned 476 tons of composite solid propellant per launch, releasing 270 tons of concentrated hydrochloric acid [4,5]. Similarly, the solid boosters of the former, now-retired U.S. Space Shuttle used around 1000 tons of AP-based propellant, yielding approximately 60 tons of hydrochloric acid after complete combustion [4,6].
Hybrid rocket propulsion has emerged as a viable alternative primarily due to its inherent advantages—such as improved safety, throttling capability, and simpler engine design—while the elimination of hazardous emissions like hydrochloric acid is considered an additional environmental benefit [7,8,9,10]. Paraffin wax, in particular, has gained attention due to its high regression rate, clean combustion, and ease of processing [11,12,13]. However, efforts to improve its overall performance continue, especially in enhancing its thermal efficiency and combustion behavior through additive incorporation.
While paraffin’s mechanical limitations—such as shrinkage during solidification or brittleness—can affect fuel grain integrity [14,15], these aspects are secondary to the present study’s focus. Therefore, only brief consideration is given to structural issues, such as crack formation or additive-induced reinforcement, when they intersect with combustion performance. For instance, although additives like aluminum, boron, and carbon black have been explored to improve both combustion efficiency and, in some cases, structural properties [16,17,18], the primary aim remains to increase regression rate, combustion temperature, and specific impulse. Prior work by Y. Pa et al. [19] also demonstrated that polymeric and metallic additives enhance oxidation and heat release, underlining the potential of such materials in boosting energetic output.
Improving the performance of hybrid rockets requires continued development of such additives, especially since hybrids generally offer lower performance than liquid propulsion systems. Aluminum has shown promising results, particularly in reinforcing mechanical integrity [20]. However, elevated temperatures reduce mechanical strength, and paraffin has shown marked sensitivity to strain rate, emphasizing the need for dynamic mechanical characterization [21]. Boron, while more difficult to ignite, offers higher volumetric energy than aluminum and has also been considered to enhance regression [22]. Metal hydrides like magnesium hydride (MgH2) and lithium aluminum hydride (LiAlH4) are also under study for boosting regression rates [23]. Another line of research involving magnesium diboride (MgB2) and carbon black (CB) showed significant improvements in both strength and thermal stability. Regression rates increased by 32% (CB) and 52% (MgB2) over pure paraffin, with characteristic velocity efficiencies between 68% and 79% across O/F ratios from 1.5 to 2.6 [24].
A recent study explored the incorporation of stearic acid into paraffin-based fuels, aiming to simultaneously enhance energetic and structural performance [25]. Although stearic acid is not an energetic component, it can contribute to improved mechanical cohesion and reduced brittleness of the paraffin matrix, especially under sub-zero conditions. This new formulation—based on paraffin, stearic acid, and charcoal—demonstrated significantly improved mechanical properties (tensile, compressive, and flexural strength) at both ambient and sub-zero temperatures (−21 °C). Static firing tests and ProPEP [25] simulations confirmed that the maximum specific impulse occurs around an oxidizer-to-fuel (O/F) ratio of 2.2, with only minor differences between standard and modified fuels. Additionally, combustion tests showed no emission of hazardous substances such as chlorine or ammonia, validating the environmental promise of this alternative fuel for low-temperature aerospace applications.
In general, paraffin is often enhanced with additives to improve mechanical characteristics such as dimensional stability and crack resistance.
This work provides new insights by systematically analyzing a wider range of both conventional (e.g., KNO3, NH4NO3, Al) and less commonly addressed additives (e.g., Ti, stearic acid) using ProPEP3 thermochemical modeling [26]. Unlike prior studies, our analysis directly compares the thermal performance and specific impulse potential across these combinations under identical conditions, allowing for a clear evaluation of relative energetic gains. Furthermore, this study highlights the neutral energetic role yet mechanical relevance of certain additives such as stearic acid—an aspect often omitted in previous computational works. We have revised the Introduction and Conclusions sections to better emphasize these contributions and distinguish our study from existing literature.
However, the current study focuses solely on the effects of such additives on energetic performance. Five additives—potassium nitrate (KNO3), ammonium nitrate (NH4NO3), aluminum (Al), titanium (Ti), and stearic acid—were examined at concentrations of 8%, 15%, and 25%. Numerical simulations were performed using ProPEP3 software to assess specific impulse, combustion temperature, and emissions of CO and CO2. All formulations maintained a constant base composition of paraffin with 2% oak charcoal.
2. Materials and Methods
2.1. Fuel Composition and Mixture Formulation
The base fuel used in this study was commercial paraffin (Ecoisan), to which a constant 2% by mass of oak charcoal was added in all formulations, in accordance with the literature [25]. The inclusion of charcoal aimed to increase the regression rate of the fuel and improve combustion stability, while also serving as an additional source of reactive carbon. On top of this constant base, variable proportions (8%, 15%, and 25%) of one of the following additives were incorporated: potassium nitrate (KNO3), ammonium nitrate (NH4NO3), aluminum powder (Al), titanium powder (Ti), and stearic acid.
Each formulation was normalized to a total of 100 g of fuel, with the paraffin content adjusted accordingly to account for the additive percentage, while maintaining the charcoal content at a constant 2%. This approach ensured fair and consistent comparisons across all simulated mixtures.
2.2. Numerical Simulation Method
The thermochemical analysis was performed using the Propellant Evaluation Program (ProPEP3), a well-established chemical equilibrium code widely employed for theoretical performance estimation of rocket propellants. Simulations were conducted under standardized conditions, based on the following assumptions and settings:
- Ingredient Input: The components of each mixture were input into the software by mass percentages, summing up to 100 g per simulation.
- Physicochemical Properties: The program utilizes predefined values for chemical formulas, heats of formation, and densities of each ingredient, in accordance with standard thermodynamic databases.
- Initial Temperature: The initial temperature of all ingredients was set to the default value of 298 K (25 °C).
- Chamber and Exit Pressure: The combustion chamber pressure was fixed at 1 MPa (147 PSI), and the nozzle exit pressure at 0.101 MPa (14.7 PSI), corresponding to standard sea-level conditions.
ProPEP3 performs calculations based on a set of idealized assumptions that model the combustion and expansion processes within a rocket engine:
- The flow is assumed to be one-dimensional and steady, satisfying conservation equations for mass, momentum, and energy.
- The flow velocity at the nozzle inlet is zero, implying that expansion occurs solely within the nozzle.
- Combustion is assumed to be complete and adiabatic, with no heat losses and full consumption of reactants.
- Expansion through the nozzle is isentropic, with no dissipation or frictional losses.
These idealized conditions allowed for a systematic assessment of the individual contributions of each additive to the overall performance of hybrid fuels.
- Specifically, potassium nitrate (KNO3) and ammonium nitrate (NH4NO3) were incorporated as oxidizing agents to enhance combustion completeness and reduce harmful emissions such as carbon monoxide.
- Metallic powders, such as aluminum and titanium, were selected for their high energy density and their capacity to raise combustion temperatures, thereby increasing thermal efficiency.
- Additionally, stearic acid—a carbon- and hydrogen-rich compound—was examined to evaluate the potential role of hydrocarbon-based additives in improving the ignition and burning characteristics of paraffin-based fuels.
2.3. Physicochemical and Energetic Properties of the Components and Justification for Their Selection
For the thermodynamic evaluation of paraffin-based hybrid fuel mixtures, six components with distinct roles in the combustion process were used: hydrocarbon fuels (paraffin (Ecoisan), stearic acid), inorganic oxidizers (KNO3, NH4NO3), and high-energy metallic additives (Al and Ti powders). The physicochemical and energetic properties of these substances determine their combustion behavior and directly influence the propulsive performance of the system.
Ecoisan paraffin, used as the base fuel, is a mixture of long-chain alkanes (general formula CnH2n+2), with a density of approximately 0.9 g/cm3 and a high calorific value of around 43 MJ/kg. It is characterized by a low melting point (~60 °C) and a waxy behavior, making it suitable for casting and shaping. During combustion, it primarily produces CO2 and H2O, having a high carbon content but no inherent oxygen supply.
Potassium nitrate (KNO3) is a conventional oxidizer with a high density (2.11 g/cm3) and strong thermal stability (decomposition point >400 °C). Upon decomposition, it releases oxygen that supports complete hydrocarbon oxidation while generating nitrogen oxides (NO2) and potassium oxide (K2O). Although it does not contribute chemical energy, it plays a key role in clean combustion.
Ammonium nitrate (NH4NO3) is another effective oxidizer, with a lower density (1.725 g/cm3) and a less stable thermal profile, decomposing around 210 °C. It releases oxygen, nitrogen, and water vapor. While it does not directly contribute to chemical energy, it facilitates carbon oxidation and helps reduce CO emissions. Due to its sensitivity to humidity and temperature, it is considered less stable than KNO3.
Aluminum powder is the most energetic additive among those analyzed, with an oxidation heat of approximately 31 MJ/kg. With a density of 2.70 g/cm3 and a melting point of 660 °C, finely divided aluminum reacts violently in the presence of oxygen, forming Al2O3—a solid inert product that does not contribute to gas expansion but significantly increases combustion temperature.
Titanium powder (Ti), with a high density (4.51 g/cm3) and a high melting point (1668 °C), is a less reactive but more thermally stable energetic metal compared to aluminum. During oxidation, it forms TiO2, another solid oxide, but with a higher molar mass, which may penalize the specific impulse. Its oxidation energy is around 19 MJ/kg, making it less thermally efficient than aluminum but preferable in applications where combustion cleanliness and thermal stability are critical.
Stearic acid (C18H36O2) is a saturated fatty acid with a high calorific value (~39 MJ/kg), and a high content of carbon and hydrogen, behaving similarly to paraffin. It is a waxy solid with low density (0.85 g/cm3) and a melting point around 69 °C, physically and chemically compatible with paraffin. It does not supply oxygen but can slightly alter the combustion properties and texture of the fuel mixture.
In conclusion, the combustion behavior of each substance is governed by a combination of its energetic potential, oxygen content, thermal stability, and density. Oxidizers such as KNO3 and NH4NO3 promote complete combustion and reduce CO emissions, while metals like Al and Ti provide additional energy but generate solid by-products. Paraffin and stearic acid, as hydrocarbon-based fuels, represent the main source of chemical energy and offer advantages in handling and compatibility.
A summary of the most important properties of the above-mentioned substances is presented in Table 1.
Table 1.
Properties of the materials used in the study.
Paraffin and stearic acid provide a high carbon content and energy (43 MJ/kg and 39 MJ/kg, respectively), but they do not contribute oxygen to the reaction.
KNO3 and NH4NO3 are effective oxidizers, supplying oxygen to the system, but they do not have intrinsic calorific value.
Aluminum and titanium do not contain carbon and do not provide oxygen; however, they release significant energy upon oxidation and produce solid oxides (Al2O3 and TiO2). Titanium has the highest density (4.51 g/cm3), which negatively affects the specific impulse despite its favorable oxidation behavior.
3. Results and Discussion
For each additive, three concentrations (8%, 15%, and 25%) were simulated, and from the ProPEP3-generated results, the maximum values of specific impulse, combustion temperature, and CO and CO2 emissions were extracted and subsequently used for comparative analysis.
Figure 1 presents the variation of specific impulse as a function of the oxidizer-to-fuel ratio for pure paraffin and paraffin with 8% additions of KNO3, NH4NO3, Al, Ti, and stearic acid.
Figure 1.
Variation of specific impulse as a function of oxidizer-to-fuel (O/F) ratio, obtained through simulations using the ProPEP Version 1.0.3.0 software for pure paraffin and paraffin with 8% additions of KNO3, NH4NO3, Al, Ti, and stearic acid.
Figure 1 illustrates the variation of specific impulse (Isp, in seconds) as a function of the oxidizer-to-fuel ratio (O/F) for pure paraffin and paraffin doped with 8% KNO3, NH4NO3, Al, Ti, and stearic acid. The results were obtained using ProPEP simulations at a chamber pressure of 10 bar. The curves follow a typical trend observed in fuel–oxidizer systems: the specific impulse increases rapidly with O/F, reaches a maximum around O/F ≈ 2.0–2.2, and then gradually declines due to more diluted combustion.
The maximum specific impulse is achieved with paraffin containing 8% Al, reaching approximately 227 s, followed by pure paraffin (≈226 s) and the formulation with stearic acid (≈225 s). Metal-based formulations exhibit slightly superior performance due to the high energetic contribution of metal oxidation. In contrast, the formulations with KNO3 and NH4NO3 yield lower maximum impulse values of ≈219 s (NH4NO3) and ≈216 s (KNO3), indicating a less thermally efficient combustion process and potential energy dilution effects.
For O/F ratios greater than 4.5, all curves converge toward lower Isp values, gradually decreasing to ≈180 s at O/F = 10, emphasizing the negative impact of oxidizer excess on propulsive efficiency.
Overall, the results show that metallic additives (particularly aluminum) offer the most substantial improvement in specific impulse, while oxidizing additives tend to reduce energetic performance despite potential advantages in safety or handling. Stearic acid shows a neutral to slightly positive effect, making it a suitable candidate for thermally balanced formulations.
Figure 2 presents the variation of combustion temperature as a function of the oxidizer-to-fuel ratio for pure paraffin and paraffin with 8% additions of KNO3, NH4NO3, Al, Ti, and stearic acid.
Figure 2.
Variation of combustion temperature as a function of oxidizer-to-fuel ratio, obtained through ProPEP Version 1.0.3.0 software simulations for pure paraffin and paraffin with 8% additions of KNO3, NH4NO3, Al, Ti, and stearic acid.
Figure 2 shows the variation of combustion temperature (T) as a function of the oxidizer-to-fuel (O/F) ratio for pure paraffin and paraffin with 8% additions of KNO3, NH4NO3, Al, Ti, and stearic acid, simulated using ProPEP at a chamber pressure of 10 bar. All curves display a similar trend, with a sharp increase in temperature up to a local maximum, followed by a gradual decline at higher O/F ratios, reflecting the balance between complete oxidation and energy dilution.
The peak combustion temperatures range from 3400–3500 K for most formulations, with slightly higher maxima for paraffin with aluminum (≈3510 K) and with titanium (≈3480 K). These values confirm the highly exothermic nature of metal oxidation reactions, which contribute to the thermal efficiency of the system. Pure paraffin and stearic acid exhibit comparable peak temperatures (≈3440–3460 K), indicating good thermochemical compatibility between the two components.
Formulations containing KNO3 and NH4NO3 show the lowest peak temperatures, particularly KNO3 (≈3380 K), suggesting weaker thermal transfer, possibly due to the higher heat capacities of combustion products or the excessive presence of solid oxidizers that reduce temperature through dilution effects.
For O/F > 3.5, all curves progressively fall below 3200 K, emphasizing that excess oxidizer leads to a reduction in combustion temperature by dissipating thermal energy into inert combustion products.
Figure 3 presents the variation in CO emissions as a function of the oxidizer-to-fuel ratio for pure paraffin and paraffin with 8% additions of KNO3, NH4NO3, Al, Ti, and stearic acid.
Figure 3.
Variation of CO quantity per 100 g of fuel as a function of the oxidizer-to-fuel ratio, obtained through ProPEP Version 1.0.3.0 software simulations for pure paraffin and paraffin with 8% additions of KNO3, NH4NO3, Al, Ti, and stearic acid.
Figure 3 presents the variation in the amount of carbon monoxide (CO), expressed in grams per 100 g of fuel, as a function of the oxidizer-to-fuel (O/F) ratio for pure paraffin and paraffin with 8% additions of KNO3, NH4NO3, Al, Ti, and stearic acid. The simulations were performed using ProPEP at a chamber pressure of 10 bar.
For all formulations, the curves follow the same general trend: an initial increase in CO production with increasing O/F, followed by a sharp decrease beyond O/F ≈ 2.2–2.5 as the system moves away from the incomplete combustion regime. The maximum CO values in this range are approximately: ≈180 g CO/100 g fuel for paraffin + stearic acid; ≈175 g for pure paraffin; ≈170–172 g for paraffin with Al and Ti; ≈165 g for KNO3; and ≈160 g for NH4NO3, which shows the lowest CO emissions in the peak zone.
The decline in CO production for O/F > 3 reflects efficient carbon oxidation under oxidizer-rich conditions, significantly reducing the formation of incomplete gaseous products. Thus, at O/F ≈ 8–10, all formulations converge to values below 20 g CO/100 g fuel, indicating near-complete combustion.
Among the tested formulations, those with NH4NO3 and KNO3 stand out for producing the lowest CO emissions under oxidizer-rich conditions, while those with stearic acid and aluminum tend to generate the highest CO amounts under fuel-rich regimes, likely due to incomplete oxidation sequences or preferential thermal decomposition reactions.
Figure 4 presents the variation of CO2 quantity as a function of the oxidizer-to-fuel ratio for pure paraffin and paraffin with 8% additions of KNO3, NH4NO3, Al, Ti, and stearic acid.
Figure 4.
Variation of CO2 quantity per 100 g of fuel as a function of oxidizer-to-fuel ratio, obtained through ProPEP Version 1.0.3.0 software simulations for pure paraffin and paraffin with 8% additions of KNO3, NH4NO3, Al, Ti, and stearic acid.
Figure 4 illustrates the variation in carbon dioxide (CO2) emissions, expressed in grams per 100 g of fuel, as a function of the oxidizer-to-fuel (O/F) ratio for pure paraffin and paraffin with 8% additions of KNO3, NH4NO3, Al, Ti, and stearic acid, simulated using ProPEP at a chamber pressure of 10 bar.
All curves show a progressive increase in CO2 emissions with increasing O/F ratio, reflecting a more complete oxidation of carbon as the oxidizer becomes more abundant. The values rise from approximately 30–40 g CO2 at O/F = 1 to about 260–280 g CO2 at O/F = 10.
The highest CO2 emissions are recorded for paraffin with stearic acid (≈280 g CO2 at O/F = 10), indicating complete and efficient combustion of carbon-rich organic components. This formulation produces on average 10–15 g more CO2 than pure paraffin in the upper O/F range. Paraffin with metallic additives (Al, Ti) results in slightly lower values (~260–265 g), due to a reduced total carbon content in the fuel. Formulations containing KNO3 and NH4NO3 show intermediate values (~250–255 g), suggesting a lower energetic contribution and slightly less effective carbon oxidation.
The results from Figure 4 highlight that CO2 emissions are directly correlated with the extent of carbon oxidation. Fuels containing organic additives (e.g., stearic acid) generate the highest CO2 levels under oxidizer-rich conditions, whereas metallic additives and inorganic oxidizers slightly reduce these emissions. These findings are relevant when analyzing the trade-off between energetic performance and environmental impact, especially for applications where minimizing pollutant emissions is a priority.
- 1.
- Specific Impulse—Figure 1
Specific impulse (Isp), expressed in seconds, is the main indicator of chemical propulsion efficiency. Maximum values occur near O/F ≈ 2.1, where all formulations achieve optimal balance between oxidizer availability and fuel quantity.
- Paraffin with 8% Al yields the highest Isp: ≈227 s, followed by pure paraffin and the stearic acid formulation (226–225 s).
- Formulations with KNO3 and NH4NO3 show lower values: ≈219 s and ≈216 s, respectively, indicating reduced thermal conversion efficiency and the limited energetic contribution of inorganic oxidizers. Metallic additives enhance propulsive performance, while oxidizing additives tend to reduce overall efficiency.
- 2.
- Combustion Temperature—Figure 2
Combustion temperature reflects the energetic potential of the mixture and directly impacts thermodynamic cycle efficiency and conversion to impulse.
- All curves peak within the O/F range of ≈2.2–2.4, with maximum temperatures between 3380 K and 3510 K.
- Paraffin with 8% Al achieves the highest temperature (≈3510 K), confirming its pyrotechnic and exothermic characteristics.
- Oxidizer-based formulations (KNO3, NH4NO3) reach lower peak temperatures, particularly KNO3 (≈3380 K), due to the higher heat capacity of combustion products or oxidizer–fuel imbalance. Metallic formulations enable hotter flames, which correlates well with the increase in specific impulse observed in Figure 1.
- 3.
- Carbon Monoxide (CO) Emissions—Figure 3
- CO quantity indicates the degree of incomplete combustion and reflects oxidative process efficiency. CO is a major pollutant and a sign of energy loss due to partial combustion.
- Peak values occur around O/F ≈ 2.2–2.5, ranging between 160 g and 180 g CO per 100 g fuel.
- Stearic acid and pure paraffin yield the highest values (≈180 g and ≈175 g CO), suggesting a tendency toward incomplete combustion under fuel-rich conditions.
- The lowest emissions are recorded for NH4NO3 (≈160 g), followed by KNO3, due to the strong oxidative capabilities of these additives. Oxidizing additives reduce CO emissions at the cost of energetic performance; metallic and organic compounds may increase emissions in under-oxidized regimes.
- 4.
- Carbon Dioxide (CO2) Emissions—Figure 4
CO2 is a product of complete carbon oxidation and serves as an indirect indicator of combustion efficiency, though it is also a greenhouse gas with ecological significance.
- Values increase steadily with O/F, reaching ≈260–280 g CO2 per 100 g fuel at O/F = 10.
- Stearic acid leads to the highest CO2 emissions (≈280 g), due to its high carbon content and efficient oxidation.
- Formulations with Al and Ti produce the lowest amounts (≈260–265 g), reflecting the non-carbon-based energetic contribution of metals.
- Inorganic oxidizers (KNO3, NH4NO3) show intermediate values (~250–255 g). There is a direct correlation between oxidation level and CO2 quantity. Organic compounds favor CO2 formation, whereas metals and oxidizers reduce emissions through alternative energetic pathways.
For high-performance applications: Formulations with aluminum or titanium offer the best results in terms of specific impulse and combustion temperature but require careful control of CO emissions.
For environmentally friendly or low-CO emission applications: Ammonium nitrate (NH4NO3) is the cleanest additive, although it entails a significant compromise in specific impulse.
For balanced hybrid or commercial applications: Stearic acid is an effective choice for complete combustion and thermal stability, with minimal performance penalties.
In the following section, the effects of increased additive concentrations—15% and 25%—are analyzed for each compound.
Figure 5 presents the influence of thermodynamic and environmental parameters as a function of KNO3 concentration.

Figure 5.
Variation of specific impulse (a), combustion temperature (b), CO emissions (c), and CO2 emissions (d) as a function of the oxidizer-to-fuel ratio, obtained through ProPEP Version 1.0.3.0 software simulations for pure paraffin and paraffin with 8%, 15%, and 25% KNO3.
ProPEP simulations highlight a clear trend in the propulsive and environmental behavior of paraffin as a function of the mass percentage of added KNO3 (8%, 15%, 25%). Increasing the proportion of solid oxidizer results in a gradual decrease in specific impulse and peak combustion temperature, accompanied by a significant reduction in carbon monoxide emissions and an increase in carbon dioxide emissions—indicating increasingly complete combustion, albeit with reduced energetic efficiency.
The maxima for both specific impulse and combustion temperature occur in the range of O/F ≈ 2.1–2.3, slightly shifting leftward as the KNO3 content increases (e.g., at 25% KNO3, the peak is closer to O/F ≈ 2.0). CO emissions display a local peak around O/F ≈ 2.2, followed by a sharp decline with increasing O/F ratio. In contrast, CO2 emissions rise almost monotonically with O/F and reach their highest values around O/F = 10, where combustion is nearly complete.
An increase in KNO3 content from 8% to 25% leads to a reduction in specific impulse of approximately 13 s and a decrease in combustion temperature by over 200 K. At the same time, CO emissions drop by nearly 30%, while CO2 emissions increase by about 15 g per 100 g of fuel. These results suggest that low concentrations of KNO3 may be beneficial for combustion control and emission reduction, whereas high concentrations significantly penalize performance.
Summary of thermodynamic and environmental parameter evolution as a function of KNO3 content is presented in Table 3.
Table 3.
Summary of thermodynamic and environmental parameter evolution as a function of KNO3 content.
Moderate additive levels (≤15%) offer a reasonable balance between emission reduction and performance retention; however, high oxidizer concentrations (>20%) severely compromise propulsive efficiency. The optimal percentage of KNO3 should be selected based on the intended application—whether prioritizing maximum performance or minimum emissions.
Figure 6 presents the influence of thermodynamic and environmental parameters as a function of NH4NO3 content.

Figure 6.
Variation of specific impulse (a), combustion temperature (b), CO emissions (c), and CO2 emissions (d) as a function of the oxidizer-to-fuel ratio, obtained through ProPEP Version 1.0.3.0 software simulations for pure paraffin and paraffin with 8%, 15%, and 25% NH4NO3.
Figure 6 illustrates the impact of increasing NH4NO3 content on key combustion parameters: specific impulse, combustion temperature, CO emissions, and CO2 emissions. Similar to the KNO3 additive case, a clear decline in energetic performance is observed alongside improved combustion cleanliness as the proportion of oxidizer increases.
The maxima for specific impulse and combustion temperature occur at O/F ≈ 2.1–2.3, with a slight shift toward lower O/F values for higher NH4NO3 concentrations. CO emissions peak around O/F ≈ 2.2 and then drop sharply, while CO2 emissions rise continuously up to O/F = 10.
Increasing the NH4NO3 content from 8% to 25% leads to a decrease in specific impulse of approximately 13 s, a drop in peak combustion temperature of about 240 K, a significant reduction in CO emissions by nearly 40 g, and a moderate increase in CO2 emissions by ~15 g per 100 g of fuel.
Table 4 summarizes the evolution of thermodynamic and environmental parameters as a function of NH4NO3 content.
Table 4.
Summary of thermodynamic and environmental parameter evolution as a function NH4NO3 content.
Similar to KNO3, NH4NO3 acts as a secondary oxidizer, but it demonstrates slightly greater efficiency in reducing CO emissions, even at moderate concentrations. However, increasing its concentration negatively impacts propulsive performance. Additive levels from 8–15% offer a favorable compromise between efficiency and emission control, while a 25% NH4NO3 content leads to a reduction in specific impulse without providing additional proportional benefits.
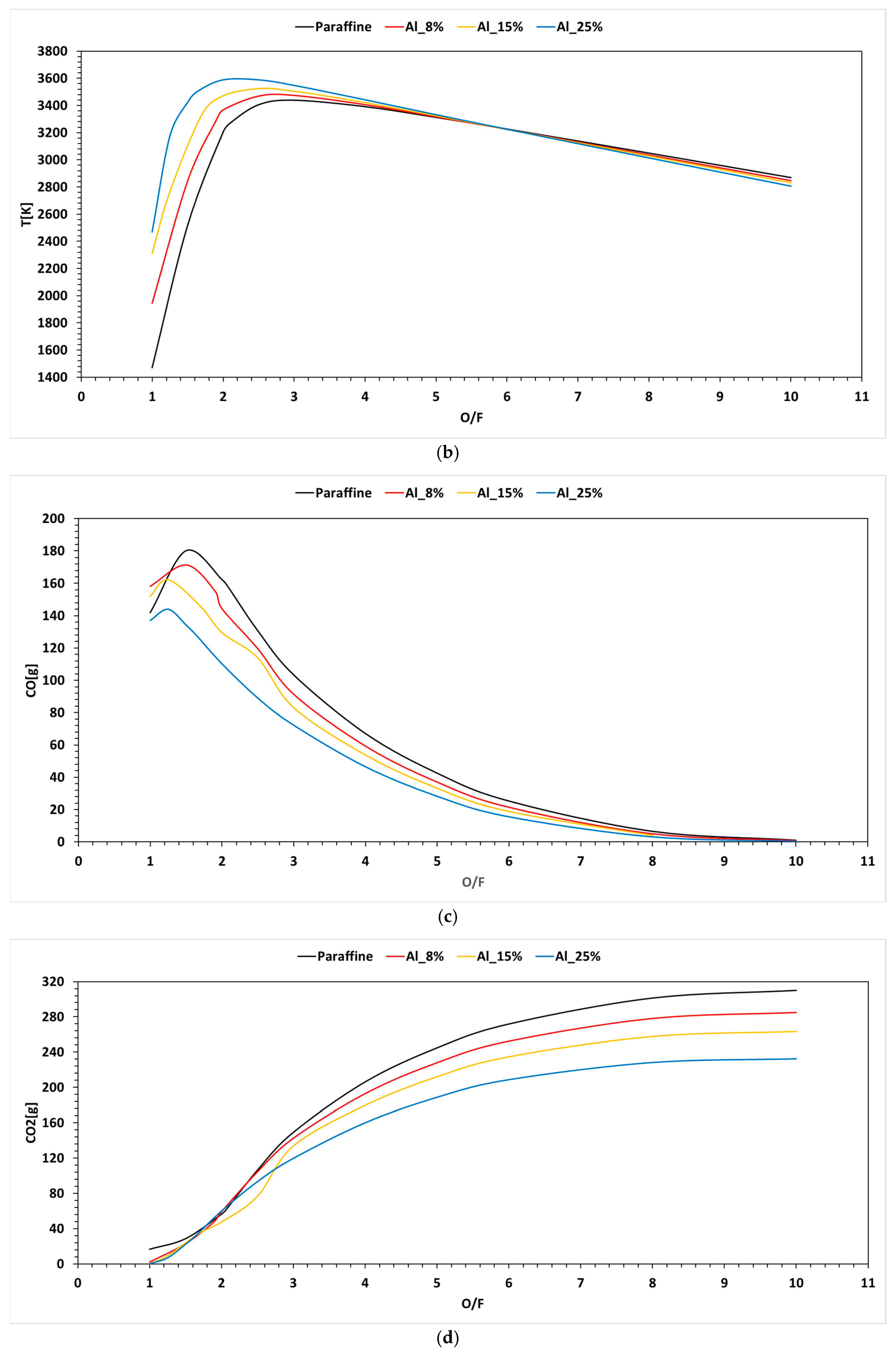
Figure 7 presents the influence of thermodynamic and environmental parameters as a function of aluminum content.

Figure 7.
Variation of specific impulse (a), combustion temperature (b), CO emissions (c), and CO2 emissions (d) as a function of the oxidizer-to-fuel ratio, obtained through ProPEP Version 1.0.3.0 software simulations for pure paraffin and paraffin with 8%, 15%, and 25% aluminum.
Figure 7 shows the influence of aluminum additions at mass fractions of 8%, 15%, and 25% on the main combustion parameters of paraffin: specific impulse, combustion temperature, carbon monoxide (CO) emissions, and carbon dioxide (CO2) emissions, at a pressure of 10 bar. Unlike solid oxidizers such as KNO3 or NH4NO3, aluminum acts as an energetic additive, providing a significant heat contribution during combustion.
The specific impulse remains nearly constant, with a slight increase from 226 s (pure paraffin) to 227 s for 15–25% Al, indicating a marginal gain in propulsive efficiency. In contrast, the maximum combustion temperature increases substantially with higher aluminum content, from 3440 K for pure paraffin to 3750 K for 25% Al. This thermal rise confirms the exothermic nature of aluminum oxidation and its potential to intensify chemical reactions within the combustion chamber.
Surprisingly—and in contrast to other additives—CO emissions decrease significantly, from 178 g/100 g for pure paraffin to just 135 g/100 g at 25% Al. This drop suggests more complete carbon oxidation, promoted by elevated temperatures that enhance the CO → CO2 conversion. CO2 emissions also slightly decrease, from 270 g to 255 g/100 g fuel, because part of the released energy now originates from aluminum oxidation, which does not produce CO2.
Although combustion temperature increases significantly with aluminum addition, the specific impulse remains nearly constant. This apparent contradiction is explained by the complex relationship between temperature, molecular weight, and exhaust gas composition, as dictated by the rocket nozzle exit velocity equation:
- Increase in average molecular mass (M):
Aluminum oxidation produces aluminum oxide (Al2O3) particles suspended in or condensing from the exhaust gases.
This increases the average molecular mass of the exhaust stream, offsetting or nullifying the thermal gain in the thrust equation.
- Decrease in adiabatic index (γ):
The gas composition becomes more complex and heavier (with more triatomic and polyatomic species), which lowers γ and reduces the expansion efficiency.
- Presence of condensed phase in exhaust gases:
The Al2O3 formed during combustion does not contribute effectively to gas acceleration in the nozzle—heavy particulates may even reduce effective exhaust velocity, especially if not fully vaporized.
This “inert heavy gas” effect reduces the specific impulse.
Despite the significant rise in combustion temperature, the increase in molecular mass and decrease in expansion gas efficiency neutralize the thermal advantage. The result is an almost unchanged specific impulse. This is a clear illustration that, in chemical propulsion, temperature alone is not sufficient—thermodynamic and chemical composition of the exhaust gases also play a crucial role.
Table 5 summarizes the evolution of thermochemical and environmental parameters as a function of aluminum content.
Table 5.
Summary of thermochemical and environmental parameters as a function of aluminum content.
The addition of aluminum to paraffin results in a clear increase in combustion temperature, a significant reduction in CO emissions, and an almost constant specific impulse. This behavior is advantageous for applications requiring hotter and more complete combustion, without compromising the overall efficiency of the propulsion system. Aluminum additions in the range of 8–15% appear to offer the best balance between thermal benefits and maintaining emissions at acceptable levels.
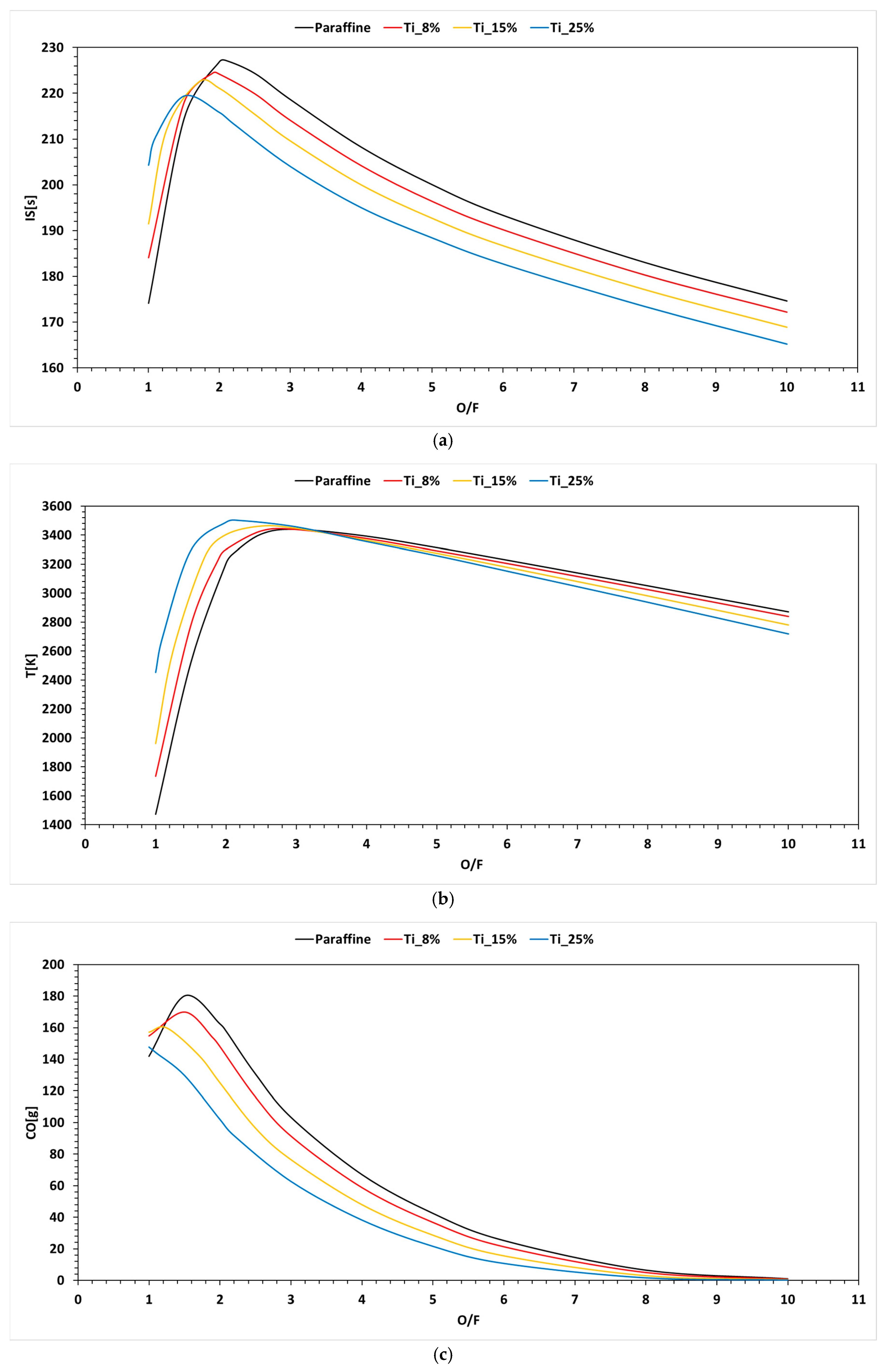
Figure 8 presents the influence of thermodynamic and environmental parameters as a function of titanium content.

Figure 8.
Variation of specific impulse (a), combustion temperature (b), CO emissions (c), and CO2 emissions (d) as a function of the oxidizer-to-fuel ratio, obtained through ProPEP Version 1.0.3.0 software simulations for pure paraffin and paraffin with 8%, 15%, and 25% titanium.
Figure 8 illustrates the influence of titanium (Ti) additions on the thermochemical performance and emission characteristics of paraffin-based fuel, for mass fractions of 8%, 15%, and 25%, at a constant chamber pressure of 10 bar. Four key parameters are analyzed: specific impulse, combustion temperature, carbon monoxide (CO) emissions, and carbon dioxide (CO2) emissions.
Specific impulse decreases clearly with increasing Ti content—from 226 s for pure paraffin to approximately 220 s at 25% Ti. This reduction is attributed to an increase in the average molecular weight of the combustion products and the possible presence of condensable fractions (titanium oxides), which do not contribute efficiently to thrust generation.
The maximum combustion temperature shows a modest increase, from 3440 K for pure paraffin to approximately 3480 K at 25% Ti, due to the energy released during metal oxidation. However, this increase is smaller than that observed for aluminum, suggesting a lower thermal reactivity.
CO emissions decrease significantly—from 178/100 g to 140/100 g—indicating more complete oxidation of carbon in the presence of higher combustion temperatures. CO2 emissions decrease slightly (from 270 to 255/100 g), reflecting that part of the released energy comes from titanium oxidation rather than carbon combustion.
Additionally, a shift in the peak values of specific impulse and combustion temperature toward lower O/F ratios is observed as the titanium content increases. This shift is explained by the energetic contribution of Ti, which reduces the oxidizer demand in the mixture.
Table 6 summarizes the evolution of thermodynamic and environmental parameters as a function of titanium content.
Table 6.
Evolution of performance and emission parameters for paraffin with Ti.
The addition of titanium to paraffin leads to a gradual decrease in specific impulse, despite a moderate increase in combustion temperature. This can be attributed to the increase in the molecular weight of combustion products and the possible formation of titanium oxides, which are less effective in expansion. On the other hand, carbon oxidation becomes more complete, as evidenced by the reduction in CO emissions. The observed decrease in CO2 emissions is primarily due to the reduced carbon fraction in the mixture rather than enhanced oxidation efficiency. Titanium additions in the range of 8–15% offer a functional compromise between performance and combustion cleanliness.
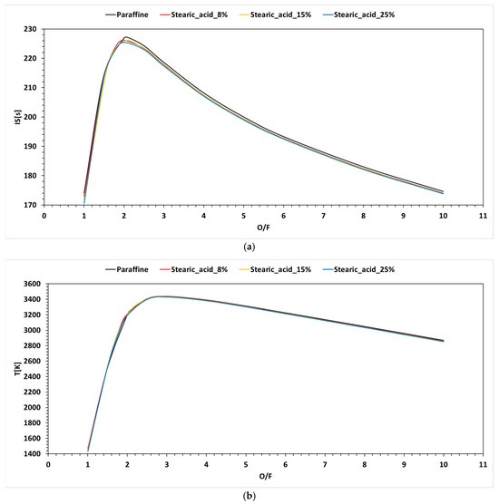
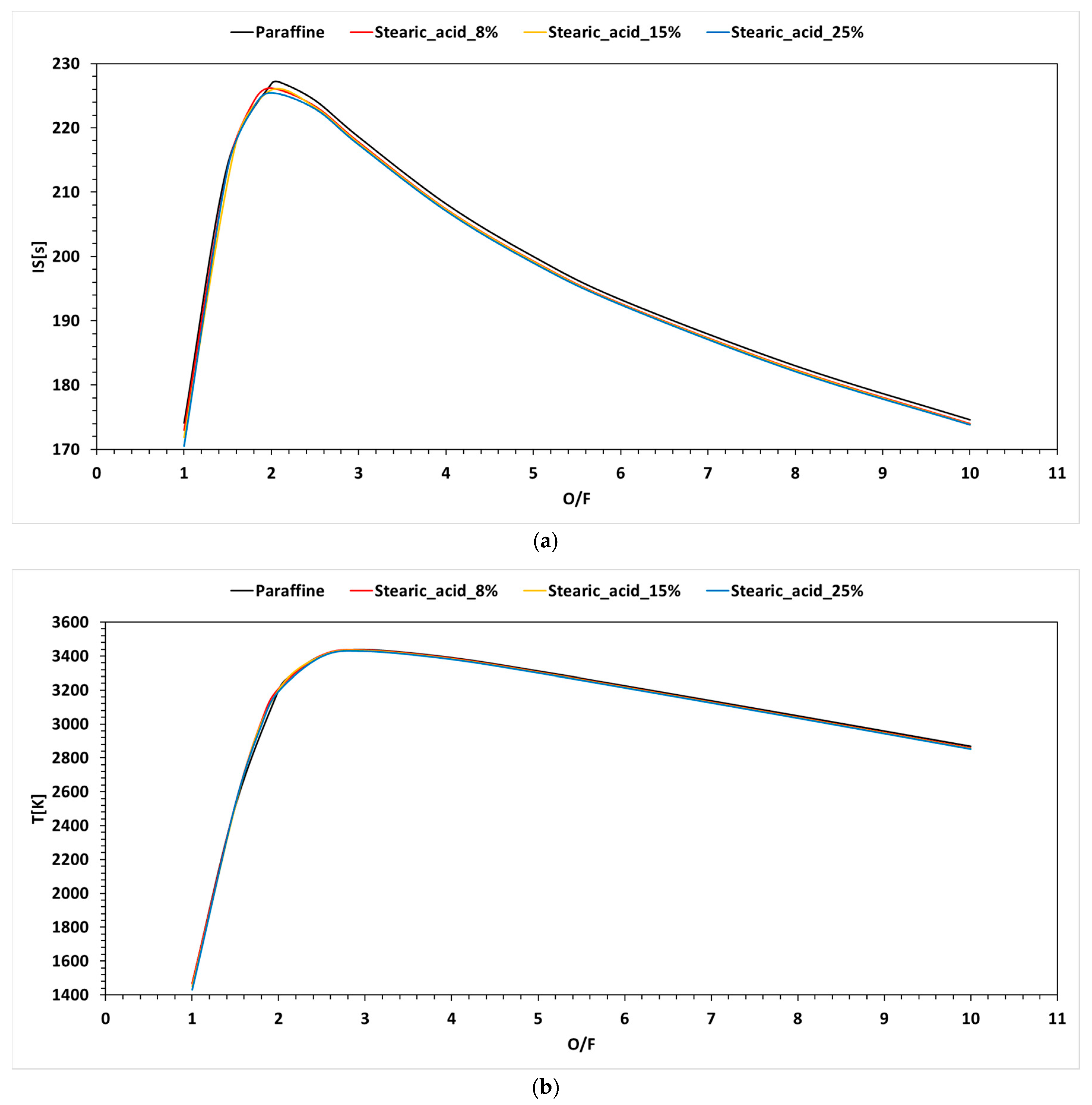
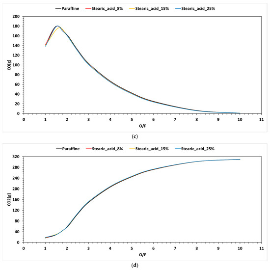
Figure 9 presents the influence of thermodynamic and environmental parameters as a function of stearic acid content.

Figure 9.
Variation of specific impulse (a), combustion temperature (b), CO emissions (c), and CO2 emissions (d) as a function of the oxidizer-to-fuel ratio, obtained through ProPEP Version 1.0.3.0 software simulations for pure paraffin and paraffin with 8%, 15%, and 25% stearic acid.
Figure 9 presents the influence of stearic acid additions on specific impulse, combustion temperature, and CO and CO2 emissions in paraffin-based formulations. The simulations were carried out at a pressure of 10 bar, with additive concentrations of 8%, 15%, and 25%. Stearic acid is an organic additive with a high content of carbon and hydrogen, making it of interest from an energetic and chemical perspective, although it does not contribute through metallic or oxidizing reactions.
The specific impulse remains practically unchanged, with very small variations between 226 and 225 s. Peak values occur, as in the case of pure paraffin, around O/F ≈ 2.2, regardless of the stearic acid concentration. This indicates that the additive does not significantly affect the average molecular mass of the gases or the expansion efficiency in the nozzle.
The combustion temperature is nearly identical across all formulations, with a maximum value of ≈3440 K, also in the O/F ≈ 2.2 region. Stearic acid does not provide additional energy beyond what paraffin already contributes, resulting in nearly overlapping thermal behavior.
CO emissions remain virtually unchanged, with a peak around 178/100 g fuel at O/F ≈ 2.2. Minor fluctuations may be attributed to slight differences in the energy density of stearic acid but do not indicate any clear improvement or degradation in oxidation efficiency.
CO2 emissions in the region of maximum specific impulse are in the range of 195–198/100 g, at O/F ≈ 2.2, very close to those of pure paraffin. Since stearic acid introduces additional carbon, a slight increase in CO2 emissions is expected at higher concentrations, but this effect is minimal.
As an organic additive, stearic acid does not significantly alter the combustion performance or emission characteristics of paraffin. Specific impulse and combustion temperature remain constant, and CO and CO2 emissions vary only marginally. This type of additive may be useful for adjusting physical properties (e.g., viscosity, castability), but it does not bring clear benefits in terms of propulsive performance or emission reduction.
4. Conclusions
The evolution of paraffin combustion parameters was analyzed for three standard additive concentrations—8%, 15%, and 25%—under identical conditions of 10 bar pressure and within the optimal operational regime (corresponding to peak specific impulse). The behavior of each formulation was varied according to the chemical nature of the additive—oxidizing, energetic, or organic—revealing distinct effects on performance and emissions.
While the present study provides valuable thermochemical insights into the performance of various paraffin-based hybrid fuel formulations, it also lays a solid foundation for future experimental validation. Compositions showing the highest estimated specific impulse and combustion temperature—such as those containing aluminum—may be prioritized for laboratory testing. However, practical implementation must also consider safety and environmental trade-offs, such as the sensitivity and hygroscopicity of ammonium nitrate.
Future work will focus on extending the current modeling framework by incorporating experimental validation and accounting for real-engine effects such as condensed-phase behavior (e.g., Al2O3, TiO2 formation), fuel grain surface regression, and potential combustion instabilities, which are not captured under idealized thermochemical assumptions. In addition, mechanical properties of the fuel matrix, additive dispersion, and challenges related to casting or scale-up must also be addressed to accurately assess the operational viability of advanced hybrid propellants.
Author Contributions
Conceptualization, G.C. and A.M.; methodology, G.C.; software, G.C. and A.M.; validation, G.C. and A.M.; writing—original draft preparation, G.C. and A.M.; writing—review and editing, G.C. and A.M. All authors have read and agreed to the published version of the manuscript.
Funding
This research received no external funding.
Data Availability Statement
Data are contained within the article.
Conflicts of Interest
The authors declare no conflicts of interest.
References
- Kositsyna, O.S.; Dron’, M.M.; Yemets, V. The environmental impact assessment of emission from space launches: The promising propellants components selection. J. Chem. Technol. 2020, 28, 186–193. [Google Scholar] [CrossRef]
- Terry, B.C.; Sippel, T.R.; Pfeil, M.A.; Gunduz, I.E.; Son, S.F. Removing hydrochloric acid exhaust products from high performance solid rocket propellant using aluminum-lithium alloy. J. Hazard. Mater. 2016, 317, 259–266. [Google Scholar] [CrossRef] [PubMed]
- Gohardani, A.S.; Stanojev, J.; Demairé, A.; Anflo, K.; Persson, M.; Wingborg, N.; Nilsson, C. Green space propulsion: Opportunities and prospects. Prog. Aerosp. Sci. 2014, 71, 128–149. [Google Scholar] [CrossRef]
- Vellaisamy, U.; Biswas, S. Effect of metal additives on neutralization and characteristics of AP/HTPB solid propellants. Combust. Flame 2020, 221, 326–337. [Google Scholar] [CrossRef]
- Wingborg, N.; de Flon, J.; Johnson, C.; Whitlow, W. Green Propellants Based on AND. In Proceedings of the Space Propulsion, Heraklion, Greece, 5–8 May 2008. [Google Scholar]
- Pellett, G.L.; Sebacher, D.I.; Bendura, R.J.; Wornom, D.E. HCl in rocket exhaust clouds: Atmospheric dispersion, acid aerosol characteristics, and acid rain deposition. J. Air Pollut. Control Assoc. 1983, 33, 304–311. [Google Scholar] [CrossRef]
- Granado, E.Q.; Hijlkema, J.; Lestrade, J.-Y.; Anthoine, J. A new system design tool for a hybrid rocket engine. Acta Astronaut. 2024, 223, 119–133. [Google Scholar] [CrossRef]
- Oztan, C.; Coverstone, V. Utilization of additive manufacturing in hybrid rocket technology: A review. Acta Astronaut. 2021, 180, 130–140. [Google Scholar] [CrossRef]
- Mazzetti, A.; Merotto, L.; Pinarello, G. Paraffin-based hybrid rocket engines applications: A review and a market perspective. Acta Astronaut. 2016, 126, 286–297. [Google Scholar] [CrossRef]
- Cican, G.; Mitrache, A.-D. Rocket Solid Propellant Alternative Based on Ammonium Dinitramide. INCAS Bull. 2017, 9, 17–24. [Google Scholar] [CrossRef]
- Srivastava, S.; Thakur, A.K. Review on Hybrid Rocket Engine: Past, Present and Future Scenario. Int. J. Veh. Struct. Syst. 2022, 14, 680–685. [Google Scholar] [CrossRef]
- Pal, Y.; Mahottamananda, S.N.; Palateerdham, S.K.; Subha, S.; Ingenito, A. Review on the regression rate-improvement techniques and mechanical performance of hybrid rocket fuels. FirePhysChem 2021, 1, 272–282. [Google Scholar] [CrossRef]
- Barato, F. Review of Alternative Sustainable Fuels for Hybrid Rocket Propulsion. Aerospace 2023, 10, 643. [Google Scholar] [CrossRef]
- Basavaraju, A.; Wong, J.; Johansen, C. Performance of Paraffin Wax Embedded with Lattice and Protrusion in Hybrid Rocket. In Proceedings of the AIAA 2024-1187, Orlando, FL, USA, 8–12 January 2024. [Google Scholar] [CrossRef]
- Available online: https://ntrs.nasa.gov/api/citations/20205001546/downloads/MFS-TOPS-130.pdf? (accessed on 25 April 2025).
- Liu, L.-L.; He, X.; Wang, Y.; Chen, Z.-B.; Guo, Q. Regression rate of paraffin-based fuels in hybrid rocket motor. Aerosp. Sci. Technol. 2020, 107, 106269. [Google Scholar] [CrossRef]
- Andrianov, A.; Lee, J.; Shynkarenko, O.; Simone, D.; De Morais Bertoldi, A.E. Experimental study of severity level of structural discontinuities in paraffin grains of hybrid propellant rocket. Acta Astronaut. 2019, 162, 256–265. [Google Scholar] [CrossRef]
- Tang, Y.; Chen, S.; Zhang, W.; Shen, R.; DeLuca, L.T.; Ye, Y. The Effects of Mechanical Modification Additives on the Regression Rate of Paraffin-Based Fuels for Hybrid Rocket. In Proceedings of the 7th European Conference for Aeronautics and Space Sciences (EUCASS), Milan, Italia, 3–6 July 2017. [Google Scholar]
- Pal, Y.; Kumar, K.H.; Li, Y.H. Ballistic and mechanical characteristics of paraffin based solid fuels. CEAS Space J. 2019, 11, 317–327. [Google Scholar] [CrossRef]
- Ryu, S.; Han, S.; Kim, J.; Moon, H.; Kim, J.; Ko, S.W. Tensile and compressive strength characteristics of aluminized paraffin wax fuel for various particle size and contents. J. Korean Soc. Propuls. Eng. 2016, 20, 70–76. [Google Scholar] [CrossRef][Green Version]
- Veale, K.; Adali, S.; Pitot, J.; Bemont, C. The structural properties of paraffin wax based hybrid rocket fuels with aluminium particles. Acta Astronaut. 2018, 151, 864–873. [Google Scholar] [CrossRef]
- Pal, Y.; Kumar, V.R. Thermal decomposition study of paraffin based hybrid rocket fuel containing Aluminum and Boron additives. Thermochim. Acta 2017, 655, 63–75. [Google Scholar] [CrossRef]
- Galfetti, L.; Merotto, L.; Boiocchi, M.; Maggi, F.; Deluca, L.T. Experimental investigation of paraffin-based fuels for hybrid rocket propulsion. Prog. Propuls. Phys. 2013, 4, 59–74. [Google Scholar]
- Pal, Y.; Palateerdhamb, S.K.; Mahottamanandac, S.N.; Sivakumara, S.; Ingenitob, A. Combustion performance of hybrid rocket fuels loaded with MgB2 and carbon black additives. Propuls. Power Res. 2023, 12, 212–226. [Google Scholar] [CrossRef]
- Cican, G.; Paraschiv, A.; Buturache, A.N.; Hapenciuc, A.I.; Mitrache, A.; Frigioescu, T.-F. Experimental Research into an Innovative Green Propellant Based on Paraffin–Stearic Acid and Coal for Hybrid Rocket Engines. Inventions 2024, 9, 26. [Google Scholar] [CrossRef]
- Zhang, Y.; Yang, Z.; Mu, C.; Zhang, Y.; Zhu, H.; Wang, L. Hypergolic ignition of green propellant: Testing of 90% hydrogen peroxide with paraffin wax including sodium borohydride. Acta Astronaut. 2025, 229, 277–285. [Google Scholar] [CrossRef]
Disclaimer/Publisher’s Note: The statements, opinions and data contained in all publications are solely those of the individual author(s) and contributor(s) and not of MDPI and/or the editor(s). MDPI and/or the editor(s) disclaim responsibility for any injury to people or property resulting from any ideas, methods, instructions or products referred to in the content. |
© 2025 by the authors. Licensee MDPI, Basel, Switzerland. This article is an open access article distributed under the terms and conditions of the Creative Commons Attribution (CC BY) license (https://creativecommons.org/licenses/by/4.0/).