Thermodynamic Properties of an Electron Gas in a Two-Dimensional Quantum Dot: An Approach Using Density of States
Abstract
1. Introduction
2. Description of the Model
3. Chemical Potential
4. Magnetization
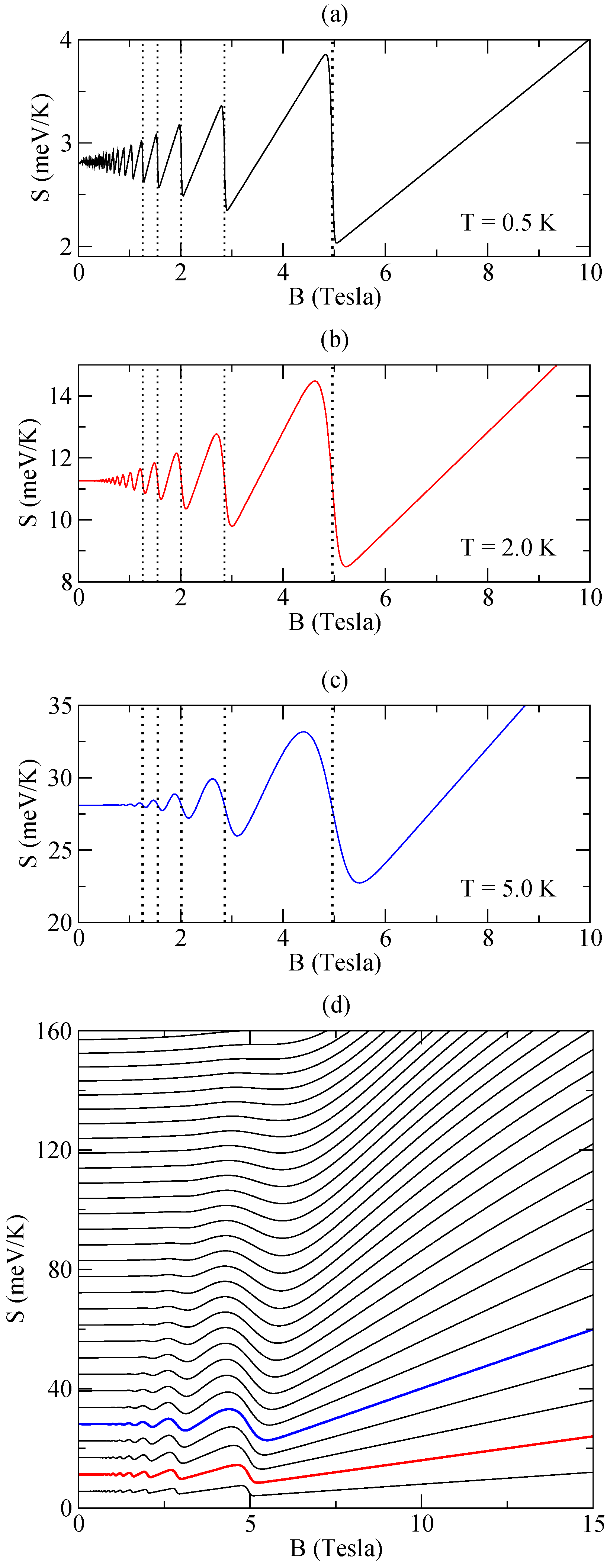
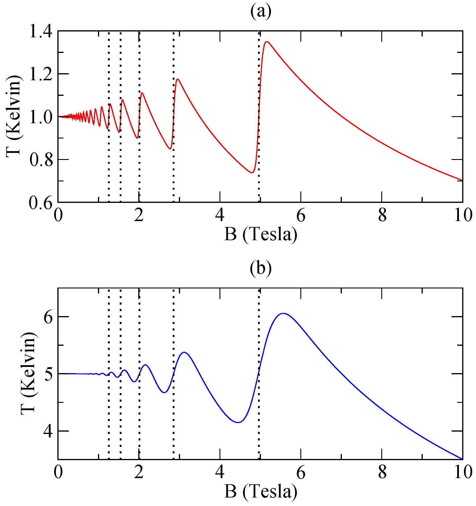
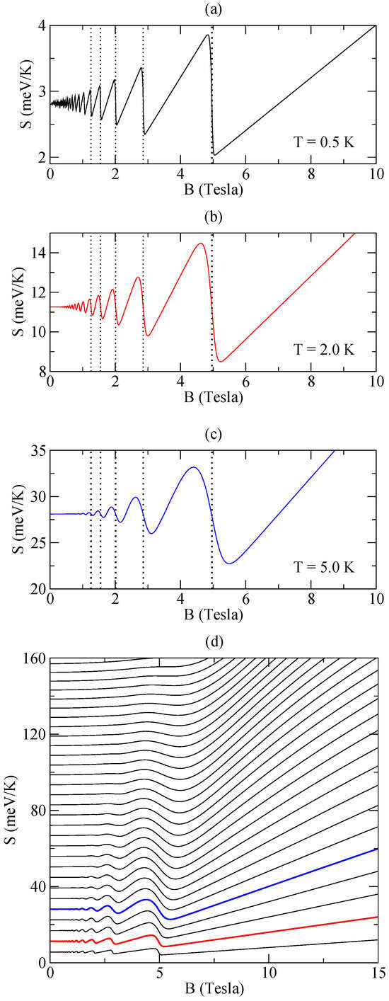
5. Entropy
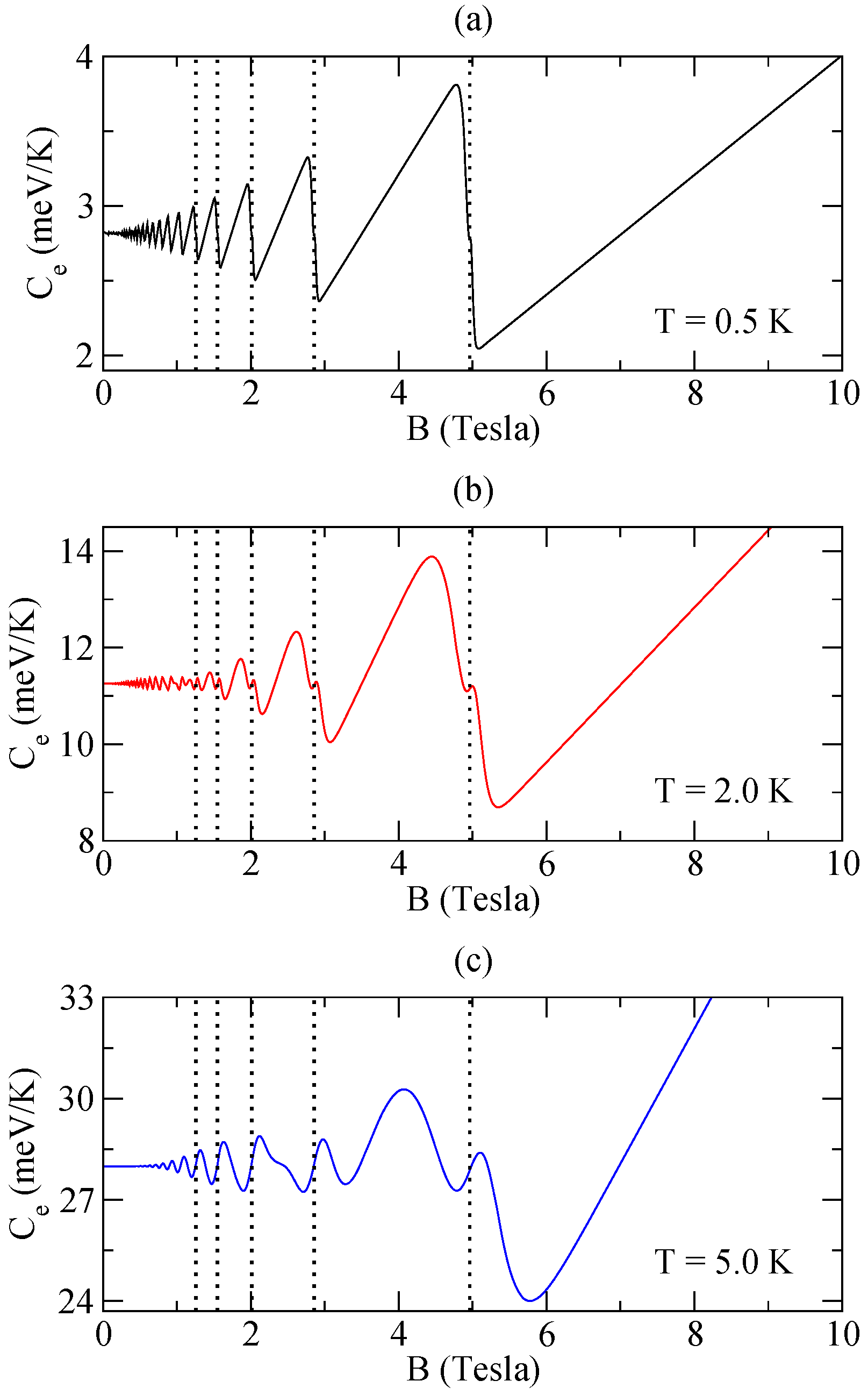
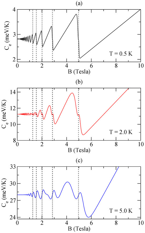
6. Heat Capacity
7. Conclusions
Author Contributions
Funding
Data Availability Statement
Acknowledgments
Conflicts of Interest
References
- Sawa, Y.; Yokoyama, T.; Tanaka, Y. Charge transport in 2DEG/s-wave superconductor junction with Dresselhaus-type spin–orbit coupling. J. Magn. Magn. Mater. 2007, 310, 2277–2279. [Google Scholar] [CrossRef]
- Wang, Z.T.; Hilke, M.; Fong, N.; Austing, D.G.; Studenikin, S.A.; West, K.W.; Pfeiffer, L.N. Nonlinear transport phenomena and current-induced hydrodynamics in ultrahigh mobility two-dimensional electron gas. Phys. Rev. B 2023, 107, 195406. [Google Scholar] [CrossRef]
- Dini, K.; Kibis, O.V.; Shelykh, I.A. Magnetic properties of a two-dimensional electron gas strongly coupled to light. Phys. Rev. B 2016, 93, 235411. [Google Scholar] [CrossRef]
- Beenakker, C.; van Houten, H. Quantum Transport in Semiconductor Nanostructures. In Semiconductor Heterostructures and Nanostructures; Solid State Physics; Ehrenreich, H., Turnbull, D., Eds.; Academic Press: Cambridge, MA, USA, 1991; Volume 44, pp. 1–228. [Google Scholar] [CrossRef]
- Wong, K.Y.; Tang, W.; Lau, K.M.; Chen, K.J. Two-dimensional electron gas (2DEG) IDT SAW devices on AlGaN/GaN heterostructure. In Proceedings of the 2007 7th IEEE Conference on Nanotechnology (IEEE NANO), Hong Kong, China, 2–5 August 2007; pp. 1041–1044. [Google Scholar] [CrossRef]
- Casparis, L.; Connolly, M.R.; Kjaergaard, M.; Pearson, N.J.; Kringhøj, A.; Larsen, T.W.; Kuemmeth, F.; Wang, T.; Thomas, C.; Gronin, S.; et al. Superconducting gatemon qubit based on a proximitized two-dimensional electron gas. Nat. Nanotechnol. 2018, 13, 915–919. [Google Scholar] [CrossRef] [PubMed]
- Chang, L.T.; Fischer, I.A.; Tang, J.; Wang, C.Y.; Yu, G.; Fan, Y.; Murata, K.; Nie, T.; Oehme, M.; Schulze, J.; et al. Electrical detection of spin transport in Si two-dimensional electron gas systems. Nanotechnology 2016, 27, 365701. [Google Scholar] [CrossRef] [PubMed]
- Gudmundsson, V.; Mughnetsyan, V.; Abdullah, N.R.; Tang, C.S.; Moldoveanu, V.; Manolescu, A. Unified approach to cyclotron and plasmon resonances in a periodic two-dimensional GaAs electron gas hosting the Hofstadter butterfly. Phys. Rev. B 2022, 105, 155302. [Google Scholar] [CrossRef]
- Mickelsen, D.L.; Carruzzo, H.M.; Coppersmith, S.N.; Yu, C.C. Effects of temperature fluctuations on charge noise in quantum dot qubits. Phys. Rev. B 2023, 108, 075303. [Google Scholar] [CrossRef]
- Filgueiras, C.; Rojas, M.; Aciole, G.; Silva, E.O. Landau quantization, Aharonov–Bohm effect and two-dimensional pseudoharmonic quantum dot around a screw dislocation. Phys. Lett. A 2016, 380, 3847–3853. [Google Scholar] [CrossRef]
- Wang, Q.; ten Haaf, S.L.D.; Kulesh, I.; Xiao, D.; Thomas, C.; Manfra, M.J.; Goswami, S. Triplet correlations in Cooper pair splitters realized in a two-dimensional electron gas. Nat. Commun. 2023, 14, 4876. [Google Scholar] [CrossRef]
- Lima, D.F.; dos S. Azevedo, F.; Pereira, L.F.C.; Filgueiras, C.; Silva, E.O. Optical and electronic properties of a two-dimensional quantum ring under rotating effects. Ann. Phys. 2023, 459, 169547. [Google Scholar] [CrossRef]
- Pereira, L.F.C.; Silva, E.O. Modification of Landau Levels in a 2D Ring Due to Rotation Effects and Edge States. Annalen der Physik 2023, 535, 2200371. [Google Scholar] [CrossRef]
- Pereira, L.F.C.; Andrade, F.M.; Filgueiras, C.; Silva, E.O. Effects of Curvature on the Electronic States of a Two-Dimensional Mesoscopic Ring. Few-Body Syst. 2022, 63, 64. [Google Scholar] [CrossRef]
- Pereira, L.F.C.; Cunha, M.M.; Silva, E.O. 1D Quantum ring: A Toy Model Describing Noninertial Effects on Electronic States, Persistent Current and Magnetization. Few-Body Syst. 2022, 63, 58. [Google Scholar] [CrossRef]
- Pereira, L.F.C.; Andrade, F.M.; Filgueiras, C.; Silva, E.O. Study of electronic properties, magnetization and persistent currents in a mesoscopic ring by controlled curvature. Phys. E Low-Dimens. Syst. Nanostruct. 2021, 132, 114760. [Google Scholar] [CrossRef]
- Souza, P.H.; Silva, E.O.; Rojas, M.; Filgueiras, C. A Curved Noninteracting 2D Electron Gas with Anisotropic Mass. Ann. Phys. 2018, 530, 1800112. [Google Scholar] [CrossRef]
- Filgueiras, C.; Silva, E.O. 2DEG on a cylindrical shell with a screw dislocation. Phys. Lett. A 2015, 379, 2110–2115. [Google Scholar] [CrossRef]
- da Silva Leite, L.; Filgueiras, C.; Cogollo, D.; Silva, E.O. Influence of spatially varying pseudo-magnetic field on a 2D electron gas in graphene. Phys. Lett. A 2015, 379, 907–911. [Google Scholar] [CrossRef]
- Gornik, E.; Lassnig, R.; Strasser, G.; Störmer, H.L.; Gossard, A.C.; Wiegmann, W. Specific Heat of Two-Dimensional Electrons in GaAs-GaAlAs Multilayers. Phys. Rev. Lett. 1985, 54, 1820–1823. [Google Scholar] [CrossRef]
- Wang, J.K.; Tsui, D.C.; Santos, M.; Shayegan, M. Heat-capacity study of two-dimensional electrons in GaAs/AlxGa1−xAs multiple-quantum-well structures in high magnetic fields: Spin-split Landau levels. Phys. Rev. B 1992, 45, 4384–4389. [Google Scholar] [CrossRef]
- Schwarz, M.P.; Wilde, M.A.; Groth, S.; Grundler, D.; Heyn, C.; Heitmann, D. Sawtoothlike de Haas–van Alphen oscillations of a two-dimensional electron system. Phys. Rev. B 2002, 65, 245315. [Google Scholar] [CrossRef]
- Heinzel, T. Mesoscopic Electronics in Solid State Nanostructures; John Wiley & Sons: Weinheim, Germany, 2006. [Google Scholar]
- Vagner, I.D.; Maniv, T.; Ehrenfreund, E. Ideally Conducting Phases in Quasi Two-Dimensional Conductors. Phys. Rev. Lett. 1983, 51, 1700–1703. [Google Scholar] [CrossRef]
- Zawadzki, W.; Lassnig, R. Specific heat and magneto-thermal oscillations of two-dimensional electron gas in a magnetic field. Solid State Commun. 1984, 50, 537–539. [Google Scholar] [CrossRef]
- Gammag, R.; Villagonzalo, C. The interplay of Landau level broadening and temperature on two-dimensional electron systems. Solid State Commun. 2008, 146, 487–490. [Google Scholar] [CrossRef]
- Fezai, I.; Jaziri, S. Thermodynamic properties of Landau levels in InSb two-dimensional electron gas. Superlattices Microstruct. 2013, 59, 60–65. [Google Scholar] [CrossRef]
- Hidalgo, M.A. Equilibrium properties of 2D electron systems in quantum wells and graphene. Eur. Phys. J. Plus 2023, 138, 983. [Google Scholar] [CrossRef]
- Vagner, I.D. Thermodynamics of two-dimensional electrons on Landau levels. HIT J. Sci. Eng. A 2006, 3, 102–152. [Google Scholar]
- De Groote, J.J.S.; Hornos, J.E.M.; Chaplik, A.V. Thermodynamic properties of quantum dots in a magnetic field. Phys. Rev. B 1992, 46, 12773–12776. [Google Scholar] [CrossRef]
- Oh, J.; Chang, K.J.; Ihm, G.; Lee, S. Electronic heat-capacity in quantum wires and dots under magnetic-fields. J. Korean Phys. Soc. 1995, 28, 132–135. [Google Scholar]
- Nguyen, N.T.T.; Peeters, F.M. Magnetic field dependence of the many-electron states in a magnetic quantum dot: The ferromagnetic-antiferromagnetic transition. Phys. Rev. B 2008, 78, 045321. [Google Scholar] [CrossRef]
- Boyacioglu, B.; Chatterjee, A. Heat capacity and entropy of a GaAs quantum dot with Gaussian confinement. J. Appl. Phys. 2012, 112, 083514. [Google Scholar] [CrossRef]
- Castaño-Yepes, J.; Ramirez-Gutierrez, C.; Correa-Gallego, H.; Gómez, E.A. A comparative study on heat capacity, magnetization and magnetic susceptibility for a GaAs quantum dot with asymmetric confinement. Phys. E Low-Dimens. Syst. Nanostruct. 2018, 103, 464–470. [Google Scholar] [CrossRef]
- Negrete, O.; Peña, F.; Florez, J.; Vargas, P. Magnetocaloric Effect in Non-Interactive Electron Systems: “The Landau Problem" and Its Extension to Quantum Dots. Entropy 2018, 20, 557. [Google Scholar] [CrossRef] [PubMed]
- Peña, F.J.; Negrete, O.; Alvarado Barrios, G.; Zambrano, D.; González, A.; Nunez, A.S.; Orellana, P.A.; Vargas, P. Magnetic Otto Engine for an Electron in a Quantum Dot: Classical and Quantum Approach. Entropy 2019, 21, 512. [Google Scholar] [CrossRef] [PubMed]
- Pereira, L.F.C.; Andrade, F.M.; Filgueiras, C.; Silva, E.O. Modifications of Electron States, Magnetization, and Persistent Current in a Quantum Dot by Controlled Curvature. Ann. Phys. 2019, 531, 1900254. [Google Scholar] [CrossRef]
- Reimann, S.M.; Manninen, M. Electronic structure of quantum dots. Rev. Mod. Phys. 2002, 74, 1283. [Google Scholar] [CrossRef]
- Kushwaha, M.S. Plasmons and magnetoplasmons in semiconductor heterostructures. Surf. Sci. Rep. 2001, 41, 1–416. [Google Scholar] [CrossRef]
- Meir, Y.; Entin-Wohlman, O.; Gefen, Y. Magnetic-field and spin-orbit interaction in restricted geometries: Solvable models. Phys. Rev. B 1990, 42, 8351–8360. [Google Scholar] [CrossRef]
- Tan, W.; Inkson, J. Electron states in a two-dimensional ring-an exactly soluble model. Semicond. Sci. Technol. 1996, 11, 1635. [Google Scholar] [CrossRef]
- Kittel, C. Introduction to Solid State Physics, 8th ed.; Wiley: Hoboken, NJ, USA, 2005. [Google Scholar]
- Tan, W.C.; Inkson, J.C. Magnetization, persistent currents, and their relation in quantum rings and dots. Phys. Rev. B 1999, 60, 5626–5635. [Google Scholar] [CrossRef]
- de Lira, F.A.; Silva, E.O. Theoretical approach for the description of a single quantum dot using geometry. Phys. E Low-Dimens. Syst. Nanostruct. 2023, 147, 115617. [Google Scholar] [CrossRef]
- Kushwaha, M.S. Magneto-optical absorption in semiconducting spherical quantum dots: Influence of the dot-size, confining potential, and magnetic field. AIP Adv. 2014, 4, 127151. [Google Scholar] [CrossRef]
- Dense Gases – Ideal Gases at Low Temperature. In Statistical Physics: An Introduction; Springer: Berlin/Heidelberg, Germany, 2007; pp. 147–181. [CrossRef]
- Reis, M.S. Oscillating magnetocaloric effect. Appl. Phys. Lett. 2011, 99, 052511. [Google Scholar] [CrossRef]
- Reis, M. Oscillating adiabatic temperature change of diamagnetic materials. Solid State Commun. 2012, 152, 921–923. [Google Scholar] [CrossRef]






Disclaimer/Publisher’s Note: The statements, opinions and data contained in all publications are solely those of the individual author(s) and contributor(s) and not of MDPI and/or the editor(s). MDPI and/or the editor(s) disclaim responsibility for any injury to people or property resulting from any ideas, methods, instructions or products referred to in the content. |
© 2024 by the authors. Licensee MDPI, Basel, Switzerland. This article is an open access article distributed under the terms and conditions of the Creative Commons Attribution (CC BY) license (https://creativecommons.org/licenses/by/4.0/).
Share and Cite
Pereira, L.F.C.; Silva, E.O. Thermodynamic Properties of an Electron Gas in a Two-Dimensional Quantum Dot: An Approach Using Density of States. Quantum Rep. 2024, 6, 664-676. https://doi.org/10.3390/quantum6040040
Pereira LFC, Silva EO. Thermodynamic Properties of an Electron Gas in a Two-Dimensional Quantum Dot: An Approach Using Density of States. Quantum Reports. 2024; 6(4):664-676. https://doi.org/10.3390/quantum6040040
Chicago/Turabian StylePereira, Luís Fernando C., and Edilberto O. Silva. 2024. "Thermodynamic Properties of an Electron Gas in a Two-Dimensional Quantum Dot: An Approach Using Density of States" Quantum Reports 6, no. 4: 664-676. https://doi.org/10.3390/quantum6040040
APA StylePereira, L. F. C., & Silva, E. O. (2024). Thermodynamic Properties of an Electron Gas in a Two-Dimensional Quantum Dot: An Approach Using Density of States. Quantum Reports, 6(4), 664-676. https://doi.org/10.3390/quantum6040040

