Synthetic Drivers’ Performance Measures Related to Vehicle Dynamics to Control Road Safety in Curves
Abstract
:1. Introduction
2. Methodology
- Pre- and post-drive questionnaire (including informed consent).
- Drive on a training road (the duration of this step was subjective depending on the ability of the drivers).
- Drive on the main track (for about 10 min).
- Rc—curve radius.
- α—central angle.
- Tan—tangent of the circular arc.
- L—total length of the geometric element.
- N—clothoids’ shape parameter.
- A—clothoids’ scale parameter.
- τF—deviation angle of the clothoids’ end point.
- Tl—long tangent.
- Tk—short tangent.
| Rc = 60 | Rc = 100 | ||
|---|---|---|---|
| Circular | α [°] | 40.2176 | 43.3307 |
| Tan [m] | 21.97 | 39.72 | |
| L [m] | 42.12 | 75.63 | |
| Clothoid | N | 1 | 1 |
| A | 50 | 80 | |
| L [m] | 41.66 | 64 | |
| τF [°] | 19.8912 | 18.3346 | |
| TI [m] | 27.95 | 42.9 | |
| Tk [m] | 14.05 | 21.54 |
The Performance Variables
- [TANGENT and A]: According to the Italian standards [40], speed variations are allowed on straight sections of roads and, when of small extent, on transition curves. In this regard, a typical ideal value of acceleration at singular points or far from intersections is indicated by the Italian standards and is equal to AccStd = 0.8 m/s2. Near intersections or singular points, this value could reach 1.5–2.0 m/s2. Beyond these thresholds, this variable may be symptomatic of sudden maneuvers or unexpected scenarios (sudden obstacles or insufficient visibility distances).
- [R]: Along circular curves, AccX should be zero as these elements should be traveled at a constant speed. Any different value should be considered as a potential criticality unless due to random and periodic steering movements.

- Along transition curves, conditions of uniformly accelerated motion should happen, and thus, the indicator should represent and evaluate the constancy of the longitudinal acceleration. For the ingoing clothoids, an indicator named AccXA(In) is proposed. In detail, AccXA(In) is the ratio between the average of the absolute values of AccX along the ingoing clothoids and AccStd (Equation (1)). When it is equal to or greater than 1, the user has accelerated along this section at least by the quantity provided by the standard. Lower values represent reduced acceleration and, therefore, a preferable behavior. The same reasoning has been applied to the outgoing clothoids, identifying the corresponding indicator, named AccXA(Out) (Equation (2)).AccXA(In) = AVE|AccXA(In)|/AccStdAccXA(Out) = AVE|AccXA(Out)|/AccStd
- Along circular curves, similarly, an index named AccXR is proposed. It is equal to the ratio between the average of the AccX absolute values along the circular curve and AccStd (Equation (3)). The ideal value of this indicator should tend to zero, evidencing quite uniform motion conditions.AccXR = AVE|AccXR|/AccStd
- [TANGENT]: SP absolute values along tangents should be compared with the speed design (Sd) and/or operative speed values, as well as the speed limit. In this way, appropriate attention and alarm thresholds could be established. It is also important to study the effective trend of the function. If the previous elements allow the driver to reach higher SP values than that allowable on the circular curves, except for special cases, the approach speed to the curve should have a decreasing trend, in agreement with the adjacent transition curve. This, in truth, represents the most common scenario in rural roads in the Italian context.
- [A]: According to the Italian standards, only small speed variations may be permitted along transition curves (below 10 km/h). Moreover, regarding the SP trends, as in the case of tangent sections, decreasing speed in the ingoing clothoids and increasing speed in the outgoing ones are expected.
- [R]: The theoretical reference value of the design speed Sd, along circular curves, can be derived from the limit equilibrium conditions, as reported in many international standards. Alternatively, the V85 value could be obtained from empirical laws reported in the literature. In any case, in ideal conditions, the trend should be constant throughout the entire circular arc development.

- In the previously described scenario, the ingoing clothoids section should be driven in deceleration to adjust the speed from the straight to the circular curve, along which it is constant. Then, an index named SP(Ain) is proposed, representing the speed difference between the initial (1) and final points (2) of the clothoids (Equation (4)). This speed variation should be limited to 10 km/h to avoid discomfort to the user:SP(AIn) = (SP1 − SP2)
- Analogously, along the ongoing clothoids, the speed should instead increase, which means that the user has perceived the exit from the curve and adjusts the speed for the next straight section. Also, in this case, the speed variation should be limited to 10 km/h to avoid disturbing the user; then, an analogous index, named SPAOut, is proposed, considering the speed difference between the initial (3) and final points (4) of this transition curve (Equation (5)):SP(AOut) = (SP4 − SP3)
- Finally, for the circular section, an index named SPR is proposed. It is equal to the ratio between the mean of the SP absolute values along the circular section and the maximum of the absolute values (Equation (6)). The ideal value of this indicator should be close to one, evidencing potential uniform motion conditions:SPR = AVE|SPR|/MAX|SPR|
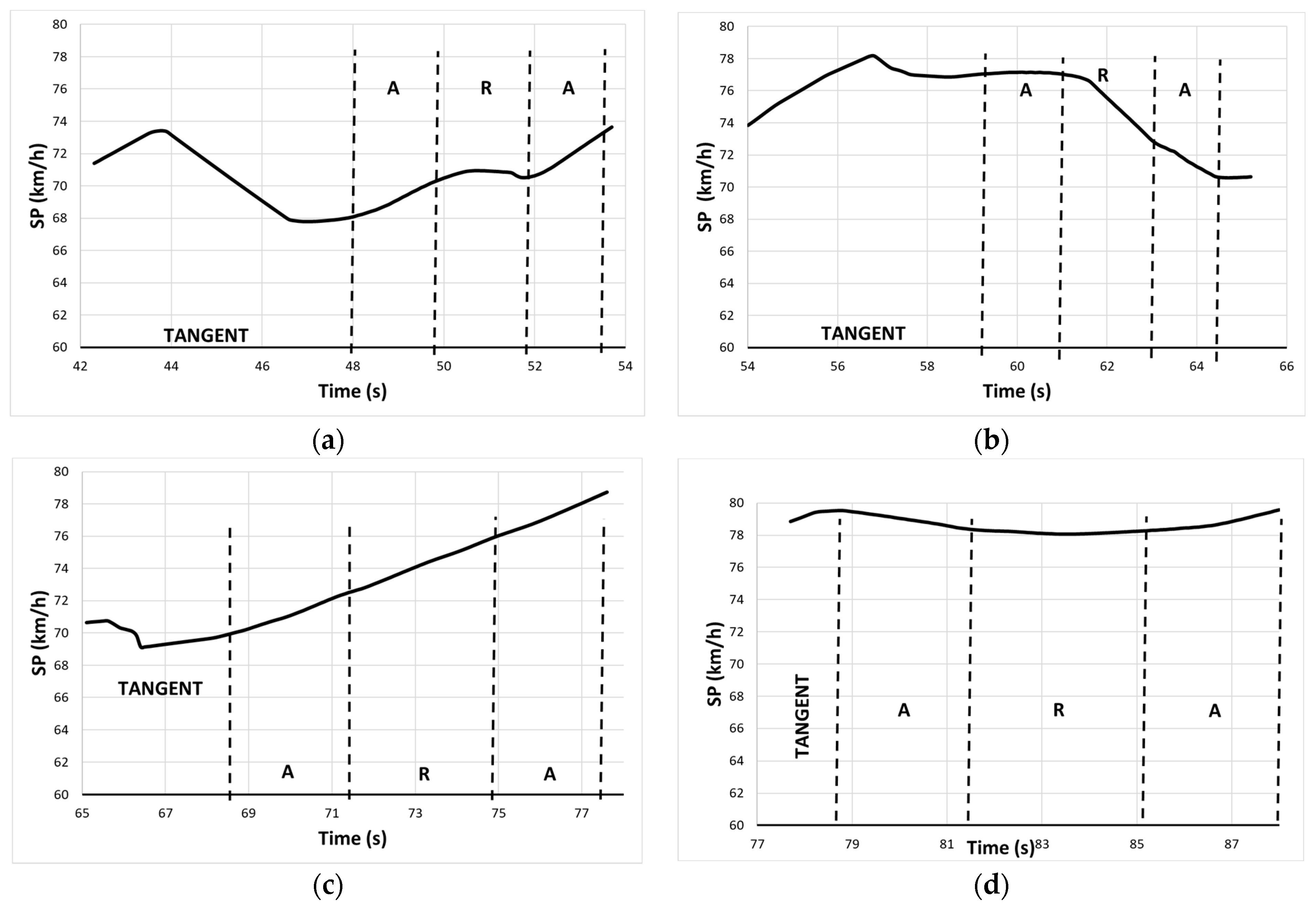
3. Results
- (C1) Rc = 60 m and right direction.
- (C2) Rc = 60 m and left direction.
- (C3) Rc = 100 m and right direction.
- (C4) Rc = 100 m and left direction.
4. Discussion
4.1. Longitudinal Acceleration (AccX)
4.2. Speed (SP)
- (1)
- If the maximum speed is greater than or equal to 100 km/h, the design speed difference must not exceed 10 km/h, otherwise it is advisable not to exceed 15 km/h.
- (2)
- If the maximum speed is less than 100 km/h, the design speed difference must not exceed 5 km/h, otherwise it is advisable not to exceed 10 km/h.
5. Conclusions
- Compare the results obtained using mean and standard deviation values.
- Formulate a comprehensive synthetic indicator for each performance metric.
- Implement the indicators on data collected from experienced drivers to identify any disparities.
- Investigate whether deviations from the ideal trend are exclusively linked to the geometric attributes of the curves.
Author Contributions
Funding
Institutional Review Board Statement
Informed Consent Statement
Data Availability Statement
Conflicts of Interest
Glossary
| Symbol | Geometric characteristics of the road |
| Rc | Curve radius |
| α | Central angle of the circular angle |
| L | Total length of the geometric element |
| N | Transition curve shape parameter |
| A | Transition curve scale parameter |
| TANGENT | Straight section before or after a curve |
| A | Ingoing and outgoing transition curves |
| R | Circular arc of the curve |
| C1 | Right curve with 60 m radius |
| C2 | Left curve with 60 m radius |
| C3 | Right curve with 100 m radius |
| C4 | Left curve with 100 m radius |
| Performance Indexes | |
| AccX | Longitudinal acceleration |
| MAX | Maximum value |
| AVE | Average value |
| MAX AccX(R) | Maximum value of the longitudinal acceleration indicator for the circular arc |
| MAX AccX(Curve) | Maximum value of the longitudinal acceleration indicator for the curve |
| AccXA(In) | Longitudinal acceleration indicator for ingoing transition curves |
| AccXA(Out) | Longitudinal acceleration indicator for outgoing transition curves |
| AccStd | Typical ideal value of acceleration reported on the Italian standard (0.8 m/s2) |
| AccXR | Longitudinal acceleration indicator for the circular arcs |
| SP | Speed |
| MAX SP(R) | Maximum speed measured the circular curve |
| SP(AIn) | Speed difference between the initial (1) and final points (2) of the ingoing transition curves |
| SP(AOut) | Speed difference between the initial (1) and final points (2) of the outgoing transition curves |
| SPR | Average of SP absolute values along the circular section |
References
- Brookhuis, K.A.; De Waard, D. Monitoring drivers’ mental workload in driving simulators using physiological measures. Accid. Anal. Prev. 2010, 42, 898–903. [Google Scholar] [CrossRef] [PubMed]
- de Waard, D.; Lewis-Evans, B. Self-report scales alone cannot capture mental workload. Cogn. Technol. Work 2014, 16, 303–305. [Google Scholar] [CrossRef]
- Olaverri-Monreal, C.; Jizba, T. Human factors in the design of human–machine interaction: An overview emphasizing V2X communication. IEEE Trans. Intell. Veh. 2016, 1, 302–313. [Google Scholar] [CrossRef]
- Bosurgi, G.; D’Andrea, A.; Pellegrino, O. What variables affect to a greater extent the driver’s vision while driving? Transport 2013, 28, 331–340. [Google Scholar] [CrossRef]
- Bongiorno, N.; Bosurgi, G.; Pellegrino, O.; Sollazzo, G. How is the Driver’s Workload Influenced by the Road Environment? Procedia Eng. 2017, 187, 5–13. [Google Scholar] [CrossRef]
- de Waard, D.; Van Nes, N. Driver state and mental workload. In International Encyclopedia of Transportation; Vickerman, R., Ed.; Elsevier Ltd.: Oxford, UK, 2021; Volume 2, pp. 216–220. ISBN 9780081026717. [Google Scholar] [CrossRef]
- Paxion, J.; Galy, E.; Berthelon, C. Mental workload and driving. Front. Psychol. 2014, 5, 1344. [Google Scholar] [CrossRef]
- de Winter, J.C.; Stanton, N.A.; Price, J.S.; Mistry, H. The effects of driving with different levels of unreliable automation on self-reported workload and secondary task performance. Int. J. Veh. Des. 2016, 70, 297–324. [Google Scholar] [CrossRef]
- Petermeijer, S.; Bazilinskyy, P.; Bengler, K.; De Winter, J. Take-over again: Investigating multimodal and directional TORs to get the driver back into the loop. Appl. Ergon. 2017, 62, 204–215. [Google Scholar] [CrossRef] [PubMed]
- Metz, B.; Schömig, N.; Krüger, H.P. Attention during visual secondary tasks in driving: Adaptation to the demands of the driving task. Transp. Res. Part F Traffic Psychol. Behav. 2011, 14, 369–380. [Google Scholar] [CrossRef]
- Bosurgi, G.; Pellegrino, O.; Ruggeri, A.; Sollazzo, G. The Effects of ADAS on Driving Behavior: A Case Study. Sensors 2023, 23, 1758. [Google Scholar] [CrossRef]
- Kim, H.S.; Hwang, Y.; Yoon, D.; Choi, W.; Park, C.H. Driver workload characteristics analysis using EEG data from an urban road. IEEE Trans. Intell. Transp. Syst. 2014, 15, 1844–1849. [Google Scholar] [CrossRef]
- Radhakrishnan, V.; Merat, N.; Louw, T.; Gonçalves, R.C.; Torrao, G.; Lyu, W.; Guillen, P.P.; Lenné, M.G. Physiological indicators of driver workload during car-following scenarios and takeovers in highly automated driving. Transp. Res. Part F Traffic Psychol. Behav. 2022, 87, 149–163. [Google Scholar] [CrossRef]
- Marquart, G.; Cabrall, C.; de Winter, J. Review of eye-related measures of drivers’ mental workload. Procedia Manuf. 2015, 3, 2854–2861. [Google Scholar] [CrossRef]
- Abd Rahman, N.I.; Dawal, S.Z.M.; Yusoff, N. Driving mental workload and performance of ageing drivers. Transp. Res. Part F Traffic Psychol. Behav. 2020, 69, 265–285. [Google Scholar] [CrossRef]
- Bosurgi, G.; Pellegrino, O.; Ruggeri, A.; Sollazzo, G. The Role of ADAS While Driving in Complex Road Contexts: Support or Overload for Drivers? Sustainability 2023, 15, 1334. [Google Scholar] [CrossRef]
- Hossain, T.; Habibullah, H.; Islam, R. Steering and Speed Control System Design for Autonomous Vehicles by Developing an Optimal Hybrid Controller to Track Reference Trajectory. Machines 2022, 10, 420. [Google Scholar] [CrossRef]
- Toffin, D.; Reymond, G.; Kemeny, A.; Droulez, J. Role of steering wheel feedback on driver performance: Driving simulator and modeling analysis. Veh. Syst. Dyn. 2007, 45, 375–388. [Google Scholar] [CrossRef]
- Regan, M.A.; Lee, J.D.; Young, K.L. Driver Distraction: Theory, Effects, and Mitigation; CRC Press Taylor & Francis Group: Boca Raton, FL, USA, 2008. [Google Scholar]
- Brooks, J.O.; Tyrrell, R.A.; Frank, T.A. The effects of severe visual challenges on steering performance in visually healthy young drivers. Optom. Vis. Sci. 2005, 82, 689–697. [Google Scholar] [CrossRef] [PubMed]
- Ranney, T.A.; Harbluk, J.L.; Noy, Y.I. Effects of voice technology on test track driving performance: Implications for driver distraction. Hum. Factors 2005, 47, 439–454. [Google Scholar] [CrossRef]
- McGehee, D.V.; Lee, J.D.; Rizzo, M.; Dawson, J.; Bateman, K. Quantitative analysis of steering adaptation on a high performance fixed-base driving simulator. Transp. Res. Part F Traffic Psychol. Behav. 2004, 7, 181–196. [Google Scholar] [CrossRef]
- Peruzzini, M.; Tonietti, M.; Iani, C. Transdisciplinary design approach based on driver’s workload monitoring. J. Ind. Inf. Integr. 2019, 15, 91–102. [Google Scholar] [CrossRef]
- Madhu, K.; Srinivasan, K.K.; Sivanandan, R. Vehicle-following behaviour in mixed traffic—Role of lane position and adjacent vehicle. Transp. Lett. 2023; in press. [Google Scholar] [CrossRef]
- Liang, Y.; Lee, J.D. Combining cognitive and visual distraction: Less than the sum of its parts. Accid. Anal. Prev. 2010, 42, 881–890. [Google Scholar] [CrossRef]
- Gemou, M. Transferability of driver speed and lateral deviation measurable performance from semi-dynamic driving simulator to real traffic conditions. Eur. Transp. Res. Rev. 2013, 5, 217–233. [Google Scholar] [CrossRef]
- Bourrelly, A.; Jacobé de Naurois, C.; Zran, A.; Rampillon, F.; Vercher, J.L.; Bourdin, C. Long automated driving phase affects take-over performance. IET Intell. Transp. Syst. 2019, 13, 1249–1255. [Google Scholar] [CrossRef]
- Stavrinos, D.; Jones, J.L.; Garner, A.A.; Griffin, R.; Franklin, C.A.; Ball, D.; Welburn, S.C.; Ball, K.K.; Sisiopiku, V.P.; Fine, P.R. Impact of distracted driving on safety and traffic flow. Accid. Anal. Prev. 2013, 61, 63–70. [Google Scholar] [CrossRef]
- Van Der Horst, R.; De Ridder, S. Influence of roadside infrastructure on driving behavior: Driving simulator study. Transp. Res. Rec. 2007, 2018, 36–44. [Google Scholar] [CrossRef]
- Calvi, A. A study on driving performance along horizontal curves of rural roads. J. Transp. Saf. Secur. 2015, 7, 243–267. [Google Scholar] [CrossRef]
- Bella, F. Driver performance approaching and departing curves: Driving simulator study. Traffic Inj. Prev. 2014, 15, 310–318. [Google Scholar] [CrossRef]
- Vos, J.; Farah, H.; Hagenzieker, M. Speed behaviour upon approaching freeway curves. Accid. Anal. Prev. 2021, 159, 106276. [Google Scholar] [CrossRef]
- Llorca, C.; Moreno, A.T.; Sayed, T.; García, A. Sight distance standards based on observational data risk evaluation of passing. Transp. Res. Rec. 2014, 2404, 18–26. [Google Scholar] [CrossRef]
- Farah, H.; Polus, A.; Bekhor, S.; Toledo, T. Study of passing gap acceptance behavior using a driving simulator. Adv. Transp. Studies Int. J. January 2007, 9–16, special issue. [Google Scholar]
- Farah, H.; Azevedo, C.L. Safety analysis of passing maneuvers using extreme value theory. IATSS Res. 2017, 41, 12–21. [Google Scholar] [CrossRef]
- Charlton, S.G.; Starkey, N.J. Risk in our midst: Centrelines, perceived risk, and speed choice. Accid. Anal. Prev. 2016, 95, 192–201. [Google Scholar] [CrossRef] [PubMed]
- Malhotra, N.; Charlton, S.; Starkey, N.; Masters, R. Driving speed choice: The role of conscious monitoring and control (reinvestment) when driving. Transp. Res. Part F Traffic Psychol. Behav. 2018, 57, 115–128. [Google Scholar] [CrossRef]
- Bongiorno, N.; Pellegrino, O.; Stuiver, A.; de Waard, D. Cumulative lateral position: A new measure for driver performance in curves. Traffic Saf. Res. 2023, 4, 000021. [Google Scholar] [CrossRef]
- Tonguç, G.; Akçay, I.; Gürbüz, H. Improvement of the visual warning system for various driving and road conditions in road transportation. Proc. Inst. Mech. Eng. Part D J. Automob. Eng. 2017, 232, 095440701769096. [Google Scholar] [CrossRef]
- MIT. Norme Funzionali e Geometriche per la Costruzione Delle Strade; D.M. no. 6792 of November 5th; Ministero delle Infrastrutture e dei Trasporti: Rome, Italy, 2001. (In Italian) [Google Scholar]





| INDEXES | C1 | C2 | C3 | C4 | |
|---|---|---|---|---|---|
| AccX [m/s2] | MAX AccX(R) | 0.46 | 0.80 | 0.33 | 0.12 |
| MAX AccX(Curve) | 0.57 | 0.80 | 0.37 | 0.35 | |
| Acc X(A)In | 0.38 | 0.07 | 0.29 | 0.14 | |
| Acc X(A)Out | 0.60 | 0.49 | 0.35 | 0.16 | |
| Acc X(R) | 0.18 | 0.72 | 0.32 | 0.05 | |
| SP [km/h] | MAX SP(R) | 70.94 | 76.99 | 75.95 | 78.36 |
| SP(A)In | −2.24 | 0.06 | −2.64 | 1.13 | |
| SP(A)Out | 3.02 | −2.12 | 2.89 | 1.31 | |
| SP(R) | 1.00 | 0.98 | 0.98 | 1.00 |
Disclaimer/Publisher’s Note: The statements, opinions and data contained in all publications are solely those of the individual author(s) and contributor(s) and not of MDPI and/or the editor(s). MDPI and/or the editor(s) disclaim responsibility for any injury to people or property resulting from any ideas, methods, instructions or products referred to in the content. |
© 2023 by the authors. Licensee MDPI, Basel, Switzerland. This article is an open access article distributed under the terms and conditions of the Creative Commons Attribution (CC BY) license (https://creativecommons.org/licenses/by/4.0/).
Share and Cite
Bosurgi, G.; Pellegrino, O.; Ruggeri, A.; Sollazzo, G. Synthetic Drivers’ Performance Measures Related to Vehicle Dynamics to Control Road Safety in Curves. Vehicles 2023, 5, 1656-1670. https://doi.org/10.3390/vehicles5040090
Bosurgi G, Pellegrino O, Ruggeri A, Sollazzo G. Synthetic Drivers’ Performance Measures Related to Vehicle Dynamics to Control Road Safety in Curves. Vehicles. 2023; 5(4):1656-1670. https://doi.org/10.3390/vehicles5040090
Chicago/Turabian StyleBosurgi, Gaetano, Orazio Pellegrino, Alessia Ruggeri, and Giuseppe Sollazzo. 2023. "Synthetic Drivers’ Performance Measures Related to Vehicle Dynamics to Control Road Safety in Curves" Vehicles 5, no. 4: 1656-1670. https://doi.org/10.3390/vehicles5040090
APA StyleBosurgi, G., Pellegrino, O., Ruggeri, A., & Sollazzo, G. (2023). Synthetic Drivers’ Performance Measures Related to Vehicle Dynamics to Control Road Safety in Curves. Vehicles, 5(4), 1656-1670. https://doi.org/10.3390/vehicles5040090

