Seismic Hazard in Greece: A Comparative Study for the Region of East Macedonia and Thrace
Abstract
1. Introduction
2. Materials and Methods
2.1. Seismic Source Models
2.2. Ground Motion Modeling
2.3. Probabilistic Seismic Hazard Assessment (PSHA)
3. Results
3.1. PSHA Results
3.2. Final PSHA for REMTH and Comparison to Other Models
- Its features are similar to the TAP faults_SHAREB model in that they are both fault-based models and their seismicity is estimated through geological slip rates.
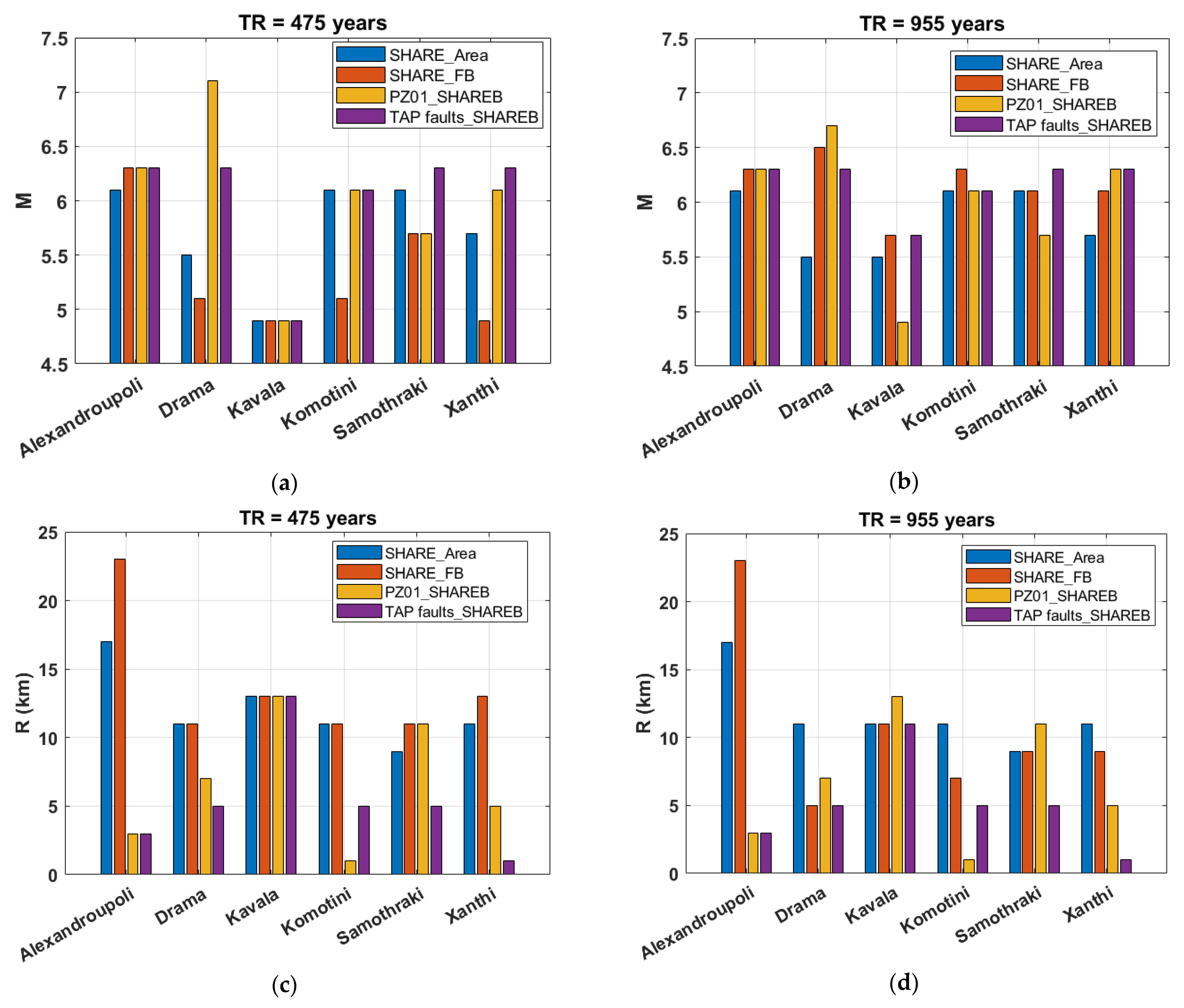
3.3. Disaggregation of the Seismic Hazard and Earthquake Scenarios
3.4. Deterministic Seismic Hazard Assessment (DSHA) and Selection of Ground Motion Recordings
4. Discussion and Conclusions
Supplementary Materials
Author Contributions
Funding
Institutional Review Board Statement
Informed Consent Statement
Data Availability Statement
Conflicts of Interest
References
- Papazachos, B.C.; Papaioannou, C.; Papastamatiou, D.; Margaris, B.; Theodulidis, N. On the Reliability of Different Methods of Seismic Hazard Assessment in Greece. Nat. Hazards 1990, 3, 141–151. [Google Scholar] [CrossRef]
- Tsapanos, T.; Mäntyniemi, P.; Kijko, A. A probabilistic seismic hazard assessment for Greece and the surrounding region including site-specific considerations. Ann. Geophys. 2004, 47, 1675–1688. [Google Scholar] [CrossRef]
- Banitsiotou, I.D.; Tsapanos, T.M.; Margaris, V.N.; Hatzidimitriou, P.M. Estimation of the seismic hazard parameters for various sites in Greece using a probabilistic approach. Nat. Hazards Earth Syst. Sci. 2004, 4, 399–405. [Google Scholar] [CrossRef]
- Moratto, L.; Sikora-Orlecka, B.; Costa, G.; Suhadolc, P.; Papaioannou, C.; Papazachos, C.B. A deterministic seismic hazard analysis for shallow earthquakes in Greece. Tectonophysics 2007, 442, 66–82. [Google Scholar] [CrossRef]
- Slejko, D.; Santulin, M.; Garcia Pelaez, J.A.; Papoulia, J.; Daskalaki, E.; Fasuaka, C.; Fokaefs, A.; Ilinski, D.; Mascle, J.; Makris, J.; et al. Preliminary seismic hazard assessments for the area of Pylos and surrounding region (SW Peloponnese). Boll. Geofis. Teor. Appl. 2010, 51, 163–186. [Google Scholar]
- Tselentis, G.-A.; Danciu, L. Probabilistic seismic hazard assessment in Greece—Part 1: Engineering ground motion parameters. Nat. Hazards Earth Syst. Sci. 2010, 10, 25–39. [Google Scholar] [CrossRef]
- Stylianou, E.; Maravas, G.; Kouskouna, V.; Papoulia, J. Seismic hazard assessment in the North Aegean trough based on a new seismogenic zonation. Bull. Geol. Soc. Greece 2016, 50, 1443–1452. [Google Scholar]
- Vamvakaris, D.; Papazachos, C.; Papaioannou, C.; Scordilis, E.; Karakaisis, G. Seismic Hazard Assessment in the Broader Aegean Area Using Time-Independent Seismicity Models Based on Synthetic Earthquake Catalogs. Bull. Geol. Soc. Greece 2016, 50, 1463–1472. [Google Scholar] [CrossRef][Green Version]
- Roumelioti, Z.; Kiratzi, A.; Margaris, B.; Chatzipetros, A. Simulation of strong ground motion on near-fault rock outcrop for engineering purposes: The case of the city of Xanthi (northern Greece). Bull. Earthq. Eng. 2017, 15, 25–49. [Google Scholar] [CrossRef]
- Vavlas, N.; Kiratzi, A.; Margaris, B.; Karakaisis, G. Probabilistic Seismic Hazard Assessment (PSHA) for Lesvos Island Using the Logic Tree Approach. Bull. Geol. Soc. Greece 2019, 55, 109–136. [Google Scholar] [CrossRef]
- Slejko, D.; Rebez, A.; Santulin, M.; Garcia-Pelaez, J.; Sandron, D.; Tamaro, A.; Civile, D.; Volpi, V.; Caputo, R.; Ceramicola, S.; et al. Seismic hazard for the Trans Adriatic Pipeline (TAP). Part 1: Probabilistic seismic hazard analysis along the pipeline. Bull. Earthq. Eng. 2021, 19, 3349–3388. [Google Scholar] [CrossRef]
- Kaviris, G.; Zymvragakis, A.; Bonatis, P.; Sakkas, G.; Kouskouna, V.; Voulgaris, N. Probabilistic Seismic Hazard Assessment for the Broader Messinia (SW Greece) Region. Pure Appl. Geophys. 2022, 179, 551–567. [Google Scholar] [CrossRef]
- EAK. Greek Seismic Coded; Earthquake Planning and protection organization: Athens, Greece, 2003; pp. 1–72. [Google Scholar]
- Woessner, J.; Danciu, L.; Giardini, D.; Crowley, H.; Cotton, F.; Grünthal, G.; Valensise, G.; Arvidson, R.; Basili, R.; Demircioglu, B.; et al. The 2013 European Seismic Hazard Model: Key components and results. Bull Earthq. Eng. 2015, 13, 553–3596. [Google Scholar] [CrossRef]
- Scordilis, E.; Karakaisis, G.; Tsampas, A. Seismicity Catalogue for Greece. HELPOS: Hellenic Plate Observing System 2021, Deliverable 2.4.1. Available online: http://www.itsak.gr/uploads/data/HELPOS_Catalogue_GR_Seismicity_550BC-2018.dat (accessed on 15 June 2023). (In Greek).
- Papazachos, B.C.; Papazachou, C. The Earthquakes of Greece; Ziti Publications: Athens, Greece, 2003. (In Greek) [Google Scholar]
- Cornell, C.A. Engineering seismic risk analysis. Bull. Seismol. Soc. Am. 1968, 58, 1583–1606. [Google Scholar] [CrossRef]
- Sotiriadis, D.; Margaris, B. Evaluation of the predictive performance of regional and global ground motion predictive equations against Greek strong motion data. Soil Dyn. Earthq. Eng 2023, 165, 107656. [Google Scholar] [CrossRef]
- Papazachos, B.C. Seismicity rates and long-term prediction in the Aegean area. Quat. Geod. 1980, 3, 171–190. [Google Scholar]
- Papazachos, B.C.; Papaioannou, C.A. Long-term earthquake prediction in the Aegean area based on a time and magnitude predictable model. Pure Appl. Geophys. 1993, 140, 595–612. [Google Scholar] [CrossRef]
- Papaioannou, C.A.; Papazachos, B.C. Time-Independent and Time-Dependent Seismic Hazard in Greece Based on Seismogenic Sources. Bull Seismol. Soc. Am. 2000, 90, 22–33. [Google Scholar] [CrossRef]
- Vamvakaris, D.A.; Papazachos, C.B.; Papaioannou Ch, A.; Scordilis, E.M.; Karakaisis, G.F. A detailed seismic zonation model for shallow earthquakes in the broader Aegean area. Nat. Hazards Earth Syst. Sci. 2016, 16, 55–84. [Google Scholar] [CrossRef]
- Danciu, L.; Nandan, S.; Reyes, C.; Basili, R.; Weatherill, G.; Beauval, C.; Rovida, A.; Vilanova, S.; Sesetyan, K.; Bard, P.-Y.; et al. The 2020 update of the European Seismic Hazard Model: Model Overview; EFEHR Technical Report 001, v1.0.0; ETH Zürich: Zürich, Switzerland, 2021. [Google Scholar] [CrossRef]
- Papazachos, B.C.; Mountrakis, D.M.; Papazachos, C.B.; Tranos, M.D.; Karakaisis, G.F.; Savvaidis, A.S. The faults that caused known strong earthquakes in Greece and its surroundings from the fifth century B.C. until today. In Proceedings of the 2nd Panhellenic Conference of Earthquake Engineering and Engineering Seismology, Thessaloniki, Greece, 28–30 November 2001. (In Greek). [Google Scholar]
- Wells, D.L.; Coppersmith, K.J. New empirical relationships among magnitude, rupture length, rupture width, rupture area, and surface displacement. Bull. Seismol. Soc. Am. 1994, 84, 974–1002. [Google Scholar] [CrossRef]
- Papazachos, B.C.; Scordilis, E.M.; Panagiotopoulos, D.G.; Papazachos, C.B.; Karakaisis, G.F. Global Relations between Seismic Fault Parameters and Moment Magnitude of Earthquakes. Bull. Geol. Soc. Greece 2004, 36, 1482–1489. [Google Scholar] [CrossRef]
- Leonard, M. Earthquake Fault Scaling: Self-Consistent Relating of Rupture Length, Width, Average Displacement, and Moment Release. Bull. Seismol. Soc. Am. 2010, 100, 1971–1988. [Google Scholar] [CrossRef]
- Leonard, M. Self-Consistent Earthquake Fault-Scaling Relations: Update and Extension to Stable Continental Strike-Slip Faults. Bull. Seismol. Soc. Am. 2014, 104, 2953–2965. [Google Scholar] [CrossRef]
- Caputo, R.; Pavlides, S. The Greek Database of Seismogenic Sources (GreDaSS), version 2.0.0: A compilation of potential seismogenic sources (Mw > 5.5) in the Aegean Region 2013. Available online: http://gredass.unife.it/ (accessed on 20 June 2022).
- Anderson, J.G.; Luco, J.E. Consequences of slip rate constraints on earthquake occurrence relations. Bull. Seismol. Soc. Am. 1983, 73, 471–496. [Google Scholar] [CrossRef]
- Basili, R.; Tiberti, M.M.; Kastelic, V.; Romano, F.; Piatanesi, A.; Selva, J.; Lorito, S. Integrating geologic fault data into tsunami hazard studies. Nat. Hazards Earth Syst. Sci. 2013, 13, 1025–1050. [Google Scholar] [CrossRef]
- Boore, D.; Stewart, J.P.; Skarlatoudis, A.; Seyhan, E.; Margaris, B.; Theodoulidis, N.; Scordilis, E.; Kalogeras, I.; Klimis, N.; Melis, N. A Ground-Motion Prediction Model for Shallow Crustal Earthquakes in Greece. Bull. Seismol. Soc. Am. 2020, 111, 857–874. [Google Scholar] [CrossRef]
- Margaris, B.; Scordilis, E.M.; Stewart, J.P.; Boore, D.M.; Theodoulidis, N.; Kalogeras, I.; Melis, N.S.; Skarlatoudis, A.A.; Klimis, N.; Seyhan, E. Hellenic Strong-Motion Database with Uniformly Assigned Source and Site Metadata for the Period 1972–2015. Seismol. Res. Lett. 2021, 92, 2065–2080. [Google Scholar] [CrossRef]
- Scherbaum, F.; Delavaud, E.; Riggelsen, C. Model selection in seismic hazard analysis: An information-theoretic perspective. Bull Seismol Soc Am 2009, 99, 3234–3247. [Google Scholar] [CrossRef]
- Mak, S.; Clements, R.A.; Schorlemmer, D. Empirical evaluation of ground-motion models: Score uncertainty and model weighting. Bull Seismol Soc Am 2017, 107, 949–965. [Google Scholar] [CrossRef]
- Kale, Ö.; Akkar, S. A New Procedure for Selecting and Ranking Ground-Motion Prediction Equations (GMPEs): The Euclidean Distance-Based Ranking (EDR) Method. Bull Seismol. Soc. Am. 2013, 103, 1069–1084. [Google Scholar] [CrossRef]
- Kotha, S.R.; Weatherill, G.; Bindi, D.; Cotton, F. A regionally-adaptable ground-motion model for shallow crustal earthquakes in Europe. Bull Earthq. Eng. 2020, 18, 4091–4125. [Google Scholar] [CrossRef]
- Kotha, S.R.; Weatherill, G.; Bindi, D.; Cotton, F. Near-source magnitude scaling of spectral accelerations: Analysis and update of Kotha et al. (2020) model. Bull Earthq. Eng. 2022, 20, 1343–1370. [Google Scholar] [CrossRef]
- Chiou, B.S.-J.; Youngs, R.R. Update of the Chiou and Youngs NGA Model for the Average Horizontal Component of Peak Ground Motion and Response Spectra. Earthq. Spectra 2014, 30, 1117–1153. [Google Scholar] [CrossRef]
- Pagani, M.; Monelli, D.; Weatherill, G.; Danciu, L.; Crowley, H.; Silva, V.; Henshaw, P.; Butler, L.; Nastasi, M.; Panzeri, L.; et al. OpenQuake Engine: An Open Hazard (and Risk) Software for the Global Earthquake Model. Seismol. Res. Lett. 2014, 85, 692–702. [Google Scholar] [CrossRef]
- EN 1998-1; CEN (2004) CEN—Eurocode 8: Design of Structures for Earthquake Resistance—Part 1: General Rules, Seismic Actions and Rules for Buildings. European Committee for Standardization: Brussels, Belgium.
- Bazzurro, P.; Cornell, C.A. Disaggregation of seismic hazard. Bull. Seismol. Soc. Am. 1999, 89, 501–520. [Google Scholar] [CrossRef]
- Hellenic Statistical Authority. Available online: https://www.statistics.gr/en/geo-census (accessed on 20 April 2023).
- Ancheta, T.D.; Darragh, R.B.; Stewart, J.P.; Seyhan, E.; Silva, W.J.; Chiou, B.S.-J.; Wooddell, K.E.; Graves, R.W.; Kottke, A.R.; Boore, D.M.; et al. NGA-West2 Database. Earthq. Spectra 2014, 30, 989–1005. [Google Scholar] [CrossRef]
- Luzi, L.; Lanzano, G.; Felicetta, C.; D’Amico, M.C.; Russo, E.; Sgobba, S.; Pacor, F.; ORFEUS Working Group 5. Engineering Strong Motion Database (ESM) (Version 2.0); Istituto Nazionale di Geofisica e Vulcanologia (INGV): Rome, Italy, 2020. [Google Scholar] [CrossRef]
























| SM Designation | Description |
|---|---|
| PZ01_SHAREB | Seismic faults by [24] and background seismicity area sources by [14] |
| SHARE_FB | Seismic faults and background seismicity area sources by [14] |
| TAP faults_SHAREB | Seismic faults by [11] and background seismicity area sources by [14] |
| SHARE_Area | Area sources of distributed seismicity by [14] |
| Ranking | GMPE | Weight |
|---|---|---|
| 1 | Boore et al. (2021) [32] | 0.38 |
| 2 | Kotha et al. (2020; 2022) [37,38] | 0.34 |
| 3 | Chiou and Youngs (2014) [39] | 0.28 |
| City | TR (Years) | M | R (km) | ε |
|---|---|---|---|---|
| Alexandroupoli | 475 | 6.3 | 3.0 | 0.1 |
| 955 | 6.3 | 3.0 | 0.1 | |
| Drama | 475 | 6.3 | 5.0 | 0.1 |
| 955 | 7.1 | 7.0 | 0.3 | |
| Kavala | 475 | 5.7 | 11.0 | 0.7 |
| 955 | 5.7 | 11.0 | 1.1 | |
| Komotini | 475 | 6.1 | 1.0 | −0.1 |
| 955 | 6.1 | 1.0 | 0.7 | |
| Samothraki | 475 | 6.3 | 5.0 | 0.9 |
| 955 | 6.3 | 5.0 | 1.1 | |
| Xanthi | 475 | 6.3 | 1.0 | −0.1 |
| 955 | 6.3 | 1.0 | 0.1 |
| # | RSN | DDMMYY HHMMSS | Latitude (°) | Longitude (°) | Μ | Rjb (km) | VS30 (m/s) | Mechanism | Station Code | PGArotD50 (g) | Source |
|---|---|---|---|---|---|---|---|---|---|---|---|
| 1 | 861 | 07/09/1999 11:56:51 | 38.06 | 23.54 | 6.0 | 4.2 | 582 | Normal | ATH3 | 0.290 | 1 * |
| 2 | 860 | 07/09/1999 11:56:51 | 38.06 | 23.54 | 6.0 | 2.4 | 412 | Normal | SPLB | 0.337 | 1 |
| 3 | 599 | 24/02/1981 20:53:36 | 38.07 | 23.00 | 6.7 | 5.3 | 339 | Normal | KORA | 0.257 | 1 |
| 4 | 786 | 17/05/1995 04:14:25 | 40.1526 | 21.6183 | 5.4 | 10.4 | 470 | Normal | 1CHR | 0.128 | 1 |
| 6 | 230 | 25/05/1980 | 37.677 | 118.900 | 6.06 | 1.1 | 382 | Normal | Convict Creek | 0.440 | 2 ** |
| 7 | - | 22/10/1999 02:18:58 | 23.445 | 120.506 | 5.9 | 8.3 | 877 | - | TW | 0.500 | 3 *** |
| 8 | - | 24/08/2016 01:36:32 | 42.6983 | 13.2335 | 6.0 | 2.0 | 498 | Normal | NRC | 0.367 | 3 |
| 9 | - | 18/01/2017 10:25:24 | 42.53115 | 13.29272 | 5.4 | 10.4 | 670 | Normal | AMT | 0.137 | 3 |
| 10 | 07/04/2009 17:47:37 | 42.303 | 13.486 | 6.6 | 11.1 | 696 | Normal | AQG | 0.120 | 3 | |
| 11 | 4369 | 10/6/1997 | 43.045 | 12.835 | 5.5 | 11.7 | 694 | Normal | “Nocera Umbra-Salmata” | 0.187 | 2 |
| 12 | 4509 | 07/04/2009 | 42.275 | 13.464 | 5.6 | 11.1 | 685 | Normal | “L’Aquila—V. Aterno -Colle Grilli” | 0.150 | 2 |
| 13 | - | 24/08/2016 01:36:32 | 42.6983 | 13.2335 | 6.0 | 1.4 | 670 | Normal | AMT | 0.387 | 3 |
| 14 | - | 30/10/2016 06:40:18 | 42.83794 | 13.12324 | 6.6 | 12.8 | 698 | Normal | CSC | 0.163 | 3 |
| 15 | 4099 | 28/92004 | 35.818 | 120.366 | 6.0 | 3.2 | 523 | Strike-slip | “Parkfield—Cholame 2E” | 0.485 | 2 |
| 16 | 4122 | 28/9/2004 | 35.818 | 120.366 | 6.0 | 4.7 | 511 | Strike-slip | “Parkfield—Gold Hill 3W” | 0.608 | 2 |
| 17 | 459 | 24/04/1984 | 37.310 | 121.679 | 6.2 | 9.9 | 663 | Strike-slip | “Gilroy Array #6” | 0.268 | 2 |
| 18 | 4064 | 28/9/2004 | 35.818 | 120.366 | 6.0 | 4.3 | 657 | Strike-slip | “PARKFIELD—DONNA LEE” | 0.341 | 2 |
| 19 | - | 26/10/2016 19:18:06 | 42.91014 | 13.1406 | 5.9 | 5.9 | 498 | Normal | NRC | 0.282 | 3 |
Disclaimer/Publisher’s Note: The statements, opinions and data contained in all publications are solely those of the individual author(s) and contributor(s) and not of MDPI and/or the editor(s). MDPI and/or the editor(s) disclaim responsibility for any injury to people or property resulting from any ideas, methods, instructions or products referred to in the content. |
© 2023 by the authors. Licensee MDPI, Basel, Switzerland. This article is an open access article distributed under the terms and conditions of the Creative Commons Attribution (CC BY) license (https://creativecommons.org/licenses/by/4.0/).
Share and Cite
Sotiriadis, D.; Margaris, B.; Klimis, N.; Dokas, I.M. Seismic Hazard in Greece: A Comparative Study for the Region of East Macedonia and Thrace. GeoHazards 2023, 4, 239-266. https://doi.org/10.3390/geohazards4030014
Sotiriadis D, Margaris B, Klimis N, Dokas IM. Seismic Hazard in Greece: A Comparative Study for the Region of East Macedonia and Thrace. GeoHazards. 2023; 4(3):239-266. https://doi.org/10.3390/geohazards4030014
Chicago/Turabian StyleSotiriadis, Dimitris, Basil Margaris, Nikolaos Klimis, and Ioannis M. Dokas. 2023. "Seismic Hazard in Greece: A Comparative Study for the Region of East Macedonia and Thrace" GeoHazards 4, no. 3: 239-266. https://doi.org/10.3390/geohazards4030014
APA StyleSotiriadis, D., Margaris, B., Klimis, N., & Dokas, I. M. (2023). Seismic Hazard in Greece: A Comparative Study for the Region of East Macedonia and Thrace. GeoHazards, 4(3), 239-266. https://doi.org/10.3390/geohazards4030014

