Abstract
This article describes thermal input/concentration output systems processed by chemical reactions. Various sophisticated thermal inputs can be converted into concentration outputs through the double-helix formation of helicene oligomers exhibiting thermal hysteresis. The inputs include high or low temperature, cooling or heating state, slow or fast cooling state, heating state, and cooling history. The chemical basis for the properties of the chemical reactions includes the reversibility out of chemical equilibrium, sigmoidal relationship and kinetics, bistability involving metastable states, positive feedback by self-catalytic chemical reactions, competitive chemical reactions, and fine tunability for parallel processing. The interfacing of concentration outputs in other systems is considered, and biological cells are considered to have been utilizing such input/output systems processed by chemical reactions.
1. Input/Output Systems
The concept of information systems involving inputs and outputs is widely used in science, technology, and society [1]. Inputs are defined as signals or data received by a system, whereas outputs are defined as signals or data sent from it [2]. Inputs represent data and materials from external processes, and outputs are data and materials flowing out of transformation processes [3]. In other words, inputs for a system cause change, whereas the effects that occur on a system are outputs. Interfacing connects an input/output system to another [4,5,6] and facilitates the designing or adaptation of the outputs and inputs of two systems, enabling them to work together [7]. Overall, resources, such as materials, energy, information, and environment, are interfaced by a number of input/output systems leading to functions in the real world (Figure 1) [1]. For instance, an air conditioner controls room temperature, which involves the monitoring of environmental temperature, interfacing of electronic device input/output systems, and conducting heating and cooling functions.
Figure 1.
Input/output system with interfacing connects resources to the real world.
An electronic circuit converts an electric current or voltage input to provide an output of the same type, and an input/output system is interfaced with other systems and eventually leading to the real world [4,5,6]. Electronic circuits employ analog and digital signals, usually equipped with devices for the interconversion of analog and digital signals [8,9,10,11]. Analog signals are continuous quantities, whereas digital signals constitute a series of discrete quantities.
Computers employ a set of interfaced input/output systems that collect, retrieve, process, store, and distribute information to support decision making and control in an organization, employing digital signals of 0s and 1s as inputs or outputs [12,13].
The functions of biological cells can be considered as input/output systems, and various types of environmental information are transferred to cellular responses [14]. Homeostasis, growth, evolution, and genetics can be controlled through signal transduction, which transmits chemical or physical signals as a series of chemical reactions through a cell [15,16]. For instance, changes in external temperature are monitored on cell surfaces and processed in the input/output systems of cells, and responses against the temperature changes that occur. Biological cells employ input/output systems involving analog and digital signals and regulate the interconversion of signals [17,18,19,20]. The structures of biological networks parallel those of information networks in electronic circuits in terms of complexity [21].
Between input and output is processing, which is defined as how input is related to output in a system and involves enhancement, attenuation, bifurcation, amplification, evaluation, and positive or negative feedback [22]. Processing by electronic circuits is conducted by resistors, transducers, inducers, and diodes [7]. Processing by computers includes the conversion of raw data into machine-readable forms, flow of data through the central processing unit (CPU) and memory to output devices, and formatting or transformation of outputs [12,13]. Processing in the nervous systems of animals is an example of processing through chemical reactions, involving the sequential opening of ion channels on neurons with one direction of an electric current and release of chemical neurotransmitters at synapsis for the modulation of the current [14,23].
Input/output systems are connected through interfacing, which is defined here as the conversion of an output of a system into an input in another system [4,5,6]. Efficiency in interfacing affects the efficiency of relating resources and functions leading to the real world. For instance, when an output obtained through processing by a chemical reaction is a concentration of a compound, the concentration is the input in other input/output systems and processed by other chemical reactions. Thus, the way an output from one system can be accepted in other systems is important.
The concept of input/output systems processed by chemical reactions is essential to biology. However, biological events are extremely complex and are difficult to analyze and understand. Although input/output system models have been studied through mathematical methods in systems biology [24,25,26,27,28], experimental studies are few because of inadequate chemical reactions suitable for processing.
Synthetic thermal input/concentration output systems processed by chemical reactions are described in this study. We developed synthetic organic compounds that experimentally exhibit thermal hysteresis through chemical reactions [29,30,31]. Studies on thermal hysteresis have suggested their use in thermal input/concentration output systems processed by chemical reactions. Chemical reactions can be used in processing sophisticated thermal inputs and their conversion into concentration outputs. Such chemical reactions exhibit thermal properties that are considerably different from those of ordinary chemical equilibria and chemical reactions and appear to exhibit behavior similar to those of thermal responses of biological cells. The present study presents the following questions: what can be done by thermal input/concentration output systems processed by chemical reactions? What properties are involved in such chemical reactions? What is the chemical basis for the properties?
2. Thermal Input/Concentration Output Systems Processed by Chemical Reactions
2.1. Processing by Chemical Reactions
Proper responses to temperature changes are critical to living things. Biological responses (real world) to temperature changes (resource) involves a number of input/output systems processed by chemical reactions, and these systems are connected to each other through interfacing (Figure 2). Monitoring a small increase in environmental temperature of several centigrade makes flowers in spring, while in the human body it triggers cooling for homeostasis. Biological cells manipulate these phenomena through chemical reactions under ambient conditions. Thermal input/concentration output systems processed by chemical reactions, which convert signals of temperature changes to concentration outputs, respond to various temperature changes. The mechanisms of the biological thermal monitoring and responses are not fully clear yet, so studying synthetic input/output systems using synthetic compounds is interesting.
Figure 2.
Thermal input/concentration output systems processed by chemical reactions and their interfacing.
In principle, any chemical reaction can be used in processing in thermal input/concentration output systems because chemical reactions are affected by temperature. However, the properties of chemical reactions employed in biological cells are considerably different from those of ordinary chemical equilibria and chemical reactions under ambient conditions. For instance, ordinary chemical reactions are generally not sensitive enough to small temperature changes under ambient conditions. This feature will be discussed in Section 2.2. The subjects of interest then are the properties of chemical reactions, which can be involved in thermal input/concentration output systems. The chemical basis for these properties will be discussed in Section 3. It is also discussed how an analog signal of a thermal input can be converted into a digital signal of a concentration output through chemical reaction [23].
A chemical reaction transforms one set of chemical substances into another by rearranging covalent and noncovalent chemical bonds [32,33,34,35]. The mechanisms of a chemical reaction are complex and include (1) a large number of transition and intermediate states; (2) a large number of pathways connecting these states; (3) pathways affected by environmental conditions, including temperature; (4) flux of a huge number of molecules visiting the pathways; (5) fluxes exhibiting complex properties with dynamic nature; and (6) fluxes that are sensitively affected by environmental conditions, which include temperature, pressure, medium, and concentration. Accordingly, thermal input/concentration output systems processed by chemical reactions can manipulate sophisticated thermal inputs.
Molecules and molecular assemblies are discriminated in this article. The structure and chemical reaction of a molecule are described using quantum mechanics and depicted by the arrangements of atoms and bonds between atoms. Quantum mechanics describe an elementary chemical reaction of a single molecule with regard to how its molecular structure changes. Such change is generally completed in picoseconds. A molecular assembly is an ensemble of a large number of molecules, usually quantified using Avogadro’s number, and its behavior is described with statistical mechanics. The structures of molecular assemblies involve interactions between molecules and their structures and are diverse depending on the states of solutions (gas, liquid, crystal, gel, and liquid crystal states). Chemical reactions in molecular assemblies are significantly affected by the nature of interactions between molecules and environmental conditions. Many molecules do not simultaneously react, reacting instead one by one, and the reactions generally require reaction times ranging from seconds to hours or days. This article focuses on how molecular assemblies behave in processing and interfacing in thermal input/concentration output systems and discusses different concepts from the perspective of a single molecule.
Thermal input/concentration output systems processed by the chemical reactions of molecular assemblies can manipulate diverse thermal phenomena (Figure 2): Diverse temperature changes can be inputs, including high or low temperature, cooling or heating states, slow or fast cooling and heating states, and cooling history; diverse outputs can be provided, which include the structures and concentrations of product molecules and molecular assemblies along with their thermal, mechanical, and optical, properties.
In Section 2.2, the temperature dependency of ordinary chemical equilibria and bimolecular chemical reactions is summarized. In Section 3, the chemical basis for the properties of chemical reactions for the processing of thermal inputs are considered. In Section 4, the scope of this article is noted. In Section 5 and Section 6, experimental thermal input/concentration output systems are described, which are based on our experimental studies of thermal hysteresis using helicene oligomers. In Section 7, the interfacing of input/output systems is discussed. In Section 8, the conclusion is provided.
2.2. Temperature Dependency of Chemical Reactions
2.2.1. Chemical Equilibrium
Discussions are started in this section by exploring the temperature effect of an ordinary chemical equilibrium 2AB and an ordinary bimolecular reaction 2A→B [35]. Their properties appear to be considerably different from those involved in biological cells under ambient conditions.
In a chemical equilibrium 2AB with the equilibrium constant K = [B]/[A]2 = [B]/([A]0 − 2[B])2 and [A]0 = [A] + 2[B], temperature is related by K = exp(−ΔG/RT), in which ΔG, R, and T are the Gibbs free energy difference, gas constant, and absolute temperature, respectively. When temperature is changed stepwise, [B] also changes stepwise (Figure 3a). An extremely large reaction rate is involved in concentration changes to stepwise temperature changes. No delay phenomenon occurs.
Figure 3.
Thermal input and concentration output (a) under chemical equilibrium by a stepwise temperature change, (b) with delay-to-approach chemical equilibrium by a stepwise temperature change, and (c) with delay-to-approach chemical equilibrium by a gradual temperature change. Black lines show temperature changes; red lines show concentration changes; red dashed lines show concentration at chemical equilibrium.
However, the sensitivity of concentration changes against stepwise temperature changes at ambient temperature is not extremely large under ordinary chemical equilibrium with a fixed ΔG. For simplicity, in a chemical equilibrium AB, K = [B]/[A] and [A]0 = [A] + [B], [B] = K[A]0/(K + 1) = [A]0/(1 + 1/(exp(−ΔG/RT))) is provided. For instance, when ΔG = −4.15 KJ mol−1 and R = 8.3 J mol−1 K−1, [B] = 0.53[A]0 at T = 300 K and [B] = 0.50[A]0 at T = 310 K. This shows a decrease in [B] of less than 10% after a temperature increase of 10 °C. Thus, chemical reactions with large temperature dependency at ambient conditions may be involved in thermal input/concentration output systems in biological cells, which are beyond chemical equilibrium.
2.2.2. Irreversible Chemical Reactions out of Chemical Equilibrium
When delay occurs in a chemical reaction in response to a stepwise temperature change, the system moves away from chemical equilibrium, and transient delay phenomena occur when the reactions approach chemical equilibrium (Figure 3b). Note that delay phenomena occur out of chemical equilibrium, which is in contrast to chemical equilibrium without delay (Figure 3b, compare red dashed line). The reaction rate −d[A]/dt = k[A]2 of the irreversible bimolecular chemical reaction 2A→B is described according to the chemical kinetics based on transition state theory [34,35]. The rate constant is expressed by k = A exp(−Ea/RT), in which A, Ea, R, and T are frequency factor, activation energy, gas constant, and absolute temperature, respectively. The reaction rate under constant temperature (isothermal) conditions against a stepwise temperature change is described by the change of k according to the equation. A 10 °C increase in temperature is considered to increase the initial reaction rate two- to three-fold under ambient conditions. This phenomenon implies that temperature change induces a small change in the concentration of B at the initial stage of the chemical reaction, at which the conversion or the concentration of B is extremely low. Small increases in concentrations under ambient conditions may be difficult to interface, and thermal input/concentration output systems with high sensitivity to temperature changes are used in biological cells.
Gradual temperature changes can be provided for thermal inputs to the thermal input/concentration output systems processed by the ordinary bimolecular chemical reaction 2A→B (Figure 3c). When delay occurs, the kinetics of the chemical reactions are more complex than the isothermal kinetics of chemical reactions initiated by stepwise temperature changes [36,37]. The above chemical kinetic model expressed by the rate constant k is considered simple in its depiction of such non-isothermal chemical reactions. The reason is that reaction mechanisms are often changed by temperature changes and apparent A and Ea changes [38,39,40]. It may be reasonable to consider that reaction rates under gradual temperature increases are lower than the rates under stepwise temperature increases. Then, the ordinary irreversible bimolecular chemical reaction 2A→B may not be sensitive enough during stepwise and gradual temperature changes in biological cells.
The properties of chemical reactions suitable for thermal input/concentration output systems are proposed in Section 3: (1) reversible chemical reactions out of chemical equilibrium, (2) sigmoidal relationship and kinetics for bistability involving metastable states, (3) positive feedback by self-catalytic chemical reactions, (4) competitive chemical reactions that exhibit diverse outputs, and (5) fine-tunability for parallel processing to broaden applicable temperature ranges. In addition, large differences in the structures of substrates and products are beneficial for interfacing among input/output systems. Such chemical reactions are not common, and their development is useful in elucidating biological thermal events.
3. Properties of Chemical Reactions for Thermal Input/Concentration Output Systems
3.1. Reversible Chemical Reactions out of Chemical Equilibrium
Reversibility in chemical reactions can provide advantageous properties to thermal input/concentration output systems processed by chemical reactions. The initial state or substrates can be regenerated from the final state or products, and the thermal input/concentration output system can be prepared to the next input. In addition, various notable concentration phenomena appear when processed by reversible chemical reactions with different pathways during cooling and heating. This section describes such reversible chemical reactions out of chemical equilibrium. Their bistable nature will be described in Section 3.2.
A typical example of reversible chemical reaction is chemical equilibrium 2AB, in which the forward and backward reactions are balanced (Figure 4a) [35]. Their behaviors are described by the thermodynamics. As noted in Section 2.2, chemical equilibrium exerts small concentration changes under ambient conditions by small temperature changes.
Figure 4.
(a) Reversible chemical reaction 2AB under chemical equilibrium. (b) Reversible chemical reaction 2A
B by different pathways, in which external energy is supplied to regenerate 2A from B. (c) Conditions are changed before the completion of reversible chemical reaction 2A
B, which inverts the direction.
B by different pathways, in which external energy is supplied to regenerate 2A from B. (c) Conditions are changed before the completion of reversible chemical reaction 2A
B, which inverts the direction.
Reversible chemical reactions out of chemical equilibrium are described as follows. Bimolecular chemical reaction 2A→B occurs energetically in a downhill manner and proceeds in the forward direction (Figure 4b). The forward reaction can be reversed to provide chemical reaction B→2A, when appropriate chemical reagents or external energies are supplied to B to regenerate 2A. Then, the forward and backward reactions occur by different pathways. When the addition and removal of materials and energy such as the chemical reagents are involved, the reversible chemical reactions 2A→B and B→2A occur in an open system. Such reversible chemical reactions proceed out of chemical equilibrium and are noted here by 2A
B and distinguished from chemical equilibrium 2AB [29,30,31].
B and distinguished from chemical equilibrium 2AB [29,30,31]. A reversible chemical reaction 2A
B with different pathways during cooling and heating can occur in a closed system, which involves the addition and removal of thermal energy but not materials. Such reversible chemical reaction 2A
B might not be easy to consider. However, it can occur when the relative thermodynamic stability of 2A and B is inverted by cooling and heating and delay of the chemical reaction against the occurring temperature changes.
B with different pathways during cooling and heating can occur in a closed system, which involves the addition and removal of thermal energy but not materials. Such reversible chemical reaction 2A
B might not be easy to consider. However, it can occur when the relative thermodynamic stability of 2A and B is inverted by cooling and heating and delay of the chemical reaction against the occurring temperature changes. An example of the reversible chemical reaction 2A
B in a closed system is described as follows. At a high temperature, 2A is thermodynamically stable, and dissociation reaction B→2A occurs, the process of which is out of chemical equilibrium when delay against the temperature changes is involved [32,33,34]. At a low temperature, the relative thermodynamic stability inverts, and B becomes thermodynamically stable. Then, association reaction 2A→B occurs with delay, which proceeds towards chemical equilibrium. The reversible chemical reaction 2A
B occurs in a different pathway in the formation of 2A and B by heating and cooling, respectively. Accordingly, two states appear at the same temperature, range which is bistability.
B in a closed system is described as follows. At a high temperature, 2A is thermodynamically stable, and dissociation reaction B→2A occurs, the process of which is out of chemical equilibrium when delay against the temperature changes is involved [32,33,34]. At a low temperature, the relative thermodynamic stability inverts, and B becomes thermodynamically stable. Then, association reaction 2A→B occurs with delay, which proceeds towards chemical equilibrium. The reversible chemical reaction 2A
B occurs in a different pathway in the formation of 2A and B by heating and cooling, respectively. Accordingly, two states appear at the same temperature, range which is bistability. When stepwise temperature change is provided, the pathway with delay can be described by chemical kinetics under isothermal conditions, which are expressed by concentration/time profiles (Figure 3b) [32,33,34]. When temperature is gradually changed, the different pathways with delay are expressed by thermal hysteresis in concentration/temperature profiles. Such reversible chemical reactions are in contrast to chemical equilibrium, in which no delay occurs during cooling and heating (Figure 3a).
Another advantage of the reversible chemical reaction is that temperature can be changed before its completion reaching chemical equilibrium, and the direction of the chemical reactions can be inverted during the chemical reaction (Figure 4c). Then, concentration outputs against thermal inputs exhibit various complex phenomena, which will be described in Section 5 and Section 6.
3.2. Bistability by Thermal Hysteresis Involving Sigmoidal Relationship and Kinetics
Bistability is defined in this article as a phenomenon with two rested states of a thermal input/concentration output system at the same temperature range, which are interconvertible [23,41,42]. Bistability is an essential feature of chemical reactions for processing in the systems, and this section discusses bistability which occurs through the reversible chemical reaction 2A
B out of chemical equilibrium in a closed system. Here, the bistability is associated with thermal hysteresis involving sigmoidal relationship and kinetics. Such systems can convert various sophisticated thermal inputs into two different states of concentration outputs.
B out of chemical equilibrium in a closed system. Here, the bistability is associated with thermal hysteresis involving sigmoidal relationship and kinetics. Such systems can convert various sophisticated thermal inputs into two different states of concentration outputs. For the discussion of bistability, limit states are defined as states where no changes in concentrations occur through temperature changes (Figure 5). Two limit states are ideally described by the Heaviside relationships between thermal input and concentration output, which involves a stepwise change in concentration by temperature (Figure 5a) [43]. Then, an extremely small temperature change exerts a large difference in concentration. In addition, two flat domains provide tolerance, which stabilizes the limit states to temperature perturbations. However, the Heaviside step relationship is difficult to realize experimentally through chemical reactions.
Figure 5.
Limit states of (a) the Heaviside step relationship and (b) sigmoidal relationship out of chemical equilibrium shown by concentration/temperature profiles. (c) Sigmoidal kinetics shown by concentration/time profiles. Dotted lines indicate differences in concentration against a temperature change.
Sigmoidal relationship exhibits S-shaped curves and can be an experimental analog to the Heaviside relationship (Figure 5b). The concentration in a sigmoidal relationship in a temperature/concentration profile can be characterized, for example, by temperature T with Ta/(1 + Ta) involving a positive constant a or the Hill coefficient in biology [44,45]. Sigmoidal relationship provides two limit states with flat domains at different temperatures, and these states provide tolerance to small temperature perturbations. Such stability is especially important when limit states are metastable or out of equilibrium. Otherwise, temperature perturbations readily exert effects that changes the metastable limit states toward chemical equilibrium.
Bistability in thermal hysteresis can be described based on the nature of sigmoidal relationship with two limit states. Thermal hysteresis is a phenomenon involving different pathways during cooling and heating and is expressed by different cooling and heating curves in concentration/temperature profiles [29,30,31]. The phenomenon can ideally be shown by two cooling and heating curves with the two Heaviside relationships between two limit states, which provide bistability (Figure 6a, red bold lines). Experimental thermal hysteresis treated in this article is exerted by a reversible bimolecular chemical reaction 2A
B out of chemical equilibrium, which is expressed by two sigmoidal relationships during cooling and heating (Figure 6b). Note that two limit states at the same temperature range provide bistability (Figure 6b, red bold lines). Two sigmoidal curves exhibit bistability at the same temperature range during cooling and heating, which involves large differences in concentration and tolerances with stability against temperature perturbations. The temperature range of the bistability is a critical factor to be considered: A broad range exerts bistability in a broad temperature range, and a narrow range exerts bistability at a specific temperature. For the interfacing of the concentration output to other systems, large differences in concentrations are beneficial. Note that thermal hysteresis occurs by the delay of chemical reaction against temperature change and is a phenomenon out of chemical equilibrium (Figure 6b, compare dashed line).
B out of chemical equilibrium, which is expressed by two sigmoidal relationships during cooling and heating (Figure 6b). Note that two limit states at the same temperature range provide bistability (Figure 6b, red bold lines). Two sigmoidal curves exhibit bistability at the same temperature range during cooling and heating, which involves large differences in concentration and tolerances with stability against temperature perturbations. The temperature range of the bistability is a critical factor to be considered: A broad range exerts bistability in a broad temperature range, and a narrow range exerts bistability at a specific temperature. For the interfacing of the concentration output to other systems, large differences in concentrations are beneficial. Note that thermal hysteresis occurs by the delay of chemical reaction against temperature change and is a phenomenon out of chemical equilibrium (Figure 6b, compare dashed line).
Figure 6.
Bistability by thermal hysteresis involving (a) the Heaviside step relationship, (b) and (c) sigmoidal relationships shown by temperature/concentration profiles. Bold red lines indicate the temperature ranges of bistability with tolerance. Dashed lines indicate the examples of chemical equilibrium. Black arrows indicate cooling and heating.
Various types of thermal hysteresis can appear, which are also explained by sigmoidal relationships and bistability [29,30,31]. For example, consider a thermal hysteresis with a small decrease in concentration during cooling and significant decrease and increase during heating (Figure 6c), which will be noted in Section 5.2. The phenomena can be interpreted by the involvement of three sigmoidal relationships, one during cooling and two during heating, and bistability occurs at the same temperature range (Figure 6c, red bold lines). This is in contrast to the above-mentioned thermal hysteresis (Figure 6b), in which two sigmoidal relationships are involved during cooling and heating. The two/three sigmoidal relationships provide phenomena out of chemical equilibrium (Figure 6c, compare dashed lines).
Sigmoidal kinetics is defined here as S-shaped or slow-fast-slow reaction kinetics depicted by concentration/time profiles under isothermal condition (Figure 5c) [46,47], which is a time-dependent phenomenon that is different from the temperature-dependent phenomenon of sigmoidal relationships (Figure 5b). Sigmoidal kinetics is different from the hyperbola or exponential kinetics of ordinary chemical reactions with fast-slow reaction kinetics. A slow chemical reaction is followed by a rapid chemical reaction involving acceleration, and then the chemical reaction is retarded by approaching chemical equilibrium. Bistability appears in the sigmoidal kinetics at the initial and later states at the same temperature. The bistability can involve metastable states, which are conducive to interfacing when their lifetimes are long enough. Sigmoidal kinetics are not common in chemistry compared with hyperbola/exponential kinetics in ordinary chemical reactions, but they often appear in biology. Thus, development and understanding of such chemical reactions are interesting.
Thermal hysteresis involving delay can provide bistability with metastable states out of chemical equilibrium (Figure 6b,c). Large differences in concentrations can be provided, which exhibit sensitive nature in outputs against small changes of thermal inputs. When the metastable states have sufficiently long lifetimes, they can be beneficial for interfacing. Thus, thermal input/concentration output systems processed by chemical reactions can be used in the conversion of an analog signal of thermal input to a digital signal of concentration, which employ bistability [23].
3.3. Positive Feedback by Self-Catalytic Chemical Reaction
Positive feedback is an essential mechanism used in the functions of biological cells and accelerates chemical reactions with progress [14]. Positive feedback can amplify the properties of thermal input/concentration output systems processed by chemical reactions. Such properties have been studied mathematically through systems biology [47,48,49,50,51]. It is thus interesting experimentally to study such properties, which can promote understanding of biological phenomena and development of novel material functions.
An example of positive feedback is self-catalytic chemical reaction 2A + B→2B, in which product B catalyzes the reaction of 2A to become B (Figure 7a) [29,30,31]. The reaction of A and B forms a complex A-B, which reacts with another A to form 2B, which is a phenomenon of the molecular level. Self-catalytic chemical reactions exhibit characteristic phenomena of concentration changes at the molecular assembly level (Figure 7b). The initial chemical reaction 2A→B is slow, which is accelerated by self-catalytic chemical reaction 2A + B→2B because of the increase in the product and catalyst B. Then, B is formed from 2A nearby in spatially heterogeneous manner. The formation of B retards as chemical equilibrium with homogeneous state is approached. As a consequence, sigmoidal kinetics occurs. It is in contrast to ordinary bimolecular chemical reactions, in which the maximum initial rate is achieved and rate decreases with progress.
Figure 7.
Schematic presentations of self-catalytic reaction 2A + B→2B (a) at the molecular level and (b) at the molecular assembly level. Reproduced from ref. [52,53] with permission from Wiley.
Seeding effect appears, in which the addition of B to 2A significantly accelerates the chemical reaction. Spatially heterogeneous nature can appear because self-catalytic chemical reactions occur with molecules close each other (Figure 7b).
When self-catalytic chemical reactions are involved in thermal input/concentration output systems, a small change in temperature can induce a large increase in concentration. Thus, sigmoidal relationship and kinetics appear in concentration/temperature profiles and concentration/time profiles, respectively, which can provide properties beneficial for interfacing. The properties of self-catalytic chemical reactions are described in recent review articles [29,30,31].
3.4. Competitive Chemical Reactions
Thermal input/concentration output systems processed by competitive chemical reactions 2A→B and 2A→C can manipulate sophisticated thermal inputs and exhibit a more complex nature than those processed by a single chemical reaction 2A→B (Figure 8). The systems can provide the bistability of B/C, A/B, and A/C with three structures A, B, and C, among which B/C is the bistability between two products B and C (Figure 8a). The systems involve reverse chemical reactions, such as B→2A, C→2A, and B→C→2A (Figure 8b). The systems involve two competitive self-catalytic chemical reactions 2A + B→2B and 2A + C→2C. The systems can involve two and more metastable states, such as 2A and B (Figure 8b) [29,30,31].
Figure 8.
(a) Ordinary competitive chemical reactions 2A→B and 2A→C, and (b) reversible competitive chemical reactions B
2A
C involving self-catalytic chemical reactions 2A + B→2B and 2A + C→2C (red square), which are compared with chemical reaction 2A→B.
2A
C involving self-catalytic chemical reactions 2A + B→2B and 2A + C→2C (red square), which are compared with chemical reaction 2A→B.
In ordinary competitive chemical reactions 2A→B and 2A→C, products B and C can be switched by applying different chemical reagents, and the reverse chemical reactions B→2A and C→2A can occur by applying other chemical reagents. The bistability by B/C occurs in an open system, in which materials and energy are exchanged with those outside of the system. In general, a large external energy is required as provided by chemical reagents, and byproducts derived from the reagents need to be removed.
Temperature changes in closed systems generally do not switch B and C in the ordinary bimolecular competitive chemical reactions 2A→B and 2A→C [32,33,34,35]. The chemical kinetics describe rate constants for the formation of B and C by kB = AB exp(−EaB/RT) and kC = AC exp(−EaC/RT), respectively, which are governed by A and Ea. When the mechanisms of two chemical reactions are similar when AB = AC, the ratio kB/kC = exp(−(EaB − EaC)/RT) is a function of T and the difference in the activation energy EaB − EaC. Given that EaB − EaC is fixed by the involvement of similar mechanisms, the ratio kB/kC monotonously changes as temperature changes, and the concentrations of B and C are not inverted by temperature changes.
When competitive self-catalytic reactions 2A + B→2B and 2A + C→2C are involved, bistability with switching between two products B and C can occur, which is exerted by thermal inputs in closed systems. Then, either B or C can predominate because the formation of B and C is governed by the efficiency of the self-catalytic chemical reactions and the reactions are highly dependent on temperature [52,53].
The reversible competitive chemical reactions, expressed by B
2A
C, exhibit complex phenomena, especially when temperature changes are provided during the chemical reaction before reaching chemical equilibrium (Figure 4c). Depending on thermal inputs, complex increases and decreases in 2A, B, and C occur, which involve two or more metastable states. Note that metastable states can be beneficial for interfacing when the states have sufficiently long lifetime.
2A
C, exhibit complex phenomena, especially when temperature changes are provided during the chemical reaction before reaching chemical equilibrium (Figure 4c). Depending on thermal inputs, complex increases and decreases in 2A, B, and C occur, which involve two or more metastable states. Note that metastable states can be beneficial for interfacing when the states have sufficiently long lifetime.Sequential chemical reactions 2A→B→C can exhibit the bistability of A/B, A/C, and B/C. When C is under chemical equilibrium and B is metastable, B is initially formed from 2A and eventually C under an isothermal condition. When 2A can be regenerated by thermal treatment, the reversible chemical reactions 2A
B
C occur in a closed system. When self-catalytic reactions 2A + B→2B and B + C→2C are involved, complex phenomena due to competitive acceleration occur.
B
C occur in a closed system. When self-catalytic reactions 2A + B→2B and B + C→2C are involved, complex phenomena due to competitive acceleration occur. Thermal input/concentration output systems processed by competitive chemical reactions convert sophisticated thermal inputs to concentration outputs. Notably, bistability involving metastable states can exhibit memory effect and future prediction. For example, sequential chemical reactions 2A→B→C under isothermal condition involve a metastable B. The formation of B contains information that B forms from 2A because limited pathways and conditions are available to form B through a memory effect. The formation of B indicates that C under chemical equilibrium will form in future [54].
3.5. Fine-Tuning for Parallel Processing
Thermal input/concentration output systems processed by chemical reactions can respond to various sophisticated thermal inputs and provide the outputs involving bistability. However, the applicable temperature range of each system is limited because a chemical reaction generally occurs under limited conditions. Thus, different systems are required to cover broad temperature ranges by processing with chemical reactions (Figure 9). Such limited temperature ranges are in contrast to the ranges of a digital thermometer, which has a broad temperature range (for example, between 0 and 100 °C), using a single apparatus. However, thermometers do not monitor sophisticated thermal inputs, and outputs are limited to digital numbers.
Figure 9.
Parallel processing to cover broad temperature ranges employing different thermal input/concentration output systems processed by chemical reactions.
Biological cells monitor temperature by proteins using chemical reactions. They are highly sensitive but seem to be limited to specific small temperature ranges [55,56]. A cell does not need to know numerical temperatures between 0 °C and 100 °C, but they need to know the difference between the present temperature and the optimum temperature, to which the cell quickly responds. An example of temperature monitoring system employs a class of TRP proteins: TRPA1 responds below 17 °C, TRPV1 above 42 °C, and TRPM8 between 8 °C and 25 °C [57,58]. Thus, different proteins applicable to small temperature ranges are employed. These monitoring systems likely involve clusters of proteins and any change to the structure of a single protein or a small number of proteins is amplified to many nearby proteins. Therefore, the input of a subtle temperature change is sensitively processed to provide concentration outputs, which are beneficial for interfacing with other systems, and cells respond to temperature changes in the real world.
The involvement of different thermal input/concentration output systems to cover a range of temperature is termed here as parallel processing. Such different systems processed by chemical reactions can be obtained by the small modifications of the systems regarding the molecular and molecular assembly structures along with reaction conditions, such as concentrations, media, and chemicals. Chemical reactions employed in the synthetic thermal input/concentration output systems can readily be fine-tuned for parallel processing.
4. Scope of This Article
Chemical basis for the properties of chemical reactions employed for processing in thermal input/concentration output systems, has been discussed in Section 3. Reversible chemical reactions out of chemical equilibrium can exhibit various thermal properties and contain rich information, in contrast to chemical equilibria containing limited information. Reversible chemical reactions can regenerate the initial substrates from products. In addition, sophisticated thermal inputs can be manipulated by reversal during the chemical reactions before reaching chemical equilibrium. Sigmoidal relationship and kinetics provide bistability between two interconvertible rested metastable states and can exert large differences in their concentrations. Metastable states out of chemical equilibrium exhibit memory effect and future prediction. Positive feedback by self-catalytic chemical reactions provides the amplification of thermal responses by concentration. The involvement of competitive chemical reactions enhances diversity of processing. The fine-tuning of chemical reactions through the modification of molecular and molecular assembly structures broadens the applicable temperature ranges of monitoring. We consider these as the chemical bases for the properties of chemical reactions in thermal input/concentration output systems. They may not be exclusive, and other bases can also be conceivable. Chemical reactions with such properties are not common, and their development and understanding of their properties are interesting subjects in chemistry.
The experimental properties of thermal input/concentration output systems processed by chemical reactions are provided in subsequent sections. Thermal inputs are discussed, such as low or high temperature (Section 5.1), cooling or heating states (Section 5.2), slow or fast cooling and heating states (Section 5.3), cooling history (Section 5.4), and concentration threshold (Section 6). The interfacing of such concentration outputs to other systems is described. Additional discussions on the interfacing are provided in terms of (1) the amplification of small concentration differences by concentration threshold phenomenon (Section 6) and (2) selective binding of the product with receptor or allosteric catalysts (Section 7).
Helicene oligomers with sulfoneamide (S), acetylene (E), aminomethylene (A), and oxymethylene (O) linkers (Figure 9) have been developed, in which S, E, A, and O indicate the linker structures (Figure 10) [29,30,31,52,53]. These oligomers form homo-double-helix at low temperatures and two molecules of random coils at high temperature. The mixtures of different structures of oligomers containing enantiomeric helicenes form hetero-double-helixes with enantiomeric right-handed and left-handed helical senses at low temperatures. Their chemical reactions show the following phenomena: heating and cooling induce the reversible formation of double helices in different pathways, which exhibit thermal hysteresis; the formation of double helices involves sigmoidal relationships between temperature and concentration; sigmoidal kinetics appears in the formation of double helices; random coils and double helix involving metastable states form; positive feedback by self-catalytic reactions occurs in the formation of double helices; the formation of hetero-double-helices involves competitive self-catalytic chemical reactions. Detailed experimental results, mechanistic considerations, molecular structures, and self-catalytic chemical reactions are provided in the previous articles [52,53]. This article describes concept and experimental results on thermal input/concentration output systems processed by chemical reactions.
Figure 10.
Chemical structures of helicene oligomers.
5. Thermal Input/Concentration Output Systems Processed by the Chemical Reactions of Helicene Oligomers
The following sections describe experimental thermal input/concentration output systems processed by the chemical reactions of helicene oligomers. The processing involves reversible chemical reaction 2A
B between the two oligomers of random coils 2A and a homo-double-helix B, and 2A and B form upon heating and cooling, respectively. These chemical reactions proceed out of chemical equilibrium in different pathways during heating and cooling, which is thermal hysteresis, while positive feedback by the self-catalytic reaction 2A + B→2B is involved and the bistability occurs at different concentrations of 2A and B at the same temperature. Outputs are shown by concentration/temperature and concentration/time profiles, in which Δε obtained by circular dichroism (CD) spectroscopy is considered an equivalent of concentration.
B between the two oligomers of random coils 2A and a homo-double-helix B, and 2A and B form upon heating and cooling, respectively. These chemical reactions proceed out of chemical equilibrium in different pathways during heating and cooling, which is thermal hysteresis, while positive feedback by the self-catalytic reaction 2A + B→2B is involved and the bistability occurs at different concentrations of 2A and B at the same temperature. Outputs are shown by concentration/temperature and concentration/time profiles, in which Δε obtained by circular dichroism (CD) spectroscopy is considered an equivalent of concentration.Thermal input/concentration output systems processed by competitive chemical reactions B
2A
C, which involve two different structures of oligomers of random-coils 2A containing enantiomeric helicenes and two hetero-double-helices B and C with inverted right-handed and left-handed helix senses, are described as follows. Here, 2A and B/C form upon heating and cooling, respectively, positive feedback by competitive self-catalytic reactions 2A + B→2B and 2A + C→2C is involved and bistability among 2A/B, 2A/C, and B/C occurs at the same temperature.
2A
C, which involve two different structures of oligomers of random-coils 2A containing enantiomeric helicenes and two hetero-double-helices B and C with inverted right-handed and left-handed helix senses, are described as follows. Here, 2A and B/C form upon heating and cooling, respectively, positive feedback by competitive self-catalytic reactions 2A + B→2B and 2A + C→2C is involved and bistability among 2A/B, 2A/C, and B/C occurs at the same temperature.Thermal inputs by stepwise and gradient temperature changes are provided. Stepwise temperature changes are conducted by rapid cooling or heating at a specific temperature. The Peltier device is used for the temperature changes, and the time required to change temperature by several tens of centigrade is approximately 1 min. Rapid temperature changes have faster increase and decrease than chemical reaction rates, and isothermal experiments are expressed by the chemical kinetics. The involvement of self-catalytic chemical reactions exhibits an initial low rate followed by high rate with the progress of the reaction under isothermal conditions, which provides sigmoidal kinetics. This is due to an increase of the products, which are the catalysts.
Thermal inputs by gradient temperature changes at constant rate are also provided. Concentration outputs are affected by the various properties of chemical reactions, which are changed by temperature. The chemical basis for the properties includes reversibility, sigmoidal relationships, sigmoidal kinetics, formation of metastable states, self-catalysis, thermal hysteresis, reaction mechanisms, phase transition by aggregation, and competitive chemical reactions. Thus, diverse bistability in different concentrations of substrates and products is exhibited. Such thermal input/concentration output systems can process sophisticated thermal inputs, such as high or low temperature states, cooling or heating states, slow or fast cooling and heating states, and precooling history.
5.1. High or Low Temperature States
High and low temperatures are critical to living things [57,58]. Our body temperature is maintained at approximately 37 °C within an error of less than 1 °C, which indicates homeostasis. The thermal inputs of high or low temperatures are processed into concentration outputs through the chemical reactions of proteins. However, the properties of the chemical reactions appear different from those of ordinary chemical equilibria and chemical reactions, which exhibit low sensitivity to small temperature changes under ambient conditions. In the synthetic system of helicene oligomers, temperature threshold phenomenon appears, which sharply responds to a temperature change of 2 °C and significantly increases the concentrations of products generated by self-catalytic chemical reactions.
Sulfoneamide (P)-tetramer (P)-1 in 1,3-difluorobenzene (0.5 mM) at 70 °C containing fully dissociated 2A(S) was cooled at a rate of 0.25 K min−1.[59] When the solution was cooled to 46 °C and heated, the same cooling and heating curves were obtained in the Δε/temperature profiles (Figure 11a). When the solution was cooled to 44 °C and repeatedly heated at 52 °C, Δε increased and the curves moved away from the cooling curve reaching Δε +150 cm−1 M−1 after the second heating, which indicated the formation of approximately 25% B(S). A 2 °C difference in the first cooling temperatures of 44 °C and 46 °C provide considerably different concentrations of B(S) upon heating. This phenomenon is called the temperature threshold phenomenon. The result is ascribed to the self-catalytic reaction 2A(S) + B(S)→2B(S), which, once started, does not retard or stop upon cooling and heating (Figure 7). The equilibrium state at 45 °C is determined as Δε +760 cm−1 M−1 by different experiments, and the temperature threshold phenomenon occurs far away from chemical equilibrium. Notably, concentration difference at 44 °C and 46 °C experiments is enhanced by repeated temperature changes, which is provided before the completion of a chemical reaction (Figure 4c). The large difference in the concentrations of B(S) may be beneficial for interfacing with other systems (Figure 5b).
Figure 11.
Temperature threshold phenomenon exhibited by (P)–1 in 1,3-difluorobenzene at a rate of 0.25 K min–1 at concentrations of (a) 0.5 mM, (b) 0.6 mM, and (c) 0.7 mM. Reproduced from ref. [59] with permission from Wiley.
At a temperature close to the threshold, significant increase in Δε occurs after repeated cooling and heating, as shown by a large increase in Δε in the 44–52 °C experiment relative to Δε values in the 42–50 °C, 40–48 °C, and 38–46 °C experiments, which provide a steady state at Δε of approximately +100 cm−1 M−1 (Figure 11a). The nonlinear phenomenon is due to self-catalytic chemical reaction, which occurs at a temperature close to the threshold.
Threshold temperature is dependent on concentrations and appears between 46 °C and 48 °C at 0.6 mM (Figure 11b) and between 48 °C and 50 °C at 0.7 mM (Figure 11c). The results show the fine-tuning of threshold temperature by small changes in conditions, which can be employed for parallel processing (Figure 9).
5.2. Cooling or Heating States
Cooling and heating states are courses of temperature decrease and increase, respectively. Plants exert morning or evening events or spring or autumn events monitoring such states. When a thermometer is used, the monitoring of cooling and heating states requires complex procedures. Temperatures are monitored twice at a time interval and are determined according to increases or decreases in temperature. Using thermal input/concentration output systems processed by chemical reactions, cooling or heating states can be expressed by concentration outputs. This phenomenon exhibits bistability involving metastable states, which converts the analog signals of temperature changing states to the digital signals of concentrations.
5.2.1. Thermal Hysteresis
Thermal hysteresis, which provides different curves in concentration (or Δε)/temperature profiles during cooling and heating, can be used in the processing of cooling and heating states. Temperature is gradually changed at a constant rate between high and low temperatures as inputs, and concentration changes as outputs appear in the different curves in the profiles. Thermal hysteresis is derived from reversible chemical reaction out of chemical equilibrium (Figure 4b).
(P)-1 shows thermal hysteresis during interconversion of 2A(S) and B(S) at high and low temperatures, respectively (Figure 12a) [60]. When (P)-1 in 1,3-difluorobenzene (0.5 mM) at 65 °C with fully dissociated 2A(S) was cooled at a rate of 0.25 K min−1, no change in Δε –140 cm−1 M−1 occurred down to 40 °C. Subsequent cooling exerted a sharp increase in Δε by the formation of B(S), which reached +490 cm−1 M−1 at 5 °C with approximately 40% of B(S). Heating showed no change in Δε up to 30 °C, and then Δε decreased by the formation of 2A(S) at 65 °C. Different cooling and heating curves in the Δε/temperature profiles showed thermal hysteresis.
Figure 12.
Chemical structures of helicene oligomers. (a) Thermal hysteresis of (P)–1 in 1,3-difluorobenzene (0.5 mM). Bold red lines indicate bistability involving metastable states. (b) Sigmoidal kinetics under isothermal conditions of 45 and 50 °C. Reproduced from ref. [60] with permission from Wiley.
The phenomenon of the reversible chemical reaction 2A
B can be used in determining cooling or heating states. During cooling between 40 °C and 50 °C, Δε value of −140 cm−1 M−1 indicates fully dissociated 2A(S). During heating between 40 °C and 50 °C, Δε of approximately +400 cm−1 M−1 indicates the formation of approximately 50% B(A). Bistability with a considerable difference in the concentrations of 2A(S) and B(S) appears during cooling and heating between 40 °C and 50 °C (Figure 12a, red bold lines). In other words, when significant amounts of 2A(S) are formed between 40 °C and 50 °C, it shows the cooling state of (P)-1. When approximately 50% B(S) is formed, it shows the heating state. Both states are beyond chemical equilibrium (Figure 12a).
B can be used in determining cooling or heating states. During cooling between 40 °C and 50 °C, Δε value of −140 cm−1 M−1 indicates fully dissociated 2A(S). During heating between 40 °C and 50 °C, Δε of approximately +400 cm−1 M−1 indicates the formation of approximately 50% B(A). Bistability with a considerable difference in the concentrations of 2A(S) and B(S) appears during cooling and heating between 40 °C and 50 °C (Figure 12a, red bold lines). In other words, when significant amounts of 2A(S) are formed between 40 °C and 50 °C, it shows the cooling state of (P)-1. When approximately 50% B(S) is formed, it shows the heating state. Both states are beyond chemical equilibrium (Figure 12a).The cooling curve shows the sigmoidal relationship out of equilibrium (Figure 12a), which involves slow bimolecular chemical reaction 2A(S)→B(S) above 40 °C, rapid self-catalytic chemical reaction 2A(S) + B(S)→2B(S) below 40 °C, and retardation of chemical reactions below 20 °C (Figure 12a). The flat domain at Δε of −140 cm−1 M−1 between 40 °C and 50 °C during cooling indicates the stabilized metastable state of dissociated 2A(S). The heating curve also shows sigmoidal relationship with a small increment at Δε of approximately +400 cm−1 M−1, which indicates a stabilized metastable state of approximately 40% 2A(S) between 40 °C and 50 °C. Then, bistability occurs at the temperature range (Figure 6b).
Sigmoidal kinetic appears under isothermal conditions and provides the stabilized metastable states of 2A(S) at the initial 30 min at 40 °C and 400 min at 50 °C (Figure 6c and Figure 12b).
A possible application of the cooling state of this system is flower blossoms in a summer afternoon. A significant amount of 2A(S) is formed in the afternoon of a very hot summer between 40 °C and 50 °C during a rapid cooling at a rate of 0.25 K min−1 (15 K h−1). Then, the system processes an input of cooling state to form a high concentration of 2A(S), which can be interfaced with other systems and eventually makes flowers in the real world. It does not occur in the morning during heating, because the concentration of 2A(S) is low. An advantage of this system is that the temperature change state is processed into a concentration output, which involves bistability with large differences in the concentrations of 2A(S) and B(S) at the same temperature range (Figure 6b and Figure 12a). Large differences in the three-dimensional molecular structures of random-coils 2A(S) and homo-double-helix B(S) may be beneficial for interfacing.
Temperature change rate affects the thermal hysteresis of (P)-1, and a smaller hysteresis area is obtained at a rate of 0.5 K min−1 compared with 0.25 K min−1. A metastable state with Δε of +150 cm−1 M−1 at 5 °C is obtained at a rate of 0.5 K min−1, in contrast to the metastable state with Δε of +490 cm−1 M−1 at 5 °C at a rate of 0.25 K min−1 (Figure 12a). Thus, metastable states at low temperatures can be fine-tuned by the cooling rate for parallel processing (Figure 9). Much faster temperature changes likely provide a straight line at Δε of −140 cm−1 M−1 during cooling and heating, in which no formation of B(S) occurs. The reason is that the temperature change rate is significantly larger than the rate of the chemical reactions 2A
B. Much slower temperature change provides an identical cooling and heating curve, which coincides with the equilibrium curve.
B. Much slower temperature change provides an identical cooling and heating curve, which coincides with the equilibrium curve. The formation of metastable 2A(S) during cooling between 40 °C and 50 °C contains a memory at high temperatures. The metastable 2A(S) between 40 °C and 50 °C is converted into B(S) under chemical equilibrium, and the metastable state contains a prediction to form B(S).
5.2.2. Equilibrium Crossing
Equilibrium crossing is a phenomenon in which a chemical reaction proceeds in a way that substantially exceeds a state of chemical equilibrium. The phenomenon involves significant acceleration of chemical reaction 2A(E)→B(E) by self-catalytic chemical reaction 2A(E) + B(E)→2B(E). Ethynyl (M)-nonamer (M)-2 exhibits equilibrium crossing during the formation of B(E) (Figure 13a) [61]. (M)-2 in toluene (0.1 mM) was cooled and heated between 95 °C and 5 °C at a rate of 1.0 K min−1, in which the twofold downward inflation of Δε during heating indicates the formation of B(E). As a result, distorted hysteresis curves are obtained by reversible chemical reaction 2A(E)
B(E). Notably, heating increases B(E) (Figure 6c), which is due to the self-catalytic chemical reaction 2A(E) + B(E)→2B(E). Thus, the heating curve crosses the equilibrium curve upon heating, and an energetically uphill chemical reaction 2A(E)→B(E) occurs. The phenomenon is compared with (P)-1, by which self-catalytic reaction 2A(S) + B(S)→2B(S) occurs during cooling (Figure 6b and Figure 12a).
B(E). Notably, heating increases B(E) (Figure 6c), which is due to the self-catalytic chemical reaction 2A(E) + B(E)→2B(E). Thus, the heating curve crosses the equilibrium curve upon heating, and an energetically uphill chemical reaction 2A(E)→B(E) occurs. The phenomenon is compared with (P)-1, by which self-catalytic reaction 2A(S) + B(S)→2B(S) occurs during cooling (Figure 6b and Figure 12a).
Figure 13.
(a) Thermal hysteresis of (M)–2 in toluene (0.1 mM) between 95 and 5 °C at a rate of 1.0 K min–1. Black line shows equilibrium curve, and red bold lines indicate bistability involving metastable states. (b) Distorted sigmoidal kinetics under isothermal conditions. Reproduced from ref. [61].
Also note that distorted sigmoidal kinetics appears under isothermal conditions, which involves abrupt increases in B(E) at the intermediate state (Figure 13b).
Bistability with a large difference in the concentration of B(E) appears in a broad range between 40 °C and 80 °C at the same temperatures (Figure 13a, red bold lines), which is different from (P)-1 in a short range (Figure 12a, red bold lines). The bistability of 2A(E) and B(E) with Δε of approximately 0 cm−1 M−1 and −1000 cm−1 M−1 indicates the exclusive formation of 2A(E) without a formation of B(E) upon cooling, but with a formation of approximately 40% B(E) upon heating (Figure 13a, red bold lines). The large difference in the concentrations may be beneficial for effective interfacing and discriminating between cooling and heating states (Figure 6b). Changes in the oligomer structure of (P)-1 and (M)-2 can fine-tune the nature of bistability for parallel processing (Figure 9).
5.2.3. Aggregation to Form Organogels and Vesicles
Thermal input/concentration output systems processed by chemical reactions can involve the aggregation of double-helix B by the reversible sequential chemical reactions 2A
B
Bn, in which Bn indicates aggregates with ordered structures. Such systems provide concentration outputs by the reversible chemical reaction 2A
B and subsequent reversible aggregation to form Bn, which exhibit thermal hysteresis.
B
Bn, in which Bn indicates aggregates with ordered structures. Such systems provide concentration outputs by the reversible chemical reaction 2A
B and subsequent reversible aggregation to form Bn, which exhibit thermal hysteresis.A mixture of oxymethylene (P)-pentamer (P)-3 and (M)-hexamer (M)-4 with terminal C16 alkyl groups in trifluoromethylbenzene (2.0 mM) containing fully dissociated 2A(O) at 90 °C was cooled and heated between 5 °C at a rate of 0.1 K min−1 [62]. A sharp decrease in Δε occurred during cooling below 20 °C, which reached approximately −250 cm−1 M−1 at 5 °C, providing B(O) and B(O)n (Figure 14). B(O) aggregates to form organogels B(O)n containing concentric vesicles and solidifies the solution. A sharp increase in Δε occurs upon heating to above 40 °C, which exhibits thermal hysteresis with different cooling and heating curves. Heating and cooling states are discriminated by Δε at approximately −250 cm−1 M−1 and 0 cm−1 M−1, respectively, between 25 °C and 50 °C (Figure 14, red bold lines). The absence of B(O) is an indication of a cooling state, and the formation of considerable amounts of B(O) and B(O)n are indications of a heating state. Sharp decrease and increase in Δε with a sigmoidal relationship are notable properties of the system processed by reversible sequential chemical reactions 2A(O)
B(O)
B(O)n, which is different from the modest increment in the decrease and increase of (P)-1 (Figure 12a). Bistability appears with large differences in the concentrations of B(O) between 25 °C and 50 °C at the same temperature range (Figure 6b). In addition, the three-dimensional molecular and molecular assembly structures of the organogels and concentric vesicles B(O)n are considerably different from those of 2A(O), which may be beneficial for interfacing. Thermal hysteresis does not appear at a rate of 5 K min−1 because the temperature change is much faster than the chemical reactions.
B(O)
B(O)n, which is different from the modest increment in the decrease and increase of (P)-1 (Figure 12a). Bistability appears with large differences in the concentrations of B(O) between 25 °C and 50 °C at the same temperature range (Figure 6b). In addition, the three-dimensional molecular and molecular assembly structures of the organogels and concentric vesicles B(O)n are considerably different from those of 2A(O), which may be beneficial for interfacing. Thermal hysteresis does not appear at a rate of 5 K min−1 because the temperature change is much faster than the chemical reactions.
Figure 14.
Thermal hysteresis of (P)–3 and (M)–4 in toluene (2.0 mM) between 90 and 5 °C. Red bold lines indicate bistability involving metastable states. Reproduced from ref. [62] with permission from Chemical Society of Japan.
5.2.4. Aggregation to Form Organogels with Stepwise Relationship and Kinetics
Another input/output system processed by reversible sequential chemical reactions 2A
B
Bn provides different concentration outputs in the formation of organogels, exhibiting stepwise sigmoidal relationships and kinetics with an intermediate metastable state [63].
B
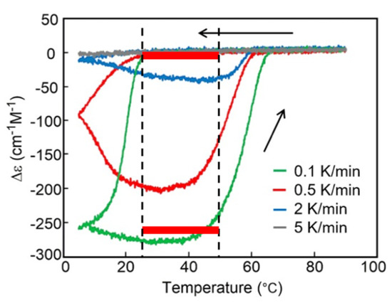
Bn provides different concentration outputs in the formation of organogels, exhibiting stepwise sigmoidal relationships and kinetics with an intermediate metastable state [63]. A mixture of ethynyl (M)-tetramer (M)-5 and (P)-pentamer (P)-6 in toluene (0.5 mM) forms hetero-double-helix B(E) and organogel B(E)n. Fully dissociated 2A(E) at 80 °C was cooled and heated between 5 °C at a rate of 2.0 K min−1 (Figure 15a, blue lines) [64]. Upon cooling, Δε started to increase at 55 °C and reached +620 cm−1 M−1 at 5 °C. Heating at the same rate decreased Δε, and a plateau appeared between 50 °C and 60 °C at Δε of approximately +150 cm−1 M−1. The phenomenon is due to the involvement of sequential self-catalytic chemical reactions 2A(E) + B(E)→2B(E) and 2A(E) + B(E)n→B(E)n. Bistability between 50 °C and 60 °C appears in the cooling state containing exclusive 2A(E) and in the heating state containing B(E) (Figure 15a, red bold lines), in which 2A(E) is metastable. Change in the rate to 0.5 and 2.0 K min−1 shows a plateau upon heating at the same Δε and temperature range, indicating the stable nature of the B(E).
Figure 15.
(a) Thermal hysteresis of (M)–5 and (P)–6 in toluene (0.5 mM) between 80 and 5 °C at rates of 0.5 (yellow), 2.0 (blue), and 3.0 (green) K min−1. (b) Thermal hysteresis between 90 °C and 50 °C at rates of 0.5, 2.0, and 5.0 K min−1. (c) Chemical kinetics at 20 °C. Red bold lines indicate bistability. Red circles indicate inflection points. Blue bold line indicates metastable state. Reproduced from ref. [62] with permission from Wiley.
Stepwise sigmoidal kinetics at 20 °C provides a metastable state with Δε of 360 cm−1 M−1 at an intermediate time (Figure 15c, red bold line). The involvement of intermediate states is a characteristic feature of this thermal input/concentration output system processed by the reversible sequential chemical reactions 2A(E)
B(E)
B(E)n.
B(E)
B(E)n.At a different temperature range, thermal hysteresis appears in a narrow temperature range, which determines a specific temperature during heating. Fully dissociated 2A(E) was cooled and heated between 90 and 50 °C at a rate of 5.0 K min−1 (Figure 15b, red line). No change was observed during cooling to 50 °C, and a bell-shaped curve appeared at the maximum Δε at 60 °C during heating (Figure 6c). Significant acceleration by self-catalytic reactions 2A(E) + B(E)→2B(E) and 2A(E) + B(E)n→B(E)n occurs during heating but not during cooling. The specific temperature of 60 °C is then determined during heating, which involves bistability between 2A(E) and B(E)/B(E)n (Figure 15b, red bold lines). Large differences in the concentrations of 2A(E) and B(E)/B(E)n appears at the same temperature range. Also note that B(E) aggregates to form organogel B(E)n, which solidifies the solution. Then, different three-dimensional structures of 2A(E) and polymeric B(E)n, the latter of which solidifies the solution and changes mechanical property of the molecular assembly, may be beneficial for interfacing.
Other thermal hysteresis curves are obtained at different rates: two maximum Δε values at 56 °C and 66 °C were observed under 2.0 K min−1 and the maximum Δε at 64 °C under 0.5 K min−1. Then, the specific temperature during heating can be fine-tuned by conditions, which is beneficial for parallel processing (Figure 9).
5.3. Fast or Slow Cooling States
Monitoring fast or slow temperature changes is critical to living things. For example, plants can discriminate between spring and morning, both of which are heating states but have different rates. Thermal input/concentration output systems processed by competitive chemical reactions 2A→B and 2A→C can be used in monitoring temperature change rates by converting slow or fast cooling states to the concentrations of A, B, and C.
Mixtures of aminomethylene (P)-tetramer (P)-7 and (M)-pentamer (M)-8 form hetero-double-helices B(A) and C(A) with the inverted right-handed and left-handed helix senses, which provide negative and positive Δε, respectively, with comparable intensity.[65] The formation of B(A), C(A), and random-coil 2A(A) occurs by reversible competitive chemical reactions 2A(A)
B(A)
C(A) involving two competitive self-catalytic reactions 2A(E) + B(E)→2B(E) and 2A(E) + C(E)→2C(E). At high temperatures, 2A(A) is thermodynamically the most stable. At low temperatures, C(A) is the most stable. B(A) is metastable at both temperatures. The thermal input/concentration output system exhibits complex bistability phenomena. The system provides either structured B(A) or C(A) as the major product at the same temperature because of the difference in temperature dependency among the competitive self-catalytic chemical reactions. Ordinary bimolecular competitive reactions do not generally switch major products through temperature changes unless the mechanisms change, as noted in Section 3.4.
B(A)
C(A) involving two competitive self-catalytic reactions 2A(E) + B(E)→2B(E) and 2A(E) + C(E)→2C(E). At high temperatures, 2A(A) is thermodynamically the most stable. At low temperatures, C(A) is the most stable. B(A) is metastable at both temperatures. The thermal input/concentration output system exhibits complex bistability phenomena. The system provides either structured B(A) or C(A) as the major product at the same temperature because of the difference in temperature dependency among the competitive self-catalytic chemical reactions. Ordinary bimolecular competitive reactions do not generally switch major products through temperature changes unless the mechanisms change, as noted in Section 3.4. Stepwise thermal input exerts three-state one-directional structure change through sequential chemical reactions 2A(A)→B(A)→C(A). A mixture of (P)-7 and (M)-8 in fluorobenzene (1 mM) was heated to 70 °C to form fully dissociated 2A(A), which was rapidly cooled to 25 °C and allowed to settle. The Δε/time profiles showed a rapid decrease in Δε at 25 °C, forming metastable B(A) (Figure 16b), which was then slowly converted into C(A) under chemical equilibrium in 73 h (Figure 16a). Three states, 2A(A), B(A), and C(A) appeared under an isothermal condition. When C(A) was heated to 70 °C, 2A(A) was regenerated. The phenomenon involved reversible chemical reactions 2A(A)
B(A)
C(A) out of chemical equilibrium.
B(A)
C(A) out of chemical equilibrium.
Figure 16.
(a) Three-state one-directional structure change of (P)–7 and (M)–8 in fluorobenzene (1 mM) by heating to 70 °C and cooling to 25 °C. (b) Expansion of (a) in the square. (c) Thermal hysteresis of (P)–1 and (M)–2 in fluorobenzene (0.5 mM) obtained through heating to 5–70 °C, cooling to 70–25 °C, and settling at 25 °C. Red bold lines indicate bistability. Reproduced from ref. [65] with permission of the American Chemical Society.
Thermal hysteresis appears as shown by Δε/temperature profiles (Figure 16c). The heating of C(A) from 5 to 70 °C at a rate of 2 K min−1 provides 2A(A) with Δε of approximately 0 cm−1 M−1. Then, 2A(A) was cooled to 25 °C at the same rate and allowed to settle at the same temperature. The Δε decreased to −310 cm−1 M−1, and an overshoot to −430 cm−1 M−1 and increase of +430 cm−1 M−1 were observed in 73 h. The bistability of B(A) and C(A) was observed at 25 °C, along with a large difference in concentrations and three-dimensional structures, which may be beneficial for interfacing (Figure 16c, red bold lines).
Another thermal hysteresis appears by the interconversion of 2A(A) and B(A) as temperature decreases and increases between 70 °C and 5 °C at a constant rate (Figure 17a). Cooling of fully dissociated 2A(A) from 70 °C to 40 °C at a rate of 2 K min−1 did not change Δε (0 cm−1 M−1). The Δε value decreased to −430 cm−1 M−1 at 5 °C, and approximately 50% B(A) was produced. Heating from 5 °C to 30 °C did not change Δε, which increased generating 2A(A) at 60 °C. Bistability was observed between 40 °C and 50 °C by the formation of 2A(A) during cooling and the formation of approximately 50% B(A) during heating, both of which are metastable (Figure 17a, red bold lines). The cooling and heating states were exhibited by 2A(A) and B(A), respectively, which showed large differences in concentrations and three-dimensional structures. The flat domains at low temperatures stabilized metastable B(A), which was out of chemical equilibrium (Figure 6b).

Figure 17.
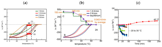
(a) Thermal hysteresis of (P)–7 and (M)–8 in fluorobenzene (0.5 mM) after cooling and heating between 70 °C and 5 °C. (b) Slow cooling at an average rate of 0.043 K min−1 (purple line). For comparison, results in (a) are reproduced. (c) Sigmoidal kinetics of chemical reaction 2A(A)→B(A) at 40 °C [66]. (d) Thermal hysteresis between 60 °C and 5 °C during cooling at a rate of 2 K min−1 and heating at a rate of 0.1 K m–1. (e) Thermal hysteresis between 55 °C and 5 °C by heating and cooling at a rate of 1 K min−1. Red bold line indicates bistability. Blue circle indicates specific temperature during heating. Red circles indicate effects of temperature range by a difference of 5 °C. Reproduced from ref. [65] with permission of the American Chemical Society.
A small effect of temperature change rate appears between 1 and 5 K min−1 (Figure 17a), which shows a broader applicability of (P)-7/(M)-8 in the rate compared with (P)-1 (Figure 12a). The metastable 2A(A) and B(A) have long lifetimes due to the sigmoidal relationship and may be beneficial for interfacing with other systems. Also note that the metastable state B(A) at 25 °C contains memory that B(A) was cooled from 2A(A) under the condition. B(A) under an isothermal condition will be converted to C(A) through the inversion of the helical sense, which predicts the formation of C(A) from B(A).
A very slow cooling of 2A(A) provides C(A) to exhibit a curve close to chemical equilibrium (Figure 17b, purple line). When 2A(A) at 70 °C was cooled to 5 °C in a repetitively stepwise manner at an average rate of 0.043 K min−1, Δε increased to +430 cm−1 M−1 at 5 °C by forming C(A) without forming B(A) (Figure 17b). Thus, slow cooling provides C(A) from 2A(A) and fast cooling B(A). The thermal inputs of cooling rates are processed to provide the outputs of concentrations of B(A) and C(A). This is an example of switching products by a small difference in thermal input, which is exerted by the competitive chemical reactions (Figure 8).
The chemical reaction 2A(A)→C(A) under an isothermal condition of 40 °C provides sigmoidal kinetics, in which the initial flat domain for 50 min shows the formation of metastable 2A(A) followed by increase in Δε for the formation of C(A) (Figure 17c) [66]. The complex nature of this reaction is shown by the formation of B(A) with negative Δε below 40 °C.
Heating rate can affect the concentration outputs as well as the cooling rate. When B(A) is heated from 5 °C at a rate of 0.1 K min−1, a maximum amount of C(A) is formed at a specific temperature of 45 °C (Figure 17d, blue circle), which is then converted to 2A(A) at 60 °C [67]. By contrast, when B(A) is heated at a rate of 1 K min−1, 2A(A) is formed at 45 °C without C(A) (Figure 17a). Thus, the slow heating of B(A) provides C(A) and fast heating 2A(A) at 40 °C. The thermal hysteresis of 2A(A), B(A), and C(A) exhibits complex increases and decreases in concentrations (Figure 16 and Figure 17),
Temperature range affects thermal hysteresis. When C(A) is heated from 5 °C to 60 °C and cooled to 5 °C at a rate of 2 K min−1, B(A) is formed (Figure 17d, red circle). By contrast, when C(A) is heated to 55 °C and cooled at a rate of 1 K min−1, C(A) is formed without forming B(A) (Figure 17e, red circle). A difference of 5 °C at the highest temperature changes the products B(A) and C(A) upon cooling. This effect is another example of a switch between products because of a small difference in thermal input. These phenomena are due to the involvement of two competitive self-catalytic chemical reactions, which are significantly accelerated by small differences in thermal inputs (Figure 8).
Thermal input/concentration output systems processed by competitive reversible chemical reactions 2A(A)
B(A)
C(A) involving two competitive self-catalytic chemical reactions 2A(A) + C(A)→2C(A) and 2A(A) + B(A)→2B(A) can exhibit diverse bistability phenomena depending on thermal inputs (Figure 8). The thermal inputs described in this section include high or low temperature, cooling or heating states, and slow or fast cooling and heating states. The system can convert the analog thermal signals into digital signals of different concentrations of B(A) and C(A). The right-handed and left-handed helix senses of B(A) and C(A) with a large difference in the three-dimensional molecular structures may be beneficial for interfacing with other systems. Memory effect and future predicting also appear.
B(A)
C(A) involving two competitive self-catalytic chemical reactions 2A(A) + C(A)→2C(A) and 2A(A) + B(A)→2B(A) can exhibit diverse bistability phenomena depending on thermal inputs (Figure 8). The thermal inputs described in this section include high or low temperature, cooling or heating states, and slow or fast cooling and heating states. The system can convert the analog thermal signals into digital signals of different concentrations of B(A) and C(A). The right-handed and left-handed helix senses of B(A) and C(A) with a large difference in the three-dimensional molecular structures may be beneficial for interfacing with other systems. Memory effect and future predicting also appear. 5.4. Cooling History
Section 5.1, Section 5.2 and Section 5.3 described concentration outputs against thermal inputs as depicted by concentration (Δε)/temperature profiles. Thermal inputs can provide the outputs of reaction rates, which are changes in concentrations depicted by concentration (Δε)/time profiles. Cooling history, which involves different courses of temperature changes from a high temperature to a low temperature before initiating the chemical reaction, significantly changes the reaction rates. Therefore, the fast and slow chemical reactions provide bistability by different concentrations at a certain period of time after the initiation because of the two competitive self-catalytic chemical reactions 2A(A) + C(A)→2C(A) and 2A(A) + B(A)→2B(A) (Figure 8).
The thermal history of cooling rate provides different reaction rates. A mixture of (P)-7 and (M)-8 in fluorobenzene (0.5 mM) was heated to 70 °C to form fully dissociated 2A(A), rapidly cooled to −10 °C, rapidly heated to 25 °C, and allowed to settle at the temperature [66]. Then, chemical reaction at 25 °C occurred to form C(A), which completed in 5 h (Figure 18a). In contrast, when 2A(A) at 70 °C was cooled to –10 °C at a rate of 2 K min−1, rapidly heated to 25 °C, and settled, the chemical reaction to form C(A) completed in 84 h. A large difference in reaction rate was observed in the formation of C(A), providing bistability in C(A) concentrations between 80 and 300 min (Figure 18b, red bold lines). The rapid cooling history to –10 °C provides Δε of approximately +400 cm−1 M−1, containing approximately 100% of C(A) between 80 and 300 min, and the slow cooling history provided Δε of approximately −250 cm−1 M−1 containing approximately 20% of C(A). The large difference in the concentrations and three-dimensional structures of 2A(A) and C(A) during the period may be beneficial for interfacing.
Figure 18.
(a) Chemical kinetics of (P)–7 and (M)–8 in fluorobenzene (0.5 mM) at 25 °C by the procedures of rapid cooling to −10 °C and rapid heating to 25 °C (green line), and cooling from 70 to −10 °C at a rate of 2 K min−1 and rapid heating to 25 °C (blue line). (b) Expansion of (a) at the initial state. Red bold lines indicate bistability. Reproduced from ref. [66].
Another cooling history is provided as follows. When fully dissociated 2A(A) at 70 °C was rapidly cooled to 25 °C, an extremely slow reaction occurred during the formation of C(A), which was completed after 60 h (Figure 19b). By contrast, when 2A(A) at 70 °C was rapidly cooled to −25 °C and rapidly heated to 25 °C, a fast reaction that formed C(A) occurred, which was completed in 4 h (Figure 19a). In both experiments at 25 °C within the initial 2 min, the same CD, 1H-NMR, and DLS data of 2A(A) were obtained. Then, the rapid cooling history of 2A(A) to −10 °C and −25 °C before the initiation of the chemical reaction that form C(A) at 25 °C significantly increased the reaction rate. The enhanced reaction rate that resulted in the formation of C(A) from 2A(A) was derived from two competitive self-catalytic chemical reactions, which amplified subtle differences below the detection at 25 °C generated by the cooling history (Figure 8).
Figure 19.
Chemical kinetics of (P)-7 and (M)-8 at 25 °C in fluorobenzene (0.5 mM) during (a) rapid cooling to −25 °C and rapid heating to 25 °C and (b) rapid cooling from 70 to 25 °C. (c) Heating and cooling experiment at a rate of 2 K min−1 between −25 °C and 70 °C. Reproduced from ref. [66].
The significant effect of the cooling history is ascribed to difference in temperature dependency among the competitive self-catalytic chemical reactions 2A(A) + C(A)→2C(A) and 2A(A) + B(A)→2B(A) (Figure 19c). The heating of 2A(A) from −25 °C at a rate of 2 K min−1 predominantly results in the formation of B(A) below 25 °C and C(A) above 25 °C; cooling of 2A(A) from 70 °C results in the formation of B(A). The switching phenomenon in the chemical reactions that form B(A) and C(A) is different from ordinary competitive chemical reactions, which generally do not switch products as temperature changes, as noted in Section 2.2.
Memory of cooling history to −10 °C/−25 °C significantly accelerates the chemical reaction to form C(A), when compared with the same chemical reaction involving different cooling history. Therefore, different future occurs with regard to the reaction rate for the formation C(A) from 2A(A) by a different memory of history.
6. Concentration Threshold
Section 5 described thermal input/concentration output systems processed by chemical reactions and their interfacing with other systems with regard to large differences in concentration and three-dimensional structures, ultimately relating resources to functions in the real world (Figure 1). Concentration threshold by chemical reactions can be a methodology for enhancing efficiency for interfacing, which amplifies small differences in concentration. A chemical reaction rapidly occurs above a threshold concentration and not below. It is in contrast to small changes in product concentration by ordinary chemical equilibria and chemical reactions by small changes in concentration (Section 2.2).
The concentration threshold of (P)-1 appears in response to a small change in total concentration. (P)-1 in 1,3-difluorobenzene at a total concentration of 0.7 mM after heating to 70 °C, cooling to 47 °C, and repeated change in temperature between 47 °C and 49 °C at a rate of 0.25 K min−1 (Figure 20a) [67]. Continuous increases in Δε upon cooling and heating occur during the formation of thermodynamically stable B(S). The phenomenon involves self-catalytic chemical reaction 2A(S) + B(S)→2B(S), which, once started, does not retard or stop by cooling and heating. At a total concentration of 0.6 mM or below, essentially no reaction occurs upon cooling and heating between 47 °C and 49 °C. A small difference in the initial concentration of 2A(A) between 0.6 and 0.7 mM resulted in a large difference in the concentration of B(S), and this significant difference may be beneficial for interfacing with other systems. The thermal input of repeated temperature change enhances the difference in the concentration of B(S) at 0.7 mM. After the second heating, the concentration of B(A) at 0.7 mM is eight times that at 0.6 mM. This result is a property of reversible chemical reaction out of chemical equilibrium (Figure 4c).
Figure 20.
(a) Concentration threshold of (P)–1 in 1,3-difluorobenzene by repeated temperature changes between 47 and 49 °C. (b) Experiments at different concentrations shown by Δε at the second heating. Reproduced from ref. [67] with permission from Wiley.
The threshold concentration can be fine-tuned by temperature ranges. Changing between 45 °C and 47 °C provides a threshold concentration between 0.5 and 0.6 mM; changing between 43 °C and 45 °C provides concentrations between 0.4 and 0.5 mM (Figure 20b). This is fine-tunability of the threshold concentration, which can be employed for parallel processing (Figure 9).
7. Interfacing of Concentration Outputs with Other Input/Output Systems
The above discussions have described thermal input/concentration output systems processed by chemical reactions. The chemical basis for the properties of the chemical reactions includes reversibility out of equilibrium, bistability involving metastable states with sigmoidal relationship or kinetics, positive feedback by self-catalytic chemical reactions, competitive chemical reactions, and fine-tunability for parallel processing. Stepwise and gradient temperature changes are provided to the systems, which process thermal inputs, such as high or low temperature, cooling or heating states, slow or fast cooling and heating states, and precooling history. Then, outputs with concentrations of substrates and products with large differences are obtained. The input/output systems can convert various sophisticated thermal inputs into concentration outputs.
Therefore, the question is how such outputs can effectively be interfaced with other systems, which eventually convert resources into functions in the real world (Figure 1). Systems processed by chemical reactions are employed in biological systems.
7.1. Processing by Chemical Reactions and Effective Interfacing
The properties of chemical reactions, which are beneficial for interfacing with other systems, are considered below. Bistability is a concept involving two rested states at the same temperature range, which are interconvertible, and large differences in the concentrations are key for effective interfacing. Large differences in their three-dimensional structures are also preferable. Then, concentration outputs can be employed in other systems without error, which are also processed by chemical reactions. Sigmoidal relationships out of chemical equilibrium enhance the stability of metastable rested states, which provides robustness against thermal perturbations. Positive feedback by self-catalytic chemical reactions amplifies small temperature changes in inputs into large differences in concentration outputs. Competitive chemical reactions providing different products can process various complex thermal phenomena. Processing in a closed system is attractive, which employs simple operations of adding and removing thermal energy without those of materials.
These properties of chemical reactions may be beneficial for interfacing of thermal input/concentration output systems with other systems. However, they are not common properties of ordinary chemical equilibria and bimolecular chemical reactions. The development of such chemical reactions and understanding their properties are worthy of attention.
Implication of efficient interfacing can be better understood by considering the system, which provides the differences in the concentration outputs that are insufficiently large, and amplification of differences is required. Two examples are described below, which employ (1) selective binding with receptors or allosteric catalysts and (2) concentration threshold.
7.2. Increasing the Efficiency of Interfacing
Processing in thermal input/concentration output systems is a phenomenon of molecular assembly involving huge numbers of molecules, which is different from those of a single molecule. Therefore, interfacing with other input/output systems needs to involve large differences in concentrations. When the difference is relatively small, employment of selective receptor and allosteric catalysts can be considered in the removal of noises due to minor products.
An input/output system processed by a reversible chemical reaction 2A
B and receptor molecules or allosteric catalysts P in another system, which interacts with B and exert chemical reaction to form X and/or Y, should be considered. The reversible chemical reaction 2A
B occurs between unstructured random-coil 2A and structured homo-double-helix B. When the concentration of B is considerably larger than 2A in the output, interfacing through the selective binding of B with P over A can occur. Then, the resulting BP complex exerts chemical reaction that forms X and Y (Figure 21a). Such a phenomenon can be termed as an activation mode. A related binding phenomenon has been observed in nanoparticle precipitation, and helicene-grafted nanoparticles selectively remove B but not 2A from solution through molecular recognition and precipitation [68].
B and receptor molecules or allosteric catalysts P in another system, which interacts with B and exert chemical reaction to form X and/or Y, should be considered. The reversible chemical reaction 2A
B occurs between unstructured random-coil 2A and structured homo-double-helix B. When the concentration of B is considerably larger than 2A in the output, interfacing through the selective binding of B with P over A can occur. Then, the resulting BP complex exerts chemical reaction that forms X and Y (Figure 21a). Such a phenomenon can be termed as an activation mode. A related binding phenomenon has been observed in nanoparticle precipitation, and helicene-grafted nanoparticles selectively remove B but not 2A from solution through molecular recognition and precipitation [68].
Figure 21.
Interfacing of output processed by reversible chemical reaction 2A
B, in which 2A is unstructured random-coil and B is structured homo-double-helix. (a) Activation mode and (b) deactivation mode in the binding of B over A with a receptor or allosteric catalyst P, which exerts the formation of X and/or Y. (c) Interfacing of output derived from reversible competitive chemical reactions B
2A
C by activation mode. Orange figure indicates active P and blue inactive P.
B, in which 2A is unstructured random-coil and B is structured homo-double-helix. (a) Activation mode and (b) deactivation mode in the binding of B over A with a receptor or allosteric catalyst P, which exerts the formation of X and/or Y. (c) Interfacing of output derived from reversible competitive chemical reactions B
2A
C by activation mode. Orange figure indicates active P and blue inactive P.
In contrast, when the concentration of unstructured A is considerably larger than that of structured B in the output, the selective binding of A with P over B may not readily occur because the structure of A fluctuates. The deactivation mode can then be employed, which involves the inhibition of the chemical reaction that induces the formation of X and Y by the BP complex, which is formed through the binding of P and B (Figure 21b). When the concentration of A is considerably larger than B, the chemical reaction by P to form X and Y occurs. In contrast, decrease in A and increase in B form BP complex, which inhibits the chemical reaction for the formation of X and Y.
Interfacing by reversible competitive chemical reactions B
2A
C is also considered, which facilitates the binding of structured B or C with P in other systems (Figure 21c). In such a case, the concentration differences between B and C can be enhanced by the selective binding of B over C. For instance, when binding constant K for P and B is 104 times larger than that of C, the apparent concentration difference can be increased 104 times, and chemical reaction by BP complex to form X and Y is predominant compared with that of the CP complex (activation mode).
2A
C is also considered, which facilitates the binding of structured B or C with P in other systems (Figure 21c). In such a case, the concentration differences between B and C can be enhanced by the selective binding of B over C. For instance, when binding constant K for P and B is 104 times larger than that of C, the apparent concentration difference can be increased 104 times, and chemical reaction by BP complex to form X and Y is predominant compared with that of the CP complex (activation mode). The properties of thermal input/concentration output systems can be analyzed in homogeneous solutions because the properties of dispersed molecules are relatively simple and easy to understand. However, for the purpose of effective interfacing, aggregated receptors and allosteric catalysts, such as Pn with ordered structures, can be more efficient because of the close contact of P molecules with one another. This property can promote the formation of BP complexes through self-catalytic reactions. Then, chemical reaction for the formation of X and Y can be accelerated. Biological cells employ such aggregated protein clusters on cell surface.
Another methodology for effective interfacing with another system involves the amplification of concentration differences, in which concentration threshold phenomena can be employed (Section 6). For instance, in the input/output system providing B and C, when the chemical reaction of BP complex for the formation of X and Y occurs above a concentration threshold of B but not C, the apparent concentration of B can be increased.
Diverse effective chemical devices can be considered for interfacing, which reduce noise due to minor compounds. Such enhancement of concentration differences may be another interesting subject in chemistry.
8. Conclusions
The concept of input/output systems are broadly employed in science, technology, and society. Inputs are signals received by systems, whereas outputs are signals sent from the systems. Between input and output is processing, which is how inputs are related to outputs. The systems are connected by interfacing, which eventually converts resources, such as energy, materials, and environments, into functions in our real world (Figure 1).
Processing by chemical reactions in input/output systems is essential to biological cells, and such chemical reactions involve the rearrangement of chemical bonds through covalent or noncovalent bonds. However, biological systems are extremely complex, and thus experimental studies on synthetic input/output systems can promote our understanding of biological events and development of materials functions. A chemical reaction itself contains diverse information on temperature, concentration, structures of substrates and products, and media because a chemical reaction generally occurs under a limited condition and substrates. In addition, sophisticated inputs can be processed by chemical reactions.
This article focused on synthetic thermal input/concentration output systems processed by chemical reactions using helicene oligomers (Figure 2). The systems can process various sophisticated thermal inputs, which include high or low temperature, cooling or heating states, slow or fast cooling and heating states, and precooling history. The chemical basis for the properties of the chemical reactions involved in the systems include reversibility out of chemical equilibrium, sigmoidal relationship and kinetics, bistability involving metastable states, positive feedback by self-catalytic chemical reactions, competitive chemical reactions, and fine-tunability for parallel processing. Interfacing with other systems is also described. A list of chemical bases for the properties of such chemical reactions is provided, and a novel concept of chemical reaction is introduced.
Author Contributions
Conceptualization and writing—original draft preparation, M.Y.; writing—review and editing, S.Z. Conceptualization and writing—original draft preparation, M.Y.; writing—review and editing, S.Z. and M.B.; visualization, S.Z.; data analyses, M.B. All authors have read and agreed to the published version of the manuscript.
Funding
This research was funded by the National Natural Science Foundation of China, grant number 21573032, the Fundamental Research Funds for the Central Universities, grant number DUT20LK42 and LiaoNing Revitalization Talents Program, grant number XLYC1802030.
Informed Consent Statement
Not applicable.
Conflicts of Interest
The authors declare no conflict of interest.
References
- Boell, S.; Cecez-Kecmanov, D. Conceptualizing Information Systems: From Input-Processing-Output Devices to Sociomaterial Apparatuses. ECIS 2012 Proc. 2012. Paper 20. Available online: http://aisel.aisnet.org/ecis2012/20 (accessed on 1 November 2021).
- Input/Output. Available online: https://en.wikipedia.org/wiki/Input/output (accessed on 1 November 2021).
- Input Output Model; Six Sigma Daily. Available online: https://www.sixsigmadaily.com/input-output-model/ (accessed on 1 November 2021).
- Input Interfacing Circuits; Electronic Tutorials. Available online: https://www.electronics-tutorials.ws/io/input-interfacing-circuits.html (accessed on 1 November 2021).
- Input Output Interface. Available online: https://www.sciencedirect.com/topics/engineering/input-output-interface (accessed on 1 November 2021).
- Introduction to Input-Output Interface; GeeksforGeeks. Available online: https://www.geeksforgeeks.org/introduction-to-input-output-interface/ (accessed on 1 November 2021).
- Electronic Systems. Available online: https://www.electronics-tutorials.ws/systems/electronic-system.html (accessed on 1 November 2021).
- Digital I/O and Analog I/O; Electrical Classroom. Available online: https://www.electricalclassroom.com/digital-i-o-and-analog-i-o/ (accessed on 1 November 2021).
- Digital Signal Processing. Available online: https://en.wikipedia.org/wiki/Digital_signal_processing (accessed on 1 November 2021).
- Analog Signal Processing. Available online: https://en.wikipedia.org/wiki/Analog_signal_processing (accessed on 1 November 2021).
- Electronic Circuit. Available online: https://en.wikipedia.org/wiki/Electronic_circuit (accessed on 1 November 2021).
- Zwass, V. Information System; Encyclopedia Britannica. Available online: https://www.britannica.com/topic/information-system (accessed on 1 November 2021).
- Data Processing; Encyclopedia Britannica. Available online: https://www.britannica.com/technology/data-processing (accessed on 1 November 2021).
- Lodish, H.; Berk, A.; Kaiser, C.A.; Krieger, M.; Bretscher, A.; Ploegh, H.; Amon, A.; Martin, K.C. Molecular Cell Biology, 8th ed.; W.H. Freeman & Company: New York, NY, USA, 2016. [Google Scholar]
- Signal Transduction. Available online: https://en.wikipedia.org/wiki/Signal_transduction (accessed on 1 November 2021).
- Otero-Muras, I.; Banga, J.R.; Alonso, A.A. Characterizing multistationarity regimes in biochemical reaction networks. PLoS ONE 2012, 7, e39194. [Google Scholar] [CrossRef] [PubMed][Green Version]
- Ferrell, J.E., Jr.; Xiong, W. Bistability in cell signaling: How to make continuous processes discontinuous, and reversible processes irreversible. Chaos 2001, 11, 227. [Google Scholar] [CrossRef] [PubMed]
- Daniel, R.; Rubens, J.R.; Sarpeshkar, R.; Lu, T.K. Synthetic analog computation in living cells. Nature 2013, 497, 619–624. [Google Scholar] [CrossRef]
- Bradley, R.W.; Wang, B. Designer cell signal processing circuits for biotechnology. New Biotechnol. 2015, 32, 635–643. [Google Scholar] [CrossRef] [PubMed]
- Sarpeshkar, R. Analog synthetic biology. Phil. Trans. Royal. Soc. A 2014, 372, 20130110. [Google Scholar] [CrossRef] [PubMed]
- Tyson, J.J.; Chen, K.C.; Novak, B. Sniffers, buzzers, toggles and blinkers: Dynamics of regulatory and signaling pathways in the cell. Curr. Opin. Cell Biol. 2003, 15, 221–231. [Google Scholar] [CrossRef]
- Signal Processing. Available online: https://en.wikipedia.org/wiki/Signal_processing (accessed on 1 November 2021).
- Bear, M.F.; Connors, B.W.; Paradiso, M.A. Neuroscience: Exploring the Brain, 4th ed.; Jones & Bartlett Learning, LLC: Burlington, VT, USA, 2016. [Google Scholar]
- Systems Biology. Available online: https://en.wikipedia.org/wiki/Systems_biology (accessed on 1 November 2021).
- Systems Biology as Defined by NIH; National Institutes of Health Webpage. Available online: https://irp.nih.gov/catalyst/v19i6/systems-biology-as-defined-by-nih (accessed on 1 November 2021).
- Cosentino, C.; Bates, D. Feedback Control in Systems Biology; CRC Press: Boca Raton, FL, USA, 2011. [Google Scholar]
- Angeli, D. A Tutorial on Chemical Reaction Network Dynamics. Eur. J. Control. 2009, 3–4, 398–406. [Google Scholar] [CrossRef]
- Afroz, A.; Beisel, C.L. Understanding and exploiting feedback in synthetic biology. Chem. Eng. Sci. 2013, 103, 79–90. [Google Scholar] [CrossRef]
- Yamaguchi, M. Thermal hysteresis involving reversible self-catalytic reactions. Acc. Chem. Res. 2021, 54, 2603–2613. [Google Scholar] [CrossRef]
- Shigeno, M.; Kushida, Y.; Yamaguchi, M. Molecular switching involving metastable states: Molecular thermal hysteresis and sensing of environmental changes by chiral helicene oligomeric foldamers. Chem. Commun. 2016, 52, 4955–4970. [Google Scholar] [CrossRef] [PubMed]
- Shigeno, M.; Kushida, Y.; Yamaguchi, M. Energy aspects of thermal molecular switching: Molecular thermal hysteresis of helicene oligomers. Chem. Phys. Chem. 2015, 16, 2076–2083. [Google Scholar] [CrossRef] [PubMed]
- Levine, R.D.; Bernstein, R.B. Molecular Reaction Dynamics; Cambridge University Press: Cambridge, UK, 2009. [Google Scholar]
- Wright, M.R. Fundamental Chemical Kinetics; Horwood Publishing Limited: Woodgate, UK, 1999. [Google Scholar]
- Steinfeld, J.I.; Francisco, J.S.; Hase, W.L. Chemical Kinetics and Dynamics; Prentice-Hall Inc.: Upper Saddle River, NJ, USA, 1989. [Google Scholar]
- Atkins, P.; de Paula, J. Physical Chemistry, 10th ed.; Oxford University Press: Oxford, UK, 2014. [Google Scholar]
- Vyazovkin, S.; Wight, C.A. Isothermal and non-isothermal kinetics of thermally stimulated reactions of solids. Int. Rev. Phys. Chem. 1998, 17, 407–433. [Google Scholar] [CrossRef]
- Várhegyi, G. Empirical models with constant and variable activation energy for biomass pyrolysis. Energy Fuels 2019, 33, 2348–2358. [Google Scholar] [CrossRef]
- Smith, I.W.M. The temperature-dependence of elementary reaction rates: Beyond Arrhenius. Chem. Soc. Rev. 2008, 37, 812–826. [Google Scholar] [CrossRef] [PubMed]
- Carvalho-Silva, V.H.; Coutinho, N.D.; Aquilanti, V. Temperature dependence of rate processes beyond Arrhenius and Eyring: Activation and transitivity. Front. Chem. 2019, 7, 380. [Google Scholar] [CrossRef]
- Vyazovkin, S. A time to search: Finding the meaning of variable activation energy. Phys. Chem. Chem. Phys. 2016, 18, 18643–18656. [Google Scholar] [CrossRef]
- Bistability. Available online: https://en.wikipedia.org/wiki/Bistability (accessed on 1 November 2021).
- Wilhelm, T. A definition of bistability in systems biology. BMC Syst. Biol. 2009, 3, 90. [Google Scholar]
- Heaviside Step Function. Available online: https://en.wikipedia.org/wiki/Heaviside_step_function (accessed on 1 November 2021).
- Sigmoid Function. Available online: https://en.wikipedia.org/wiki/Sigmoid_function (accessed on 1 November 2021).
- Ueno, H.; Tsuruyama, T.; Nowakowski, B.; Gorecki, J.; Yoshikawa, K. Discrimination of time-dependent inflow properties with a cooperative dynamical system. Chaos 2015, 25, 103115. [Google Scholar] [CrossRef]
- Frank, S.A. Input-output relations in biological systems: Measurement, information and the Hill equation. Biol. Direct 2013, 8, 31. [Google Scholar] [CrossRef]
- Qian, H. Cooperativity in Cellular Biochemical Processes. Ann. Rev. Biophys. 2012, 41, 179–204. [Google Scholar] [CrossRef] [PubMed]
- Positive Feedback; Biology Dictionary. Available online: https://biologydictionary.net/positive-feedback/ (accessed on 1 November 2021).
- Feedback Control in Biological Interactions; MCB111: Mathematics in Biology (Fall 2021). Available online: http://mcb111.org/w11/w11-lecture.html (accessed on 1 November 2021).
- Zeron, E.S. Positive and negative feedback in engineering and biology. Math. Model. Nat. Phenom. 2008, 3, 67–84. [Google Scholar] [CrossRef]
- Alberts, B.; Johnson, A.; Lewis, J.; Morgan, D.; Raff, M.; Roberts, K.; Walter, P. Molecular Biology of the Cell; Garland Science: New York, NY, USA, 2014. [Google Scholar]
- Sawato, T.; Saito, N.; Yamaguchi, M. Chemical systems involving two competitive self-catalytic reactions. ACS Omega 2019, 4, 5879–5899. [Google Scholar] [CrossRef] [PubMed]
- Sawato, T.; Yamaguchi, M. Synthetic chemical systems involving self-catalytic reactions of helicene oligomer foldamers. Chem. Plus Chem. 2020, 85, 2017–2038. [Google Scholar] [CrossRef]
- Rovelli, C. Memory and entropy. arXiv 2020, arXiv:2003.06687. Available online: https://arxiv.org/abs/2003.06687 (accessed on 1 November 2021).
- Nakasone, Y.; Ono, T.; Ishii, A.; Masuda, S.; Terazima, M. Temperature-sensitive reaction of a photosensor protein YcgF: Possibility of a role of temperature sensor. Biochemistry 2010, 49, 2288–2296. [Google Scholar] [CrossRef]
- Enoki, S.; Watanabe, R.; Iino, R.; Noji, H. Single-molecule study on the temperature-sensitive reaction of F1-ATPase with a hybrid F1 carrying a single b(E190D). J. Biol. Chem. 2009, 284, 23169–23176. [Google Scholar] [CrossRef]
- García-Ávila, M.; Islas, L.D. What is new about mild temperature sensing? A review of recent findings. Temperature 2019, 6, 132–141. [Google Scholar] [CrossRef]
- Dhaka, A.; Viswanath, V.; Patapoutian, A. TRP ion channels and temperature sensation. Ann. Rev. Neurosci. 2006, 29, 135–161. [Google Scholar] [CrossRef]
- Shigeno, M.; Kushida, Y.; Kobayashi, Y.; Yamaguchi, M. Molecular function of counting the numbers 1 and 2 exhibited by a sulfoneamidohelicene tetramer. Chem. Eur. J. 2014, 20, 12759–12762. [Google Scholar] [CrossRef]
- Shigeno, M.; Kushida, Y.; Yamaguchi, M. Molecular thermal hysteresis in helix dimer formation of sulfonamidohelicene oligomer in solution. Chem. Eur. J. 2013, 19, 10226–10234. [Google Scholar] [CrossRef] [PubMed]
- Miyagawa, M.; Yagi, A.; Shigeno, M.; Yamaguchi, M. Equilibrium crossing exhibited by an ethynylhelicene (M)-nonamer during random-coil- to-double-helix thermal transition in solution. Chem. Commun. 2014, 50, 14447–14450. [Google Scholar] [CrossRef] [PubMed]
- Sawato, T.; Arisawa, M.; Yamaguchi, M. Reversible formation of self-assembly gels containing giant vesicles in trifluoromethylbenzene using oxymethylenehelicene oligomers with terminal C16 alkyl groups. Bull. Chem. Soc. Jpn. 2020, 93, 1497–1503. [Google Scholar] [CrossRef]
- Auer, S.; Kashchiev, D. Insight into the correlation between lag time and aggregation rate in the kinetics of protein aggregation. Proteins 2010, 78, 2412–2416. [Google Scholar] [CrossRef]
- Sawato, T.; Masahiko Yamaguchi, M. Sequential self-catalytic reactions in the formation of hetero-double-helix and their self-assembled gels by pseudoenantiomer mixtures of ethynylhelicene oligomers. Chirality 2020, 32, 824–832. [Google Scholar] [CrossRef] [PubMed]
- Shigeno, M.; Kushida, Y.; Yamaguchi, M. Heating/cooling stimulus induces three-state molecular switching of pseudoenantiomeric aminomethylenehelicene oligomers: Reversible nonequilibrium thermodynamic processes. J. Am. Chem. Soc. 2014, 136, 7972–7980. [Google Scholar] [CrossRef]
- Kushida, Y.; Saito, N.; Shigeno, M.; Yamaguchi, M. Multiple competing pathways for chemical reaction: Drastic reaction shortcut for the self-catalytic double-helix formation of helicene oligomers. Chem. Sci. 2017, 8, 1414–1421. [Google Scholar] [CrossRef]
- Kushida, Y.; Shigeno, M.; Yamaguchi, M. Concentration threshold and amplification exhibited by a helicene oligomer during helix-dimer formation: A proposal on how a cell senses concentration changes of a chemical. Chem. Eur. J. 2015, 21, 13788–13792. [Google Scholar] [CrossRef]
- Miyagawa, M.; Yamaguchi, M. Material clocking by silica nanoparticle precipitation in solution phase that is tunable by organic molecules. ChemPlusChem 2015, 80, 1502–1507. [Google Scholar] [CrossRef]
Publisher’s Note: MDPI stays neutral with regard to jurisdictional claims in published maps and institutional affiliations. |
© 2022 by the authors. Licensee MDPI, Basel, Switzerland. This article is an open access article distributed under the terms and conditions of the Creative Commons Attribution (CC BY) license (https://creativecommons.org/licenses/by/4.0/).