Abstract
This paper addresses periodic event-triggered output-feedback control (PETOFC) and event-triggered state-feedback control (ETSFC) for polynomial systems modeled by a linear-like representation with state-dependent coefficients. Periodic event-triggering evaluates conditions at fixed intervals, preventing Zeno behavior, while state-feedback control guarantees a minimum inter-event interval. Stability is analyzed using linear matrix inequalities. Under the proposed event-triggered controllers and using the sum-of-squares programming, the asymptotic stability of the closed-loop systems is ensured. Finally, the effectiveness of the proposed controllers are illustrated through two numerical examples.
1. Introduction
Polynomial systems represent a distinct category of nonlinear dynamical frameworks extensively utilized in domains ranging from industrial process regulation to biological system modeling [,,]. Consequently, investigating analytical and synthetic approaches for these systems constitutes a critical research direction in control theory, with particular emphasis on stabilization techniques and optimization strategies. Recent advancements have yielded several effective methodologies. For instance, [,,] developed local stability guarantees through state-feedback synthesis employing quadratic or polynomial Lyapunov functions. Regarding disturbance rejection capabilities, [] introduced a robust output-feedback controller design, while [] demonstrated state-feedback approaches accommodating quadratic performance metrics and input constraints. Furthermore, [] established computational solutions for polynomial matrix problems via sum-of-squares programming. Notably, existing literature shows limited exploration of event-triggered control (ETC) paradigms for polynomial systems.
Recently, several preliminary studies have attempted to address this gap. For example, [] established fault-tolerant consensus control for linear multi-agent systems with polynomial faults using an event-triggered framework. In addition, [] introduced a varying-gain event-triggered scheme to enhance security control in polynomial fuzzy systems against DoS attacks. More recently, [] developed an adaptive control strategy for strict-feedback nonlinear systems with time-varying parameters, incorporating parameter estimators and triggering rules to maintain asymptotic stability while reducing communication load.
ETC represents an innovative digital control approach that has garnered significant research interest in recent years [,]. Unlike traditional time-triggered systems with fixed periodic execution intervals, ETC initiates sampling or control updates based on predefined conditions, leading to non-uniform task execution. This paradigm offers notable benefits, including reduced resource usage, lower energy consumption, and mitigated communication congestion. A comprehensive survey on the theoretical developments and applications of dynamic event-triggered control can be found in []. A critical theoretical requirement is ensuring positive inter-event intervals to prevent Zeno behavior when continuously verifying triggering conditions. Additionally, periodic event-triggered control (PETC) has emerged as a variant where condition monitoring occurs at regular intervals. Recent literature [,,,] demonstrates successful applications across diverse systems, such as discrete-time frameworks [], piecewise-affine systems [], and linear systems []. Despite these advancements, polynomial systems remain an underexplored domain in ETC research, presenting the primary motivation for this study.
The inherent nonconvex nature of polynomial systems presents significant challenges in obtaining feasible solutions. This has made computational methodologies for polynomial systems a crucial research focus in control engineering. While existing approaches like those presented in [,] offer potential solutions - including Hamilton-Jacobi inequality-based techniques and state-dependent linear matrix inequality formulations for guaranteed cost state feedback and performance objectives - these methods occasionally prove ineffective or computationally demanding. Among alternative approaches, sum-of-squares programming stands out as particularly effective due to its ability to efficiently handle positive polynomial systems with reduced conservatism []. Consequently, this study employs sum-of-squares programming as the primary solution methodology.
This study develops novel controller synthesis methods for polynomial systems, addressing both periodic event-triggered output-feedback and state-feedback control scenarios. The proposed periodic triggering mechanism employs fixed verification intervals, effectively preventing Zeno phenomena. Key contributions include: derivation of strictly positive inter-event times through continuous condition verification, and computation of control gains via sum-of-squares programming techniques. The framework demonstrates computational efficiency while ensuring solution feasibility.
Compared with previous event-triggered control studies focusing on linear or piecewise-affine systems [,], the main novelty of this work lies in extending the event-triggered control framework to polynomial systems modeled in a linear-like representation with state-dependent coefficients. Unlike traditional linear formulations, the proposed approach explicitly handles the nonconvexity inherent in polynomial dynamics by employing sum-of-squares (SOS) programming, enabling tractable stability analysis and controller synthesis. Moreover, both PETOFC and ETSFC are systematically developed within a unified SOS-based framework, ensuring asymptotic stability and preventing Zeno behavior. These contributions collectively establish a generalized and computationally efficient methodology that bridges the gap between polynomial and classical event-triggered control systems.
This paper is structured as follows: Section 1 provides a background of this research. Section 2 details our principal findings regarding PETOFC for polynomial systems. Section 3 presents the state-feedback controller design using the ETC. Section 4 demonstrates numerical validation through concrete examples. Finally, Section 5 concludes with a synthesis of our contributions and their implications.
2. Periodic Event-Triggered Output-Feedback Control
Consider the following polynomial systems expressed by a linear-like representation with state-dependent coefficients:
in which represents the system state, represents the control input, and corresponds to the output signal. The matrix is polynomial and dimensionally compatible, while and are constant matrices.
Assumption 1.
The output matrix C is assumed to have full row rank.
When C possesses full row rank, the result in [] ensures the existence of nonsingular matrices and such that the decomposition holds.
For the realization of PETC, the output-feedback strategy is defined as:
where represents the control gain matrix requiring design, h denotes the verification period, i.e., the fixed time interval at which the triggering condition is evaluated. The instant marks the k-th task release instant with . Consequently, the inter-event interval maintains the bounded condition , where .
Define the output error
where , that is .
Then, the triggering mechanism is specified as
with , where and denote positive definite polynomial matrices to be determined.
Define , which satisfies . Incorporating Equations (1)–(3) with , the closed-loop dynamic can be equivalently represented as a time-delay system:
Accordingly, the PETOFC problem for polynomial systems can be formulated as follows: given a verification period h, the aim is to design both the feedback gain K and the polynomial matrices and such that the system Equation (1) governed by the controller Equation (2) under the triggering rule Equation (4) achieves asymptotic stability.
To facilitate our subsequent stability analysis and control synthesis, we first introduce essential mathematical preliminaries including relevant definitions and supporting lemmas. These foundational elements will underpin the key theoretical contributions presented later in this work.
Lemma 1.
(Schur complement, []). For a symmetric matrix N partitioned as
with invertible R, the following equivalences hold:
(i) iff and
(ii) if , then iff
Definition 1
([]). A multivariate polynomial is said to be a sum-of-squares (SOS) if there exist polynomials such that:
Lemma 2
([]). The polynomial satisfies the SOS condition in Equation (6) if and only if there exists a positive semidefinite matrix S such that
where is an appropriately chosen vector of monomial.
Remark 1.
Based on Definition 1 and Lemma 2, we can directly conclude that any SOS polynomial satisfies , demonstrating that the SOS property serves as an effective sufficient criterion for verifying polynomial non-negativity.
Building on the preceding analysis, we now present the first result under the assumption that the feedback gain K is predetermined.
To explicitly clarify the scope of the SOS constraints, we note that all SOS conditions in this work are verified over a bounded semialgebraic region of the state space,
within which the proposed Lyapunov function and SOS-based stability conditions hold. Accordingly, the derived results in Theorems 1–3 should be interpreted as regional asymptotic stability rather than global stability.
Theorem 1.
For a verifying period h and feedback gain K, system Equation (1) with controller Equation (2) and event condition Equation (4) achieves asymptotic stability when there exist symmetric positive definite matrices , positive polynomial matrices , matrices X, , and polynomial matrices , satisfying:
where ★ denotes the symmetric block in one symmetric matrix, are pre-defined scalars, ς denotes the arrays that are independent of x, and
- ,
- ,
- ,
- ,
- ,
- ,
- ,
- .
Here, G and V are constant design matrices introduced to parameterize the state-feedback and output-feedback gain relationships. This formulation is commonly adopted in SOS-based controller synthesis to linearize the bilinear terms involving the gain matrices [,].
Proof.
Consider the Lyapunov functional defined as:
where and U represent feasible solutions satisfying conditions Equations (14)–(16).
Taking the Lie derivative of the Lyapunov function along the vector field of system Equation (5) leads to the following result:
Defining and considering polynomial matrices , we obtain:
Incorporating Equation (5), for appropriately dimensioned matrices , we derive:
Besides, the following equality
holds. Furthermore, based on the condition for triggering events Equation (4) and the definition of , we have
Remark 2.
The Lyapunov functional in Equations (18), together with the introduction of the polynomial matrices and , plays a pivotal role in reducing the conservatism of the stability conditions []. Moreover, the adoption of SOS programming enables the efficient treatment of these state-dependent matrices, which would otherwise be intractable under traditional Linear Matrix Inequality (LMI) approaches for polynomial systems.
Building on Theorem 1, which provides SOS-based stability verification under a given feedback gain K, we next present a synthesis method for determining the feedback gain K along with the triggering parameters and .
Theorem 2.
For a specified verification interval h with positive scalars and , the existence of symmetric positive definite matrices , positive polynomial matrices , along with matrices Y, , , V and polynomial matrices , must satisfy the subsequent conditions:
- ,
- ,
- ,
- ,
- ,
- ,
- ,
- ,
- ,
- ,
- ,
- ,
- ,
- ,
then the system Equation (1) under the controller Equation (2) and triggering condition Equation (4) is asymptotically stable with and .
Proof.
The condition ensures the non-singularity of both and G. For Equation (14), set , and . Moreover, define . In addition, from feedback gain K, we have
Define . Pre/post-multiplying both sides of Equation (14) by J and and using the Lemma 1, the condition Equation (14) is equivalent to Equation (31).
Define the matrix
with . Through analogous operations of pre- and post-multiplying both sides of Equations (15) and (16) by and its transpose, we derive Equatios (32) and (33). Consequently, applying Theorem 1 demonstrates that the system Equation (1) governed by controller Equation (2) with triggeringmechanism Equation (4) achieves asymptotic stability, thereby concluding the proof. □
Remark 3.
For clarity, we emphasize that both Theorem 1 and Theorem 2 pertain to the proposed PETOFC scheme. Theorem 1 gives sufficient SOS conditions to certify asymptotic stability for a pre-specified gain K, whereas Theorem 2 formulates an SOS-based synthesis approach that yields feasible gains and polynomial certificates which satisfy the conditions of Theorem 1.
The steps in the proposed PETOFC design procedure are as follows:
- Step 1.
- Offline Design:
- (a)
- Verify system representation, ensure C is full row rank, and decompose .
- (b)
- Define parameters (h, , , ), formulate SOS constraints from Theorem 2.
- (c)
- Solve via SOSTOOLS [] to obtain matrices and compute gain
- (d)
- Derive triggering matrices and store all parameters.
- Step 2.
- Online Execution (during each verification period h):
- (a)
- Measure the system output , compute error .
- (b)
- Check trigger:
- (c)
- If triggered, update and hold constant until the next verification instant ; else, maintain previous input.
- Step 3.
- Repeat Step 2 at each subsequent verification instant.
Remark 4.
Small positive constants (e.g., , δ) are introduced to ensure strict SOS inequalities and numerical stability, typically chosen within . The verification period h directly determines the minimum inter-event time, and thus influences both the average inter-event time and the convergence speed. Within a practical range, a smaller h leads to shorter average inter-event times and faster convergence, while a larger h reduces the triggering frequency but may slow down the response. In most cases, the minimum inter-event time is equal to h. This reflects the trade-off between communication efficiency and control performance.
3. Event-Triggered State-Feedback Control
3.1. Event-Triggered Stabilization
The dynamics of polynomial systems with affine input are captured by the following representation
An equivalent linear-like representation with state-dependent coefficients takes the form:
with as the state array and as input signal. The monomial array possesses the property , where constitutes a properly dimensioned polynomial matrix and B remains constant.
For system Equation (35), the ETC approach adopts:
wherein denotes the control gain matrix requiring computation. The structure of follows:
where captures real-time state data, whereas preserves the state information from the preceding triggering instance (). The error metric , defined as
which quantifies the discrepancy between the control input at the last triggering instant and the current time. Triggering instants satisfy due to the inherent property of . This formulation explicitly relates the error to temporal control input variations.
By incorporating Equations (36) and (37) into Equation (35), we obtain the reformulated system representation:
The state update mechanism for is governed by the event-triggered condition
where .
These analytical developments lead to the subsequent theoretical proposition.
Theorem 3.
Consider the ETC strategy Equation (39) with a constant , where and hold for . Then, the system Equation (35) achieves asymptotic stability under the ETSFC Equation (36) subject to the triggering rule Equation (39), provided that there exist a symmetric positive definite matrix and an arbitrary matrix W satisfying the inequality:
where
with the controller gain defined as and
Proof.
To examine the system stability described in Equation (35), we define the Lyapunov function as . Calculating its time derivative along system Equation (38)’s trajectories yields:
Using the event condition , can be reduced to
Applying Lemma 1, Equation (40) is equivalent to
Remark 5.
The assumptions imposed on and in Theorem 3 are not directly utilized in the proof; however, they serve to rule out Zeno behavior by ensuring that the inter-event times are bounded below by a strictly positive constant.
3.2. Lower Bound for Inter-Event Times
To demonstrate the applicability of the ETC scheme described earlier, it is necessary to establish that the inter-event time possess a positive lower bound:
Theorem 4.
The inter-event times are guaranteed a positive lower bound when two constants ϵ and ζ satisfy and respectively for . This demonstrates temporal separation between events under bounded system dynamics.
Proof.
Denote , taking the time derivative of y
By the definition of , we have
Based on the comparison principle, the solution of Equation (44) with is upper-bounded by the solution of the differential equation , where , ensuring . From condition Equation , the minimum inter-event interval corresponds to the time required for to transition from 0 to . Clearly, is at least as large as the interval needed for to evolve from 0 to . The explicit form of is:
one has
Consequently, , which shows that minimum inter-event interval have a strict positive lower bound such that . This proof is completed. □
Remark 4.
Theorem 4 offers a theoretical guarantee against Zeno behavior by establishing a strictly positive lower bound for the inter-event times. This condition is essential for practical implementation of ETC, as it ensures that the system cannot generate an infinite number of events within a finite time, which would be infeasible for a physical digital controller to execute.
Remark 7.
Given the condition , a polynomial matrix satisfying can always be constructed. This representation can be alternatively expressed as
where comprises higher-degree monomials or polynomials in x. Consequently, the Linear-like representation with state-dependent coefficients Equation (35) is guaranteed to exist, with being non-unique. Furthermore, for a fixed , the selection of may also lack uniqueness. Specifically, if yields the representation Equation (35), then remains valid for any non-zero polynomial matrix that satisfies .
The steps in the proposed ETSFC design procedure are as follows:
- Step 1.
- Offline Design:
- (a)
- Formulate SOS constraints based on Theorem 3 to ensure asymptotic stability under the triggering condition Equation (39).
- (b)
- Solve the SOS optimization using SOSTOOLS [] to obtain matrices and polynomial certificates.
- (c)
- Compute the controller gain as
- (d)
- Verify a positive minimum inter-event time using Theorem 4 to exclude Zeno behavior.
- Step 2.
- Online Execution (during each verification period h):
- (a)
- At each verification instant , measure the state .
- (b)
- Evaluate the triggering condition:
- (c)
- If the triggering condition is satisfied, update the control input , and hold it constant until the next verification instant ; else, maintain previous input.
- Step 3.
- Repeat Step 2 at each subsequent verification instant.
Remark 8.
Remark 9.
It should be emphasized that the matrix inequalities Equations (31)–(33) and Equation (40) are state-dependent, making them challenging to address using conventional linear matrix inequality techniques. Nevertheless, as demonstrated in this work, these state-dependent inequalities can be efficiently handled through SOS programming.
Remark 10.
The triggering threshold σ plays a similar role. A smaller σ makes the triggering condition more sensitive, leading to a higher triggering rate and a smaller average inter-event time, whereas a larger σ reduces communication frequency but may slow the transient response. Hence, proper selection of σ balances communication load and control responsiveness.
4. Numerical Examples
Two numerical demonstrations validate the theoretical findings from earlier sections, implemented using SOSTOOLS [], which is a free MATLAB (R2025b) toolbox for formulating and solving sums of squares (SOS) optimization programs.
Remark 11.
The numerical examples were solved using SOSTOOLS (v3.00) []. The synthesis problem involves two primary types of constraints: (i) SOS conditions, such as ensuring that is SOS as in Equations (9)–(13) and Equations (25)–(29), and (ii) state-dependent matrix inequalities, for example, in Equation (14) for output-feedback and the LMI in Equation (40) for state-feedback. SOSTOOLS automatically reformulates these matrix inequalities into equivalent SOS constraints, thereby converting the entire problem into a semidefinite programming (SDP) problem. The resulting polynomial matrices (e.g., , ) are obtained in a monomial basis. For the sake of simplicity in the example presentation, these matrices are displayed as constant matrices, although their positive definiteness for all x is rigorously guaranteed by the SOS synthesis procedure.
Example 1.

Consider the polynomial system [] expressed in the Linear-like representation with state-dependent coefficients:
where
Clearly, the matrix C is of full row rank. Consequently, one may choose
Choose . By applying Theorem 2, we can obtain a group of feasible solution
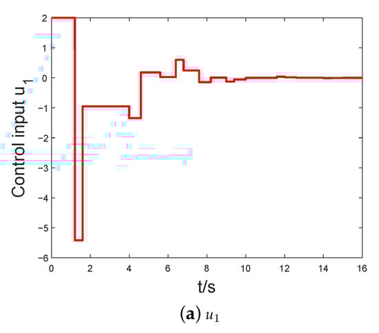
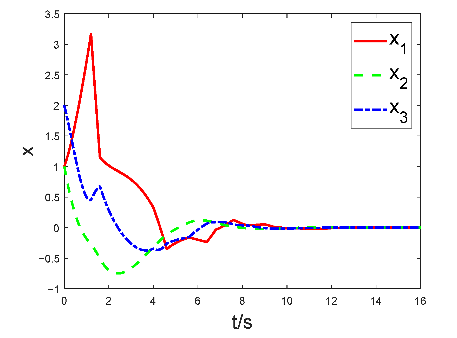
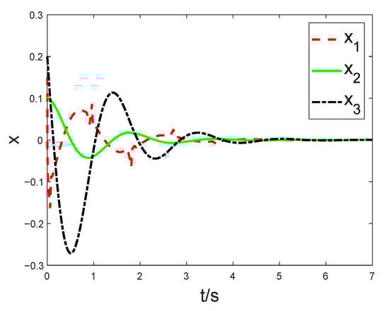
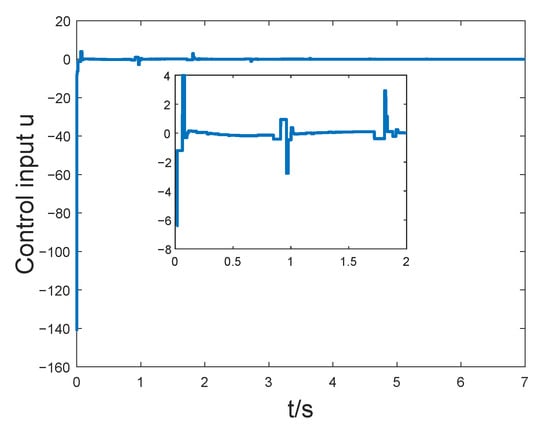
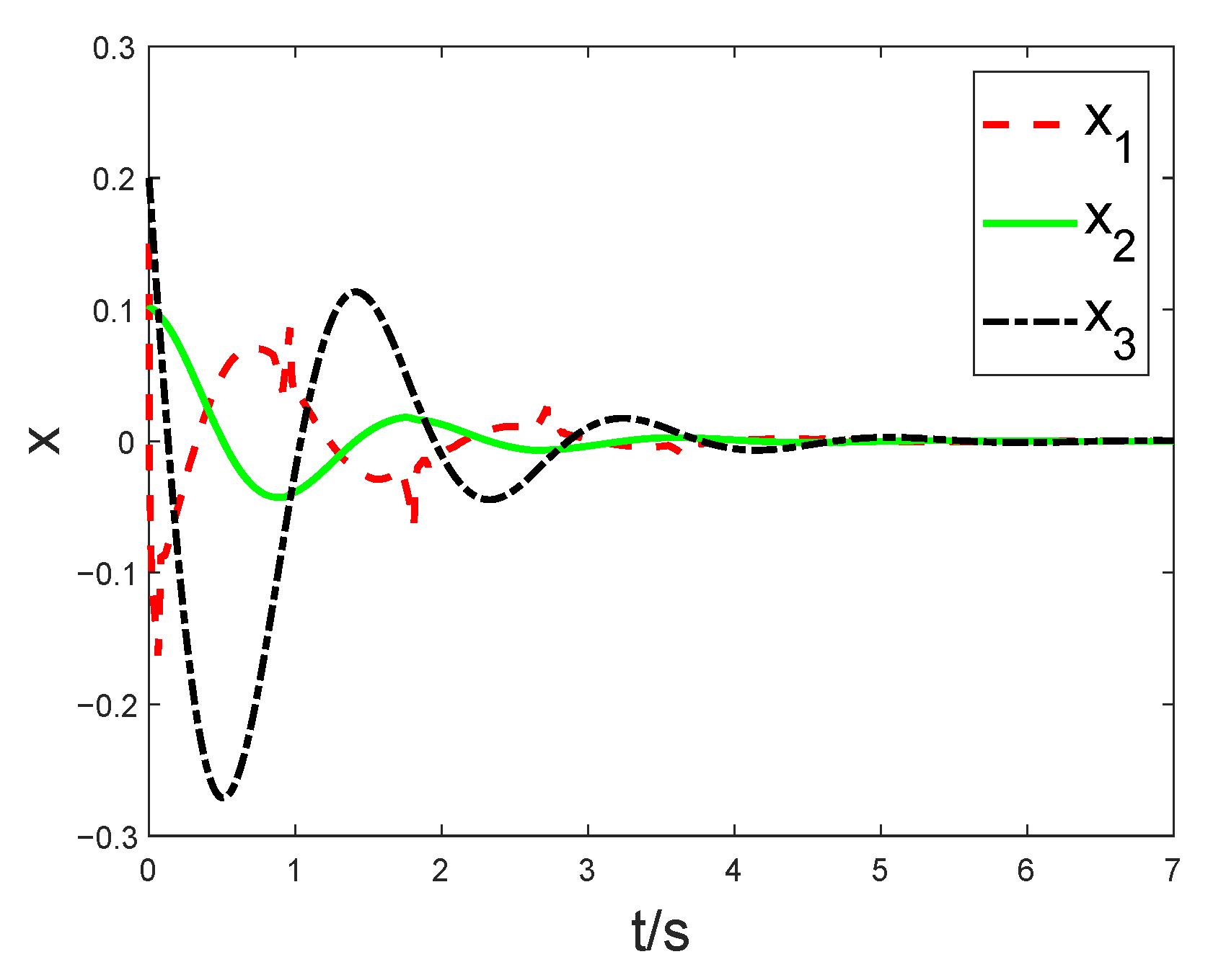
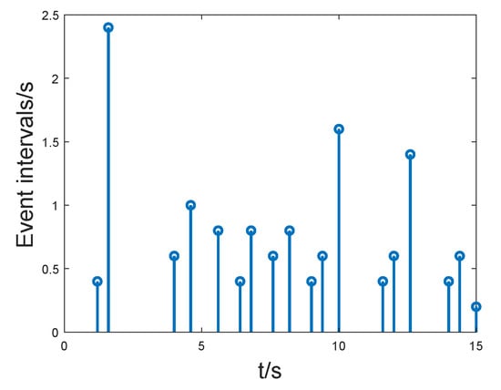
Figure 1 displays the closed-loop system’s state trajectories, while Figure 2 presents the triggeringinstants and Figure 3 illustrates control input u. In this simulation, the controller triggered a total of 18 events, with an average inter-event time of 0.889 s and a minimum inter-event time of 0.2 s. The system reached steady state within 10.814 s (tolerance = 0.01), confirming that the proposed method achieves asymptotic stability with a remarkably low communication rate. For comparison, a conventional periodic control scheme with a fixed sampling period of h = 0.2 s would require continuous updates, whereas the proposed PETOFC achieves a comparable response with over an order-of-magnitude reduction in communication.
Figure 1.
System states under control.
Figure 2.
Event-triggering instants.

Figure 3.
Control input u.
Example 2.
The Chua’s circuit implementation of a classic chaotic system [] can be mathematically represented in controlled form as:
where x denotes the state array, with α and β as system parameters. The control input u influences the system dynamics, where characterizes Chua’s diode piecewise-linear behavior:
where constants d and m satisfy .
Figure 4 illustrates the uncontrolled chaotic behavior of the system with parameters α = 9.2156, β = 15.9946, d = −1.24905 and m = −0.75735.
Figure 4.
Chaotic attractor in the Chua’s system.
To implement the ETSFC, we selected with initial conditions =. Considering the piecewise linear nature of Chua’s diode characteristic f, the controller was systematically developed for three distinct operational regions. For the case where , Theorem 3 yields the control law u=−30.2781−20.1238−10.5643+50.2735 with the positive definite matrix
When , the controller is designed as and
When , the controller is designed as and
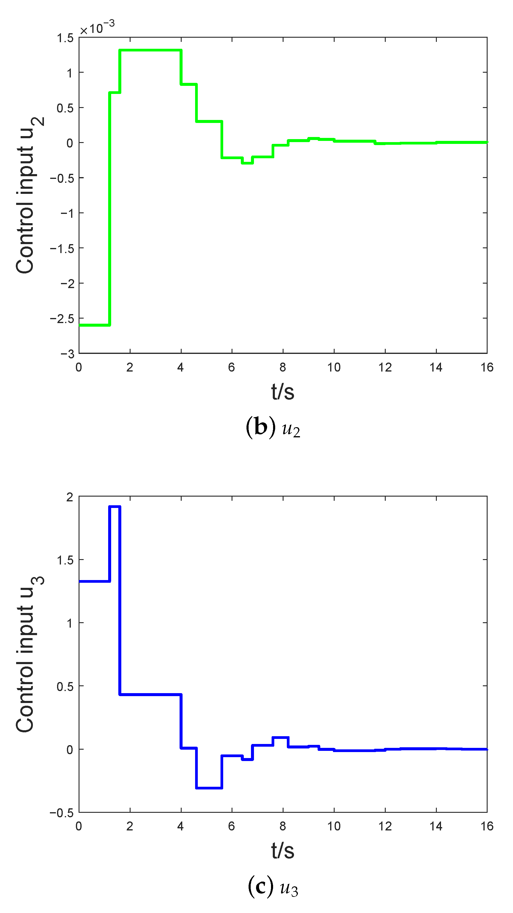
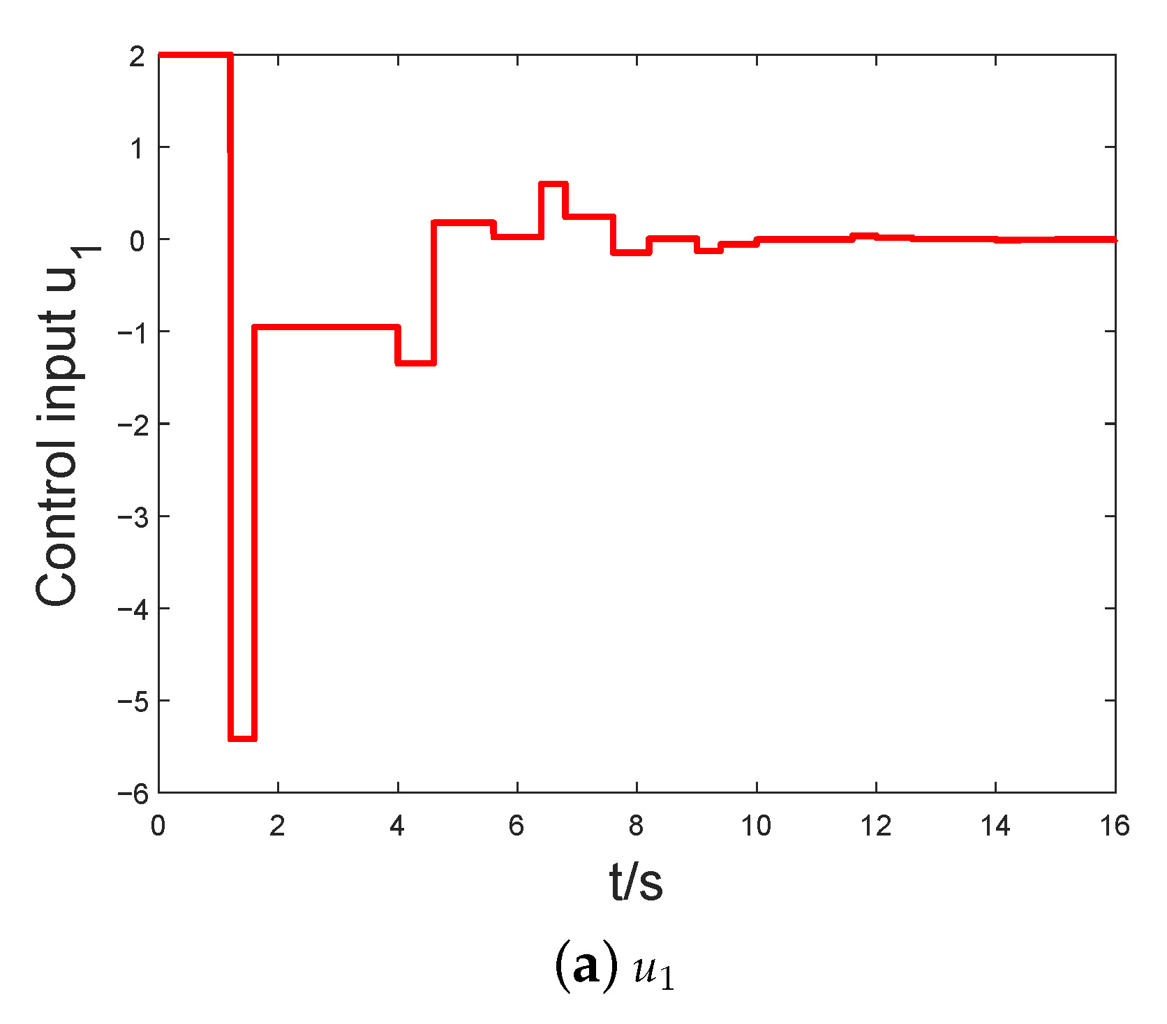
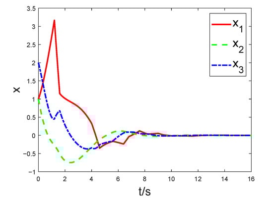
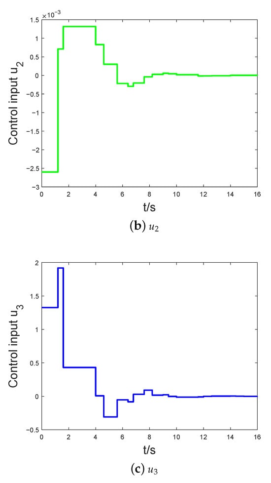
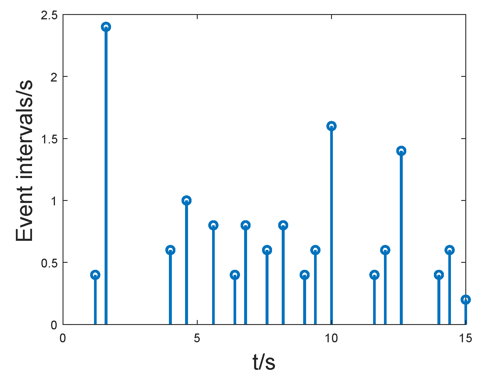
The closed-loop system achieves asymptotic stability as all conditions of Theorem 3 are satisfied. Figure 5 displays the state trajectories of system Equation (46), while Figure 6 and Figure 7 illustrate the triggeringinstances and control input u respectively.
Figure 5.
System states under control.
Figure 6.
Event-triggering instants.
Figure 7.
Control input u.
Figure 5 depicts the closed-loop response of the system under the ETSFC strategy, demonstrating rapid convergence and stable performance. In this simulation, the event-triggered controller was implemented with parameters ϵ = 19.1817 and ζ = 1.74081. A total of 286 triggering events occurred, with an average inter-event time of 0.0245 s and a minimum of 0.001 s. The system reached steady state within 3.587 s (tolerance = 0.01), which indicates that the proposed ETSFC approach ensures fast convergence while maintaining a strictly positive inter-event time and effectively avoiding Zeno behavior.
5. Conclusions
This study presents novel solutions for PETOFC and ETSFC in polynomial systems modeled by Linear-like representation with state-dependent coefficients. We developed specialized event-triggering mechanisms and corresponding controllers, demonstrating their efficacy through rigorous stability analysis that guarantees asymptotic stability while preventing Zeno behavior in both control schemes. The proposed approaches were validated through numerical simulations and application to Chua’s system, confirming their practical viability and performance. Despite the promising results, the proposed PETOFC and ETSFC schemes may face scalability and computational challenges in large-scale systems, and experimental validation will be pursued in future work.
Author Contributions
Conceptualization, J.Z., H.L. and X.L.; methodology, J.Z., Q.Y. and H.L.; software, J.Z., H.L., Q.Y. and X.L.; validation, J.Z., H.L., Q.Y. and X.L.; investigation, J.Z., H.L. and X.L.; writing-original draft preparation, J.Z. and H.L.; writing—review and editing, J.Z., Q.Y. and X.L. All authors have read and agreed to the published version of the manuscript.
Funding
This research received no external funding.
Data Availability Statement
Dataset available on request from the authors.
Conflicts of Interest
The authors declare no conflicts of interest.
References
- Ichihara, H. Optimal control for polynomial systems using matrix sum of squares relaxations. IEEE Trans. Autom. Control 2009, 54, 1048–1053. [Google Scholar] [CrossRef]
- Casagrande, A.; Dang, T.; Dorigo, L.; Dreossi, T.; Piazza, C.; Pippia, E. Parameter synthesis of polynomial dynamical systems. Inf. Comput. 2022, 289, 104941. [Google Scholar] [CrossRef]
- Duff, T.; Hein, N.; Sottile, F. Certification for polynomial systems via square subsystems. J. Symb. Comput. 2022, 109, 367–385. [Google Scholar] [CrossRef]
- Prajna, S.; Papachristodoulou, A.; Wu, F. Nonlinear control synthesis by sum of squares optimization: A Lyapunov-based approach. In Proceedings of the 2004 5th Asian Control Conference (IEEE Cat. No. 04EX904), Melbourne, VIC, Australia, 20–23 July 2004; IEEE: Piscataway, NJ, USA, 2004; Volume 1, pp. 157–165. [Google Scholar]
- Ichihara, H. A convex approach to state feedback synthesis for polynomial nonlinear systems with input saturation. Sice J. Control. Meas. Syst. Integr. 2013, 6, 186–193. [Google Scholar] [CrossRef]
- Jennawasin, T.; Kawanishi, M.; Narikiyo, T. Performance bounds for optimal control of polynomial systems: A convex optimization approach. Sice J. Control. Meas. Syst. Integr. 2011, 4, 423–429. [Google Scholar] [CrossRef]
- Zhao, D.; Wang, J.L. Robust static output feedback design for polynomial nonlinear systems. Int. J. Robust Nonlinear Control 2010, 20, 1637–1654. [Google Scholar] [CrossRef]
- Jennawasin, T.; Banjerdpongchai, D. Design of state-feedback control for polynomial systems with quadratic performance criterion and control input constraints. Syst. Control Lett. 2018, 117, 53–59. [Google Scholar] [CrossRef]
- Pang, G.; Liu, Y.; Qiu, J.; Chen, X.; Liu, Y. Fault-tolerant consensus control of linear multi-agent systems with polynomial faults based on event triggered mechanism. Trans. Inst. Meas. Control 2025. Online First. [Google Scholar] [CrossRef]
- Selvaraj, P.; Kwon, O.m.; Lee, S.; Sakthivel, R.; Lee, S. Event-triggered control design with varying gains for polynomial fuzzy systems against DoS attacks. Math. Comput. Simul. 2024, 218, 1–14. [Google Scholar] [CrossRef]
- Yan, T.; Wu, L.; Liu, W. Adaptive event-triggered control for strict-feedback systems with time-varying parameters. Int. J. Robust Nonlinear Control 2024, 34, 3464–3480. [Google Scholar]
- Heemels, W.; Johansson, K.H.; Tabuada, P. An introduction to event-triggered and self-triggered control. In Proceedings of the 51st IEEE Conference on Decision and Control, Maui, HI, USA, 10–13 December 2012; IEEE: Piscataway, NJ, USA, 2012; pp. 3270–3285. [Google Scholar]
- Cai, X.; Shi, K.; Sun, Y.; Cao, J.; Wen, S.; Tian, Z. Intelligent event-triggered control supervised by mini-batch machine learning and data compression mechanism for TS fuzzy NCSs under DoS attacks. IEEE Trans. Fuzzy Syst. 2023, 32, 804–815. [Google Scholar] [CrossRef]
- Ge, X.; Han, Q.; Zhang, X.; Ding, D. Dynamic Event-triggered Control and Estimation: A Survey. Int. J. Autom. Comput. 2021, 18, 857–886. [Google Scholar] [CrossRef]
- Dhullipalla, M.H.; Yu, H.; Chen, T. A framework for distributed control via dynamic periodic event-triggering mechanisms. Automatica 2022, 146, 110548. [Google Scholar] [CrossRef]
- Tabuada, P. Event-triggered real-time scheduling of stabilizing control tasks. IEEE Trans. Autom. Control 2007, 52, 1680–1685. [Google Scholar] [CrossRef]
- Wang, X.; Lemmon, M.D. Event design in event-triggered feedback control systems. In Proceedings of the 47th IEEE Conference on Decision and Control, Cancun, Mexico, 9–11 December 2008; IEEE: Piscataway, NJ, USA, 2008; pp. 2105–2110. [Google Scholar]
- Lunze, J.; Lehmann, D. A state-feedback approach to event-based control. Automatica 2010, 46, 211–215. [Google Scholar] [CrossRef]
- Eqtami, A.; Dimarogonas, D.V.; Kyriakopoulos, K.J. Event-triggered control for discrete-time systems. In Proceedings of the 2010 American Control Conference, Baltimore, MD, USA, 30 June–2 July 2010; IEEE: Piscataway, NJ, USA, 2010; pp. 4719–4724. [Google Scholar]
- Ma, Y.; Wu, W.; Cui, B. Event-triggered feedback control for discrete-time piecewise-affine systems. Int. J. Syst. Sci. 2018, 49, 3377–3389. [Google Scholar] [CrossRef]
- Heemels, W.H.; Donkers, M.; Teel, A.R. Periodic event-triggered control for linear systems. IEEE Trans. Autom. Control 2012, 58, 847–861. [Google Scholar] [CrossRef]
- Lu, W.M.; Doyle, J.C. H∞ control of nonlinear systems: A convex characterization. IEEE Trans. Autom. Control 1995, 40, 1668–1675. [Google Scholar]
- Tronfi, A. Bi-quadratic stability of uncertain nonlinear systems. In Proceedings of the IFAC Symposium on Robust Control Design, Prague, Czech Republic, 21–23 June 2000. [Google Scholar]
- Parrilo, P.A. Structured Semidefinite Programs and Semialgebraic Geometry Methods in Robustness and Optimization. Ph.D. Thesis, California Institute of Technology, Pasadena, CA, USA, 2000. [Google Scholar]
- Chen, X.; Hao, F. Periodic event-triggered state-feedback and output-feedback control for linear systems. Int. J. Control. Autom. Syst. 2015, 13, 779–787. [Google Scholar] [CrossRef]
- Gallier, J. The Schur Complement and Symmetric Positive Semidefinite (and Definite) Matrices; Penn Engineering: Danboro, PA, USA, 2010; pp. 1–12. [Google Scholar]
- Papachristodoulou, A.; Anderson, J.; Valmorbida, G.; Prajna, S.; Seiler, P.; Parrilo, P. SOSTOOLS version 3.00 sum of squares optimization toolbox for MATLAB. arXiv 2013, arXiv:1310.4716. [Google Scholar]
- Prajna, S.; Papachristodoulou, A.; Seiler, P.; Parrilo, P.A. SOSTOOLS and its control applications. In Positive Polynomials in Control; Springer: Berlin/Heidelberg, Germany, 2005; pp. 273–292. [Google Scholar]
- Chesi, G. LMI techniques for optimization over polynomials in control: A survey. IEEE Trans. Autom. Control 2010, 55, 2500–2510. [Google Scholar] [CrossRef]
- Tan, W.; Packard, A. Stability region analysis using sum of squares programming. In Proceedings of the 2006 American Control Conference, Minneapolis, MN, USA, 14–16 June 2006; IEEE: Piscataway, NJ, USA, 2006; p. 6. [Google Scholar]
- Li, P.; Cao, J. Stabilisation and synchronisation of chaotic systems via hybrid control. Iet Control Theory Appl. 2007, 1, 795–801. [Google Scholar] [CrossRef]
Disclaimer/Publisher’s Note: The statements, opinions and data contained in all publications are solely those of the individual author(s) and contributor(s) and not of MDPI and/or the editor(s). MDPI and/or the editor(s) disclaim responsibility for any injury to people or property resulting from any ideas, methods, instructions or products referred to in the content. |
© 2025 by the authors. Licensee MDPI, Basel, Switzerland. This article is an open access article distributed under the terms and conditions of the Creative Commons Attribution (CC BY) license (https://creativecommons.org/licenses/by/4.0/).