Abstract
The escalating concern over environmental pollutants, particularly brominated flame retardants (BFRs), demands sophisticated detection methodologies for compounds like Tetrabromobisphenol A (TBBPA) and Hexabromocyclododecane (HBCD). Amidst these challenges, advancements in electrochemical detection have notably focused on the integration of inorganic modifiers within carbon electrodes. Inorganic nanoparticles, known for their catalytic and surface-enhancing properties, play a pivotal role in augmenting the sensitivity and selectivity of electrode-based detection systems. These modifiers, encompassing materials such as graphene, CeO2 nanocubes, and metal-organic frameworks, among others, have revolutionized the capabilities of carbon-based electrodes in accurately identifying specific BFRs.
1. Introduction
The accelerating pace of urbanization and industrialization worldwide has given rise to a dual challenge: an alarming escalation in environmental pollution alongside the rapid depletion of natural resources. Addressing the presence of organic contaminants, particularly brominated flame retardants, within wastewater has become a critical concern in the pursuit of a cleaner, more sustainable environment [1,2,3,4,5]. Among these flame retardants, Hexabromocyclododecane (HBCD) [6] and Tetrabromobisphenol A (TBBA) emerge as focal points, demanding attention due to their chemical complexity and adverse environmental impact [7,8]. With its wide range of applications, HBCD—a persistent organic pollutant (POP) recognized for its toxicity, bioaccumulation, and resistance to degradation—finds its way into sediments, soils, and aquatic habitats. Concerns over the durability and influence of TBBPA on the environment are heightened by the fact that it is widely used in several industries and has similar dangerous qualities to HBCD.
The environmental landscape has a variety of sources of HBCD and TBBPA, primarily from industrial operations such as textile manufacturing, pesticide formulation, dye synthesis, pharmaceutical production, paper manufacturing, and natural degradation processes. Furthermore, despite legal restrictions in many nations, their historical use as wood preservatives and cleaners has kept them present in wood-based products [1,6,7,8].
Multiple bromine atoms in the chemical structures of TBBPA and HBCD allow them to diffuse far over environmental matrices before being absorbed by soil microorganisms and then by plants. Their varied half-lives under various environmental circumstances highlight their bioaccumulation potential, persistence, and range of toxicity levels. Their breakdown products persist in several environmental compartments, which explains why they are still found in soil, sediments, water samples, and goods obtained from animals [9].
Brominated flame retardants are harmful to ecosystems and human health; hence, it is critical to concentrate on sensing technology that can identify TBBPA and HBCD. Sensing techniques seek to provide reliable procedures to detect and measure these pollutants in various environmental media and food items, including fish, eggs, and milk. The increasing use of consumables containing TBBPA and HBCD highlights the need for precise and dependable detection techniques, underscoring the significance of developing sophisticated sensing technologies.
The goal of this review is to compile key knowledge about sensing approaches for brominated flame-retardant detection, particularly HBCD and TBBA. This review intends to contribute to the development of trustworthy detection techniques that are essential for tracking and controlling the prevalence of HBCD and TBBA in our environment by illuminating the complexities of these pollutants and highlighting the critical need for novel sensing technologies.
2. Methods for Detection of Brominated Flame Retardants TBBPA and HBCD Detection
Several detection techniques have been developed to detect TBA and HBCDD in actual samples, considering their widespread distribution and different isomeric forms in different ecosystems. Mass spectrometry, X-ray crystallography, and chromatographic procedures are the mainstays of conventional organic pollutant extraction methods. Although these approaches are effective in detecting HBCDD and TBA, their inability to precisely distinguish between the isomers of HBCDD because of their various harmful effects makes chromatographic separation procedures intrinsically inefficient [7,10,11].
Furthermore, the conditions under which chromatographic procedures operate are limited; they work best at low temperatures, need specialized laboratory personnel, are expensive, and take a long time. To overcome these constraints, electrochemical methods—specifically DPV and CV—have received more attention. Three electrodes are used in electrochemical methods: the working electrode, the reference electrode, and the counter electrode. Materials such as mercury, silver, gold, graphite, platinum, or carbon-based compositions are included in the WE, which is essential for examining analyte reactions. Usually made of graphite or platinum wire, the AE completes the circuit and controls potential. The RE uses materials such as silver/silver chloride or saturated calomel electrodes (SCE) to measure potentials in other electrodes. Every substance and electrode has a distinct function in enabling electrochemical analysis.
Comparing voltammetric techniques to conventional detection devices, there are clear benefits. They are inexpensive, consume little current, are easy to use, show remarkable sensitivity and selectivity towards electroactive compounds, and can detect both organic and inorganic chemicals. Furthermore, by using small sample sizes and preserving analytical continuity, these methods enable testing in inert, dry conditions.
In conclusion, the increased focus on electrochemical approaches for the detection of TBBPA and HBCD represents a paradigm change from traditional chromatographic procedures. Voltammetric methods have several intrinsic advantages that make them a viable tool for accurately and efficiently identifying these dangerous substances in environmental matrices. These advantages include cost-effectiveness, convenience of use, improved sensitivity, and adaptability in detecting different molecular types.
3. Voltammetric Detection of Brominated Flame Retardants
A key component of analytical chemistry, a voltage measurement is a specialized area of electroanalytical techniques with many industrial applications. To obtain vitalsupervision information about an analyte while causing changes in the potential, this method depends on measuring the current. During voltammetric investigations, the resulting voltammogram—a graph that shows the current generated by the analyte against the voltage supplied to the working electrode—provides crucial analytical insights. The potentiostat, a tool that can apply different potentials to the working electrode concerning a reference electrode—such as the widely used Ag/AgCl electrode—is essential to these studies. The ensuing current flow caused by the electrode interaction is simultaneously measured by this device.
Essentially, voltammetric methods apply reducing and/or oxidizing potentials based on the analysis that is being carried out. The current that results from a reduction is called a cathodic current, and the current that is detected during an oxidation is called an anodic current. Important markers of the voltammetric reactions occurring at the electrode interface are these unique currents. The voltage profiles obtained, which are essential for clarifying the analyte’s electrochemical behavior, differ according to the specific voltammetric method used.
There are a range of voltammetric methods available, each designed to meet particular analytical requirements. The present unit aims to clarify two widely used methods in the field of voltammetry: DPV and CV.
Cyclic Voltammetry: CV is the process of recording the current that results from introducing a series of different potentials to the working electrode. This periodic change in potential, which usually takes the form of a forward and reverse scan, offers important insights into the kinetics of electron transport, redox reactions, and the behavior of electroactive species. Because CV can show both reversible and irreversible redox reactions, it is a very beneficial tool for learning about the properties and behaviors of a wide range of substances.
Differential Pulse Voltammetry: This method allows for increased sensitivity and selectivity in the detection of electroactive species by applying discrete potential pulses on top of a linear potential ramp. DPV reduces background currents by using small potential increments, which makes it possible to determine peak potentials and identify trace analytes with exceptional sensitivity.
4. Advantages of Carbon Electrodes in Voltammetric Sensing
Voltammetric sensing is a powerful electroanalytical technique widely used for detecting and quantifying chemical species in various fields, including environmental monitoring, biomedical diagnostics, and food safety. The choice of electrode material is crucial for the sensitivity, selectivity, and overall performance of voltammetric sensors. Among the available electrode materials, carbon electrodes have garnered significant attention due to their unique properties and advantages over traditional metal electrodes such as platinum, gold, and silver [12,13,14,15,16,17].
- Wide potential window: One of the primary advantages of carbon electrodes is their wide potential window in aqueous solutions. This wide potential window allows carbon electrodes to operate over a broader range of potentials without interference from the oxidation or reduction of the solvent, which is a common issue with many metal electrodes. For instance, platinum and gold electrodes have narrower potential windows in aqueous environments, limiting their applicability in detecting certain analytes. The broad potential window of carbon electrodes enables the detection of a diverse array of electroactive species, enhancing the versatility and scope of voltammetric sensing.
- Low background currents: Carbon electrodes exhibit low background currents, which significantly enhances the signal-to-noise ratio in voltammetric measurements. Background currents can obscure the analytical signals of interest, reducing the sensitivity and reliability of the sensor. Metals like platinum and gold often show higher background currents due to their catalytic activity and surface interactions. The inherently low background currents of carbon electrodes, such as glassy carbon and pyrolytic graphite, make them particularly suitable for detecting low concentrations of analytes with high precision.
- Chemical stability: The chemical stability of carbon materials in various environments is another key advantage. Carbon electrodes are resistant to corrosion and oxidation, even in harsh chemical conditions. In contrast, metal electrodes, especially silver and copper, are prone to surface oxidation and corrosion, which can deteriorate their performance over time. This stability makes carbon electrodes ideal for long-term and repeated use in voltammetric sensing applications, ensuring consistent and reliable performance.
- Ease of surface modification: Carbon electrodes offer remarkable ease of surface modification, allowing for the functionalization with a wide range of chemical groups, polymers, and nanoparticles. This versatility enables the development of tailored sensing interfaces with enhanced selectivity and sensitivity. For example, modifying carbon electrodes with specific functional groups can create selective binding sites for target analytes, improving the sensor’s ability to distinguish between similar chemical species. Metal electrodes, while also modifiable, often require more complex and less stable modification procedures. The robustness and simplicity of modifying carbon surfaces are advantageous for creating highly specific and sensitive voltammetric sensors.
- Cost-effectiveness: Carbon materials are generally more cost-effective than noble metals like platinum and gold. The lower cost of carbon electrodes facilitates their widespread use and accessibility, making them an attractive option for large-scale and low-cost applications. The economic advantage of carbon electrodes is particularly significant in environmental monitoring and public health scenarios, where deploying numerous sensors might be necessary to obtain comprehensive data.
- Biocompatibility: Biocompatibility is a critical factor in biosensing applications, where the electrode material must not adversely affect biological samples or provoke immune responses. Carbon electrodes are known for their excellent biocompatibility, making them suitable for detecting biological molecules and pathogens. Metal electrodes, especially those not coated with biocompatible layers, can sometimes exhibit biofouling or toxic effects, complicating their use in biological and medical contexts. The biocompatibility of carbon electrodes ensures safer and more effective integration into biosensing platforms.
- Enhanced electrocatalytic properties: Recent advancements in nanotechnology and material science have led to the development of carbon-based nanomaterials such as graphene, carbon nanotubes (CNTs), and carbon quantum dots (CQDs). These nanomaterials exhibit exceptional electrocatalytic properties, significantly enhancing the performance of carbon electrodes in voltammetric sensing. For example, graphene and CNTs provide a high surface area, excellent electrical conductivity, and rapid electron transfer kinetics, which are crucial for sensitive and rapid detection of analytes. These properties are often superior to those of traditional metal electrodes, making carbon-based nanomaterials highly effective in improving the sensitivity and selectivity of voltammetric sensors.
- Environmental sustainability: The environmental impact of electrode materials is an increasingly important consideration. Carbon electrodes are generally more environmentally sustainable than metal electrodes. The extraction and processing of noble metals like gold and platinum involve significant environmental degradation and energy consumption. In contrast, carbon materials can be sourced and processed with a lower environmental footprint. Moreover, the recyclability and reusability of carbon electrodes further enhance their environmental credentials, aligning with the growing emphasis on sustainable and green technologies.
- Versatility in design and application: The versatility of carbon materials allows for innovative electrode designs and applications. Carbon electrodes can be fabricated in various forms, including thin films, microelectrodes, and nanostructures, tailored to specific sensing requirements. This flexibility enables the development of miniaturized and portable sensing devices, which are essential for on-site and real-time monitoring. Metal electrodes, while also versatile, often face limitations in miniaturization and fabrication techniques. The ability to design carbon electrodes in diverse configurations expands the possibilities for creating advanced voltammetric sensors with enhanced functionality and user-friendliness.
4.1. Voltammetric Detection of Brominated Flame Retardants Using Glassy Carbon Electrodes
4.1.1. Voltammetric Detection of TBBPA Using Glassy Carbon Electrodes
Glassy carbon electrodes (GCE) have become indispensable tools in sensor technology, celebrated for their exceptional attributes that enable precision in detecting a wide array of substances. Recent scholarly investigations have delved into the intricate nuances of these electrodes, particularly in their role in identifying phenolic pollutants like TBBPA.
Yuanyuan Zhang and the team [18] embarked on a quest to pinpoint the perfect materials that could sense phenolic toxins like TBBPA, catechol (CC), diethylstilbestrol (DES), and nonylphenol (NP) with precision. Their method involved creating CeO2 nanocubes, nanopolyhedras, and nanorods through a hydrothermal process, and then placing these materials onto graphene nanoplatelets. They delved into the CV response of TBBPA in a 0.1 M pH 6.0 phosphatehosphate-buffered solution (PBS), as shown in Figure 1.
Figure 1.
CVs showcasing 1 mM TBBPA on various modified GCE surfaces in a 0.1M pH 6.0 PBS Scan rate 0.1 Vs−1. Reprinted with permission from [18].
What emerged was an oxidation peak at 0.575 V on a GCE, hinting at a sluggish electron transfer process as the current remained limited. There were no reduction peaks, signaling an irreversible electrode reaction. However, when they switched to a GNP/GCE, the oxidation peak moved to 0.543 V with a notably boosted current due to the larger surface area. Moving to CeO2/GNP/GCEs elevated the peak currents even more and nudged the potentials into negative values, showcasing the advantageous traits of CeO2 nanomaterials, such as their ample surface area and catalytic activity in oxidizing TBBPA. Remarkably, the CeO2 nanorod/GNP/GCE boasted the maximum peak current among all tested electrodes, marking it as the most efficient electrode for electrochemically detecting TBBPA. Among these composites, the CeO2 nanorod/GNP showed remarkable electrochemical sensing capabilities, effectively detecting TBBA in lake water samples with a LOD of 2.7 nm.
Concurrently, Nianjun Yang et al. [19] explored the simultaneous detection of multiple phenols (TBBPA, CC, and HQ) using expanded graphite decorated with carbon-coated palladium oxide nanoparticles modified GCE. Their work achieved detection limits of 1.3, 26, and 17 nM for TBBPA, HQ, and CC, respectively, demonstrating the potential for nano-molar level detection in individual and simultaneous sensing scenarios. To measure TBBPA, Zhaohui Zhang et al. [20] created a unique imprinted GCE based on nickel nanoparticles with graphene. The modified GCE showed a LOD of 1.3 nM, and the created sensor demonstrated excellent sensitivity and selectivity towards TBBPA. The authors utilized EIS to demonstrate nickel nanoparticles-graphene nanocomposites enhanced electron transfer rate when used in GCE modifications. Figure 2 depicts the EIS results of Ni/GP/CE (Figure 2), MIP/Ni/GP/CE before elution Inset of Figure 2 and MIP/Ni/GP/CE after TBBPA removal (Figure 2c) in the vicinity of 1.0 × 10−3 mol L−1 Fe(CN)63−/4−. Figure 2c has good charge transfer resistance. This reduction in resistance was due to the elution of the TBBPA template, increasing the electron transfer rate. The increased electrochemical properties of the Ni nanoparticles and the hybrid modified surface of graphene were identified as the causes of the nickel and graphene. The platform offers the benefits of selective detection, which is crucial for TBBPA sensing, including simplicity, efficiency, and specific assays. This work may offer a universal procedure for the synthesis of hybrid-modified chemical sensors based on graphene and nickel nanoparticles for the selective and targeted sensing of persistent environmental contaminants. To detect TBBPA, the authors also altered GCE by employing molecularly imprinted polymers with rGO amine-terminated benzene diazonium. SEM was used to characterize the morphologies of the imprinted sensor and to examine its electrochemical properties using CV. The successful use of indirect detection for TBBPA involved the monitoring of the peak current of the Fe(CN)63−/4− TBBPA complex. With a LOD of 0.23 nM, the imprinted sensor’s response currents showed a linear relationship towards the TBBPA concentration range of 0.5 to 4.5 nM.
Figure 2.
Electrochemical impedance spectroscopy of modified GCEs. Inset: Randles circuite circuit for impedance plots. Reprinted with the permission from Ref. [20]. (a) GP/CE, (b) MIP/Ni/GP/CE without elution and (c) MIP/Ni/GP/CE after NP removed in the presence of 1.0 × 10−3 mol L−1 of Fe(CN)63−/4−.
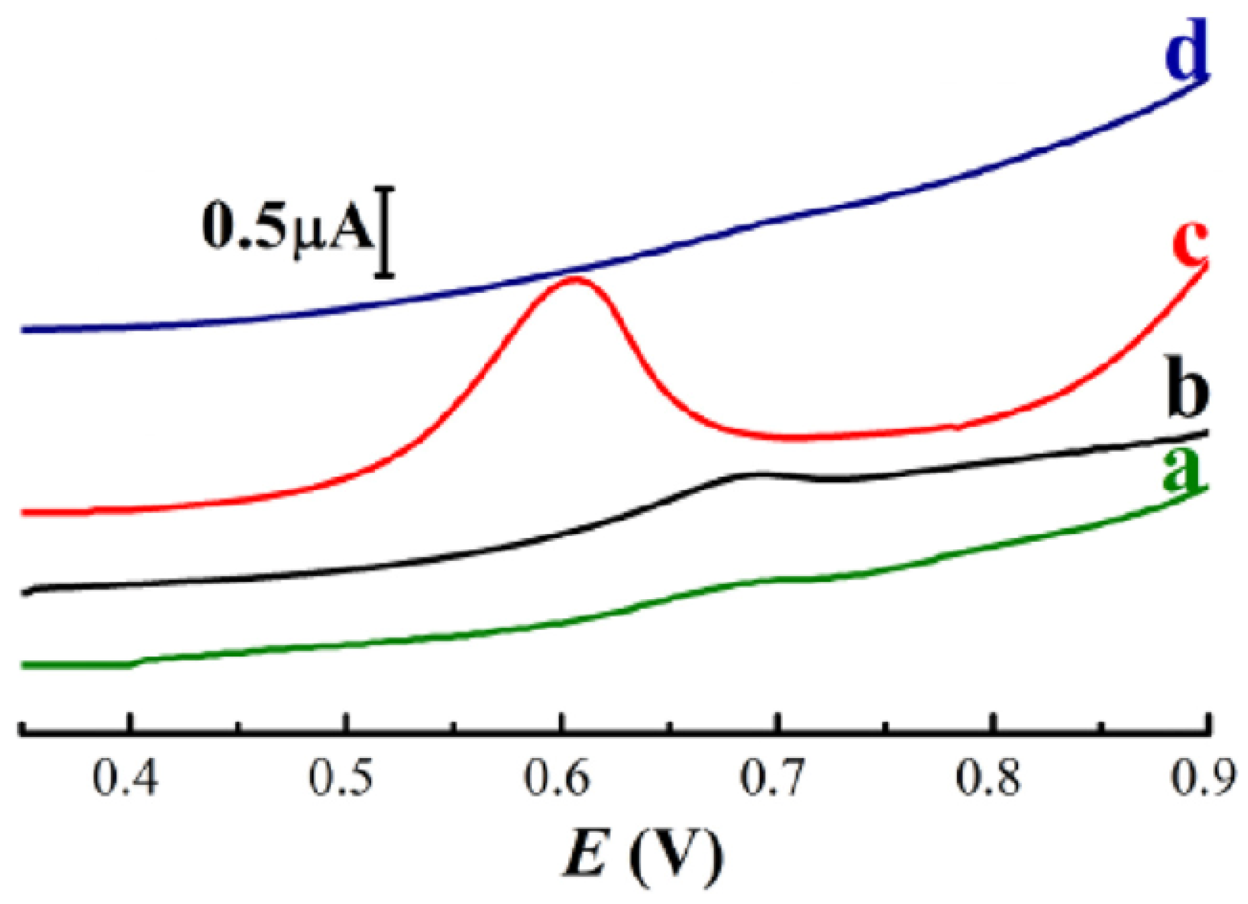
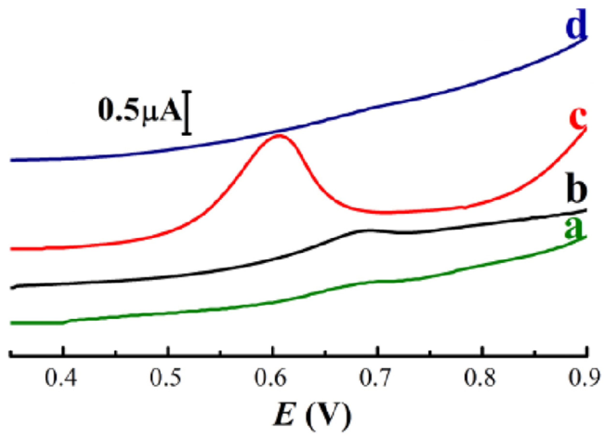
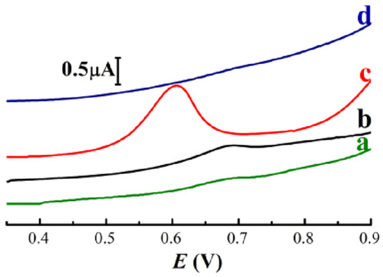
When 2-mercapto-benzothiazole (MBT) and MBT with distinct groups on the C-6 site are present at the interface of voltammetrically produced gold nanoparticles (AuNPs), electrochemical behaviors of TBBPA on the AuNPs were examined [21]. It was discovered that the substitution groups on the MBT molecule’s C-6 position had a significant impact on TBBPA’s oxidation activity. The researchers utilized DPV to illustrate how MBT and EMBT supervisionenhance catalytic activities at the GCE interface.
The DPV outcomes, displayed in Figure 3, revealed distinct findings. Initially, the oxidation peak of TBBPA at the AuNPs-4 surface was comparatively sluggish (curve a). However, with MBT, there was a noticeable improvement attributed to the combined efforts between TBBPA and the benzothiazole ring (curve b). Furthermore, the results demonstrated that the TBBPA oxidation at AuNPs-4 was heightened in the presence of EMBT, as evident from curve (c). Conversely, the presence of NMBT resulted in a decrease in the oxidation wave, as depicted in curve (d). Experiments using double potential-step chronocoulometry showed that the replacement groups affected TBBPA’s capacity to accumulate on the surface of AuNPs. A very sensitive electrochemical sensing platform for TBBPA was created based on the substitution group-related signal amplification technique. The LOD was 7.2 ng L−1, or 13.2 pM, and the linear range was 20.0 ng L−1 to 40.0 mg L−1. Wastewater and e-waste both used this innovative sensor method.
Figure 3.
DPV at the AuNPs surface with different conditions. [TBBPA on AuNPs-4 surface (curve a), in the presence of 1.50 μM MBT (curve b), EMBT (curve c), and NMBT (curve d)] Reprinted with the permission from [21].
For TBBPA sensing, Qing Lu et al. adjusted the GCE derived from graphitic carbon nitride (g-C3N4) [22]. The structural and electrochemical analysis indicated that g-C3N4’s electrochemical performance was significantly influenced by the nitrogen component that resembles graphite. Using the modified electrode, TBBPA was measured up to a 5 nM detection limit. Jizhou Jiang et al. [23] also employed photoelectrochemical sensing to detect TBBPA using g-C3N4. However, NiO and Co3O4 were used by the authors as modifiers. In contrast to pure g-C3N4, the NiO/Co3O4/g-C3N4 nanocomposites showed increased photocurrent and donor density, which led to a higher photoelectrochemical activity to identify TBBPA in real water samples with high sensitivity.
Kangbing Wu et al. [24] innovated a rapid, sensitive sensing system for TBBPA, crafting a composite film (AuNPs-PSSA) on GCE via CV scanning, combining gold nanoparticles (AuNPs) and poly(sulfosalicylic acid) (PSSA). Their electrochemical tests showcased the film’s amplified active surface area, reduced charge transfer resistance, and increased efficacy for TBBPA compared to individual AuNPs and PSSA films. Consequently, the AuNPs-PSSA surface significantly boosted TBBPA oxidation signals and sensing sensitivity. This platform, boasting a LOD (25 pM) and broad linear range (0.1–10 nM), effectively measured TBBPA levels in wastewater, aligning closely with high-performance liquid chromatography findings. Furthermore, the team developed a polydopamine-imprinted electrochemical sensor [25]. By electropolymerizing dopamine on GCE in the presence of the TBBPA molecule, they created an imprinted film. This film markedly amplified TBBPA oxidation signals due to its robust accumulation ability. Their study scrutinized electropolymerization conditions and revealed a sensing platform with exceptional reproducibility, high sensitivity, selectivity, and a LOD (0.27 nM). In a separate venture, Kangbing Wu et al. [26] employed differential pulse voltammetry (DPV) to design electrochemical sensors for TBBPA detection in wastewater, utilizing DDAB-GS modification. They synthesized graphene nanosheets (GS) and assembled them on a glassy carbon electrode, creating a DDAB-GS composite sensing film. This composite film exhibited remarkable enhancements in TBBPA oxidation signals, achieving a sensitive electrochemical detection method at the pM level. Additionally, their investigation into long alkyl-chained surfactants uncovered varying signal enhancement capacities for TBBPA oxidation, with DODMA demonstrating heightened activity, leading to the development of a highly selective and sensitive electrochemical electrodes. Qing Lu et al. [27] modified a GCE using nitrogen-doped graphene and pyrenetetrasulfonic acid tetrasodium salt composite, enhancing oxidation current response via CTAB enrichment of TBBPA on the electrode surface. This method effectively detected TBBPA in water samples, showing agreement with HPLC results. Similarly, other researchers like Qingxiang Zhou et al. [28] (magnetic carbon dots CTAB), Yuanhui Wu et al. [29] (AuNPs), and Feng Zhou et al. [30] (carbon nanotube–Fe3O4 hybrid), utilized various modifications and different composite materials to enhance the electrochemical signal and detection of TBBPA. Incorporating inorganic nanoparticles into electrode modifications has emerged as a pivotal strategy in enhancing the precision and sensitivity of electrochemical sensing methodologies, particularly in detecting challenging pollutants like TBBPA. The integration of inorganic nanomaterials, such as CeO2 nanocubes, nanopolyhedras, and nanorods, among others, has significantly augmented electrode performance. These inorganic modifiers play a crucial role in amplifying the electrode’s surface area, catalytic activity, and electron transfer rates, resulting in markedly heightened detection sensitivity and efficiency for TBBPA and similar phenolic compounds. For example, the utilization of CeO2 nanorods combined with graphene nanoplatelets yielded the most efficient electrode, exhibiting maximal peak currents and superior electrochemical properties, enabling the ultra-sensitive detection of TBBPA, even at trace levels in environmental samples. Diverse inorganic-modified electrodes, from nickel nanoparticle-graphene hybrids to gold nanoparticle-based films, have showcased exceptional electrochemical characteristics, achieving remarkable detection limits in the nano to pico-molar range for TBBPA. This underscores the critical role of inorganic modifications in revolutionizing the precision, selectivity, and effectiveness of electrochemical sensors dedicated to detecting environmental contaminants with high similarity index.
4.1.2. Voltammetric Detection of HBCD Using Glassy Carbon Electrodes
Currently, there are no specific papers available under the title of “HBCD Detection by Electrochemical Methods”. However, a limited number of articles have been published focusing on the dehalogenation of bromine from HBCD. In these studies, the identification or electrochemical characterization of HBCD is possible through the examination of cyclic voltammograms. These voltammograms typically exhibit peaks related to Br- oxidation or the reduction of HBCD. Through these peaks, one can gain insights or electrochemically distinguish the presence of HBCD. L. Baron et al. [31] employed a GCE as the working electrode for the detection of HBCD utilizing the CV technique. The supporting electrolyte utilized in this study was dimethylformamide (DMF), augmented by two catalysts: cobalt tetraphenylporphyrin (CoTPP) and cobalamin, which facilitated the reduction of HBCD. Within the DMF solution, the reduction of HBCD exhibited a distinctly clear reduction wave, peaking at −2.0 V, and a subsequent wave appeared at +0.77 V during the reverse scan. The intensity of this wave was primarily gauged by the duration following the reduction of HBCD, with the wave potentially dissipating over prolonged periods. Upon the addition of bromine, an anion oxidation was observed, marked by a minor reduction peak around 0 V, attributable to the reduction of bromine. It was noted that when scanning commenced towards the anodic potential from 0 V, no anodic process was discernible, signifying ongoing debromination (potentially aiding in the calculation of HBCD concentration). The utilization of the catalyst cobalt tetraphenylporphyrin (CoTPP) notably enhanced the electrochemical reduction of HBCD by more than 1V, substantiating its catalytic activity. Furthermore, the presence of a bromine atom in HBCD was shown to induce debromination in both catalyzed and uncatalyzed processes. The altered form of the catalytic degradation wave indicated subsequent reduction stages. Upon reduction, the half-debromination products of HBCD were found to be more reactive, resulting in a hydrocarbon devoid of coupled bromine atoms. Moreover, the dehalogenation of HBCD was observed via a cobalamin enzyme catalyst, affirming the reduction of HBCD through high cathodic potentials. The authors concluded that HBCD, comprising three adjacent pairs of bromine atoms, undergoes debromination through two sequential steps, each occurring at distinct potential levels. The reduction pathway of HBCDD revealed degradation, initially forming dibromocyclododecadiene (DBCD) and cyclododecatriene (CDT).
D.G. Petrs et al. [32] conducted a study on the electrochemical reduction of HBCD using both a silver cathode and GCE in DMF with 0.10 M tetramethylammonium tetrafluoroborate (TMABF4) as the electrolyte. Employing CV, the authors aimed to detect HBCD. Their observations revealed a prevalent Ipc at −1.28 V alongside a minor peak at −2.12 V when utilizing the GCE. However, with the implementation of silver electrodes, they noted a singular cathodic peak. The authors associated the dominant Ipc with the reduction of HBCD, suggesting its potential use in HBCD sensing due to its consistent appearance and correlation with the compound. The following year, the same research group delved into the electrocatalytic degradation of HBCD by Ni(I) salen, at a GCE. This was accomplished through both CV and controlled-potential (bulk) electrolysis conducted in DMF with 0.10 M TMABF4 as the electrolytic solution. Their findings indicated that the reduction of HBCD by Ni(I) salen proved to be energetically feasible compared to the direct reduction of HBCD at a GCE. However, this method exhibited less energetic feasibility compared to the direct reduction of HBCD at a silver electrode.
S. Yakubu et al. [33] have crafted a novel indirect competitive electrochemical immunosensor to identify tetrabromobisphenol A (TBBPA), a hazardous brominated flame retardant prevalent in the environment. This sensor incorporates an advanced signal amplification mechanism, utilizing MnO2/Pd nanosheets for secondary antibody labeling and a MWCNTs/Au-TB composite as the sensing base. The MnO2/Pd nanosheets provide numerous catalytic sites, boosting the catalytic activity and thereby enhancing the signal. Concurrently, the MWCNTs/Au-TB composite facilitates efficient electron transfer and creates a robust signaling pathway for antigen attachment. This sensor operates within a linear detection range of 0 to 81 ng/mL, with a notably low detection limit of 0.17 ng/mL. Amperometry was a key technique in evaluating the sensor’s performance. Initially, electrodes were placed in PBS and stirred, followed by amperometric i-t analysis. The electrodes were then immersed in H2O2 solution, and the resulting current intensity was recorded, helping to establish a standard curve. Analytical tests showed the sensor’s high stability, selectivity, reproducibility, and significant accuracy in real water sample tests. The regression analysis indicated a strong correlation coefficient of 0.994, signifying dependable performance. In summary, this enzyme-free signal amplification approach, marked by its heightened sensitivity and stability, represents a substantial improvement in TBBPA detection, and is a promising tool for monitoring environmental pollutants. The LOD values of different GCEs are compared in Table 1.
Table 1.
Summary of electrochemical methods for detecting tetrabromobisphenol A using GCE.
4.1.3. Voltammetric Detection of TBBA Using Carbon Paste Electrodes
Carbon paste electrodes (CPEs) serve as adaptable tools in electrochemical analysis, comprising a blend of carbon materials and a binding agent, typically paraffin oil. Their straightforward preparation and inherent electrical conductivity allow for precise measurements of various analytes. These electrodes find extensive use across diverse fields, prominently in environmental monitoring and biomedical research, owing to their versatility in detecting contaminants in different mediums like soil, water, and air samples. Moreover, their capacity for modification and customization ensures their continual relevance in advancing scientific understanding and applications, providing a flexible platform for innovation and exploration in electrochemistry.
Qiang Zhao et al. [39] fabricated a Carbon Paste Electrode (CPE) employing graphite powder as a carbon source and paraffin oil as a binding agent. They enhanced this CPE by modifying it with carbon nitride-N butylpyridinium hexafluorophosphate, resulting in improved electrochemical sensing capabilities. This enhancement is attributed to augmented charge transfer reactions within the carbon nitride–graphite composite, facilitated by the N butylpyridinium hexafluorophosphate ionic liquid. The modified electrode demonstrated excellent TBBPA detection using differential pulse voltammetry, detecting concentrations ranging from 1 nM to 30 nM and 30 to 500 nM with a LOD of 0.4 nM. Its appeal lies in its straightforward, environmentally friendly preparation methods and its potential for detecting TBBPA in real samples. Shijin Yu et al. [40] devised a simple, sensitive, and precise method for TBBPA determination by leveraging the enhancement effects of CTAB. Initially, the CPE exhibited low oxidation activity for TBBPA, resulting in weak signals. However, upon the addition of CTAB, significant improvement in the TBBPA oxidation wave on the CPE surface was observed. CTAB augmented electron transfer ability and surface accumulation efficiency, leading to substantial signal amplification and heightened detection sensitivity. This modified electrode boasted a LOD of 0.99 nM and successfully detected TBBPA in simulated water samples, exhibiting recovery values between 95.74% to 102.6%. Guangxia Yu et al. [41] produced a CPE employing acetylene black as a replacement for graphite powder and utilizing paraffin oil as a binder. Their modification involved employing the metal–organic framework PCN-222(Fe), known for its higher surface area with good pore volume. This framework facilitated intense TBBPA adsorption from aqueous solutions, significantly enhancing the sensor’s sensitivity. Under optimized conditions, their sensor exhibited a linear detection range of 0.001–1.0 mmol L−1 with a LOD as low as 0.57 nmol L−1. Notably, this sensor effectively detected TBBPA in water samples, presenting a promising practical application, showcasing an innovative approach by utilizing acetylene black as a carbon source.
Peng Wang et al. [42] modified carbon paste electrodes by incorporating carbon nanotubes (CNT) and zeolitic imidazole framework-67 for TBBPA determination, also utilizing acetylene black as a carbon source. Their electrochemical impedance spectroscopy (EIS) revealed reduced resistance when CNT and zeolitic imidazole framework-67 were combined within acetylene black. Furthermore, the addition of perfluorodecanoic acid enhanced TBBPA detection. This sensor exhibited stability, reproducibility, and a linear detection range of 0.01–1.5 mM with a 4.2 nM detection limit. The authors successfully applied this sensor to detect TBBPA in rain and pool water. Qing Lu et al. [43] modified an acetylene black paste electrode using 3-(N, N-Dimethylpalmitylammonio) propanesulfonate (SB3-16). Their modification significantly enhanced the CV oxidation peak of TBBPA compared to unmodified electrodes. The authors made an interesting comparison between an acetylene black (AB)-made CPE they called ABPE, a graphite paste electrode called CPE, an SB3-16 modified CPE called SB3-16-CPE, and an SB3-16 modified ABPE called SB3-16-ABPE. The below figure compares the CV of all working electrodes. From the CV the combination of SB3-16 and ABPE was identified as a highly efficient electrocatalyst, improving the electrochemical behavior of TBBPA because of the synergistic effect of AB and SB3-16. This combination facilitated the sensitive detection of TBBPA, showcasing potential applications in TBBPA detection and analysis. This electrode exhibited a LOD of 0.4 nM and displayed promising performance in detecting TBBPA in pond water. The synergy between organic and inorganic materials in electrode modifications has significantly enhanced the efficiency and sensitivity of electrochemical sensors, particularly in detecting complex pollutants like TBBPA. Researchers have strategically employed both organic carbon paste electrodes (CPEs) and incorporated various inorganic elements, such as carbon nitride-N butylpyridinium hexafluorophosphate, metal-organic frameworks like PCN-222(Fe), carbon nanotubes (CNTs), zeolitic imidazole framework-67, and 3-(N, N-Dimethylpalmitylammonio) propanesulfonate (SB3-16), to amplify the electrochemical capabilities of these sensors. These inorganic modifications play a crucial role in enhancing charge transfer reactions, increasing surface area, and improving adsorption and electron transfer abilities within the composite electrodes. Consequently, the modified electrodes demonstrate impressive detection ranges, low limits of detection (LOD), and heightened sensitivity toward TBBPA, showcasing their potential for practical applications in real sample analysis. This integration of inorganic nanoparticles alongside organic components underscores the pivotal role of inorganic modifications in boosting the precision and effectiveness of electrochemical sensors for detecting environmental contaminants with remarkable accuracy and reliability. The LOD values of different CPEs are compared in Table 2.
Table 2.
Summary of electrochemical methods for detecting tetrabromobisphenol A using CPE.
5. Advantages of Inorganic Nanoparticles at Carbon Electrode Interface for Sensing TBPA and HBCD
Inorganic nanoparticles play a pivotal role in advancing electrochemical sensing methodologies due to their unique properties such as high surface area, excellent conductivity, and tunable surface chemistry. These nanoparticles are often integrated into electrode surfaces to enhance sensitivity, selectivity, and stability in detecting analytes like brominated flame retardants (BFRs), such as Tetrabromobisphenol A (TBBPA) and Hexabromocyclododecane (HBCD). By modifying electrode surfaces with inorganic nanoparticles, researchers have achieved improved electrochemical performance, enabling lower detection limits and enhanced robustness against interferences commonly encountered in environmental samples.
Specifically, inorganic nanoparticles such as gold nanoparticles (AuNPs), silver nanoparticles (AgNPs), and metal oxides (e.g., titanium dioxide (TiO2), iron oxide (Fe3O4)) have been extensively studied and applied in electrochemical sensors for BFR detection. These nanoparticles not only facilitate electron transfer kinetics, but also provide active sites for specific molecular interactionns, thereby amplifying the sensor’s analytical capabilities.
Moreover, the integration of inorganic nanoparticles in sensor designs allows for the development of multifunctional platforms capable of simultaneous detection of multiple analytes, which is critical in environmental monitoring applications. Furthermore, advancements in nanotechnology have enabled the fabrication of nanostructured electrodes with tailored properties, offering new avenues for enhancing sensor performance in terms of stability and reproducibility.
6. Non-Carbon Electrode for TBBPA Activity
Micro galvanic surface reconstruction for electrochemical debromination: Youqun Chu et al. [46] have engineered a Cu-Zn/Cu-foam electrode for the electrochemical reduction of tetrabromobisphenol A (TBBPA). This advanced electrode is fabricated through cathodic electrodeposition followed by a galvanic exchange process, which deposits copper nanoparticles (Cu NPs) onto a zinc electrode, creating a Cu-Zn composite. The morphology and electrochemical properties of the electrode were characterized using scanning electron microscopy (SEM), X-ray diffraction (XRD), cyclic voltammetry (CV), Tafel plots, and galvanostatic electrolysis.
The deposition of Cu NPs on the zinc surface increases both the corrosion current and the electrochemical active surface area (ESCA), thereby enhancing the reduction activity for TBBPA. In tests using a 10 mmol/L TBBPA solution, the electrode achieved near-complete degradation of TBBPA within an hour, with a 92% yield of bisphenol A (BPA) after three hours. The Cu-Zn/Cu-foam electrode demonstrated excellent stability, maintaining its electrocatalytic activity through ten cycles. This stability is attributed to the formation of a more uniform surface with CuZn5. The researchers propose that the micro galvanic surface reconstruction of zinc offers a promising approach for TBBPA removal in aqueous environments.
Electrochemical characterizations involved testing the electrode using a three-electrode system, with a Hg/HgO reference electrode and a platinum counter electrode. The electrolyte solution contained CTAB and NaOH, and the concentration of TBBPA was 10 mmol/L. Constant current electrolysis was conducted in a 30 mL undivided cell with a graphite rod as the anode. Degradation products were analyzed using high-performance liquid chromatography (HPLC) and nuclear magnetic resonance (NMR) spectroscopy.
This study highlights the efficiency and stability of the Cu-Zn/Cu-foam electrode for TBBPA debromination, underscoring its potential application in treating halogenated pollutants in water.
Humic acid-assisted biodegradation in bioelectrochemical systems: Yingwen Chen et al. [47] explored the effects of humic acid (HA) on the co-metabolic biodegradation of TBBPA in bioelectrochemical systems (BES). HA, a typical organic component, was investigated for its stimulatory impact on TBBPA degradation efficiency, intermediate metabolite formation, and microbial diversity.
In the BES-HA-T system, where HA was used as a stimulating factor, the highest biodegradation rate of TBBPA was 93.2%, indicating that HA significantly enhances TBBPA biodegradation. Analysis of intermediate metabolites suggested that HA modifies the metabolic pathway of TBBPA. Microbial diversity analysis revealed that HA positively influences the microbial community, particularly increasing the abundance of Trichococcus and Anaerolineaceae, which are essential for anaerobic TBBPA degradation. Additionally, Desulfobulbus, prevalent in the BES-HA system, enhanced the electrochemical performance of the system.
The electrochemical activity of anodic biofilms in BES was assessed using cyclic voltammetry (CV), employing a three-electrode system with the anode, a platinum counter electrode, and a calomel reference electrode. The potential was scanned between −0.5 V and +0.2 V at a sweep rate of 5 mV/s. HA maintained the electrochemical activity of the biofilm even at low TBBPA concentrations, improving the overall performance of the BES system.
These findings highlight the practical applications of HA in bioremediation efforts for TBBPA-contaminated environments, emphasizing the significance of specific microbial interactions and electrochemical conditions for effective pollutant degradation.
Mechanism of influence:
CeO2 nanocubes: CeO2 nanocubes enhance the electrochemical properties of electrodes through their high surface area and excellent catalytic activity. They facilitate the adsorption and electron transfer processes, thereby improving the sensitivity and lowering the detection limits for TBBPA.
Graphene: This offers a large surface area, high electrical conductivity, and strong mechanical strength. These properties enhance electron transfer rates and provide more active sites for the adsorption of TBBPA, leading to improved sensitivity and lower detection limits.
Polymers with molecular structure: Polymers, particularly those with tailored molecular structures, can provide specific binding sites for TBBPA, enhancing selectivity. They can also improve the stability and reproducibility of the electrode response.
7. Conclusions
A promising but unevenly explored field is revealed by the thorough investigation of electrochemical techniques for the detection of brominated flame retardants (BFRs), specifically Tetrabromobisphenol A (TBA) and Hexabromocyclododecane (HBCD). The research findings highlight notable advancements in improving detection sensitivity with carbon-based electrodes, but they also highlight areas that require more work. Research on TBA detection using glassy carbon electrodes (GCEs) has shown encouraging directions. Significant sensitivity increases have been achieved by a number of modifications, such as CeO2 nanocubes, graphene, and molecularly imprinted polymers, which allow for detection at extremely low concentrations in water samples. Nevertheless, the field of electrochemical HBCD detection is still poorly understood, mostly depending on cyclic voltammograms for indirect characterization. This restriction emphasizes the need for more in-depth research on HBCD detection techniques utilizing electrochemical methods. Notably, promising outcomes have been obtained when carbon paste electrodes (CPEs) are used for TBA detection. Carbon nitride, carbon nanotubes, and other material modifications have significantly increased sensitivity, enabling accurate detection even at low concentrations in actual water samples. The most promising results come from research using graphene or CeO2 nanocubes modified GCEs for TBA detection; these studies show remarkable sensitivity and low detection limits. These adjustments greatly enhance electrode performance, making it possible to identify TBA in various environmental sample types. Future research should focus on improving and developing electrochemical methods for HBCD detection. Additional research is necessary to enable accurate and dependable identification using direct methodologies specialized in HBCD detection. Furthermore, investigating new electrode configurations and cutting-edge materials can improve the TBA and HBCD detection techniques’ sensitivity and selectivity. Furthermore, there is still a tone of untapped potential for converting these approaches into useful applications for environmental monitoring in the actual world. In conclusion, even if the electrochemical detection of TBA using carbon-based electrodes has advanced significantly, HBCD detection still requires intensive and targeted investigation. Subsequent efforts ought to focus on improving techniques, investigating novel electrode alterations, and converting these developments into useful instruments for efficient environmental monitoring and mitigation.
Author Contributions
G.K.J. conceptualization, writing—review and editing; K.M. Editing and supervision. All authors have read and agreed to the published version of the manuscript.
Funding
This research was funded by Department of Sciences and Technology SERB-TARE SQUID-1989-GJ-4973.
Institutional Review Board Statement
Not applicable.
Informed Consent Statement
Not applicable.
Data Availability Statement
Not applicable.
Conflicts of Interest
The authors declare no conflicts of interest.
References
- Segev, O.; Kushmaro, A.; Brenner, A. Environmental impact of flame retardants (persistence and biodegradability). Int. J. Environ. Res. Public Health 2009, 6, 478–491. [Google Scholar] [CrossRef] [PubMed]
- Chauhan, A.; Rana, G.; Dutta, V.; Kumari, A.; Krishna Rao, S.; Subbarayan, R.; Ravi, K.; Selvaraj, S.; Ghotekar, S. Recent trends in phyto-mediated iron-based nanomaterials for environmental remediation and biomedical applications. Inorg. Chem. Commun. 2024, 160, 111976. [Google Scholar] [CrossRef]
- Sharma, A.; Kumar, N.; Sillanpää, M.; Makgwane, P.R.; Kumar, S.; Kumari, K. Carbon nano-structures and functionalized associates: Adsorptive detoxification of organic and inorganic water pollutants. Inorg. Chem. Commun. 2022, 141, 109579. [Google Scholar] [CrossRef]
- Lam, J.C.W.; Lau, R.K.F.; Murphy, M.B.; Lam, P.K.S. Temporal Trends of Hexabromocyclododecanes (HBCDs) and Polybrominated Diphenyl Ethers (PBDEs) and Detection of Two Novel Flame Retardants in Marine Mammals from Hong Kong, South China. Environ. Sci. Technol. 2009, 43, 6944–6949. [Google Scholar] [CrossRef] [PubMed]
- Covaci, A.; Gerecke, A.C.; Law, R.J.; Voorspoels, S.; Kohler, M.; Heeb, N.V.; Leslie, H.; Allchin, C.R.; de Boer, J. Hexabromocyclododecanes (HBCDs) in the Environment and Humans: A Review. Environ. Sci. Technol. 2006, 40, 3679–3688. [Google Scholar] [CrossRef] [PubMed]
- Marvin, C.H.; Tomy, G.T.; Armitage, J.M.; Arnot, J.A.; McCarty, L.; Covaci, A.; Palace, V. Hexabromocyclododecane: Current Understanding of Chemistry, Environmental Fate and Toxicology and Implications for Global Management. Environ. Sci. Technol. 2011, 45, 8613–8623. [Google Scholar] [CrossRef] [PubMed]
- Papachlimitzou, A.; Barber, J.L.; Losada, S.; Bersuder, P.; Law, R.J. A review of the analysis of novel brominated flame retardants. J. Chromatogr. A 2012, 1219, 15–28. [Google Scholar] [CrossRef] [PubMed]
- Paine, M.R.L.; Rae, I.D.; Blanksby, S.J. Direct detection of brominated flame retardants from plastic e-waste using liquid extraction surface analysis mass spectrometry. Rapid Commun. Mass Spectrom. 2014, 28, 1203–1208. [Google Scholar] [CrossRef] [PubMed]
- Zhang, Q.; Yao, Y.; Wang, Y.; Zhang, Q.; Cheng, Z.; Li, Y.; Yang, X.; Wang, L.; Sun, H. Plant accumulation and transformation of brominated and organophosphate flame retardants: A review. Environ. Pollut. 2021, 288, 117742. [Google Scholar] [CrossRef]
- de Wit, C.A. An overview of brominated flame retardants in the environment. Chemosphere 2002, 46, 583–624. [Google Scholar] [CrossRef]
- Badea, S.L.; Niculescu, V.C.; Ionete, R.E.; Eljarrat, E. Advances in enantioselective analysis of chiral brominated flame retardants. Current status, limitations and future perspectives. Sci. Total Environ. 2016, 566–567, 1120–1130. [Google Scholar] [CrossRef] [PubMed]
- Tajik, S.; Beitollahi, H.; Nejad, F.G.; Safaei, M.; Zhang, K.; Van Le, Q.; Varma, R.S.; Jang, H.W.; Shokouhimehr, M. Developments and applications of nanomaterial-based carbon paste electrodes. RSC Adv. 2020, 10, 21561–21581. [Google Scholar] [CrossRef] [PubMed]
- Švancara, I.; Vytřas, K.; Kalcher, K.; Walcarius, A.; Wang, J. Carbon Paste Electrodes in Facts, Numbers, and Notes: A Review on the Occasion of the 50-Years Jubilee of Carbon Paste in Electrochemistry and Electroanalysis. Electroanalysis 2009, 21, 7–28. [Google Scholar] [CrossRef]
- Soni, I.; Kudur Jayaprakash, G. A short review on the analysis of the adsorptive behavior of surfactants at carbon paste electrodes for electrochemical sensing. J. Mol. Liq. 2023, 388, 122737. [Google Scholar] [CrossRef]
- McCreery, R.L. Advanced Carbon Electrode Materials for Molecular Electrochemistry. Chem. Rev. 2008, 108, 2646–2687. [Google Scholar] [CrossRef] [PubMed]
- Soni, I.; Kumari, A.; Jayaprakash, G.K.; Naik, P.; Rajendrachari, S. Evaluation of the role of ionic liquid as a modifier for carbon paste electrodes in the detection of anthracyclines and purine-pyrimidine-based anticancer agents. Mater. Res. Express 2024, 11, 012005. [Google Scholar] [CrossRef]
- Jayaprakash, G.K.; Swamy, B.E.K.; Chandrashekar, B.N.; Flores-Moreno, R. Theoretical and cyclic voltammetric studies on electrocatalysis of benzethonium chloride at carbon paste electrode for detection of dopamine in presence of ascorbic acid. J. Mol. Liq. 2017, 240, 395–401. [Google Scholar] [CrossRef]
- Li, C.; Zhang, Y.; Zeng, T.; Chen, X.; Wang, W.; Wan, Q.; Yang, N. Graphene nanoplatelet supported CeO2 nanocomposites towards electrocatalytic oxidation of multiple phenolic pollutants. Anal. Chim. Acta 2019, 1088, 45–53. [Google Scholar] [CrossRef]
- Zheng, G.; Zhang, Y.; Nie, T.; Jiang, X.; Wan, Q.; Li, Y.; Yang, N. Expanded graphite decorated with PdO@C nanoparticles for individual and simultaneous sensing of multiple phenols. Sens. Actuators B Chem. 2019, 291, 362–368. [Google Scholar] [CrossRef]
- Chen, H.; Zhang, Z.; Cai, R.; Rao, W.; Long, F. Molecularly imprinted electrochemical sensor based on nickel nanoparticles-graphene nanocomposites modified electrode for determination of tetrabromobisphenol A. Electrochim. Acta 2014, 117, 385–392. [Google Scholar] [CrossRef]
- Li, X.; Ye, X.; Li, C.; Wu, K. Substitution group effects of 2-mercaptobenzothiazole on gold nanoparticles toward electrochemical oxidation and sensing of tetrabromobisphenol A. Electrochim. Acta 2018, 270, 517–525. [Google Scholar] [CrossRef]
- Zhao, Q.; Wu, W.; Wei, X.; Jiang, S.; Zhou, T.; Li, Q.; Lu, Q. Graphitic carbon nitride as electrode sensing material for tetrabromobisphenol-A determination. Sens. Actuators B Chem. 2017, 248, 673–681. [Google Scholar] [CrossRef]
- Liu, Y.; Jiang, J.; Sun, Y.; Wu, S.; Cao, Y.; Gong, W.; Zou, J. NiO and Co3O4 co-doped g-C3N4 nanocomposites with excellent photoelectrochemical properties under visible light for detection of tetrabromobisphenol-A. RSC Adv. 2017, 7, 36015–36020. [Google Scholar] [CrossRef]
- Shen, J.; Bian, C.; Xia, S.; Wu, K. Poly(sulfosalicylic acid)-functionalized gold nanoparticles for the detection of tetrabromobisphenol A at pM concentrations. J. Hazard. Mater. 2020, 388, 121733. [Google Scholar] [CrossRef] [PubMed]
- Shen, J.; Gan, T.; Jin, Y.; Wang, J.; Wu, K. Electrochemical sensor based on electropolymerized dopamine molecularly imprinted film for tetrabromobisphenol A. J. Electroanal. Chem. 2018, 826, 10–15. [Google Scholar] [CrossRef]
- Chen, X.; Wang, Y.; Tong, J.; Xia, S.; Zhou, Y.; Wu, K. Electrochemical sensing platform for tetrabromobisphenol A at pM level based on the synergetic enhancement effects of graphene and dioctadecyldimethylammonium bromide. Anal. Chim. Acta 2016, 935, 90–96. [Google Scholar] [CrossRef]
- Zhao, Q.; Zhang, K.; Yu, G.; Wu, W.; Wei, X.; Lu, Q. Facile electrochemical determination of tetrabromobisphenol A based on modified glassy carbon electrode. Talanta 2016, 151, 209–216. [Google Scholar] [CrossRef] [PubMed]
- Guo, J.; Zhou, B.; Li, S.; Tong, Y.; Li, Z.; Liu, M.; Li, Y.; Qu, T.; Zhou, Q. Novel electrochemical sensor from magnetic carbon dots and cetyltrimethylammonium bromide for sensitive measurement of tetrabromobisphenol A in beverages. Chemosphere 2022, 298, 134326. [Google Scholar] [CrossRef] [PubMed]
- Luo, S.; Wu, Y.; Mou, Q.; Li, J.; Luo, X. A thio-β-cyclodextrin functionalized graphene/gold nanoparticle electrochemical sensor: A study of the size effect of the gold nanoparticles and the determination of tetrabromobisphenol A. RSC Adv. 2019, 9, 17897–17904. [Google Scholar] [CrossRef]
- Zhou, F.; Wang, Y.; Wu, W.; Jing, T.; Mei, S.; Zhou, Y. Synergetic signal amplification of multi-walled carbon nanotubes-Fe3O4 hybrid and trimethyloctadecylammonium bromide as a highly sensitive detection platform for tetrabromobisphenol A. Sci. Rep. 2016, 6, 38000. [Google Scholar] [CrossRef]
- Baron, L.; Kozłowska, A.; Kurek, S. Dehalogenation of hexabromocyclododecane-a commonly used flame retardant. Czas. Tech. Chem. 2011, 108, 31–38. [Google Scholar]
- Wagoner, E.R.; Baumberger, C.P.; Gerroll, B.H.; Peters, D.G. Catalytic reduction of 1,2,5,6,9,10-hexabromocyclododecane by nickel(I) salen electrogenerated at vitreous carbon cathodes in dimethylformamide. Electrochim. Acta 2014, 132, 545–550. [Google Scholar] [CrossRef]
- Yakubu, S.; Jia, B.; Guo, Y.; Zou, Y.; Song, N.; Xiao, J.; Liang, K.; Bu, Y.; Zhang, Z. Indirect competitive-structured electrochemical immunosensor for tetrabromobisphenol A sensing using CTAB-MnO2 nanosheet hybrid as a label for signal amplification. Anal. Bioanal. Chem. 2021, 413, 4217–4226. [Google Scholar] [CrossRef]
- Dong, S.; Wang, S.; Gyimah, E.; Zhu, N.; Wang, K.; Wu, X.; Zhang, Z. A novel electrochemical immunosensor based on catalase functionalized AuNPs-loaded self-assembled polymer nanospheres for ultrasensitive detection of tetrabromobisphenol A bis(2-hydroxyethyl) ether. Anal. Chim. Acta 2019, 1048, 50–57. [Google Scholar] [CrossRef]
- Chen, H.J.; Zhang, Z.H.; Cai, R.; Kong, X.Q.; Chen, X.; Liu, Y.N.; Yao, S.Z. Molecularly imprinted electrochemical sensor based on a reduced graphene modified carbon electrode for tetrabromobisphenol A detection. Analyst 2013, 138, 2769–2776. [Google Scholar] [CrossRef]
- Chen, X.; Zheng, M.; Zhou, Y.; Tong, J.; Wu, K. Electrochemical enhancement of acetylene black film as sensitive sensing platform for toxic tetrabromobisphenol A. RSC Adv. 2015, 5, 105837–105843. [Google Scholar] [CrossRef]
- Wang, Y.; Liu, G.; Hou, X.; Huang, Y.; Li, C.; Wu, K. Assembling gold nanorods on a poly-cysteine modified glassy carbon electrode strongly enhance the electrochemical reponse to tetrabromobisphenol A. Microchim. Acta 2016, 183, 689–696. [Google Scholar] [CrossRef]
- Chen, X.; Ji, L.; Zhou, Y.; Wu, K. Synergetic enhancement of gold nanoparticles and 2-mercaptobenzothiazole as highly-sensitive sensing strategy for tetrabromobisphenol A. Sci. Rep. 2016, 6, 26044. [Google Scholar] [CrossRef] [PubMed]
- Sensitive electrochemical detection of tetrabromobisphenol A based on poly(diallyldimethylammonium chloride) modified graphitic carbon nitride-ionic liquid doped carbon paste electrode. Electrochim. Acta 2017, 254, 214–222. [CrossRef]
- Li, C.; Chen, X.; Wu, K.; Yu, S. Signal enhancement of cetyltrimethylammonium bromide as a highly-sensitive sensing strategy for tetrabromobisphenol A. J. Electroanal. Chem. 2016, 770, 39–43. [Google Scholar] [CrossRef]
- Yu, G.; Song, X.; Zheng, S.; Zhao, Q.; Yan, D.; Zhao, J. A facile and sensitive tetrabromobisphenol-A sensor based on biomimetic catalysis of a metal–organic framework: PCN-222(Fe). Anal. Methods 2018, 10, 4275–4281. [Google Scholar] [CrossRef]
- Zhou, T.; Zhao, X.; Xu, Y.; Tao, Y.; Luo, D.; Hu, L.; Jing, T.; Zhou, Y.; Wang, P.; Mei, S. Electrochemical determination of tetrabromobisphenol A in water samples based on a carbon nanotubes@zeolitic imidazole framework-67 modified electrode. RSC Adv. 2020, 10, 2123–2132. [Google Scholar] [CrossRef] [PubMed]
- Wei, X.; Zhao, Q.; Wu, W.; Zhou, T.; Jiang, S.; Tong, Y.; Lu, Q. Zwitterionic surfactant modified acetylene black paste electrode for highly facile and sensitive determination of tetrabromobisphenol A. Sensors 2016, 16, 1539. [Google Scholar] [CrossRef] [PubMed]
- Zhang, Z.; Cai, R.; Long, F.; Wang, J. Development and application of tetrabromobisphenol A imprinted electrochemical sensor based on graphene/carbon nanotubes three-dimensional nanocomposites modified carbon electrode. Talanta 2015, 134, 435–442. [Google Scholar] [CrossRef] [PubMed]
- Zhou, H.; Gu, N.; Dong, S. Studies of ferrocene derivative diffusion and heterogeneous kinetics in polymer electrolyte by using microelectrode voltammetry. J. Electroanal. Chem. 1998, 441, 153–160. [Google Scholar] [CrossRef]
- Zhu, Y.; Guo, G.; Zhang, J.; Zhang, Q.; Chen, K.; Zhou, M.; Chu, Y. Micro Galvanic Surface Reconstruction of Zn/Cu-Foam Electrode for Debromination of Tetrabromobisphenol A. SSRN Electron. J. 2022. [Google Scholar] [CrossRef]
- Chen, X.; Xu, Y.; Fan, M.; Chen, Y.; Shen, S. The stimulatory effect of humic acid on the co-metabolic biodegradation of tetrabromobisphenol A in bioelectrochemical system. J. Environ. Manag. 2019, 235, 350–356. [Google Scholar] [CrossRef]
Disclaimer/Publisher’s Note: The statements, opinions and data contained in all publications are solely those of the individual author(s) and contributor(s) and not of MDPI and/or the editor(s). MDPI and/or the editor(s) disclaim responsibility for any injury to people or property resulting from any ideas, methods, instructions or products referred to in the content. |
© 2024 by the authors. Licensee MDPI, Basel, Switzerland. This article is an open access article distributed under the terms and conditions of the Creative Commons Attribution (CC BY) license (https://creativecommons.org/licenses/by/4.0/).


