Hierarchical Two-Dimensional Layered Nickel Disulfide (NiS2)@PEDOT:PSS Nanocomposites as Battery-Type Electrodes for Battery-Type Supercapacitors with High Energy Density
Abstract
1. Introduction
2. Experimental Section
2.1. Chemicals and Materials
2.2. Synthesis of NSN/PEDOT:PSS Nanocomposites
2.3. Material Characterizations of NSN/PEDOT:PSS Nanocomposites
2.4. Electrochemical Characterizations of NSN/PEDOT:PSS Nanocomposites
3. Results and Discussion
3.1. Microstructure and Surface Morphology of NPS1 Nanocomposite
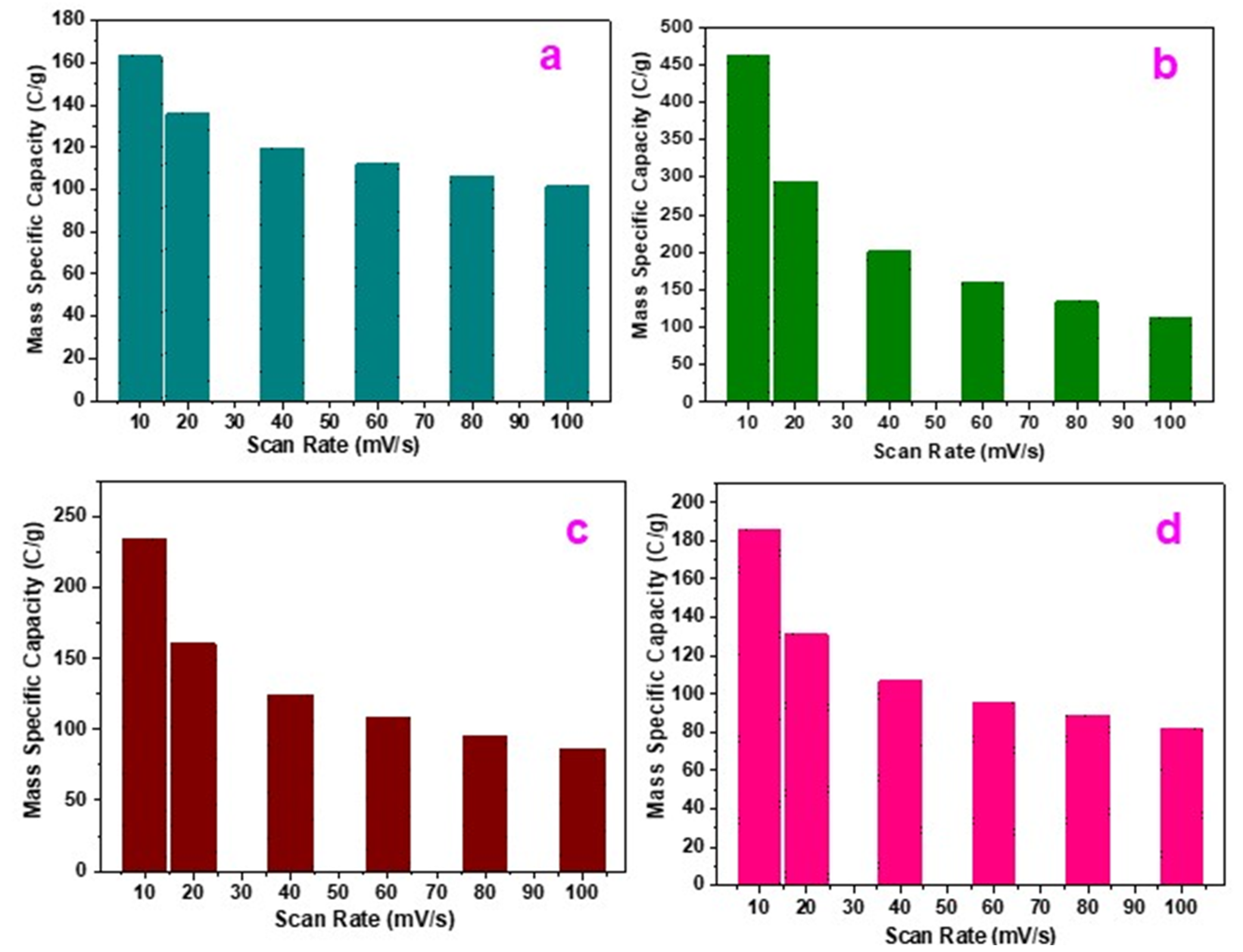
3.2. Electrochemical Performance Evaluation of NSN/PEDOT:PSS Nanocomposites
3.3. Electrochemical Performance Evaluation of NPS1/PEDOT:PSS//AC HSC Cell
3.4. Electrochemical Performance Evaluation of NPS1/PEDOT:PSS//AC HSC Module
4. Conclusions
Author Contributions
Funding
Institutional Review Board Statement
Informed Consent Statement
Data Availability Statement
Acknowledgments
Conflicts of Interest
References
- Krishnan, S.G.; Archana, P.; Vidyadharan, B.; Misnon, I.I.; Vijayan, B.L.; Nair, V.M.; Gupta, A.; Jose, R. Modification of capacitive charge storage of TiO2 with nickel doping. J. Alloys Compd. 2016, 684, 328–334. [Google Scholar] [CrossRef]
- Krishnan, S.G.; Reddy, M.; Harilal, M.; Vidyadharan, B.; Misnon, I.I.; Ab Rahim, M.H.; Ismail, J.; Jose, R. Characterization of MgCo2O4 as an electrode for high performance supercapacitors. Electrochim. Acta 2015, 161, 312–321. [Google Scholar] [CrossRef]
- Molahalli, V.; Chaithrashree, K.; Singh, M.K.; Agrawal, M.; Krishnan, S.G.; Hegde, G. Past decade of supercapacitor research–lessons learned for future innovations. J. Energy Storage 2023, 70, 108062. [Google Scholar] [CrossRef]
- Dutta, A.; Mahanta, J.; Banerjee, T. Supercapacitors in the light of solid waste and energy management: A review. Adv. Sustain. Syst. 2020, 4, 2000182. [Google Scholar] [CrossRef]
- Zhao, B. Three-dimensional hybrid nanostructures of Fe3O4 nanoparticles/vertically-aligned carbon nanotubes for high-performance supercapacitors. Electrochem 2022, 3, 507–519. [Google Scholar] [CrossRef]
- Thomas, S.A.; Cherusseri, J. Boron carbon nitride (BCN): Emerging two-dimensional nanomaterial for supercapacitors. J. Mater. Chem. A 2023, 11, 23148–23187. [Google Scholar] [CrossRef]
- Krishnan, S.G.; Pham, H.D.; Mahale, K.; Nanjundan, A.K.; Dubal, D. Nanostructure-dependent electrochemical properties of Nb2O5 for long-life Li-ion batteries. ACS Appl. Eng. Mater. 2022, 1, 469–476. [Google Scholar] [CrossRef]
- Wang, L.; Zhang, X.; Ma, Y.; Yang, M.; Qi, Y. Supercapacitor performances of the MoS2/CoS2 nanotube arrays in situ grown on Ti plate. J. Phys. Chem. C 2017, 121, 9089–9095. [Google Scholar] [CrossRef]
- Kirti, R.G.; Divesh, N.S. A biodegradable polymer-based plastic chip electrode as a current collector in supercapacitor application. Electrochem 2022, 3, 379–396. [Google Scholar] [CrossRef]
- Krishnamoorthy, K.; Veerasubramani, G.K.; Radhakrishnan, S.; Kim, S.J. Supercapacitive properties of hydrothermally synthesized sphere like MoS2 nanostructures. Mater. Res. Bull. 2014, 50, 499–502. [Google Scholar] [CrossRef]
- Thomas, S.A.; Cherusseri, J.; Rajendran, D.N. Rapid synthesis of hierarchical cobalt disulfide nanostructures by microwave-assisted hydrothermal method for high performance supercapatteries. ACS Appl. Electron. Mater. 2024, 6, 4321–4335. [Google Scholar] [CrossRef]
- Harilal, M.; Krishnan, S.G. Nanocarbons and electric double-layer capacitors. In Supercapacitors; Elsevier: Amsterdam, The Netherlands, 2024; pp. 17–43. [Google Scholar]
- Krishnan, S.G.; Harilal, M.; Jagadish, P. Ceramic-polyaniline composites for asymmetric supercapacitors. In Surface Modification and Functionalization of Ceramic Composites; Elsevier: Amsterdam, The Netherlands, 2023; pp. 371–396. [Google Scholar]
- An, C.; Zhang, Y.; Guo, H.; Wang, Y. Metal oxide-based supercapacitors: Progress and prospectives. Nanoscale Adv. 2019, 1, 4644–4658. [Google Scholar] [CrossRef] [PubMed]
- Hou, S.; Lian, Y.; Xu, Z.; Wang, D.; Ban, C.; Zhao, J.; Zhang, H. Construction of ball-flower like NiS2@ MoS2 composite for high performance supercapacitors. Electrochim. Acta 2020, 330, 135208. [Google Scholar] [CrossRef]
- Iqbal, M.F.; Ashiq, M.N.; Zhang, M. Design of metals sulfides with carbon materials for supercapacitor applications: A review. Energy Technol. 2021, 9, 2000987. [Google Scholar] [CrossRef]
- Thomas, S.A.; Cherusseri, J. Strategically designing layered two-dimensional SnS2-based hybrid electrodes: A futuristic option for low-cost supercapacitors. J. Energy Chem. 2023, 85, 394–417. [Google Scholar] [CrossRef]
- Krishnan, S.G.; Arunachalam, A.; Jagadish, P. Applications of supercapattery. In Advances in Supercapacitor and Supercapattery; Elsevier: Amsterdam, The Netherlands, 2021; pp. 311–348. [Google Scholar]
- Dai, Z.; Xue, L.; Zhang, Z.; Gao, Y.; Wang, J.; Gao, Q.; Chen, D. Construction of single-phase nickel disulfide microflowers as high-performance electrodes for hybrid supercapacitors. Energy Fuels 2020, 34, 10178–10187. [Google Scholar] [CrossRef]
- Yang, X.; Zhao, L.; Lian, J. Arrays of hierarchical nickel sulfides/MoS2 nanosheets supported on carbon nanotubes backbone as advanced anode materials for asymmetric supercapacitor. J. Power Sources 2017, 343, 373–382. [Google Scholar] [CrossRef]
- Reddy, B.J.; Vickraman, P.; Justin, A.S. Asymmetric supercapacitor device performance based on microwave synthesis of N-doped graphene/nickel sulfide nanocomposite. J. Mater. Sci. 2019, 54, 6361–6373. [Google Scholar] [CrossRef]
- Shi, H.; Liu, C.; Jiang, Q.; Xu, J. Effective approaches to improve the electrical conductivity of PEDOT:PSS: A review. Adv. Electron. Mater. 2015, 1, 1500017. [Google Scholar] [CrossRef]
- Fan, Z.; Ouyang, J. Thermoelectric properties of PEDOT:PSS. Adv. Electron. Mater. 2019, 5, 1800769. [Google Scholar] [CrossRef]
- Chao, Y.; Ge, Y.; Chen, Z.; Cui, X.; Zhao, C.; Wang, C.; Wallace, G.G. One-pot hydrothermal synthesis of solution-processable MoS2/PEDOT:PSS composites for high-performance supercapacitors. ACS Appl. Mater. Interfaces 2021, 13, 7285–7296. [Google Scholar] [CrossRef] [PubMed]
- Thomas, S.A.; Cherusseri, J.; Rajendran, D.N. 2D nickel sulfide electrodes with superior electrochemical thermal stability along with long cyclic stability for supercapatteries. Energy Technol. 2024, 12, 2301641. [Google Scholar] [CrossRef]
- Hao, J.; Liu, H.; Han, S.; Lian, J. MoS2 nanosheet-polypyrrole composites deposited on reduced graphene oxide for supercapacitor applications. ACS Appl. Nano Mater. 2021, 4, 1330–1339. [Google Scholar] [CrossRef]
- Punnoose, D.; Bae, J.-H.; Durga, I.K.; Thulasi-Varma, C.V.; Naresh, B.; Subramanian, A.; Raman, V.; Kim, H.-J. Preparation and electrochemical performances of NiS with PEDOT:PSS chrysanthemum petal like nanostructure for high performance supercapacitors. Electrochim. Acta 2017, 254, 269–279. [Google Scholar]
- Zhou, Q.; Lv, G.; Wang, X.; Teng, W.; Hu, P.; Du, Y.; Li, H.; Hu, Y.; Liu, W.; Wang, J. Constructing a hierarchical ternary hybrid of PEDOT:PSS/rGO/MoS2 as an efficient electrode for a flexible fiber-shaped supercapacitor. ACS Appl. Energy Mater. 2023, 6, 5797–5805. [Google Scholar] [CrossRef]
- Ge, Y.; Jalili, R.; Wang, C.; Zheng, T.; Chao, Y.; Wallace, G.G. A robust free-standing MoS2/poly (3,4-ethylenedioxythiophene): Poly (styrenesulfonate) film for supercapacitor applications. Electrochim. Acta 2017, 235, 348–355. [Google Scholar] [CrossRef]











| Transition Metal Sulfide/Conducting Polymer Nanocomposite SC Electrode | Synthesis Method | Morphology | Energy Density | Power Density | Ref. |
|---|---|---|---|---|---|
| MoS2/PPy nanocomposite on reduced graphene oxide | Hydrothermal | Uniform and well-stacked structure | 39.1 Wh/kg | 0.70 kW/kg | [26] |
| MoS2/PEDOT:PSS | Hydrothermal | Layered sheet-like structure | 65.8 μWh/cm2 | 0.5 mW/cm2 | [24] |
| NiS with PEDOT:PSS | Bar-coating approach | Chrysanthemum-like structure | 24.52 Wh/kg | 138.88 W/kg | [27] |
| PEDOT:PSS/rGO/MoS2 | Hydrothermal | Thin nanosheet | 6.9 mWh/cm3 | 173.6 mW/cm3 | [28] |
| MoS2/PEDOT:PSS | Simple filtration | Nanosheets | 4.9 mWh/cm3 | -- | [29] |
| NiS2@PEDOT:PSS | Slurry casting | 2D Nanosheets | 52.18 Wh/kg | 2500 W/kg | * This work |
Disclaimer/Publisher’s Note: The statements, opinions and data contained in all publications are solely those of the individual author(s) and contributor(s) and not of MDPI and/or the editor(s). MDPI and/or the editor(s) disclaim responsibility for any injury to people or property resulting from any ideas, methods, instructions or products referred to in the content. |
© 2024 by the authors. Licensee MDPI, Basel, Switzerland. This article is an open access article distributed under the terms and conditions of the Creative Commons Attribution (CC BY) license (https://creativecommons.org/licenses/by/4.0/).
Share and Cite
Thomas, S.A.; Cherusseri, J.; Rajendran, D.N. Hierarchical Two-Dimensional Layered Nickel Disulfide (NiS2)@PEDOT:PSS Nanocomposites as Battery-Type Electrodes for Battery-Type Supercapacitors with High Energy Density. Electrochem 2024, 5, 298-313. https://doi.org/10.3390/electrochem5030019
Thomas SA, Cherusseri J, Rajendran DN. Hierarchical Two-Dimensional Layered Nickel Disulfide (NiS2)@PEDOT:PSS Nanocomposites as Battery-Type Electrodes for Battery-Type Supercapacitors with High Energy Density. Electrochem. 2024; 5(3):298-313. https://doi.org/10.3390/electrochem5030019
Chicago/Turabian StyleThomas, Susmi Anna, Jayesh Cherusseri, and Deepthi N. Rajendran. 2024. "Hierarchical Two-Dimensional Layered Nickel Disulfide (NiS2)@PEDOT:PSS Nanocomposites as Battery-Type Electrodes for Battery-Type Supercapacitors with High Energy Density" Electrochem 5, no. 3: 298-313. https://doi.org/10.3390/electrochem5030019
APA StyleThomas, S. A., Cherusseri, J., & Rajendran, D. N. (2024). Hierarchical Two-Dimensional Layered Nickel Disulfide (NiS2)@PEDOT:PSS Nanocomposites as Battery-Type Electrodes for Battery-Type Supercapacitors with High Energy Density. Electrochem, 5(3), 298-313. https://doi.org/10.3390/electrochem5030019
