Abstract
The electronic and optical properties of a mesoscopic heterostructure of a two-dimensional quantum ring composed of Gallium Arsenide (GaAs) semiconductors are investigated. Using the confinement potential proposed by Tan and Inkson to describe the system under analysis, we conducted a numerical study of the photoionization cross-section for a 2D quantum ring with and without rotation effects. The interior of the quantum ring is traversed by an Aharonov–Bohm (AB) flux. Our research aims to investigate how this mesoscopic structure’s electronic and optical properties respond to variations in the following parameters: average radius, AB flux, angular velocity, and incident photon energy. Under these conditions, we establish that optical transitions occur from the ground state to the next excited state in the conduction subband, following a specific selection rule. One of the fundamental objectives of this study is to analyze how these rules can influence the general properties of two-dimensional quantum rings. To clarify the influence of rotation on the photoionization process within the system, we offer findings that illuminate the effects of the pertinent physical parameters within the described model. We emphasize that, although this is a review, it provides critical commentary, analysis, and new perspectives on existing research. Some results presented in this paper can be compared with those in the literature; however, new physical parameters and quantum ring configurations are used.
1. Introduction
From a physics point of view, semiconductors are a group of materials with intermediate electrical conductivity, between metals and insulators as described by band theory [1,2]. The conductivity of semiconductors can be adjusted, enabling them to either allow the passage of electric current, acting like metals, or to prevent it, functioning as insulators. Semiconductors are classified into two general categories: elemental semiconductor materials, found in group IV of the periodic table; and compound semiconductor materials, most of which are formed from special combinations of elements from groups III and V [3].
As in solids, atoms in semiconductors are very close to each other, with interatomic separations approximately equal to the size of the atoms, leading to significant interactions. In an isolated atom, electrons have specific allowed energy levels they can occupy. However, as the number of atoms increases, the outer orbitals overlap and interact strongly with each other. This interaction broadens the discrete energy levels of isolated atoms into continuous bands, as schematically represented in Figure 1a. The last fully occupied electronic band is called the valence band, while the next band up is known as the conduction band, which can be either completely unoccupied or partially filled. The energy difference between the minimum of the conduction band and the maximum of the valence band is called the band gap, denoted as , where no allowed energy states exist.
Figure 1.
Schematic representation of the formation of energy bands in materials. (a) Energy levels of atoms in atomic interdependence. (b) Gap between the valence and conduction bands of semiconductor, insulator, and conductor [4,5].
Figure 1b illustrates a generic diagram of the energy levels, depicting the valence and conduction bands of insulators, conductors, and semiconductors [5]. Insulators are materials that have the last band completely filled. Applying an external electric field does not alter the electrons’ total momentum (zero) since all states are occupied. Therefore, no electric current occurs. The energy level above which there are no occupied states at a temperature of is designated as the Fermi level () [5] (see Figure 1b). Conductive materials, also called metals, exhibit high electrical and thermal conductivity, maintaining the ability to conduct electric current even at absolute zero temperature (). Figure 1b illustrates a schematic representation of metals, showing the condition where the last valence band is partially filled. Charge carriers move practically freely when an electric field is applied to these materials. The absence of the forbidden region can explain the remarkable conductivity of metals. These characteristics of metals are strategically exploited and applied in the conduction of electric current, especially in the electricity sector’s infrastructure [6,7].
For semiconductors at absolute zero temperature (), electrons completely fill all energy bands, starting from the lowest to the valence band. As the temperature increases, a certain number of electrons can be excited and gain sufficient energy to jump from the valence band to the conduction band (see Figure 1b), contributing to the material’s conductivity. In this process, electrons leave behind empty states, called holes, which behave like positively charged particles, moving in the opposite direction to electrons. This type of conduction, where electrons and holes carry current, is characteristic of semiconductors [5].
Due to the advancement and rapid improvement of nanostructure technology, electronic and optical properties related to low-dimensional semiconductor systems have attracted great interest from researchers in the field of mesoscopic physics, an area dedicated to the investigation of quantum systems on an intermediate scale, characterized by dimensions larger than the atomic scale but still below the limits defining macroscopic objects [8,9]. Such systems have dimensions on the order of nanometers, and they are the subject of extensive investigation not only due to their scientific relevance but also because of their wide technological applicability in optoelectronic devices, generating significant interest in both theoretical [10] and experimental studies [11].
In the context of semiconductor systems, several electronic and optical properties have been explored within the framework of quantum confinement in mesoscopic systems, such as quantum wells (QWs) [12,13,14], quantum dots (QDs) [15,16,17,18,19,20,21], and quantum rings (QRs) [22,23,24,25,26,27], among other mesoscopic structures [28,29]. These structures are generally composed of two or more layers of different types of juxtaposed semiconductors, known as heterostructures, where there is a confinement of charge carriers [30,31,32]. Recently, M. G. Bawendi, L. Brus, and A. Ekimov were awarded the Nobel Prize in Chemistry for their discovery and synthesis of QDs, characterized by quantum confinement in all three spatial dimensions. This confinement leads to the complete localization of charge carriers, resembling the behavior of atoms. Consequently, this arrangement results in the manifestation of discrete energy levels [19,33], which is why QDs are commonly referred to as artificial atoms in the literature [34,35,36,37].
QDs and QRs are manufactured from semiconductor heterostructures and are crucial for advancements in nanotechnology, particularly in chip manufacturing [38]. They are indispensable components in cell phones, computers, and even cars. These materials are also used in color-illuminating technologies like televisions and light-emitting diode (LED) lamps and in various electronic and optical devices. Additionally, they play a significant role in medical applications, such as guiding surgeries for the removal of tumor tissues [39,40,41].
A recent surge in interest in QRs has emerged due to their unique topological properties and potential applications in various cutting-edge technologies [23,42]. QRs, unlike QDs, present a toroidal structure, enabling the investigation of phenomena such as magnetization, persistent currents, and the AB effect, where the quantum states of the system can be influenced by a magnetic flux threading the ring without the presence of a classical force [43]. This phenomenon has motivated extensive research in both theoretical (in the studies of optical properties, such as refractive index changes, absorption coefficients, photoionization process, and also in thermodynamic properties) [44,45,46,47,48,49,50,51,52,53,54,55,56,57,58,59,60,61,62,63,64,65] and experimental [66,67,68,69,70] contexts, as it offers a rich platform for studying the interplay between quantum confinement, geometry, and magnetic fields.
Furthermore, the introduction of rotation in these systems enhances their physical properties, and this is one of the main topics that is explored in this work. A rotating quantum ring, particularly in a 2D setting, leads to new physics due to the coupling between rotational motion and magnetic fields. In this scenario, the Coriolis and centrifugal forces modify the effective potential experienced by the charge carriers, affecting the energy levels [71,72,73,74,75,76] and optical properties of the system [77,78]. Rotating QRs also holds promise for developing spintronic devices, where manipulating spin degrees of freedom is crucial for information processing and storage. The ability to control the spin of charge carriers in mesoscopic systems through external fields, including magnetic and rotational fields, makes QRs ideal candidates for quantum bit (qubit) implementations in quantum computing. Based on persistent currents in QRs, topologically protected qubits provide a robust mechanism for quantum information storage and manipulation [79].
In addition to these technological applications, rotating QRs offer a promising platform for exploring fundamental quantum mechanical effects. The interplay between magnetic fields and rotational motion in these systems can lead to novel quantum phenomena, such as the appearance of Berry phase effects, which play a central role in understanding topological materials and their electronic properties. This makes QRs a valuable tool for investigating topological insulators [80], quantum Hall effects in curved geometries [81,82,83], and other exotic quantum states of matter [84].
Overall, the study of electronic properties and photoionization cross-sections in rotating 2D QRs opens new avenues in both applied and fundamental research. These systems exhibit a rich interplay between quantum confinement, magnetic fields, and rotation, leading to the manifestation of novel quantum phenomena with potential applications in optoelectronics, spintronics, and quantum computing.
In the following sections of this paper, we investigate how variations in physical parameters such as average radius, AB flux, angular velocity, and incident photon energy affect the electronic properties and photoionization processes. In Section 2, we conduct a detailed review of the Tan–Inkson model by exploring the formation of energy bands for physical parameter values that have not been previously evaluated in the literature. We also carefully evaluate the probability distribution and confinement potential for QRs. In Section 3, we analyze the photoionization process by utilizing the energy states and wave functions obtained in the previous section. In Section 4, we introduce the effects of rotation on the Tan–Inkson model and assess its impact on the energy spectra and probability distributions. Finally, Section 5 presents the summary and conclusions.
2. The Tan–Inkson Model
Tan and Inkson introduced a theoretical model to investigate electron states in two-dimensional QRs, employing an exact solvable approach [85,86]. The theoretical model describes electron behavior in a confined two-dimensional ring structure, exploring the quantized properties arising from geometric constraints. The proposed model accounts for electron interactions within the two-dimensional ring, considering the effects of confinement on electron energy levels. The investigation delves into how properties such as ring radius and applied potentials influence the electronic states within the ring. The article derives exact solutions to the equations describing these electronic states, offering precise insights into electron behavior in this specific system. The obtained results have implications for the design and understanding of devices based on rings or similar nanostructured systems [49,55,87,88,89,90,91,92,93,94]. This work contributes to the development of more efficient and advanced electronic devices. Overall, this study sheds light on the quantized behaviors of electrons in nanostructured systems, providing valuable insights for applications in electronic devices [9,46].
In the model, the Hamiltonian that describes the quantum system considers an electron confined to a two-dimensional quantum ring in the effective mass approximation structure and the presence of a uniform static magnetic field along the -direction, perpendicular to the (x-y) plane of the ring. Additionally, there is an infinitely thin magnetic flux (AB flux) crossing at the center of the 2D ring. The system’s Hamiltonian is then written as follows:
where and e are the electron effective mass and the charge, respectively. The vector potential (in cylindrical coordinates ) associated with the effective magnetic field is given by [42,95]
where ( is the quantum of magnetic flux, h Planck’s constant, and e the elementary charge) and is the reduced Planck’s constant. The first term represents the vector potential of the uniform magnetic field B, and the second term corresponds to the contribution from the AB flux. The parameter l is the quantity that characterizes the AB flux magnitude. The confinement potential includes an approximation for a parabolic and inverse-square-distance-type potential given by [85,86]
where , and and are parameters that can be adjusted independently through appropriate choices. The freedom to choose these parameters leads us to access other mesoscopic models of interest. Table 1 shows the models we can study using the potential (3) by adjusting and .
Table 1.
Structures modeled by the Tan–Inkson potential.
In more general scenarios, where and are non-zero, we have a model of harmonic confining potential for a quantum ring. The resulting potential is responsible for electron confinement, restricting its radial motion. In this case, it is important to understand the behavior in the allowed region of the ring. For this, let us study more properties of the potential (3). First, let us determine the minimum of this potential. By setting
and solving for r, we obtain
which demonstrates that the minimum point coincides with the average radius of the ring. In this model, the minimum of the potential corresponds to the average radius of the ring due to the symmetry and confinement profile of the system.
Expanding (3) in Taylor series around the point , we have
Substituting Equation (3) into Equation (6) taken at and their respective derivatives, we obtain (up to the third order of expansion)
Equation (7) tells us that near the equilibrium point the Tan–Inkson potential behaves like a harmonic oscillator, where is the electron’s effective mass and characterizes the transverse confinement frequency.
We can find the inner radius and outer radius of the quantum ring in terms of the Fermi energy. By making in Equation (3), we can determine the region accessible to the electron, resulting in the equation
Solving (8) for r, we obtain the relation [85]
where the ring’s width is determined by . On the other hand, the profile of the potential for an antidot is similar to that of a quantum dot viewed in inverse. While the quantum dot potential is a convex function, the antidot’s is a concave function. An antidot is a region characterized by a potential barrier that repels electrons [96]. For a more comprehensive analysis of mesoscopic structures, we recommend consulting Refs. [97,98].
In this article, we explore two distinct configurations of QRs. The first, with a smaller average radius, and , is suitable for investigating optical properties. The second, with and , is only used to obtain the graphs of the electronic properties. These choices align with experiments on 2D mesoscopic rings in the literature [99,100]. These two configurations are illustrated in Figure 2.
Figure 2.
Representation of two quantum rings with different average radius configurations: (a) and , suitable for studying optical properties; (b) and , used to only study the electronic properties.
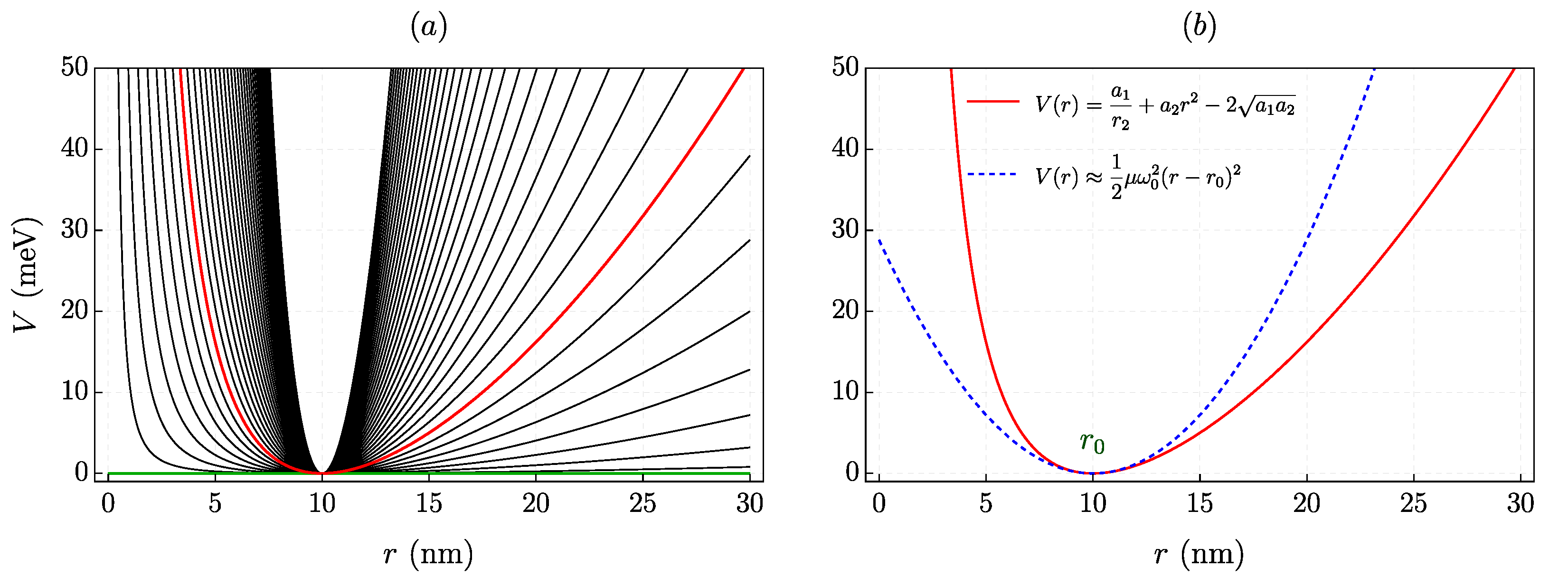
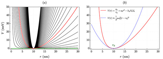
In Figure 3a, the profiles of the potential (3) are plotted with different confinement energy values, ranging from to , with a numerical interval of . The graph shows that for a given Fermi energy value we have different confinement profiles for different values. For higher values, the confinement strength is greater, and we can observe that the spacing between the potential energy curves decreases. Highlighting two values seen in the graph, the green curve clearly shows that there is no confinement for the value . The red curve is for , which is analyzed in Figure 3b together with (7) (dashed blue line), where it can be clearly seen that around the average ring radius , the potential behaves harmonically, confirming the parabolic behavior of the Tan–Inkson potential.
Figure 3.
(Online color) (a) Profile of the Tan–Inkson potential (Equation (3)) for different parameters and (b) comparison with the harmonic approximation potential (Equation (7)). In (a), and ranges from 0 to (black curves), with a range. The green curve () has no confinement potential. The red curve in (a) matches the one in (b). In (b), and ; the blue curve represents the harmonic approximation.
The parameters used in Figure 3 refer to a GaAs sample for the radial confinement potential defined by Equation (3), with and , which provide a ring with . The effective electron mass is ( is the electron mass in vacuum). Near the bottom of the confinement potential, it can be well approximated by a parabolic potential with . The radial asymmetry of the confining potential is caused by the internal repulsion being substantially stronger than the external repulsion [24].
In Figure 4, three graphs of mesoscopic potentials are presented, resulting from the modulation of the confinement coefficients of the Tan–Inkson potential (Equation (3)), normalized for . In Figure 4a, with and , we have the antidot potential; in Figure 4b, where and , we have the quantum dot; and in Figure 4c, we have the sum of the antidot and quantum dot potentials, thus creating a quantum ring.
Figure 4.
(Online color) Three-dimensional graph of the Tan–Inkson potential (Equation (3)). The parameter values used were , .
In the ring graph, it is possible to observe the contribution of both the quantum dot potential and the antidot potential, the latter represented by the parabolic external potential wall, which confines a particle within the three-dimensional structure and prevents it from accessing regions where . While the external wall acts as a confining barrier, restricting certain specific regions, the antidot potential is crucial for preventing the occupation of electrons in the central region, defined by the central potential barrier. This visualization provides a broader approach to the physical problem, specifically the confinement structure.
To find the eigenfunctions and energy eigenvalues of the system, we need to solve the Schrödinger equation:
We use solutions of the form
where is the angular momentum quantum number. Substituting the ansatz (11) into the Schrödinger Equation (10), we obtain the radial equation:
where
is the effective angular momentum,
is the effective frequency,
is the cyclotron frequency,
presents the effective magnetic length renormalized by the ring confinement, and
Equation (10) is of the Kummer type whose solution is given in terms of the confluent hypergeometric function. Thus, we can express the normalized wave eigenfunctions and energy eigenvalues as
where is the radial quantum number. In the absence of both the AB flux () and the confining potential (), the particle is subject only to the uniform magnetic field. In this case, the energy takes the form (19)
which corresponds to the Landau levels [24]. The quantum numbers n and m characterize the radial motion and the angular momentum, respectively. In the particular case of a circular wire, n represents the index of each subband, and m is the quantum number describing the longitudinal motion in the wire.
Figure 5 shows the probability distribution function for the first three quantum numbers n with , where we can observe that for the ground state (Figure 5a), we have a single peak (indicating a maximum value) representing a higher probability density of finding the particle. When we look at the first excited states (Figure 5b–d), more peaks appear, but with lower probabilities. These peaks represent regions of localized probability of finding the particle. The graphs were constructed for different values of B, ranging from 0 to with an interval of between each curve. It can be observed in each graph that the higher the value of the magnetic field (represented by the black curve in each graph), the higher the value of the probability distribution and the closer it will be to the center. This shows that the presence of the magnetic field is significant in the behavior of the particle in the quantum ring.
Figure 5.
Probability distribution plot for the first three quantum numbers n. The parameter values used are , , , and . The black curve in all the graphs represents the value of .
The same analysis was performed for Figure 6, which shows the probability distribution from the ground state to the next excited states, but now varying the value of the AB flux, with the value of ranging from 0 to with an interval of . In this set of graphs, we can observe that the contribution of moves the probability density away from the center of the ring, represented by the black curves further away from 0 on the r axis. This also shows the influence of the AB flux on the quantum system.
Figure 6.
Probability distribution plot for the first three quantum numbers n. The parameter values used are , , , and . The black curve in all the graphs represents the value of .
A very intuitive way to visualize the annular geometry of the QRs is by constructing the probability distribution function in the plane of the density function. Figure 7 shows a set of density plots corresponding to the solution given by Equation (18) in the transverse plane normalized by in nanometers for different quantum numbers n and m.
Figure 7.
(Color online) Normalized probability density in the plane for some values of n and m. The parameter values used are and .
For , the structure shows a core at the origin . In the ground state, the probability of finding the electron is higher near the center of the ring, as illustrated in the first plot of Figure 7. For a given value of n, the probability of finding the particle shifts away from the center as m increases, which is represented by the widening of the maximum away from the center, showing the presence of a centrifugal potential associated with m. Each plot describes a probability density associated with each state of , making the analysis more intuitive about the behavior of the particle in the quantum ring as the quantum numbers n and m vary. It is important to note that the plots were generated for even values of m, without any specific reason for this selection. In fact, these values could be arbitrary as long as they obey the condition . The choice to limit to even values of m was made to highlight the observed effects when varying m more clearly.
The contrasting effects of the magnetic field (B) and the AB flux () on the probability distribution arise from their distinct physical influences. The magnetic field induces a Lorentz force that confines the particle to smaller orbits, centralizing the probability density. This behavior is reflected in the effective potential (Equation (12)), which includes a term proportional to , the cyclotron frequency, acting as a harmonic confining potential. In contrast, the AB flux modifies the wavefunction’s quantum phase, effectively shifting the angular momentum term via . This alteration affects the centrifugal potential , making it less confining or even repelling at a small r. Consequently, the probability density redistributes outward due to these quantum interference effects. These opposing mechanisms illustrate the interplay between classical and quantum effects in the quantum ring system.
The analysis of electronic properties is of great importance to help us understand how states behave when subjected to the effects of a magnetic field. For a better understanding of the model that is presented in the following section, in this section we reproduce some results from Ref. [85]. Initially, we assume (absence of uniform magnetic field) in Equation (19), such that the energy spectrum of the ring is written as
Equation (21) reveals that states with are all symmetric for all energy subbands. The effect of produces a non-parabolic dispersion that breaks the present symmetry, revealing the existence of a centrifugal potential responsible for such dispersion. This potential is the reason why different states of the same subband have different radial wave functions [85].
Figure 8 shows the graph of energy levels as a function of the quantum number m of a ring made from a GaAs heterostructure for the five lowest subbands, assuming different values of the magnetic field B.
Figure 8.
(Color online) Eigenenergies of the ring as a function of the quantum number m for the first five lowest subbands at different magnetic field intensities. The parameter values used are meV, , and nm. This figure is a modified adaptation from the original work of Tan–Inkson, developed for a different quantum ring configuration [85].
For the case where , the subbands exhibit a parabolic shape centered around . As the magnetic field value increases, a significant dispersion can be observed, evidenced by the increase in energy at the subband minima and the increase in spacing between them [24]. The energy subbands are directly related to the standing waves that extend throughout the ring. Furthermore, the energy is periodically modulated with the magnetic field, known in the literature as AB oscillations [85].
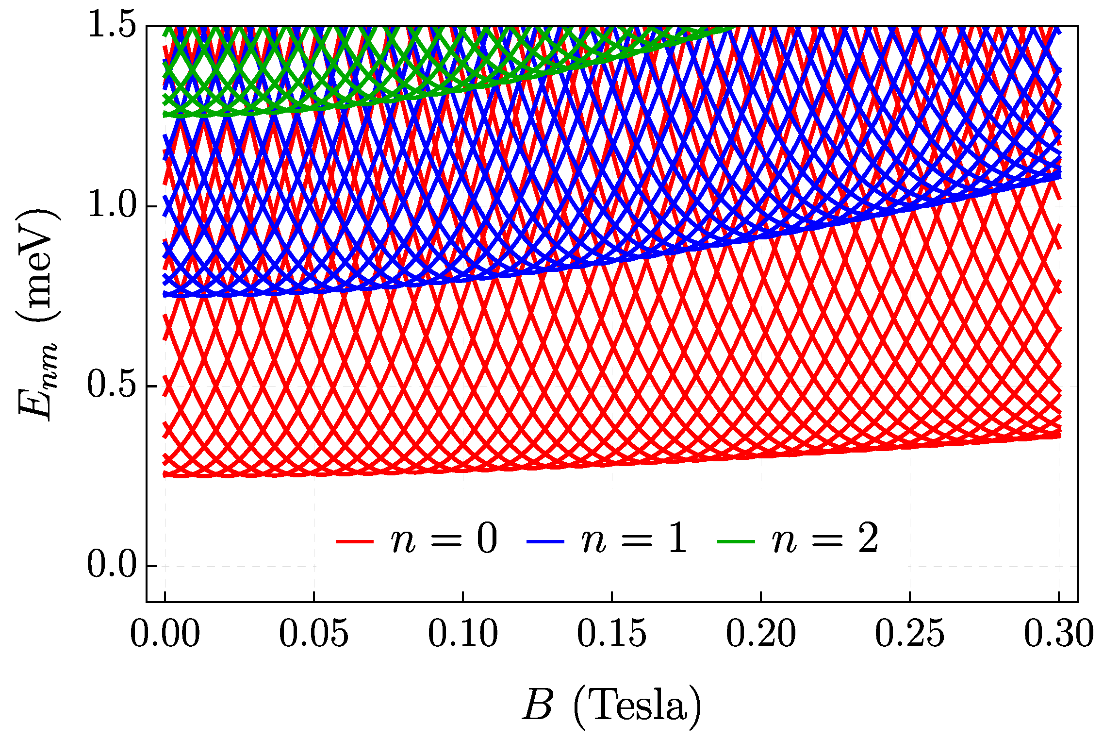
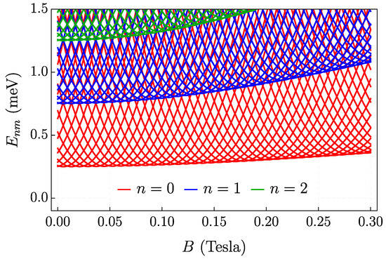
The degeneracy of states for the quantum ring can be observed in Figure 9, where we outline the energy spectrum as a function of the magnetic field. Each line represents a distinct quantum number m, while lines of the same color represent the same quantum number n, which characterizes a subband of the system. In other words, each curve represents a distinct state of the system. It can be observed that the energy spectrum as a function of the applied magnetic field is aperiodic, especially when more than one subband is occupied [85].
Figure 9.
(Color online) The three lowest subbands, where the parameter values used are meV, , and nm. This figure is a modified adaptation from the original work of Tan–Inkson, developed for a different quantum ring configuration [85].
The graph in Figure 10 is an enlargement of Figure 9, where the energy spectrum in the ground state (parts of the curves in red color) is schematically shown for an electron exhibiting oscillations as a function of the magnetic field (AB oscillations).
Figure 10.
(Color online) AB oscillation for the lowest subband . The dashed curves indicate the ground state changing its quantum number m by one unit. The parameter values used were the same as in Figure 8.
It can be observed that at each energy maximum, there is a transition in the ground state. At this intersection point, the quantum number of angular momentum m of the ground state changes by one unit; i.e., there is an exchange of angular momentum between the states [9]. These features in electronic properties, especially the energy spectrum of the quantum ring in terms of magnetic field and flux, are of scientific interest, particularly in investigating the AB effect.
Figure 11 presents the energy eigenvalues as a function of the magnetic flux for the three lowest subbands. It is observed that the energy spectrum exhibits periodicity concerning the AB flux, with a period of [85]. Furthermore, the graph shows that energy levels can occupy multiple subbands. Additionally, as shown in Figure 9, the energy minima of each subband increase for larger values of n.
Figure 11.
(Color online) The three lowest subbands, where the parameter values used are , T, and . This figure is a modified adaptation from the original work of Tan–Inkson, developed for a different quantum ring configuration [85].
In the following sections, we investigate this phenomenon during optical transitions observed in semiconductor materials.
3. Photoionization Process for the 2D Quantum Ring Model
In this section, we investigate the photoionization cross-section (PCS) of a two-dimensional quantum ring composed of GaAs. We also show how the AB flux manifests when some model parameters are varied. This model was previously studied by Xie [44], who investigated the effects of AB flux on the PCS in two-dimensional QRs. However, Xie’s approach does not entirely follow the Tan–Inkson model. Here, we will rigorously follow the Tan–Inkson derivation, as presented in Section 2, to derive the solutions with specific quantum transitions and parameters for application to the PCS formula. Therefore, we can conclude that the contribution in this section is largely novel to the literature.
The PCS represents the probability of a bound electron being liberated by appropriate radiation with energy of a particular frequency. Its magnitude is profoundly influenced by the confinement potential and the incident photon energy [101,102,103]. The dependence of excitation energy in the photoionization process is derived from Fermi’s golden rule using the well-known dipole approximation, written as [104,105,106]
with
where represents the relaxation rate between the initial and final states. The constant in (22) takes into account the electrical and optical properties of the semiconductor material, being given by
where is the refractive index, is the optical dielectric constant, represents the fine structure constant, and is the ratio of the effective electric field, with representing the amplitude of the electric field of the incident radiation and the average field in the semiconductor. Furthermore, this rate is related to the time of the transition , with [102]. This ratio does not affect the shape of the PCS, and, at present, no experimental data are available in the literature for comparison [44]. Thus, this ratio is often considered to be equal to 1, and we will not explicitly include it in our results. See Ref. [107] for more information on this issue. In Equation (22), we can define as the matrix element between the initial and final states of the dipole moment. The functions and symbolize the wave functions of the initial and final states, while and correspond to the respective energy eigenvalues of the transition. The quantity can be calculated using the solution (18). Hence, we have
with . Defining the new variable , we write
where
Using the identity , the integration over the coordinate results in
Thus, we obtain
From this result, we see that the non-zero elements of the matrix follow the selection rule [42].
To obtain more consistent results, we conduct a numerical investigation exploring relevant data readily available in the literature, particularly for the case of GaAs two-dimensional QRs. From now on, we present a detailed numerical analysis of our results. All numerical calculations were performed using the following parameters: , , where , , , and m/s [19]. We also consider the specific values , , [106], and also use [102].
Figure 12 shows the PCS, from Equation (22), as a function of (the incident photon energy) for different values of . We can see that as the AB flux varies, the amplitudes of the PCS peaks change proportionally for two optical transitions starting from the ground state to adjacent states, following the selection rule. The reason for such behavior is that the wave function depends on the applied AB flux. Furthermore, it can be observed that the peak position undergoes a shift towards lower energies (redshift) with the increase in AB flux, where the optical transition occurs from the state to the state . The opposite effect is observed when the transition occurs from the state to , where the PCS peaks shift to higher energy values as the AB flux increases (blue shift). The explanation for this behavior lies in the energy difference between the two states involved in the optical transition. For example, the redshift indicates that the energy difference between the two considered quantum states decreases as the AB flux increases. On the other hand, the opposite occurs with the blue shift, which is graphically represented by the separation between the peaks of the two transitions as the AB flux increases, such that for the curves of the two transitions overlap. To demonstrate this effect more explicitly, we consider transitions between states with and , respectively, given by
such that
Figure 12.
(Color Online) Photoionization cross-section as a function of incident photon energy for different AB flux values. The parameter values used were , , and .
The transitions (30) and (31) were obtained using Equation (19) and subsequently used to compute the Lorentzian (23). It can be noted that the energy difference for the same transition decreases with the increase in magnetic flux, as explained earlier. For the other transitions, we have
In this case, the inequality is inverted, i.e.,
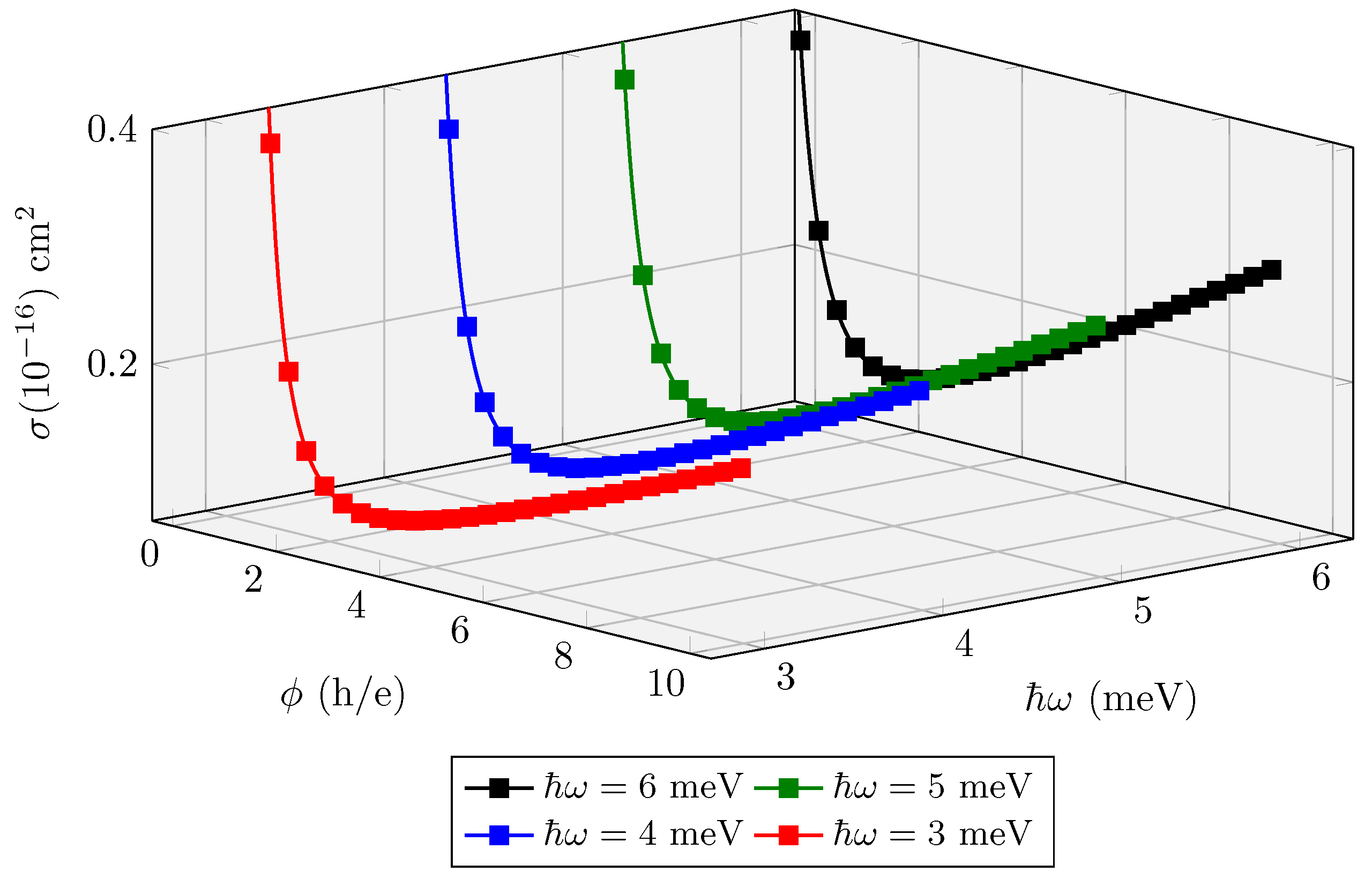
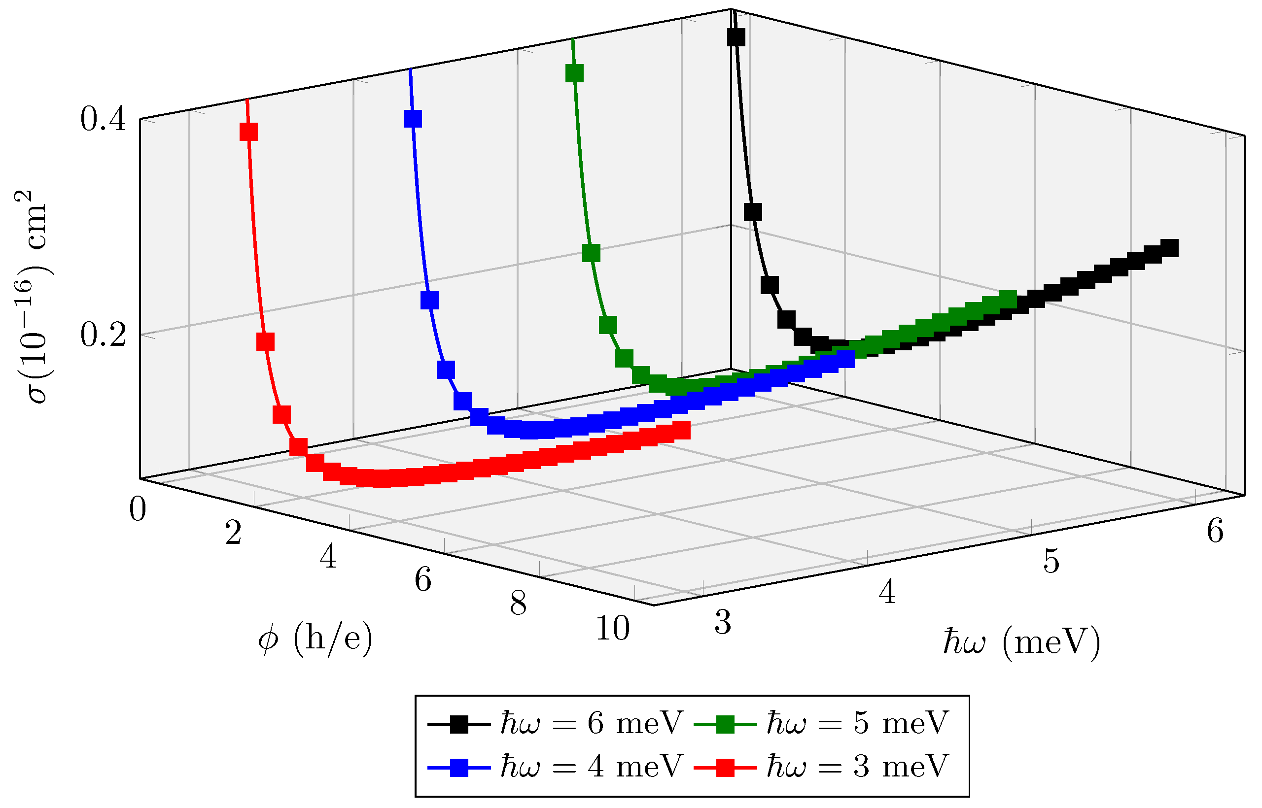
On the other hand, in Figure 13, an interesting aspect is shown. As decreases, the magnitude of the peak increases, and its position shifts to higher energy values. The physical reason for this behavior is that there is a higher probability of the optical transition occurring between the states and in a narrower quantum ring [26]. In the figure, it is possible to observe that the PCS curves were constructed by assigning a fixed value of for the two optical transitions. The smaller peaks correspond to an AB flux value of , represented by curves with filled circles. By making a small variation in , assigning it a value of , the peaks (represented by curves with filled squares) increase to higher PCS values. It is also noted that as the radius increases, the distance between the peaks of the two transitions for the same value of decreases. This demonstrates the effect of a change in AB flux on the probability of an optical transition occurring in the quantum ring.
Figure 13.
Photoionization cross-section as a function of incident photon energy for different average radius. The parameter values used were and .
Since one of the main objectives in this section is to investigate the AB effect present in the PCS, in Figure 14, we plot the PCS curve profile as a function of for different values of . As expected, the curve exhibits a non-monotonic character, which agrees with what is presented in the literature [26,44]. It can be noted that the probability of the transition occurring is higher for more energetic photons.
Figure 14.
Photoionization cross-section as a function of for photons with different incident energies. The parameter values are the same as in Figure 12.
4. 2D Quantum Ring Under Effects of Rotation
In this section, we study the non-relativistic quantum mechanics of a particle confined to move in a 2D quantum ring under the effects of rotation. We also consider the presence of a magnetic flux tube (AB effect) and a uniform magnetic field. We do not consider the particle’s spin effects in our approach. The reason for this is that the particle is confined only to the ring defined by the confining potential (3), and the spin of the particle interacts with the field inside the solenoid only if it accesses the region (an idealized null radius flow tube). Our main goal is to determine the eigenfunctions and eigenvalues of energy and then compare them with the results obtained in Section 2, where we consider the case of quantum rings in the absence of rotation.
The description of a particle model in a rotating frame is usually given via minimal coupling directly into the system’s Hamiltonian. Figure 15 schematically depicts a particle confined to a quantum ring in a rotating frame. The ring is also subject to a uniform magnetic field and in the presence of the AB effect. Electrons are confined to the region bounded by the inner radius and outer radius (the fully shaded area in Figure 15).
Figure 15.
Illustration of an electron in a rotating frame with angular velocity around . Adapted from Ref. [23].
The dynamics of this system take into account the effects of rotation and can be included in the equation of motion through the substitution [108]
where is the particle’s mass and is the gauge field for the rotating frame, defined as
where is the particle’s velocity vector, which is related to the angular velocity as (see Figure 15), where is the position vector from the center of the ring to where the particle is located. Additionally, there is an interaction of the system with a uniform magnetic field , which, along with , is oriented in the positive direction of , and strictly follows the right-hand rule. On the other hand, if it is oriented in the opposite direction, it will exhibit different physical behaviors. These characteristics will be discussed further.
The interaction of a charged particle with the magnetic field is described through the coupling (36). In this case, the four-potential is defined as . The Hamiltonian describing the motion of the particle in the rotating frame is written as [95,108,109,110,111,112]
where is the particle’s angular momentum and is the scalar potential defined in Equation (3), responsible for the particle’s confinement, and is the vector potential given in Equation (2). For the sake of simplicity, in the present model, we consider the idealized model where the sample rotates with a constant angular velocity () around the -axis; i.e., , with being a vector locating a fixed point , as shown in Figure 15.
Considering the fields and potentials as defined earlier, the Hamiltonian for the system is written as
and the Schrödinger equation to be solved is
where, for convenience, we have defined the term , which originates from the minimal coupling and can be understood as a gauge field (effective vector potential) associated with the non-inertial effect of the rotating frame.
In the same way as in Equation (11), we use eigenfunctions in the form
where is the quantum angular momentum number, and the function satisfying the radial differential equation
with
where we have defined the quantities
The energy eigenvalues and normalized wave functions of Equation (42) are
with
being the new effective magnetic length renormalized by the ring confinement and the rotation.
This result shows that the quantized energy eigenvalue depends on the quantum numbers n and m, where n is the quantum number characterizing the particle’s motion in the radial direction and m is the angular momentum. Additionally, three frequencies characterize the energy levels. The first one, , depends on the magnetic field, the coefficient of the confinement potential, and the angular velocity . The second frequency depends on the cyclotron frequency and the rotation angular frequency . Finally, the third frequency is a characteristic of the confinement potential and depends exclusively on the parameter [95].
Non-inertial effects are present as the wave function depends on the rotation parameter. One way to explore such effects is to sketch some graphs of the probability density , exploring some angular velocity values, including zero. Comparing positive and negative rotations implies considering the orientation of the angular vector relative to the z-axis, following the right-hand rule. Such analysis determines whether the system is undergoing clockwise or counterclockwise rotational motion. The values of angular velocities are in terahertz (THz) as a function of the radius r in nanometers, both positive and negative [27].
Figure 16 displays the probability distribution function of cohesively finding a particle in the 2D quantum ring. It can be observed that for the ground electronic state (, ), as the rotation increases, there is a greater concentration of electronic states near the center of the ring. In Figure 16b, the rotation effects can also be observed for other states in addition to the ground state, excited states, in this case, for and .
Figure 16.
(Online color) Probability distribution function for positive rotations. The parameter values used are , , , , and . In (a), we plot the state and, in (b), the state . The black curve in all the graphs represents the value of THz.
For negative rotations, the probability density decreases as the angular velocity moves away from zero, and the resonant peak moves away from the center of the ring, as shown in Figure 17, a behavior similar to the graph in Figure 16. In this setup, and under the given parameters, as the angular velocity increases, the electronic states tend to concentrate towards the center of the ring. Conversely, as the angular velocity decreases, the probability density moves further away from the center, especially for negative values.
Figure 17.
(Online color) Probability distribution function for negative rotations. The parameter values used are , , , , and . In (a), we plot for the state and, in (b), for the state . The black curve in all the graphs represents the value of .
It is worth noting that the angular velocities analyzed in this section are on the order of terahertz, indicating that high speeds are required to explicitly observe rotating effects in graphical analysis. This was also verified in Refs. [23,27,95]. However, even if we do not have a definitive answer for this subject, these effects should be verified at a much lower, experimentally meaningful, range for the rotating parameter [113].
We also elaborated on the representation of the normalized probability density in the plane, where each color corresponds to a numerical value associated with the density. Figure 18 illustrates a series of normalized probability density distributions in the plane considering . As rotation increases, it is possible to observe that the probability of finding the particle approaches the center ( and ), evidenced by the lighter colors, highlighting the contribution of the centrifugal term.
Figure 18.
(Online color) Probability distribution function for different rotations. The parameter values used are , , , and . (a–c) are plotted for the state and (d–f) for the state .
Figure 18 shows the density function for the states and as a function of angular velocity for rotation values of , , and ; the same quantum state can change the profile of the probability density by varying the angular velocity parameter.
For negative rotations, we have the opposite effect. The ring widens as the angular velocity decreases, so the inner edge moves away from the center ( and ). To make this more evident, we plot in Figure 19 two distinct states and for different negative values of angular velocities equal to , , and . The yellowish region with a ring geometry in both the graphs in Figure 18 and Figure 19 is where the particle is most likely to be found. Also note that as the angular velocity varies, this region is affected concerning the center of the quantum ring.
Figure 19.
(Online color) Probability distribution function for negative rotations. The parameter values used are , , , and . (a–c) are plotted for the state and (d–f) for the state .
Likewise, the energy spectrum also undergoes rotation effects. Let us rewrite Equation (49) more explicitly as
to then investigate the effects due to rotation. In the particular case where rotation is zero, we restore the energies (19) from Section 2. On the other hand, if we assume in Equation (52), we obtain the energy spectrum
showing that rotation introduces a shift in the particle’s energy levels.
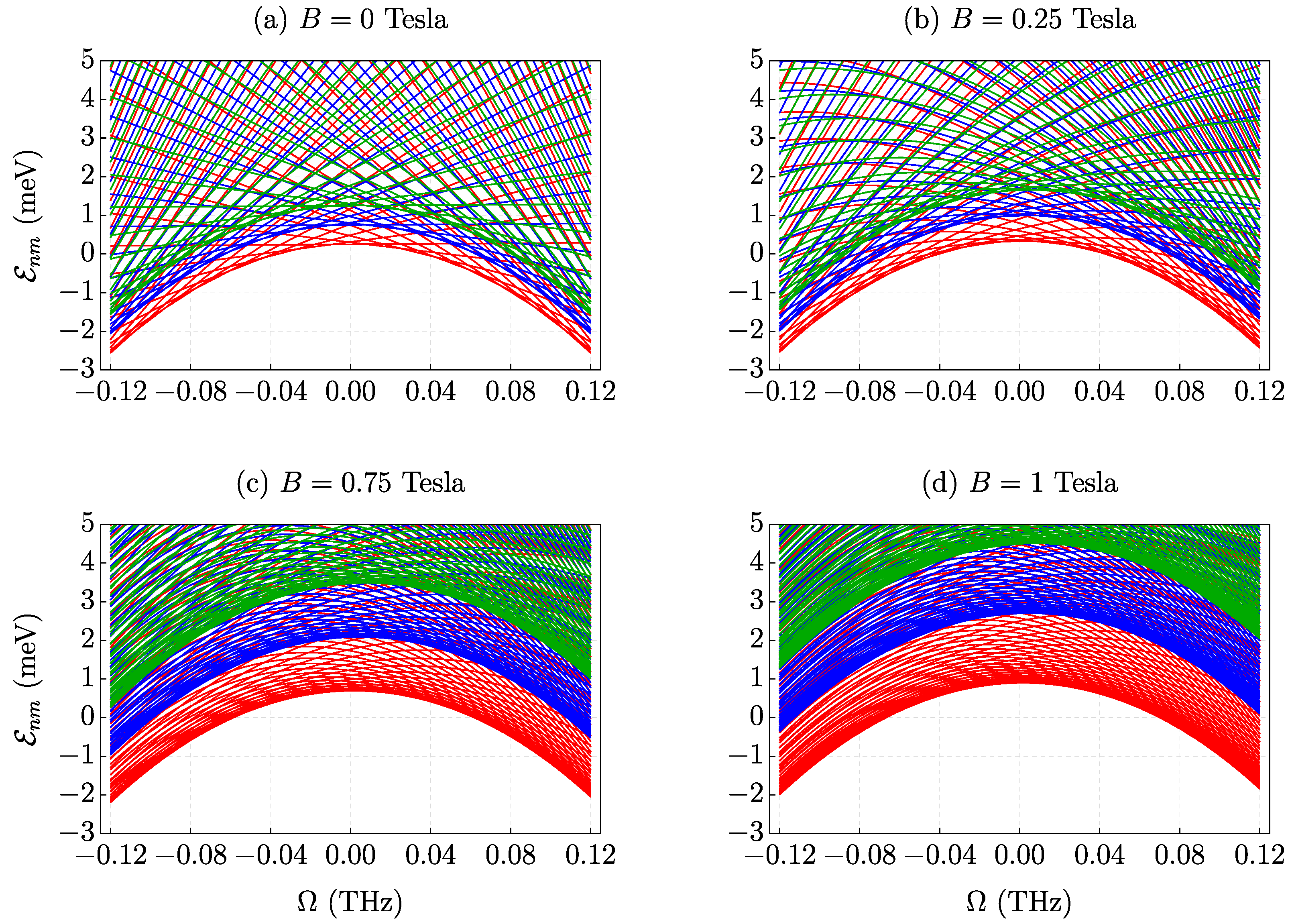
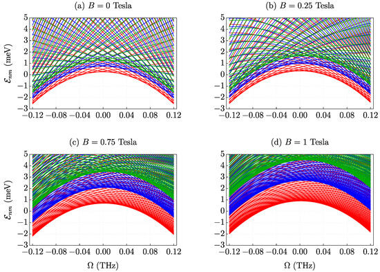
Let us study the energies (52) and investigate the physical implications of rotation and other physical parameters. Figure 20 shows the behavior of the energy eigenvalue in units of from Equation (52) for the three lowest subbands () as a function of angular velocity in .
Figure 20.
(Online color) Energy as a function of angular velocity for the three lowest subbands. The parameter values used are meV, , and nm, and with m ranging from to 1500 with an interval of 10. The red, blue, and green colors are for the quantum numbers , , and , respectively.
Curves of the same color represent a subband indicated by the quantum number n; each curve represents a different state of for distinct m. The states can occupy energy levels from another subband, which is more evident in the first graph for the null magnetic field value . We also observe a greater concentration of electronic states in the lower part of each subband, i.e., the degeneracy is higher; as the energy increases, this degeneracy decreases. For higher values of , we observe that the distribution of states predominantly concentrates on lower energy levels. Figure 20 was constructed for the following fixed magnetic field values: , , , and , as the aim was to analyze the effects that angular velocity has on the energy eigenvalues. Note that for a given chosen magnetic field value, the numerical value of the energy minima of each subband decreases as increases. At , the energy spectrum is symmetrical around . When increases, the energy subbands are shifted towards the negative part of . When B increases, the negative values of are reduced. In this case, we observe an increase in the separation between the energy subbands (Figure 20c,d), a consequence of the combined effects of the magnetic field and rotation. One observed effect that we consider important is that as the B field increases and is negative, the crossing between the different energy curves for m tends to decrease (note the profile of the lines on the negative left-hand side in Figure 20c,d). Since this effect affects the oscillations in the Fermi energy, it should also cause significant changes in the profile of the magnetization and persistent current. This is under investigation, and the results will be presented in a future article.
In parallel, we can see an opposite effect of energy levels regarding the magnetic field, represented by the predominant occupation of these concentrations of states at higher energy levels in the face of small variations in the magnetic field values. As illustrated in Figure 21, it is observed that the lower part of the subbands, where there is a higher concentration of electronic states, shifts to higher energy values as B increases, while it shifts to lower energy values as increases. Each graph in Figure 21 was constructed assuming a fixed rotation parameter since, in this case, we are interested in studying how electronic states evolve as a function of the magnetic field. These two configurations show that one of the effects of rotation is the removal of degeneracy in the inner part of each subband [23]. As in Figure 20, rotation also causes the energy levels to shift towards negative values (Figure 21a,c,d). This effect becomes more visible as increases. Also, the separation of the subbands tends to increase as B increases.
Figure 21.
(Online color) Energy as a function of magnetic field for the three lowest subbands. The parameter values used are meV, , and nm, and with m ranging from to 1500 with an interval of 10. The red, blue, and green colors are for the quantum numbers , , and , respectively.
From the analysis above, we observe that the impact of angular velocity, particularly at high magnitudes (both positive and negative), significantly alters the behavior of the system’s energy levels. Once certain critical values of are exceeded, the energies become negative. This occurs for both positive and negative angular velocities and is intimately linked to the lowering of the system’s energy due to rotational influences. Specifically, the centrifugal effects arising from Coriolis contributions and rotational coupling terms lead to negative energies, highlighting the significant influence of rotational effects on QR systems.
Finally, we want to emphasize that the effects of rotation on energy eigenvalues and probability density of electrons in 2D QRs lead to various consequences for physical properties, as discussed throughout this paper. Specifically, these effects are particularly significant in the photoionization process. The graphs demonstrating the substantial influence of rotation on the PCS of 2D QRs can be found in our referenced work with a co-author [42]; for positive rotation, the peaks of the PCS amplitude are higher for the first transition and lower for the second transition , while the effect of negative rotation is the opposite. Additionally, the energy of the incident photon increases with a higher rotation parameter for the first transition and decreases for the second transition, with the opposite trend observed for negative rotation. This suggests that controlling the rotation can lead to a broader range of possibilities for releasing the bound electron. Our study also highlights the potential impact on applications in devices relying on properties such as the refractive index [27]; a shift towards higher values of the resonant energy peak is observed, accompanied by a decrease in the amplitude of the peaks as rotational effects increase. The effect of negative rotation is exactly the opposite. Furthermore, rotation induces AB-type oscillations in the magnetization of a 2D ring [23].
5. Conclusions
In this work, we have examined various aspects of electronics in low-dimensional semiconductor systems, specifically focusing on quantum rings both in the absence of rotation and under rotating effects. We began by reviewing the theoretical studies conducted by Tan and Inkson, which explored the confinement potential in the presence of a magnetic field and a flux tube passing through the center of the ring. We have outlined the main properties of this system, defining the magnetic field configuration and specific sizes of the confining radial potential, writing the system’s Hamiltonian, and subsequently deriving the radial equation of motion. We solved this equation to find the normalized energies and wave functions. These results were discussed through graphs illustrating the energy levels as a function of the quantum number m, the magnetic field B, the AB flux , and angular velocity .
Additionally, we investigated the optical properties of the quantum system, particularly the photoionization cross-section, which is an important optical property for studying low-dimensional semiconductor structures. The results regarding the incident photon energy and the AB flux for the two lowest optical transitions reveal different values when certain ring parameters are varied, as the energy eigenvalues of the states participating in the optical transitions change. Our findings show that the photoionization cross-section in QRs strongly depends on parameters such as the average radius and the AB flux. Furthermore, we observed that the first transition has a higher probability of leading to the photoionization process compared to the second transition .
Subsequently, we studied the 2D quantum ring under rotation effects. We found that rotation is responsible for the displacement of the probability density of finding the particle in the quantum ring, showing different results for the orientation of the angular velocity vector according to the right-hand rule. The angular velocity variation showed interesting results in the energy eigenvalues, both for positive and negative angular velocities. This, of course, shows that the rotating effect in the Tan–Inkson model may cause important changes in the form and size of the amplitudes and signs of various physical properties, such as the refractive index changes, absorption coefficients, photoionization cross-section, magnetization, and persistent currents, and thermodynamics properties. As mentioned in this review, some of these studies have already been completed, while others have yet to be completed.
The study of QRs and other types of mesoscopic structures is of great importance for various reasons, including the technological evolution of components at the nanometer scale. This rise is a key factor driving their investigation and application in devices with nanostructured configurations. We believe our study opens new perspectives for future investigations in this field, covering electronic, optical, and thermodynamic properties. Additionally, it provides motivation to investigate novel trends in the photoionization process of QRs, such as the presence of impurities [19,106,114], spin–orbit interactions [115,116], and the effects arising from rotation, which are discussed in detail here.
Advances in theoretical studies and experimental validations of mesoscopic models have progressed significantly in recent years. However, the experimental inclusion of rotational effects remains an open challenge. This gap highlights the importance of theoretical investigations, such as the present work, in paving the way for potential experimental realizations. Although studies explicitly addressing rotational effects in 2D quantum rings are lacking experimentally, numerous works have explored the properties of quantum rings without considering rotation. These studies provide valuable insights into quantum interference, persistent currents, and the AB effect [11,117,118], demonstrating the richness of quantum phenomena in mesoscopic systems and laying a strong foundation for further explorations. The theoretical frameworks developed in this domain are crucial for guiding future experimental advancements in the study of rotational effects.
Finally, we would like to emphasize that this work is more than just a simple review. We have approached and presented the results from novel perspectives, and by comparing them with existing literature, we aim to provide the reader with a deeper understanding of the subject. In fact, some of our graphs and numerical results are genuinely novel.
Funding
This research was funded by by the Brazilian agencies CAPES, CNPq, and FAPEMA. E.O. Silva acknowledges CNPq Grant 306308/2022-3, FAPEMA Grants APP-12256/22 and UNIVERSAL-06395/22. F.S. Azevedo acknowledges CNPq Grant No. 153635/2024-0. This study was financed in part by the Coordenação de Aperfeiçoamento de Pessoal de Nível Superior—Brazil (CAPES)—Finance Code 001.
Data Availability Statement
No new data were created or analyzed in this study.
Conflicts of Interest
The authors declare no conflicts of interest.
References
- Madelung, O. Semiconductors: Data Handbook; Springer: Berlin/Heidelberg, Germany, 2012. [Google Scholar]
- YU, P.; Cardona, M. Fundamentals of Semiconductors: Physics and Materials Properties; Graduate Texts in Physics; Springer: Berlin/Heidelberg, Germany, 2010. [Google Scholar]
- Neamen, D.A. Semiconductor Physics and Devices; McGraw-Hill: New York, NY, USA, 2012. [Google Scholar]
- Heinzel, T. Mesoscopic Electronics in Solid State Nanostructures; John Wiley & Sons: Weinheim, Germany, 2006. [Google Scholar]
- Kittel, C. Introduction to Solid State Physics; Wiley: Hoboken, NJ, USA, 2004. [Google Scholar]
- Chen, X.; Lei, Y. Electrical conductivity measurement of ferromagnetic metallic materials using pulsed eddy current method. NDT E Int. 2015, 75, 33–38. [Google Scholar] [CrossRef]
- Gönen, T. Electric Power Distribution System Engineering; Electrical Engineering Series; McGraw-Hill: New York, NY, USA, 1986. [Google Scholar]
- Ferry, D. Transport in Semiconductor Mesoscopic Devices; G—Reference, Information and Interdisciplinary Subjects Series; Institute of Physics Publishing: Bristol, UK, 2015. [Google Scholar]
- Vladimir, M.; Fomin, A. Physics of Quantum Rings; Springer: Berlin/Heidelberg, Germany, 2014. [Google Scholar] [CrossRef]
- Bahar, B.; Chakraborty, T.; Pietiläinen, P. Quantum well studies. Phys. Rev. B 1994, 50, 8460–8463. [Google Scholar] [CrossRef]
- Lorke, A.; Luyken, R.J.; Govorov, A.O.; Kotthaus, J.P.; Garcia, J.M.; Petroff, P.M. Spectroscopy of nanoscopic semiconductor rings. Phys. Rev. Lett. 2000, 84, 2223–2226. [Google Scholar] [CrossRef] [PubMed]
- Bahar, M.; Rodríguez-Magdaleno, K.; Martínez-Orozco, J.C.; Mora-Ramos, M.E.; Ungan, F. Optical properties of a triple AlGaAs/GaAs quantum well purported for quantum cascade laser active region. Mater. Today Commun. 2021, 26, 101936. [Google Scholar] [CrossRef]
- Chen, B.; Guo, K.X.; Wang, R.Z.; Zheng, Y.B.; Li, B. Nonlinear optical rectification in asymmetric double triangular quantum wells. Eur. Phys. J. B 2008, 66, 227–233. [Google Scholar] [CrossRef]
- Enders, B.; Lima, F.; Nunes, O.; Fonseca, A.; Agrello, D.; Qu, F.; Da Silva, E., Jr.; Freire, V. Electronic properties of a quasi-two-dimensional electron gas in semiconductor quantum wells under intense laser fields. Phys. Rev. B 2004, 70, 035307. [Google Scholar] [CrossRef]
- de Lira, F.A.; Silva, E.O. Theoretical approach for the description of a single quantum dot using geometry. Phys. E Low-Dimens. Syst. Nanostruct. 2023, 147, 115617. [Google Scholar] [CrossRef]
- Pereira, L.F.C.; Andrade, F.M.; Filgueiras, C.; Silva, E.O. Modifications of Electron States, Magnetization, and Persistent Current in a Quantum Dot by Controlled Curvature. Ann. Der Phys. 2019, 531, 1900254. [Google Scholar] [CrossRef]
- Candemir, N.; Özdemir, A. Linear and nonlinear optical properties in a GaAs quantum dot with disclination under magnetic field and Aharonov-Bohm flux field. Phys. Lett. A 2023, 492, 129226. [Google Scholar] [CrossRef]
- Chubrei, M.; Holovatsky, V.; Duque, C. Effect of magnetic field on donor impurity-related photoionisation cross-section in multilayered quantum dot. Philos. Mag. 2021, 101, 2614–2633. [Google Scholar] [CrossRef]
- Pal, S.; Ghosh, M.; Duque, C. Impurity related optical properties in tuned quantum dot/ring systems. Philos. Mag. 2019, 99, 2457–2486. [Google Scholar] [CrossRef]
- Pérez, L.M.; Aghoutane, N.; Laroze, D.; Díaz, P.; El-Yadri, M.; Feddi, E.M. Intense Laser Field Effect on the Photo-Ionization Cross-Section of the First Exciton Transition in a Core/Shell Quantum Dot Submitted to an Applied Electric Field. Coatings 2023, 13, 1098. [Google Scholar] [CrossRef]
- Baghdasaryan, D.; Hayrapetyan, D.; Kazaryan, E.; Sarkisyan, H. Thermal and magnetic properties of electron gas in toroidal quantum dot. Phys. E Low-Dimens. Syst. Nanostruct. 2018, 101, 1–4. [Google Scholar] [CrossRef]
- Pereira, L.F.C.; Andrade, F.M.; Filgueiras, C.; Silva, E.O. Effects of Curvature on the Electronic States of a Two-Dimensional Mesoscopic Ring. Few-Body Syst. 2022, 63, 64. [Google Scholar] [CrossRef]
- Pereira, L.F.C.; Silva, E.O. Modification of Landau Levels in a 2D Ring Due to Rotation Effects and Edge States. Ann. Der Phys. 2023, 535, 2200371. [Google Scholar] [CrossRef]
- de Lira, F.A.; Pereira, L.F.C.; Silva, E.O. Study on the effects of anisotropic effective mass on electronic properties, magnetization and persistent current in semiconductor quantum ring with conical geometry. Phys. E Low-Dimens. Syst. Nanostruct. 2024, 158, 115898. [Google Scholar] [CrossRef]
- Pereira, L.F.C.; Andrade, F.M.; Filgueiras, C.; Silva, E.O. Study of electronic properties, magnetization and persistent currents in a mesoscopic ring by controlled curvature. Phys. E Low-Dimens. Syst. Nanostruct. 2021, 132, 114760. [Google Scholar] [CrossRef]
- Jin, M.; Xie, W.; Chen, T. Photoionization cross section in a two-dimensional quantum ring with a donor impurity. Superlattices Microstruct. 2013, 62, 59–67. [Google Scholar] [CrossRef]
- Lima, D.F.; Azevedo, F.D.S.; Pereira, L.F.C.; Filgueiras, C.; Silva, E.O. Optical and electronic properties of a two-dimensional quantum ring under rotating effects. Ann. Phys. 2023, 459, 169547. [Google Scholar] [CrossRef]
- Pereira, L.F.C.; Cunha, M.M.; Silva, E.O. 1D Quantum ring: A Toy Model Describing Noninertial Effects on Electronic States, Persistent Current and Magnetization. Few-Body Syst. 2022, 63, 58. [Google Scholar] [CrossRef]
- Poole, C.P.; Owens, F.J. Introduction to Nanotechnology; John Wiley & Sons: Hoboken, NJ, USA, 2003. [Google Scholar]
- Xia, J.B.; Cheah, K.W. Quantum confinement effect in thin quantum wires. Phys. Rev. B 1997, 55, 15688–15693. [Google Scholar] [CrossRef]
- Bayer, M.; Walck, S.N.; Reinecke, T.L.; Forchel, A. Exciton binding energies and diamagnetic shifts in semiconductor quantum wires and quantum dots. Phys. Rev. B 1998, 57, 6584–6591. [Google Scholar] [CrossRef]
- Yakimenko, I.I.; Yakimenko, I.P. Electronic properties of semiconductor quantum wires for shallow symmetric and asymmetric confinements. J. Phys. Condens. Matter 2021, 34, 105302. [Google Scholar] [CrossRef]
- Heyn, C.; Radu, A.; Vinasco, J.; Laroze, D.; Restrepo, R.; Tulupenko, V.; Hieu, N.N.; Phuc, H.V.; Mora-Ramos, M.; Ojeda, J.; et al. Exciton states in conical quantum dots under applied electric and magnetic fields. Opt. Laser Technol. 2021, 139, 106953. [Google Scholar] [CrossRef]
- Chakraborty, T. Quantum Dots: A Survey of the Properties of Artificial Atoms; Elsevier Science: Amsterdam, The Netherlands, 1999. [Google Scholar]
- Maksym, P.A.; Chakraborty, T. Quantum dots in a magnetic field: Role of electron-electron interactions. Phys. Rev. Lett. 1990, 65, 108–111. [Google Scholar] [CrossRef]
- Bose, C.; Sarkar, C. Effect of a parabolic potential on the impurity binding energy in spherical quantum dots. Phys. B Condens. Matter 1998, 253, 238–241. [Google Scholar] [CrossRef]
- Çakır, B.; Yakar, Y.; Özmen, A. Refractive index changes and absorption coefficients in a spherical quantum dot with parabolic potential. J. Lumin. 2012, 132, 2659–2664. [Google Scholar] [CrossRef]
- Biasiol, G.; Heun, S. Compositional Mapping of Semiconductor Quantum Dots and Rings; Physics Reports; Elsevier: Amsterdam, The Netherlands, 2011. [Google Scholar]
- Cotta, M.A. Quantum Dots and Their Applications: What Lies Ahead? ACS Appl. Nano Mater. 2020, 3, 4920–4924. [Google Scholar] [CrossRef]
- Chistyakov, A.A.; Zvaigzne, M.A.; Nikitenko, V.R.; Tameev, A.R.; Martynov, I.L.; Prezhdo, O.V. Optoelectronic Properties of Semiconductor Quantum Dot Solids for Photovoltaic Applications. J. Phys. Chem. Lett. 2017, 8, 4129–4139. [Google Scholar] [CrossRef]
- Ameta, R.; Bhatt, J.; Ameta, S. Quantum Dots: Fundamentals, Synthesis and Applications; Elsevier Science: Amsterdam, The Netherlands, 2022. [Google Scholar]
- Pereira, C.M.O.; dos S Azevedo, F.; Pereira, L.F.C.; Silva, E.O. Rotating effects on the photoionization cross-section of a 2D quantum ring. Commun. Theor. Phys. 2024, 76, 105701. [Google Scholar] [CrossRef]
- Aharonov, Y.; Bohm, D. Significance of electromagnetic potentials in quantum theory. Phys. Rev. 1959, 115, 485–491. [Google Scholar] [CrossRef]
- Xie, W. Photoionization cross section in a two-dimensional quantum ring: Aharonov–Bohm effect. Superlattices Microstruct. 2013, 58, 94–100. [Google Scholar] [CrossRef]
- González-Santander, C.; Domínguez-Adame, F.; Römer, R.A. Excitonic Aharonov-Bohm effect in a two-dimensional quantum ring. Phys. Rev. B 2011, 84, 235103. [Google Scholar] [CrossRef]
- Arnold, T.; Tang, C.S.; Manolescu, A.; Gudmundsson, V. Magnetic-field-influenced nonequilibrium transport through a quantum ring with correlated electrons in a photon cavity. Phys. Rev. B 2013, 87, 035314. [Google Scholar] [CrossRef]
- Chakraborty, T.; Pietiläinen, P. Persistent currents in a quantum ring: Effects of impurities and interactions. Phys. Rev. B 1995, 52, 1932–1935. [Google Scholar] [CrossRef]
- Seo, M.; Jung, H.; Chung, Y. Electron Interference in a Quantum Ring with a Tunable Magnetic Field Shield. Appl. Sci. Converg. Technol. 2021, 30, 62–64. [Google Scholar] [CrossRef]
- Oliveira, R.R.; Araújo Filho, A.A.; Lima, F.C.; Maluf, R.V.; Almeida, C.A. Thermodynamic properties of an Aharonov-Bohm quantum ring. Eur. Phys. J. Plus 2019, 134, 495. [Google Scholar] [CrossRef]
- Fuhrer, A.; Lüscher, S.; Ihn, T.; Heinzel, T.; Ensslin, K.; Wegscheider, W.; Bichler, M. Energy spectra of quantum rings. Nature 2001, 413, 822–825. [Google Scholar] [CrossRef]
- Földi, P.; Molnár, B.; Benedict, M.G.; Peeters, F.M. Spintronic single-qubit gate based on a quantum ring with spin-orbit interaction. Phys. Rev. B 2005, 71, 033309. [Google Scholar] [CrossRef]
- Xie, W. Aharonov-Bohm oscillation of photoionization cross section in a quantum ring with a repulsive scattering center. Phys. Lett. A 2013, 377, 903–906. [Google Scholar] [CrossRef]
- Gumber, S.; Bhattacherjee, A.B.; Jha, P.K. Spin transport in a Rashba-coupled two-dimensional quantum ring: An analytical model. Phys. Rev. B 2018, 98, 205408. [Google Scholar] [CrossRef]
- Pereira, L.F.C.; de Lira, F.A.; Silva, E.O. Quantum rings: Electronic properties. In Encyclopedia of Condensed Matter Physics, 2nd ed.; Chakraborty, T., Ed.; Academic Press: Oxford, UK, 2024; pp. 415–425. [Google Scholar] [CrossRef]
- Bakke, K.; Furtado, C. On the confinement of a Dirac particle to a two-dimensional ring. Phys. Lett. A 2012, 376, 1269–1273. [Google Scholar] [CrossRef]
- Bakke, K.; Belich, H. On the Lorentz symmetry breaking effects on a Dirac neutral particle inside a two-dimensional quantum ring. Eur. Phys. J. Plus 2014, 129, 147. [Google Scholar] [CrossRef]
- Liang, S.; Xie, W.; Shen, H. Optical properties in a two-dimensional quantum ring: Confinement potential and Aharonov–Bohm effect. Opt. Commun. 2011, 284, 5818–5828. [Google Scholar] [CrossRef]
- Aghoutane, N.; El-Yadri, M.; El Aouami, A.; Feddi, E.; Dujardin, F.; El Haouari, M.; Duque, C.A.; Nguyen, C.V.; Phuc, H.V. Refractive index changes and optical absorption involving 1s–1p excitonic transitions in quantum dot under pressure and temperature effects. Appl. Phys. A 2018, 125, 17. [Google Scholar] [CrossRef]
- Omugbe, E.; Osafile, O.E.; Njoku, I.J.; Jahanshir, A.; Edet, C.O.; Okon, I.B.; Eyube, E.S.; Onate, C.A.; Horchani, R.; William, E.S.; et al. Information-theoretic measures and thermodynamic properties under magnetic and Aharonov–Bohm flux fields. Eur. Phys. J. D 2023, 77, 143. [Google Scholar] [CrossRef]
- William, E.S.; Onye, S.C.; Ikot, A.N.; Nwachukwu, A.N.; Inyang, E.P.; Okon, I.B.; Akpan, I.O.; Ita, B.I. Magnetic susceptibility and Magnetocaloric effect of Frost-Musulin potential subjected to Magnetic and Aharonov-Bohm (Flux) fields for CO and NO diatomic molecules. J. Theor. Appl. Phys. 2023, 17. [Google Scholar] [CrossRef]
- Edet, C.; Lakaal, K.; El Hamdaoui, J.; Feddi, K.; Pérez, L.; Feddi, E.; Ikot, A.; Ali, N.; Rais, S.A.A.; Asjad, M. Investigating the magneto-transport and thermal properties of 2D electron systems under the influence of the Aharonov–Bohm field and Eckart potential interaction. Phys. B Condens. Matter 2024, 673, 415438. [Google Scholar] [CrossRef]
- Isonguyo, C.N.; Ituen, E.E.; Okon, I.B.; Udoh, M.E.; Antia, A.D.; Ikot, A.N. Effects of magnetic and Aharonov–Bohm flux fields on information entropy with modified Kratzer plus screened Coulomb potential for selected diatomic molecules. Mol. Phys. 2024, e2338400. [Google Scholar] [CrossRef]
- Okon, I.B.; Onate, C.A.; Omugbe, E.; Okorie, U.S.; Edet, C.O.; Antia, A.D.; Araujo, J.P.; Isonguyo, C.N.; Onyeaju, M.C.; William, E.S.; et al. Aharonov–Bohm (AB) flux and thermomagnetic properties of Hellmann plus screened Kratzer potential as applied to diatomic molecules using Nikiforov–Uvarov-Functional-Analysis (NUFA) method. Mol. Phys. 2022, 120, e2046295. [Google Scholar] [CrossRef]
- Edet, C.O.; Ikot, A.N.; Onyeaju, M.C.; Okorie, U.S.; Rampho, G.J.; Lekala, M.L.; Kaya, S. Thermo-magnetic properties of the screened Kratzer potential with spatially varying mass under the influence of Aharanov-Bohm(AB) and position-dependent magnetic fields. Phys. E Low-Dimens. Syst. Nanostruct. 2021, 131, 114710. [Google Scholar] [CrossRef]
- Edet, C.O.; Amadi, P.O.; Onyeaju, M.C.; Okorie, U.S.; Sever, R.; Rampho, G.J.; Abdullah, H.Y.; Salih, I.H.; Ikot, A.N. Thermal Properties and Magnetic Susceptibility of Hellmann Potential in Aharonov–Bohm (AB) Flux and Magnetic Fields at Zero and Finite Temperatures. J. Low Temp. Phys. 2021, 202, 83–105. [Google Scholar] [CrossRef]
- Kim, H.; Park, S.; Okuyama, R.; Kyhm, K.; Eto, M.; Taylor, R.A.; Nogues, G.; Dang, L.S.; Potemski, M.; Je, K.; et al. Light Controlled Optical Aharonov–Bohm Oscillations in a Single Quantum Ring. Nano Lett. 2018, 18, 6188–6194. [Google Scholar] [CrossRef] [PubMed]
- Li, L.L.; Moldovan, D.; Vasilopoulos, P.; Peeters, F.M. Aharonov-Bohm oscillations in phosphorene quantum rings. Phys. Rev. B 2017, 95, 205426. [Google Scholar] [CrossRef]
- Suárez, F.; Granados, D.; Dotor, M.L.; García, J.M. Laser devices with stacked layers of InGaAs/GaAs quantum rings. Nanotechnology 2004, 15, S126. [Google Scholar] [CrossRef]
- Solaimani, M.; Mobini, A.; Kenari, A.R. Optical absorption engineering in two-dimensional quantum rings: Design and optimization for FIR to MIR detection applications. Opt. Quantum Electron. 2022, 54, 463. [Google Scholar] [CrossRef]
- Li, B.; Peeters, F.M. Tunable optical Aharonov-Bohm effect in a semiconductor quantum ring. Phys. Rev. B 2011, 83, 115448. [Google Scholar] [CrossRef]
- Filgueiras, C.; Brandão, J.; Moraes, F. Tuning the Hall conductivity with rotation. Europhys. Lett. 2015, 110, 27003. [Google Scholar] [CrossRef]
- Oliveira, A.B.; Bakke, K. Effects on a Landau-type system for a neutral particle with no permanent electric dipole moment subject to the Kratzer potential in a rotating frame. Proc. R. Soc. A Math. Phys. Eng. Sci. 2016, 472, 20150858. [Google Scholar] [CrossRef]
- Brandão, J.E.; Moraes, F.; Cunha, M.; Lima, J.R.; Filgueiras, C. Inertial-Hall effect: The influence of rotation on the Hall conductivity. Results Phys. 2015, 5, 55–59. [Google Scholar] [CrossRef]
- Bakke, K. Effects of rotation in the spacetime with the distortion of a vertical line into a vertical spiral. Eur. Phys. J. Plus 2019, 134, 546. [Google Scholar] [CrossRef]
- Ghanbari, A. Rotating effects on the thermophysical properties of a two-dimensional GaAs quantum ring. Commun. Theor. Phys. 2024, 76, 065504. [Google Scholar] [CrossRef]
- Bakke, K. On the Rotating Effects and the Landau-Aharonov-Casher System Subject to a Hard-Wall Confining Potential in the Cosmic String Spacetime. Int. J. Theor. Phys. 2015, 54, 2119–2126. [Google Scholar] [CrossRef]
- Berthel, M.; Mollet, O.; Dantelle, G.; Gacoin, T.; Huant, S.; Drezet, A. Influence of rotation on quantum rings. Phys. Rev. B 2015, 91, 035308. [Google Scholar] [CrossRef]
- Araki, Y.; Nomura, K. Photoionization in rotating quantum rings. Phys. Rev. B 2017, 96, 165303. [Google Scholar] [CrossRef]
- Alicea, J. Non-Abelian statistics and topological quantum computation. Nat. Phys. 2011, 7, 412–417. [Google Scholar] [CrossRef]
- Li, G.; Yang, N.; Chu, W.; Song, H.; Zhu, J.L. Magnetic quantum ring in two-dimensional topological insulators. Phys. Lett. A 2019, 383, 125865. [Google Scholar] [CrossRef]
- Wagner, G.; de Juan, F.; Nguyen, D.X. Landau levels in curved space realized in strained graphene. SciPost Phys. Core 2022, 5, 029. [Google Scholar] [CrossRef]
- Perfetto, E.; González, J.; Guinea, F.; Bellucci, S.; Onorato, P. Quantum Hall effect in carbon nanotubes and curved graphene strips. Phys. Rev. B 2007, 76, 125430. [Google Scholar] [CrossRef]
- Can, T.; Laskin, M.; Wiegmann, P.B. Geometry of quantum Hall states: Gravitational anomaly and transport coefficients. Ann. Phys. 2015, 362, 752–794. [Google Scholar] [CrossRef]
- Sarkar, S. Exotic States in Quantum Nanostructures; Springer: Amsterdam, The Netherlands, 2013. [Google Scholar]
- Tan, W.C.; Inkson, J.C. Electron states in a two-dimensional ring—An exactly soluble model. Semicond. Sci. Technol. 1996, 11, 1635. [Google Scholar] [CrossRef]
- Tan, W.C.; Inkson, J.C. Magnetization, persistent currents, and their relation in quantum rings and dots. Phys. Rev. B 1999, 60, 5626–5635. [Google Scholar] [CrossRef]
- Olendski, O. One-dimensional pseudoharmonic oscillator: Classical remarks and quantum-information theory. J. Phys. Commun. 2023, 7, 045002. [Google Scholar] [CrossRef]
- Ghanbari, A.; Khordad, R.; Taghizadeh, F.; Nasirizadeh, I.; Edet, C.; Ali, N. Impurity effect on thermal properties of tuned quantum dot/ring systems. Chem. Phys. Lett. 2022, 806, 140000. [Google Scholar] [CrossRef]
- Oliveira, R.R.S. Topological and noninertial effects in an Aharonov–Bohm ring. Gen. Relativ. Gravit. 2019, 51, 120. [Google Scholar] [CrossRef]
- Olendski, O. Quantum information measures of the Aharonov–Bohm ring in uniform magnetic fields. Phys. Lett. A 2019, 383, 1110–1122. [Google Scholar] [CrossRef]
- Filgueiras, C.; Rojas, M.; Aciole, G.; Silva, E.O. Landau quantization, Aharonov–Bohm effect and two-dimensional pseudoharmonic quantum dot around a screw dislocation. Phys. Lett. A 2016, 380, 3847–3853. [Google Scholar] [CrossRef]
- Khajeh Salehani, H.; Shakouri, K.; Esmaeilzadeh, M. Effect of donor impurity dislocation in elliptical quantum rings. Phys. B Condens. Matter 2015, 459, 36–40. [Google Scholar] [CrossRef]
- Bakke, K. A geometric approach to confining a Dirac neutral particle in analogous way to a quantum dot. Eur. Phys. J. B 2012, 85, 354. [Google Scholar] [CrossRef]
- Hernandez, F.G.G.; Gusev, G.M.; Kvon, Z.D.; Portal, J.C. Linear and nonlinear transport in a small charge-tunable open quantum ring. Phys. Rev. B 2011, 84, 075332. [Google Scholar] [CrossRef]
- Dantas, L.; Furtado, C.; Silva Netto, A. Quantum ring in a rotating frame in the presence of a topological defect. Phys. Lett. A 2015, 379, 11–15. [Google Scholar] [CrossRef]
- Fang, H.; Mahalingam, H.; Li, X.; Han, X.; Qiu, Z.; Han, Y.; Noori, K.; Dulal, D.; Chen, H.; Lyu, P.; et al. Atomically precise vacancy-assembled quantum antidots. Nat. Nanotechnol. 2023, 18, 1401–1408. [Google Scholar] [CrossRef] [PubMed]
- Haug, H.; Koch, S.W. Quantum Theory of the Optical and Electronic Properties of Semiconductors; World Scientific Publishing Company: Hackensack, NJ, USA, 2009. [Google Scholar]
- Kalt, H.; Klingshirn, C. Semicond. Optics; Springer: Boston, MA, USA, 2019. [Google Scholar]
- Tan, W.C.; Inkson, J.C. Landau quantization and the Aharonov-Bohm effect in a two-dimensional ring. Phys. Rev. B 1996, 53, 6947–6950. [Google Scholar] [CrossRef]
- Liu, J.; Gao, W.X.; Ismail, K.; Lee, K.Y.; Hong, J.M.; Washburn, S. Correlations between Aharonov-Bohm effects and one-dimensional subband populations in GaAs/AlxGa1−xAs rings. Phys. Rev. B 1993, 48, 15148–15157. [Google Scholar] [CrossRef]
- Tshipa, M. Photoionization cross section in a spherical quantum dot: Effects of some parabolic confining electric potentials. Condens. Matter Phys. 2017, 20, 23703. [Google Scholar] [CrossRef]
- Tshipa, M.; Sharma, L.K.; Pratap, S. Photoionization cross-section in a GaAs spherical quantum shell: The effect of parabolic confining electric potentials. Eur. Phys. J. B 2021, 94, 129. [Google Scholar] [CrossRef]
- Mantashian, G.A.; Hayrapetyan, D.B. Impurity effects on binding energy, diamagnetic susceptibility and photoionization cross-section of chalcopyrite AgInSe2 nanotadpole. J. Phys. Condens. Matter 2022, 34, 245302. [Google Scholar] [CrossRef]
- Lax, M. Proceedings of the 1954 Atlantic City Conference on Photoconductivity, Atlantic, NJ, USA,4–6 November 1954; Breckenridge, R.G., Russell, B.R., Hahn, E.E., Eds.; Wiley: New York, NY, USA, 1956. [Google Scholar]
- Lax, M. The Franck-Condon Principle and Its Application to Crystals. J. Chem. Phys. 2004, 20, 1752–1760. [Google Scholar] [CrossRef]
- Şahin, M. Photoionization cross section and intersublevel transitions in a one- and two-electron spherical quantum dot with a hydrogenic impurity. Phys. Rev. B 2008, 77, 045317. [Google Scholar] [CrossRef]
- Ridley, B.K. Quantum Processes in Semiconductors; Oxford University Press: Oxford, UK, 2013. [Google Scholar] [CrossRef]
- Rizzi, G.; Ruggiero, M.L. Relativity in Rotating Frames: Relativistic Physics in Rotating Reference Frames; Springer: Dordrecht, The Netherlands, 2004. [Google Scholar]
- Maia, A.; Bakke, K. Effects of rotation on the Landau levels in an elastic medium with a spiral dislocation. Ann. Phys. 2020, 419, 168229. [Google Scholar] [CrossRef]
- Brito, E.; Brandão, J.E.; Cunha, M.M. Spinning Systems in Quantum Mechanics: An Overview and New Trends. Universe 2024, 10, 389. [Google Scholar] [CrossRef]
- Vieira, S.L.R.; Bakke, K. Effects of rotation on a magnetic quadrupole moment system around a cylindrical cavity. Phys. Rev. A 2022, 106, 022211. [Google Scholar] [CrossRef]
- da Silva, W.C.F.; Bakke, K. On the effects of rotation and spiral dislocation topology on the persistent currents and quantum revivals in a cylindrical wire. Eur. Phys. J. Plus 2021, 136, 920. [Google Scholar] [CrossRef]
- Merlin, R. Rotational anomalies of mesoscopic rings. Phys. Lett. A 1993, 181, 421–423. [Google Scholar] [CrossRef]
- Peter, A.J.; Kasapoglu, E.; Ungan, F. Magneto-optical properties of impurity associated photoionization cross-section in laser-driven delta-doped quantum wires. Phys. B Condens. Matter 2021, 620, 413285. [Google Scholar] [CrossRef]
- Chowdhury, D.; Basu, B. Effect of spin rotation coupling on spin transport. Ann. Phys. 2013, 339, 358–370. [Google Scholar] [CrossRef][Green Version]
- Smolkina, M.O.; Popov, I.Y.; Chatterjee, A. The effect of Rashba spin-orbit interaction on persistent current in a chain of two Holstein-Hubbard rings. J. Phys. Conf. Ser. 2019, 1400, 077011. [Google Scholar] [CrossRef]
- Mailly, D.; Chapelier, C.; Benoit, A. Experimental observation of persistent currents in GaAs-AlGaAs single loop. Phys. Rev. Lett. 1993, 70, 2020–2023. [Google Scholar] [CrossRef]
- Keyser, U.F.; Schumacher, H.W.; Zeitler, U.; Haug, R.J.; Eberl, K. Fabrication of freely suspended semiconductor quantum rings. Semicond. Sci. Technol. 2003, 18, 1467–1470. [Google Scholar]
Disclaimer/Publisher’s Note: The statements, opinions and data contained in all publications are solely those of the individual author(s) and contributor(s) and not of MDPI and/or the editor(s). MDPI and/or the editor(s) disclaim responsibility for any injury to people or property resulting from any ideas, methods, instructions or products referred to in the content. |
© 2024 by the authors. Licensee MDPI, Basel, Switzerland. This article is an open access article distributed under the terms and conditions of the Creative Commons Attribution (CC BY) license (https://creativecommons.org/licenses/by/4.0/).




















