Relative Sea Level and Coastal Vertical Movements in Relation to Volcano-Tectonic Processes at Mayotte Island, Indian Ocean
Abstract
1. Introduction
2. Materials and Methods
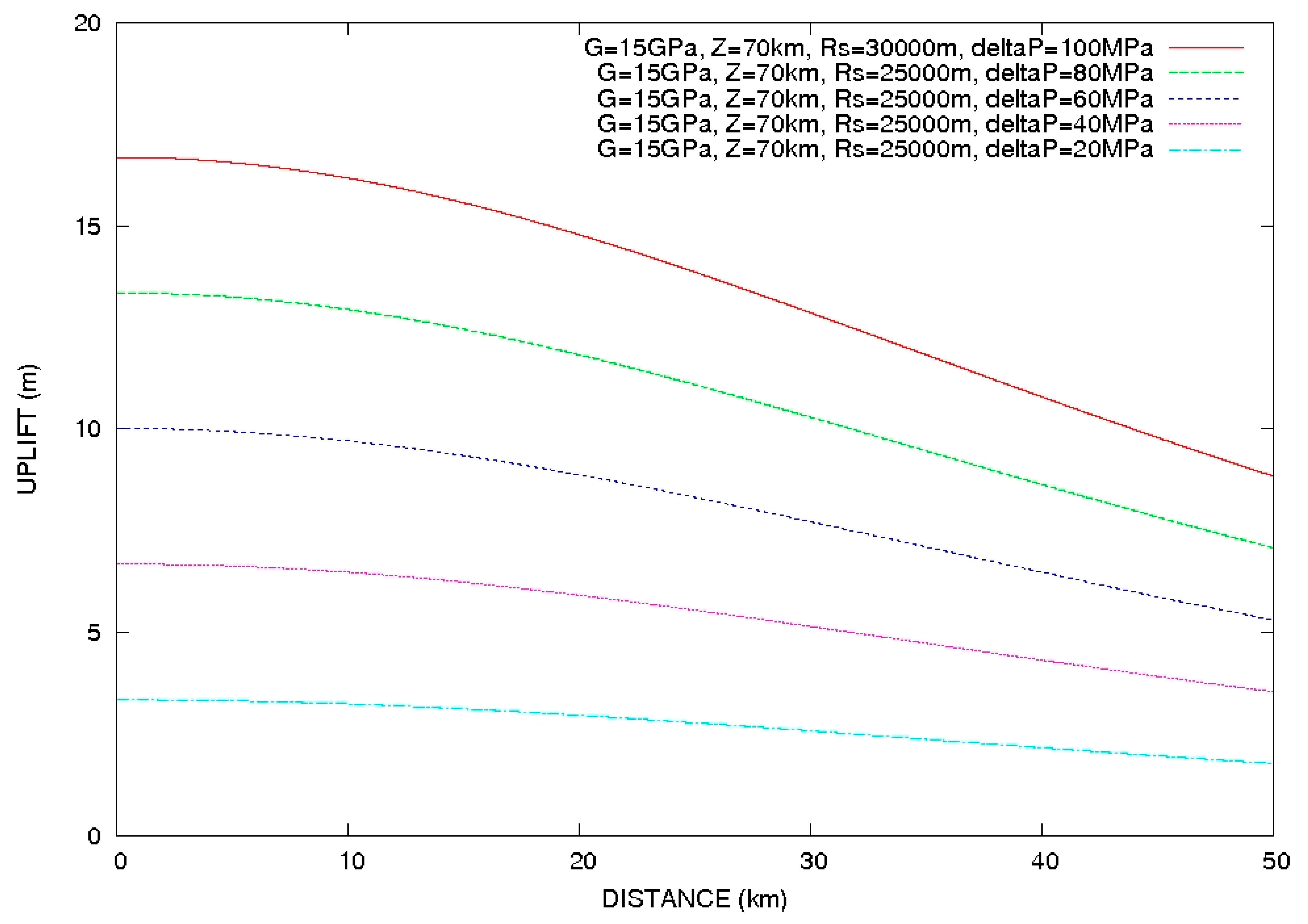
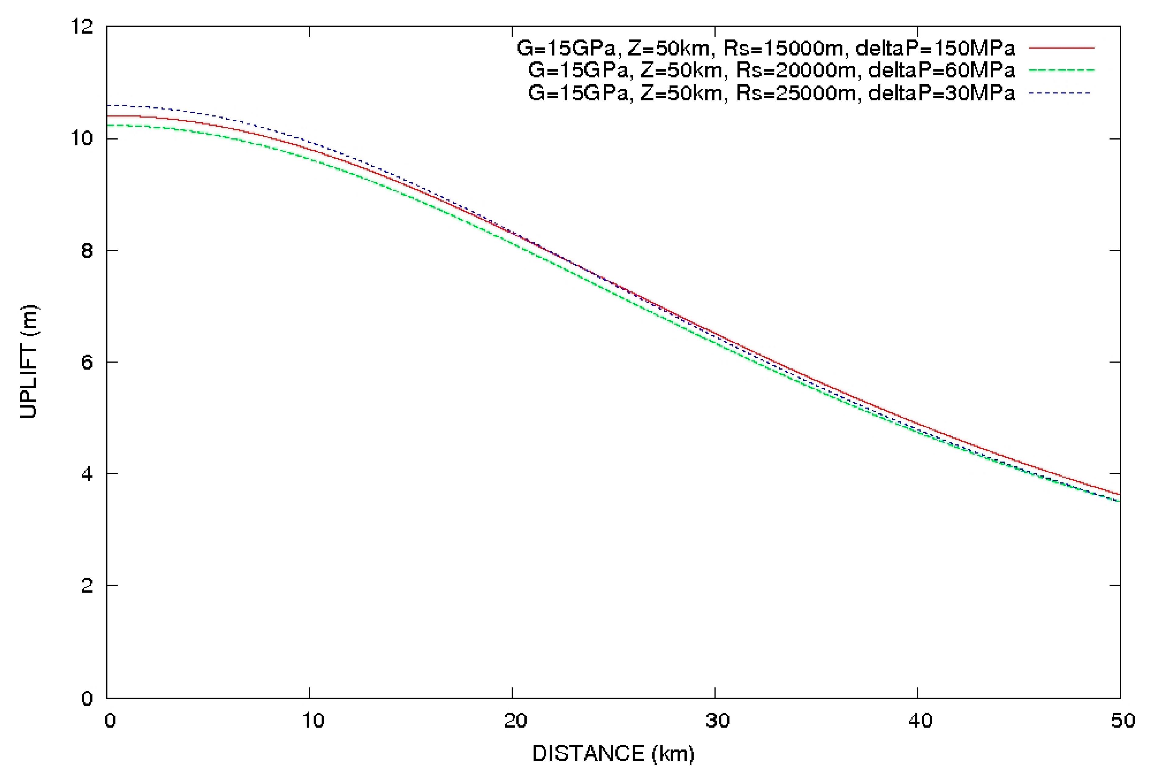
2.1. Overpressure and Surface Uplift
2.2. Volcanic Edifice Loading and Isostatic Adjustment
2.3. Relative Sea Level and Vertical Movement
3. Results
4. Discussion
4.1. Vertical Movement Rates
4.2. Influence of Tectonic Processes
4.3. Vertical Movements and Isostatic Adjustments
4.4. Volcanic Activity and Deep Magmatic Root
4.5. Uncertainties and Unknown
5. Conclusions
Funding
Data Availability Statement
Acknowledgments
Conflicts of Interest
References
- Audru, J.C.; Bitri, A.; Desprats, J.F.; Dominique, P.; Eucher, G.; Hachim, S.; Jossot, O.; Mathon, C.; Nédellec, J.L.; Sabourault, P.; et al. Major natural hazards in a tropical volcanic island: A review for Mayotte island, Comoros archipelago, Indian Ocean. Eng. Geol. 2010, 114, 264–381. [Google Scholar] [CrossRef]
- Roger, J. Potential tsunami hazard related to the seismic activity east of Mayotte Island, Comoros archipelago. J. Tsunami Soc. Int. 2019, 38, 118–131. [Google Scholar]
- Poulain, P.; Le Friant, A.; Pedreros, R.; Mangeney, A.; Filippini, A.G.; Grandjean, G.; Lemoine, A.; Fernández-Nieto, E.D.; Castro Díaz, M.J.; Peruzzetto, M. Numerical simulation of submarine landslides and generated tsunamis: Application to the on-going Mayotte seismo-volcanic crisis. C. R. Géosci. 2022, 354 (Suppl. S2), 361–390. [Google Scholar] [CrossRef]
- Roullé, A.; Baillet, M.; Bertil, D.; Cornou, C. Site effects observations and mapping on the weathered volcanic formations of Mayotte Island. C. R. Géosci. 2022, 354 (Suppl. S2), 317–341. [Google Scholar] [CrossRef]
- Taillefer, N.; Bertil, D.; Negulescu, C.; Roullé, A.; Iasio, C.; Auclair, S.; Quique, R. Seismic damage scenarios for Mayotte: A tool for disaster management. C. R. Géosci. 2022, 354 (Suppl. S2), 343–359. [Google Scholar] [CrossRef]
- Deves, M.; Lacassin, R.; Pécout, H.; Robert, G. Rick communication during seismo-volcanic crises: The example of Mayotte, France. Nat. Hazards Earth Syst. Sci. 2022, 22, 2001–2029. [Google Scholar] [CrossRef]
- Harvey, M. Sentinel-1 InSAR captures 2019 catastrophic White Island eruption. J. Volcanol. Geotherm. Res. 2021, 411, 107124. [Google Scholar] [CrossRef]
- Németh, K. Geoheritage and geodiversity aspects of catastrophic volcanic eruptions: Lessons from the 15th of January 2022 Hunga Tonga—Hunga Ha’apai eruption, SW Pacific. Int. J. Geoheritage Parks 2022, 10, 546–568. [Google Scholar] [CrossRef]
- Proud, S.R.; Prata, A.; Schmauss, S. The January 2022 eruption of Hunga Tonga-Hunga Hapai volcano reached the mesosphere. Earth Space Sci. Open Arch. 2022, 378, 554–557. [Google Scholar] [CrossRef]
- Barsotti, S.; Parks, M.M.; Pfeffer, M.A.; Óladóttir, B.A.; Barnie, T.; Titos, M.M.; Jónsdóttir, K.; Pedersen, G.B.M.; Hjartardóttir, Á.R.; Stefansdóttir, G.; et al. The eruption in Fagradalsfjall (2021, Iceland): How the operational monitoring and the volcanic hazard assessment contributed to its safe access. Nat. Hazards 2023, 116, 3063–3092. [Google Scholar] [CrossRef]
- Dóniz-Páez, J.; Németh, K.; Becerra-Ramírez, R.; Hernández, W.; Gosálvez, R.U.; Escobar, E.; González, E. Tajogaite 2021 Eruption (La Palma, Canary Islands, Spain): An Exceptional Volcanic Heritage to Develop Geotourism. Proceedings 2023, 87, 26. [Google Scholar] [CrossRef]
- Zhang, H.; Zhu, K.; Cheng, Y.; Marchetti, D.; Chen, W.; Fan, M.; Wang, S.; Wang, T.; Zhang, D.; Zhang, Y. Atmospheric and Ionospheric Effects of La Palma Volcano 2021 Eruption. Atmosphere 2023, 14, 1198. [Google Scholar] [CrossRef]
- Ward, S.N.; Day, S. Cumbre Vieja Volcano—Potential collapse and tsunami at La Palma, Canary Islands. Geophys. Res. Lett. 2001, 28, 3397–3400. [Google Scholar] [CrossRef]
- Gargani, J. Modelling the mobility and dynamics of a large Tahitian landslide using runout distance. Geomorphology 2020, 370, 107354. [Google Scholar] [CrossRef]
- Lambeck, K. Flexure of the ocean lithosphere from island uplift, bathymetry and geoid observations: The Society Islands. Geophys. J. Int. 1981, 67, 91–114. [Google Scholar] [CrossRef]
- Vitale, S.; Natale, J. Combined volcano-tectonic processes for the drowning of the Roman western coastal settlements at Campi Flegrei (southern Italy). Earth Planets Space 2023, 75, 38. [Google Scholar] [CrossRef]
- Gargani, J. Isostatic adjustment, vertical rate variation and potential detection of past abrupt mass unloading. Geosciences 2022, 12, 302. [Google Scholar] [CrossRef]
- Gargani, J.; Geoffroy, L.; Gac, S.; Cravoisier, S. Fault slip and Coulomb stress variations around a pressured magma reservoir: Consequences on seismicity and magma intrusion. Terra Nova 2006, 18, 403–411. [Google Scholar] [CrossRef]
- Lemoine, A.; Briole, P.; Bertil, D.; Roullé, A.; Foumelis, M.; Thinon, I.; Raucoules, D.; de Michele, M.; Valty, P.; Hoste Colomer, R. The 2018–2019 seismo-volcanic crisis east of Mayotte, Comoros islands: Seismicity and ground deformation markers of an exceptional submarine eruption. Geophys. J. Int. 2020, 223, 22–44. [Google Scholar] [CrossRef]
- Duggen, S.; Hoernic, K.; van den Bogaard, P.; Rüphe, L.; Phipps Morgan, J. Deep roots of the Messinian salinity crisis. Nature 2003, 422, 602–606. [Google Scholar] [CrossRef]
- Sternai, P.; Caricchi, I.; Garcia-Castellanos, D.; Jolivet, L.; Sheldrak, T.; Castelltort, S. Magmatic pulse driven by sea-level changes associated with the messinian salinity crisis. Nat. Geosci. 2017, 10, 783–787. [Google Scholar] [CrossRef] [PubMed]
- Isaia, R.; Vitale, S.; Marturano, A.; Aiello, G.; Barra, D.; Ciarcia, S.; Iannuzzi, E.; Tramparulo, F.D.A. High-resolution geological investigations to reconstruct the long-term ground movements in the last 15 kyr at Campi Flegrei caldera (southern Italy). J. Volcanol. Geotherm. Res. 2019, 385, 143–158. [Google Scholar] [CrossRef]
- Natale, J.; Ferranti, L.; Isaia, R.; Marino, C.; Sacchi, M.; Spiess, V.; Steinmann, L.; Vitale, S. Integrated on-land-offshore stratigraphy of the Campi Flegrei caldera: New insights into the volcano-tectonic evolution in the last 15 kyr. Basin Res. 2022, 34, 855–882. [Google Scholar] [CrossRef]
- Marino, C.; Ferranti, L.; Natale, J.; Anzidei, M.; Benini, A.; Sacchi, M. Quantitative reconstruction of Holocene ground displacements in the offshore part of the Campi Flegrei caldera (southern Italy): Perspectives from seismo-stratigraphic and archaeological data. Mar. Geol. 2022, 447, 106797. [Google Scholar] [CrossRef]
- Gargani, J. Influence of relative sea-level rise, meteoric water infiltration and rock weathering on giant volcanic landslides. Geosciences 2023, 13, 113. [Google Scholar] [CrossRef]
- De Chabalier, J.-B.; Avouac, J.-P. Kinematics of the Asal Rift (Djibouti) determined from the deformation of Fieale volcano. Sciences 1994, 265, 1677–1681. [Google Scholar] [CrossRef] [PubMed]
- Borgia, A.; van Wyk de Vries, B. The volcano-tectonic evolution of Concepcion, Nicaragua. Bull. Volcanol. 2003, 65, 248–266. [Google Scholar] [CrossRef]
- Beyene, A.; Abdelsalam, M.G. Tectonics of the Afar Depression: A review and synthesis. J. Afr. Earth Sci. 2005, 41, 41–59. [Google Scholar] [CrossRef]
- Puskas, C.M.; Smith, R.B.; Meertens, C.M.; Chang, W.L. Crustal deformation of the Yellowstone-Snake River Plain volcano-tectonic system: Campaign and continuous GPS observations, 1987–2004. J. Geophys. Res. 2007, 112, B03401. [Google Scholar] [CrossRef]
- Geirson, H.; d’Oreye, N.; Mashagiro, N.; Syauswa, M.; Gelli, G.; Kadufu, B.; Smets, B.; Kervyn, F. Volcano-tectonic deformation in the Kivu Region, Central Africa: Results from six years of continuous GNSS observations of the Kivu Geodetic Network (KivuGNet). J. Afr. Earth Sci. 2017, 134, 809–823. [Google Scholar] [CrossRef]
- Famin, V.; Michon, L.; Bourhane, A. The Comoros archipelago: A right-lateral transform boundary between the Somalia and Lwandle plates. Tectonophysics 2020, 789, 228539. [Google Scholar] [CrossRef]
- Cesca, S.; Letort, J.; Razafindrakoto, H.N.T.; Heimann, S.; Rivalta, E.; Isken, M.P.; Nikkhoo, M.; Passarelli, L.; Petersen, G.M.; Cotton, F.; et al. Drainage of a deep magma reservoir near Mayotte inferred from seismicity and deformation. Nat. Geosci. 2020, 13, 87–93. [Google Scholar] [CrossRef]
- Feuillet, N.; Jorry, S.; Crawford, W.C.; Deplus, C.; Thinon, I.; Jacques, E.; Saurel, J.M.; Lemoine, A.; Paquet, F.; Satriano, C.; et al. Birth of a large volcanic edifice through lithosphere-scale dyking offshore Mayotte (Indian Ocean). Nat. Geosci. 2021, 14, 787–795. [Google Scholar] [CrossRef]
- Saurel, J.-M.; Jacques, E.; Aiken, C.; Lemoine, A.; Retailleau, L.; Lavayssière, A.; Foix, O.; Dofal, A.; Laurent, A.; Mercury, N.; et al. Mayotte seismic crisis: Building knowledge in near real-time by combining land and ocean-bottom seismometers, first results. Geophys. J. Int. 2021, 228, 1281–1293. [Google Scholar] [CrossRef]
- Berthod, C.; Médard, E.; Bachèlery, P.; Gurioli, L.; Di Muro, A.; Peltier, A.; Komorowski, J.-C.; Benbakkar, M.; Devidal, J.-L.; Langlade, J.; et al. The 2018-ongoing Mayotte submarine eruption: Magma migration imaged by petrological monitoring. Earth Planet. Sci. Lett. 2021, 571, 117085. [Google Scholar] [CrossRef]
- Darnet, M.; Wawrzyniak, P.; Tarits, P.; Hautot, S.; D’Eu, J.F. Mapping the geometry of volcanic systems with magnetotelluric soundings: Results from a land and marine magnetotelluric survey performed during the 2018–2019 Mayotte seismovolcanic crisis. J. Volcanol. Geotherm. 2020, 406, 107046. [Google Scholar] [CrossRef]
- Dofal, A.; Michon, L.; Fontaine, F.R.; Rindraharisaona, E.; Barruol, G.; Tkalčić, H. Imaging the lithospheric structure and plumbing system below the Mayotte volcanic zone. C. R. Géosci. 2022, 354 (Suppl. S2), 47–64. [Google Scholar] [CrossRef]
- Foix, O.; Aiken, C.; Saurel, J.M.; Feuillet, N.; Jorry, S.J.; Rinnert, E.; Thinon, I. Offshore Mayotte volcanic plumbing revealed by local passive tomography. J. Volcanol. Geotherm. Res. 2021, 420, 107395. [Google Scholar] [CrossRef]
- Lavayssière, A.; Crawford, W.C.; Saurel, J.-M.; Satriano, C.; Feuillet, N.; Jacques, E.; Komorowski, C. A new 1D velocity model and absolute locations image the Mayotte seismo-volcanic region. J. Volvanol. Geotherm. Res. 2022, 421, 107440. [Google Scholar] [CrossRef]
- Bachèlery, P.; Morin, J.; Villeneuve, N.; Soulé, H.; Nassor, H.; Ali, A.R. Structure and eruptive history of Karthala volcano. In Active Volcanoes of the Southwest Indian Ocean. Active Volcanoes of theWorld; Bachelery, P., Lenat, J.F., Di Muro, A., Michon, L., Eds.; Springer: Berlin/Heidelberg, Germany, 2016; pp. 345–366. [Google Scholar] [CrossRef]
- Emerick, C.M.; Duncan, R. Age progressive volcanism in the Comore Archipelago, western lndian Ocean and implications for Somali plate tectonics. Earth Planet. Sci. Lett. 1982, 60, 415–428. [Google Scholar] [CrossRef]
- Ebinger, C.J.; Sleep, N. Cenozoic magmatism throughout east Africa resulting from impact of a single plume. Nature 1998, 395, 788–791. [Google Scholar] [CrossRef]
- Class, C.; Goldstein, S.L.; Altherr, R.; Bachèlery, P. The process of plume–lithosphere interactions in the ocean basins—The case of Grande Comore. J. Petrol. 1998, 39, 881–903. [Google Scholar] [CrossRef]
- Class, C.; Goldstein, S.L.; Stute, M.; Kurz, M.D.; Schlosser, P. Grand Comore Island: A well constrained “low 3He/4He” mantle plume. Earth Planet. Sci. Lett. 2005, 233, 391–409. [Google Scholar] [CrossRef]
- Bertil, D.; Mercury, N.; Doubre, C.; Lemoine, A.; van der Woerd, J. The unexpected Mayotte 2018–2020 seismic sequence: A reappraisal of the regional seismicity of the Comoros. C. R. Géosci. 2021, 353 (Suppl. S1), 211–235. [Google Scholar] [CrossRef]
- Quidelleur, X.; Michon, L.; Famin, V.; Geffray, M.-C.; Danišík, M.; Gardiner, N.; Rusquet, A.; Zakaria, M.G. Holocene volcanic activity in Anjouan Island (Comoros archipelago) revealed by new Cassignol-Gillot groundmass K–Ar and 14C ages. Quat. Geochronol. 2022, 67, 101236. [Google Scholar] [CrossRef]
- Stamps, D.S.; Saria, E.; Kreemer, C. A Geodetic Strain Rate Model for the East African Rift System. Sci. Rep. 2018, 8, 732. [Google Scholar] [CrossRef]
- Tzevahirtzian, A.; Zaragosi, S.; Bachèlery, P.; Biscara, L.; Marchès, E. Submarine morphology of the Comoros volcanic archipelago. Mar. Geol. 2021, 432, 106383. [Google Scholar] [CrossRef]
- Thinon, I.; Lemoine, A.; Leroy, S.; Paquet, F.; Berthod, C.; Zaragosi, S.; Famin, V.; Feuillet, N.; Boymond, P.; Masquelet, C.; et al. Volcanism and tectonics unveiled in the Comoros Archipelago between Africa and Madagascar. C. R. Géosci. 2022, 354 (Suppl. S2), 7–34. [Google Scholar] [CrossRef]
- Pelleter, A.A.; Caroff, M.; Cordier, C.; Bachelery, P.; Nehlig, P.; Debeuf, D.; Arnaud, N. Melilite-bearing lavas in Mayotte (France): An insight into the mantle source below the Comores. Lithos 2014, 208–209, 281–297. [Google Scholar] [CrossRef]
- Michon, L. The volcanism of the Comoros archipelago integrated at a regional scale. In Active Volcanoes of the Southwest Indian Ocean; Bachèlery, P., Lenat, J.-F., Di Muro, A., Michon, L., Eds.; Springer: Berlin/Heidelberg, Germany, 2016; pp. 333–344. [Google Scholar]
- Masquelet, C.; Leroy, S.; Delescluse, M.; Chamot-Rooke, N.; Thinon, I.; Lemoine, A.; Franke, D.; Watremez, L.; Werner, P.; Paquet, F.; et al. The East-Mayotte new volcano in the Comoros Archipelago: Structure and timing of magmatic phases inferred from seismic reflection data. C. R. Géosci. 2022, 354 (Suppl. S2), 65–79. [Google Scholar] [CrossRef]
- Mitchell, N.C.; Masson, D.G.; Watts, A.B.; Gee, M.J.R.; Urgeles, R. The morphology of the submarine flanks of volcanic ocean silands: A comparative study of the Canary and Hawaiian hotspot ilsands. J. Volcanol. Geotherm. Res. 2002, 115, 83–107. [Google Scholar] [CrossRef]
- Sanchez-Alzola, A.; Marti, J.; Garcia-Yeguas, A.; Gil, A.J. Subsidence and current strain patterns on Tenerife Island (Canary Archipelago, Spain) derived from continous GNSS time series (2008–2015). J. Volcanol. Geotherm. Res. 2016, 327, 240–248. [Google Scholar] [CrossRef]
- Moore, J.G. Relationship between subsidence and volcanic load, Hawaii. Bull. Volcanol. 1970, 34, 562–576. [Google Scholar] [CrossRef]
- Zinke, J.; Reijmer, J.J.G.; Thomassin, B.A. Seismic architecture and sediment distribution within the Holocene barrier reef-lagoon complex of Mayotte (Comoro archipelago, SW Indian Ocean). Paleogeogr. Paleoclimatol. Paleoecol. 2001, 175, 343–368. [Google Scholar] [CrossRef]
- Zinke, J.; Reijmer, J.J.; Thomassin, B.A.; Dullo, W.C.; Grootes, P.M.; Erlenkeuser, H. Postglacial flooding history of Mayotte lagoon (Comoro Archipelago, southwest Indian Ocean). Mar. Geol. 2003, 194, 181–196. [Google Scholar] [CrossRef]
- Camoin, G.F.; Montaggioni, L.F.; Braithwaite, C.J.R. Late Glacial to Post Glacial Sea-Levels in the Western Indian Ocean. Mar. Geol. 2004, 206, 119–146. [Google Scholar] [CrossRef]
- Ortlieb, L.; Zazo, C.; Goy, J.L.; Hillaire-Marcel, C.; Ghaleb, B.; Cournoyer, L. Coastal deformation and sea-level changes in the northern Chile subduction area (23° S) during the last 330 ky. Quat. Sci. Rev. 1996, 15, 819–831. [Google Scholar] [CrossRef]
- Pedoja, K.; Husson, L.; Johnson, M.E.; Melnick, D.; Witt, C.; Pochat, S.; Nexer, M.; Delcailleau, B.; Pinegina, T.; Poprawski, Y.; et al. Coastal staircase sequences reflecting sea-level oscillations and tectonic uplift during the Quaternary and Neogene. Earth-Sci. Rev. 2014, 132, 13–38. [Google Scholar] [CrossRef]
- Gargani, J. Relative Sea Level and Abrupt Mass Unloading in Barbados during the Holocene. Geomorphology 2022, 413, 108353. [Google Scholar] [CrossRef]
- Camoin, G.F.; Colonna, M.; Montaggioni, L.F.; Cacanova, J.; Faure, G.; Thomassin, B.A. Holocene sea-level changes and reef development in South-Western Indian Ocean. Coral Reefs 1997, 16, 247–259. [Google Scholar] [CrossRef]
- Zinke, J.; Reijmer, J.J.G.; Thomassin, B.A. Systems tracts sedimentology in the lagoon of Mayotte associated with the Holocene transgression. Sediment. Geol. 2003, 160, 57–79. [Google Scholar] [CrossRef]
- Zinke, J.; Reijmer, J.J.G.; Taviani, M.; Dullo, W.-C.; Thomassin, B. Facies and faunal assemblage changes in response to the Holocene transgression in the Lagoon of Mayotte (Comoro Archipelago, SW Indian Ocean). Facies 2005, 50, 391–408. [Google Scholar] [CrossRef]
- Montaggioni, L.F.; Martin-Garin, B. Quaternary development history of coral reefs from West Indian islands: A review. Int. J. Earth Sci. 2020, 109, 911–930. [Google Scholar] [CrossRef]
- Fleming, K.; Jognston, P.; Zwartz, D.; Yokoyama, Y.; Lambeck, K.; Chappel, J. Refining the eustatic sea-level curve since the Last Glacial Maaximum using far- and intermediate-field sites. Earth Planet. Sci. Lett. 1998, 163, 327–342. [Google Scholar] [CrossRef]
- Lambeck, K.; Rouby, H.; Purcell, A.; Sun, Y.; Sambridge, M. Sea level and global ice volumes from the Last Glacial Maximum to the Holocene. Proc. Natl. Acad. Sci. USA 2014, 111, 15296–15303. [Google Scholar] [CrossRef] [PubMed]
- McTigue, D.F. Elastic stress and deformation near a finite spherical magma body: Resolution of the point source paradox. J. Geophys. Res. 1987, 92, 12931. [Google Scholar] [CrossRef]
- Battaglia, M.; Cervelli, P.F.; Murray, J.R. Modeling Crustal Deformation near Active Faults and Volcanic Centers—A Catalog of Deformation Models; U.S. Geological Survey Techniques and Methods, Book 13; U.S. Geological Survey: Reston, VA, USA, 2013; Chapter B1, 96p.
- Hautmann, S.; Gottsmann, J.; Sparks, R.S.J.; Mattioli, G.S.; Sacks, I.S.; Strutt, M.H. Effect of mechanical heterogeneity in arc crust on volcano deformation with application to Soufrière Hills volcano Montserrat, West Indies. J. Geophys. Res. 2010, 115, B09203. [Google Scholar] [CrossRef]
- William, C.A.; Wadge, G. The effects of topography on magma chamber deformation models: Application to Mt. Etna and radar interferometry. Geophys. Res. Lett. 1998, 25, 1549–1552. [Google Scholar] [CrossRef]
- Luttrell, K.; Mensin, D.; Francis, O.; Hurwitz, S. Constraints on the upper crustal magma reservoir beneath Yellowstone caldera inferred from lake-seiche induced strain observations. Geophys. Res. Lett. 2013, 40, 501–506. [Google Scholar] [CrossRef]
- Rajaonarison, T.A.; Stamps, D.S.; Fishwick, S.; Brune, S.; Glerum, A.; Hu, J. Numerical modeling of mantle flow beneath Madagascar to constrain upper mantle rheology beneath continental regions. J. Geophys. Res. Solid Earth 2020, 125, e2019JB018560. [Google Scholar] [CrossRef]
- Gerbault, M.; Cappa, F.; Hassani, R. Elasto-plastic and hydromechanical models of failure around an infinitely long magma chamber. Geochem. Geophys. Geosystems 2012, 13, Q03009. [Google Scholar] [CrossRef]
- Turcotte, D.L.; Schubert, G. Geodynamics, 2nd ed.; Cambridge University Press: New York, NY, USA, 2001; 456p. [Google Scholar]
- Watts, A.B. Isostasy and Flexure of the Lithosphere; Cambridge University Press: Cambridge, UK, 2000. [Google Scholar]
- Gargani, J. Modelling of the erosion in the Rhone valley during the Messinian crisis (France). Quat. Int. 2004, 121, 13–22. [Google Scholar] [CrossRef]
- Gargani, J.; Rigollet, C.; Scarselli, S. Istostatic response and geomorphological evolution of the Nile valley during the Messinian salinity crisis. Bull. Soc. Geol. Fr. 2010, 181, 19–26. [Google Scholar] [CrossRef]
- Calmant, S.; Francheteau, J.; Cazenave, A. Elastic layer thickening with age of the oceanic lithosphere: A tool for prediction of the age of volcanoes or oceanic crust. Geophys. J. Int. 1990, 100, 59–67. [Google Scholar] [CrossRef]
- Mitrovica, J.X.; Forte, A.M.; Simons, M. A reappraisal of postglacial decay times from Richmond Gulf and James Bay, Canada. Geophys. J. Int. 2000, 142, 783–800. [Google Scholar] [CrossRef]
- Van der Wal, W.; Wu, P.; Wang, H.; Sideris, M.G. Sea levels and uplift rate from composite rheology in glacial isostatic adjustment modelling. J. Geodyn. 2010, 50, 38–48. [Google Scholar] [CrossRef]
- Audru, J.-C.; Guennoc, P.; Thinon, I.; Abellard, O. Bathymay: La structure sous-marine de Mayotte révélée par l‘imagerie multifaisceaux. C. R. Geosci. 2006, 338, 1240–1249. [Google Scholar] [CrossRef]
- Nehlig, P.; Lacquement, F.; Bernard, J.; Caroff, M.; Deparis, J.; Jaouen, T.; Pelleter, A.A.; Perrin, J.; Prognon, C.; Vittecoq, B. Notice de la Carte Géologique de Mayotte; BRGM: Orléans, France, 2013; 135p. [Google Scholar]
- Stuiver, M.; Reimer, P.J. Extended 14C data base and revised CALIB 3.0 14C age calibration program. Radiocarbon 1993, 35, 215–230. [Google Scholar] [CrossRef]
- Heaton, T.J.; Köhler, P.; Butzin, M.; Bard, E.; Reimer, R.W.; Austin, W.E.N.; Bronk Ramsey, C.; Grootes, P.M.; Hughen, K.A.; Kromer, B.; et al. Marine20—The marine radiocarbon age calibration curve (0–55,000 cal BP). Radiocarbon 2020, 62, 779–820. [Google Scholar] [CrossRef]
- Hogg, A.G.; Heaton, T.J.; Hua, Q.; Palmer, J.G.; Turney, C.S.M.; Southon, J.; Bayliss, A.; Blackwell, P.G.; Boswijk, G.; Ramsey, C.B.; et al. SHCal20 Southern Hemisphere calibration, 0–55,000 years cal BP. Radiocarbon 2020, 62, 759–778. [Google Scholar] [CrossRef]
- Reimer, P.; Austin, W.E.N.; Bard, E.; Bayliss, A.; Blackwell, P.G.; Ramsey, C.B.; Butzin, M.; Edwards, R.L.; Friedrich, M.; Grootes, P.M.; et al. The IntCal20 Northern Hemisphere radiocarbon age calibration curve (0–55 cal kB). Radiocarbon 2020, 62, 725–757. [Google Scholar] [CrossRef]
- Bard, E.; Hamelin, B.; Fairbanks, R. U-Th ages obtained by mass spectrometry in corals from Barbados: Sea level during the past 130,000 years. Nature 1990, 346, 456–458. [Google Scholar] [CrossRef]
- Bard, E.; Hamelin, B.; Arnold, M.; Montaggioni, L.; Cabiosh, G.; Faure, G.; Rougerie, F. Deglacial sea-level record from Tahiti corals and the timing of global meltwater discharge. Nature 1996, 382, 241–244. [Google Scholar] [CrossRef]
- Bard, E.; Hamelin, B.; Delanghe-Sabatier, D. Deglacial Meltwater Pulse 1B and Younger Dryas Sea Levels Revisited with Boreholes at Tahiti. Science 2010, 327, 1235–1237. [Google Scholar] [CrossRef] [PubMed]
- Deschamps, P.; Durand, N.; Bard, E.; Hamelin, B.; Camoin, G.; Thomas, A.L.; Henderson, G.M.; Okuno, J.; Yokoyama, Y. Ice sheet collapse and sea-level rise at the Bølling warming 14,600 years ago. Nature 2012, 483, 559–564. [Google Scholar] [CrossRef] [PubMed]
- Hallmann, N.; Camoin, G.; Eisenhauer, A.; Botella, A.; Milne, G.A.; Vella, C.; Samankassou, E.; Pothin, V.; Dussouillez, P.; Fleury, J.; et al. Ice volume and climate changes from a 6000 year sea-level record in French Polynesia. Nat. Commun. 2018, 9, 285. [Google Scholar] [CrossRef] [PubMed]
- Peltier, W.R.; Fairbank, R.G. Global glacial ice volume and last glacial maximum from extended Barbados sea level record. Quat. Sci. Rev. 2006, 25, 3322–3337. [Google Scholar] [CrossRef]
- Abdul, N.A.; Mortlock, R.A.; Wright, J.D.; Fairbanks, R.G. Younger Dryas sea level and meltwater pulse 1B recorded in Barbados reef crest coral Acropora palmata. Paleoceanography 2016, 31, 330–344. [Google Scholar] [CrossRef]
- Bard, E.; Hamelin, B.; Fairbanks, R.G.; Zindler, A. Calibration of the 14C timescale over the past 30,000 years using mass spectrometric U-Th ages from Barbados corals. Nature 1990, 345, 405–410. [Google Scholar] [CrossRef]
- Bard, E.; Hamelin, B.; Deschamps, P.; Camoin, G. Comment on «Younger Dryas sea level and meltwater pulse 1B recorded in Barbados reefal crest coral Acropora palmata» by N. A. Abdul et al. Paleoceanography 2016, 31, 1603–1608. [Google Scholar] [CrossRef]
- Pirazzoli, P.A.; Montaggioni, L.F.; Delibrias, G.; Faure, G.; Salvat, B. Late Holocene sea-level changes in the Society Islands and in the northwest Tuamotu Atolls. In Proceedings of the Fifth International Coral Reef Congress; Gabrie, C., Toffart, J.L., Salvat, B., Eds.; Symposia and Seminars (A): Tahiti, French Polynesia, 1985. [Google Scholar]
- Austermann, J.; Mittrovica, J.X.; Latychev, K.; Milne, G.A. Barbados based estimate of ice volume at Last Glacial Maximum affected by subducted plate. Nat. Geosci. 2013, 6, 553–557. [Google Scholar] [CrossRef]
- Puyraveau, R.-A.; Rad, S.; Basile-Doelsch, I.; Deparis, J.; Jaouën, T.; Nehlig, P. Mayotte critical zone observatory: Preliminary results on chemical weathering and erosion rates on volcanic edifices. Procedia Earth Planet. Sci. 2014, 10, 73–76. [Google Scholar] [CrossRef]
- Puzenat, V.; Feuillet, N.; Komorowski, J.-C.; Escartín, J.; Deplus, C.; Bachèlery, P.; Berthod, C.; Gurioli, L.; Scalabrin, C.; Cathalot, C.; et al. Volcano-tectonic structures of Mayotte’s upper submarine slope: Insights from high-resolution bathymetry and in-situ imagery from a deep-towed camera. C. R. Géosci. 2022, 354 (Suppl. S2), 81–104. [Google Scholar] [CrossRef]
- Berthod, C.; Komorowski, J.-C.; Gurioli, L.; Médard, E.; Bachèlery, P.; Besson, P.; Verdurme, P.; Chevrel, O.; Di Muro, A.; Peltier, A.; et al. Temporal magmatic evolution of the Fani Maoré submarine eruption 50 km east of Mayotte revealed by in situ sampling and petrological monitoring. C. R. Géosci. 2022, 354 (Suppl. S2), 195–223. [Google Scholar] [CrossRef]
- French, S.W.; Romanowicz, B.A. Whole-mantle radially anisotropic shear velocity structure from spectral-element waveform tomography. Geophys. J. Int. 2014, 199, 1303–1327. [Google Scholar] [CrossRef]
- O’Connor, J.M.; Jokat, W.; Regelous, M.; Kuiper, K.F.; Miggins, D.P.; Koppers, A.A.P. Superplume mantle tracked isotopically the length of Africa from the Indian Ocean to the Red Sea. Nat. Commun. 2019, 10, 5493. [Google Scholar] [CrossRef]
- French, S.W.; Romanowicz, B. Broad plumes rooted at the base of the Earth’s mantle beneath major hotspots. Nature 2015, 525, 95–99. [Google Scholar] [CrossRef]
- French, S.; Lekic, V.; Romanowicz, B. Waveform Tomography Reveals Channeled Flow at the Base of the Oceanic Asthenosphere. Science 2013, 342, 227–230. [Google Scholar] [CrossRef]
- Spath, A.; Le Roex, A.P.; Duncan, R.A. The geochemistry of lavas from Comores Archipelago, Western Indian Ocean: Petrogenesis and mantle source region characteristics. Oceanogr. Lit. Rev. 1996, 37, 961–991. [Google Scholar]
- Debeuf, D. Étude de L‘évolution Volcano-Structurale et Magmatique de Mayotte, Archipel des Comores, Océan Indien: Approches Structurale, Pétrographique, Géochimique et Géochronologique. Ph.D. Thesis, Université de la Réunion, Saint-Denis, France, 2004. [Google Scholar]
- Barruol, G.; Sigloch, K.; Scholz, J.R.; Mazzullo, A.; Stutzmann, E.; Montagner, J.P.; Kiselev, S.; Fontaine, F.R.; Michon, L.; Dyment, C.; et al. Large-scale flow of Indian Ocean asthenosphere driven by Réunion plume. Nat. Geosci. 2019, 12, 1043–1049. [Google Scholar] [CrossRef]
- Rolandone, F.; Poort, J.; Masquelet, C.; Leroy, S.; Thinon, I.; Lemoine, A.; Paquet, F. Heat flow measurements in the Northern Mozambique Channel. C. R. Géosci. 2022, 354 (Suppl. S2), 35–46. [Google Scholar] [CrossRef]
- Hosseini, K.; Matthews, K.J.; Sigloch, K.; Shepard, G.E.; Domeier, H.; Tsekhmistremko, M. Submachine: Web-based tools for exploring seismic tomography and other models of Earth’s deep interior. Geochem. Geophys. Geosystems 2018, 19, 1464–1483. [Google Scholar] [CrossRef]
- Gargani, J. Mayotte’s Codes, Mendeley Data, V1. 2023. Available online: https://data.mendeley.com/datasets/h4mg2z84k9/1 (accessed on 31 December 2023). [CrossRef]









| ID Sample a | Depth (m) a | Age 14C (yr BP) a | Calib. Age 14C (yr BP) | Calib. Age 14C (yr BP, 2σ) |
|---|---|---|---|---|
| KI 4,282,021 | 2.2 ± 0.5 | 2550 ± 35 | 2045 b | 2238–1854 b |
| KI 4,385,021 | 6.8 ± 0.5 | 6740 ± 45 | 7050 b | 7232–6872 b |
| KI 4,384,021 | 9.0 ± 1 | 6780 ± 55 | 7090 b | 7268–6895 b |
| KI 4,383,021 | 9.0 ± 1 | 7510 ± 55 | 7788 b | 7947–7620 b |
| KIA 11,560 | 28.8 ± 0 | 8740 ± 45 | 9713 c | 9890–9543 c |
| KI 8739 | 34.73 ± 2 | 9020 ± 100 | 9548 b | 9875–9284 b |
| KI 4,332,001 | 34.75 ± 2 | 9150 ± 95 | 9711 b | 10,043–9451 b |
| KI 5206 | 39.97 ± 0 | 9420 ± 40 | 10,648 c | 10,690–10,444 c |
| LGQ 600 | 59.15 ± 0.5 | 9650 ± 190 | 10,975 c | 11,617–10,304 c |
| LGQ 599 | 58.50 ± 1 | 10,190 ± 190 | 11,133 b | 11,724–10,567 b |
| LGQ 601 | 60.00 ± 0.5 | 9860 ± 210 | 10,684 b | 11,243–10,121 b |
| KIA 11,558 | 59.30 ± 0.5 | 10,000 ± 40 | 11,422 c | 11,628–11,208 c |
| KIA 11,559 | 60.50 ± 0.5 | 10,070 ± 45 | 11,515 c | 11,757–11,274 c |
| LGQ 602 | 61.50 ± 0.5 | 10,270 ± 410 | 11,906 c | 12,918–10,708 c |
| ID Sample | Depth (m) | Age (yr BP) | Method |
|---|---|---|---|
| BRGM 0022 | 1.35 ± 1 | 1500 ± 100 | U-Th |
| KI 4,282,021 | 2.2 ± 0.5 | 2588 ± 200 | 14C |
| BRGM 0093 | 3.45 ± 1 | 3700 ± 200 | U-Th |
| KI 4,385,021 | 6.8 ± 0.5 | 7050 ± 200 | 14C |
| BRGM 0095 | 7.30 | 7200 ± 400 | U-Th |
| KI 4,384,021 | 9.0 ± 1 | 7090 ± 200 | 14C |
| KI 4,383,021 | 9.0 ± 1 | 7788 ± 200 | 14C |
| BRGM 0023 | 9.45 | 8200 ± 200 | U-Th |
| BRGM 0096 | 11.60 | 8200 ± 300 | U-Th |
| BRGM 0097 | 16.70 | 8600 ± 300 | U-Th |
| BRGM 0018 | 18.70 | 9300 ± 300 | U-Th |
| BRGM 0098 | 21.05 | 9600 ± 400 | U-Th |
| KIA 11,560 | 28.8 ± 0 | 9657 ± 250 | 14C |
| KI 8739 | 34.73 ± 2 | 9548 ± 300 | 14C |
| KI 4,332,001 | 34.75 ± 2 | 9711 ± 350 | 14C |
| KI 5206 | 39.97 ± 0 | 10,613 ± 200 | 14C |
| LGQ 600 | 59.15 ± 0.5 | 10,932 ± 700 | 14C |
| LGQ 599 | 58.50 ± 1 | 11,133 ± 600 | 14C |
| LGQ 601 | 60.00 ± 0.5 | 10,684 ± 600 | 14C |
| KIA 11,558 | 50 ± 0.5 | 11,422 ± 210 | 14C |
| KIA 11,559 | 60.50 ± 0.5 | 11,515 ± 250 | 14C |
| LGQ 602 | 61.50 ± 0.5 | 11,906 ± 1200 | 14C |
| Age | Volcanic Activity | Reference |
|---|---|---|
| 2018 | Basalt | [49] |
| 2.225 ± 0.075 kyr B.P. | Phonolite | [57] |
| 4.12 ± 0.04 kyr B.P. | Pumice stone | [56] |
| 5.98 ± 0.14 kyr B.P. | Volcanic mud | [56] |
| 6.950 ± 0.060 kyr B.P. | Ash, trachytic pumice, altered phonolite | [57,63] |
| 7.965 ± 0.045 kyr | Phonolite | [57] |
| 1.25 to 10.6 Ma | Main volcanic building | [50] |
| 1.49 ± 0.04 Ma | Phonolite | [62] |
| 7.7 ± 1.0 Ma | Basalt and nephelinites | [62] |
| 20.6 Ma | Initiation of the volcanism | [51] |
| 26.5 Ma | Initiation of the volcanism | [52] |
Disclaimer/Publisher’s Note: The statements, opinions and data contained in all publications are solely those of the individual author(s) and contributor(s) and not of MDPI and/or the editor(s). MDPI and/or the editor(s) disclaim responsibility for any injury to people or property resulting from any ideas, methods, instructions or products referred to in the content. |
© 2024 by the author. Licensee MDPI, Basel, Switzerland. This article is an open access article distributed under the terms and conditions of the Creative Commons Attribution (CC BY) license (https://creativecommons.org/licenses/by/4.0/).
Share and Cite
Gargani, J. Relative Sea Level and Coastal Vertical Movements in Relation to Volcano-Tectonic Processes at Mayotte Island, Indian Ocean. GeoHazards 2024, 5, 329-349. https://doi.org/10.3390/geohazards5020017
Gargani J. Relative Sea Level and Coastal Vertical Movements in Relation to Volcano-Tectonic Processes at Mayotte Island, Indian Ocean. GeoHazards. 2024; 5(2):329-349. https://doi.org/10.3390/geohazards5020017
Chicago/Turabian StyleGargani, Julien. 2024. "Relative Sea Level and Coastal Vertical Movements in Relation to Volcano-Tectonic Processes at Mayotte Island, Indian Ocean" GeoHazards 5, no. 2: 329-349. https://doi.org/10.3390/geohazards5020017
APA StyleGargani, J. (2024). Relative Sea Level and Coastal Vertical Movements in Relation to Volcano-Tectonic Processes at Mayotte Island, Indian Ocean. GeoHazards, 5(2), 329-349. https://doi.org/10.3390/geohazards5020017
