Next Article in Journal
Ontology-Enhanced Deep Learning for Early Detection of Date Palm Diseases in Smart Farming Systems
Next Article in Special Issue
Addressing Class Imbalance in Rice Disease Diagnosis with Contrastive Dissimilarity
Previous Article in Journal
RF-Driven Adaptive Surrogate Models for LoRaDisC Network Performance Prediction in Smart Agriculture and Field Sensing Environments
Previous Article in Special Issue
Prediction of the Live Weight of Pigs in the Growing and Finishing Phases Through 3D Images in a Semiarid Region
 
 
Font Type:
Arial Georgia Verdana
Font Size:
Aa Aa Aa
Line Spacing:
Column Width:
Background:
Article

RGB Image Processing Allows Differentiation of the Effects of Water Deficit and Bacillusaryabhattai on Wheat

by
Jorge González Aguilera
1,*,
Eder Pereira Neves
2,*,
Adriano Rasia Maas
1,
Gabriel de Freitas Lima
1,
Beatriz Freitas de Souza
1,
Luiza Guidi Ganzella
1,
Fábio Steiner
1 and
Alan Mario Zuffo
3
1
Department of Crop Science, State University of Mato Grosso do Sul, Cassilândia 79540-000, MS, Brazil
2
Department of Mathematics, State University of Mato Grosso do Sul, Cassilândia 79540-000, MS, Brazil
3
Department of Agronomy, State University of Maranhão, Balsas 65800-000, MA, Brazil
*
Authors to whom correspondence should be addressed.
AgriEngineering 2026, 8(1), 28; https://doi.org/10.3390/agriengineering8010028
Submission received: 30 October 2025 / Revised: 13 December 2025 / Accepted: 24 December 2025 / Published: 12 January 2026

Abstract

This study aimed to develop a methodology to evaluate, through RGB image processing, the wheat cultivar TRIO Calibre under three irrigation levels (100, 50, and 25%), with or without the application of Bacillus aryabhattai, in Brazilian Cerrado soil. The experimental scheme was a 3 × 2 factorial design with five replicates. Images were collected, numbered, and organized into files, which were transformed to grayscale. During processing, the grayscale level co-occurrence matrix (GLCM) technique was applied and implemented in four main directions (0°, 45°, 90°, and 135°), and 13 statistical descriptors were extracted. At physiological maturity, the plants were harvested, and the following yield components were evaluated: plant height (PH), number of spikes per plant (NS), number of grains per spikes (NGS), average grain weight (AGW), and total prodution of grains (TPG). Irrigation influenced all the variables, with higher TPG and NS at 100% and 50% water and higher AGW at 25% water. The results indicated that the “contrast” descriptor in the 90° and 135° GLCM directions was the most efficient in differentiating treatments, which presented better performance in the 90° direction and was significantly correlated with the NS ( r = 0.48 , p < 0.05 ) and TPG ( r = 0.46 , p < 0.05 ). The analyses demonstrated that the methodology has the potential to be adapted for the analysis of under controlled conditions, contributing to more sustainable agricultural practices.

1. Introduction

Wheat (Triticum aestivum) is the second most cultivated cereal on the planet, being a source of approximately 20% of calories and proteins worldwide as basic food to the fence of 1.5 billion people [1,2]. In the few two decades, technological, genetic and agronomic advances have increased the average wheat yield [3].
Brazil occupies the 15th position in ranking among countries that produce more producers worldwide [2,4]. Brazilian Cerrado presents characteristics that make it one of the Brazilian biomes more productive for the cultivation of wheat [5]. The main characteristics include warm and dry climates, biodiversity, and soil of varying fertility. In this region, the producers apply techniques aimed at managing sustainable agriculture, what have if characterized for the use of defensive biological practices, agricultural sustainability and one change of paradigms in relationship the conservation of soil and biodiversity [6]. The Cerrado has a seasonal tropical climate, with a seasonally well defined drought, which is ideal for growing wheat and allows the avoidance of problems with germination in the spikes [5,7]. The soil in the Cerrado region is poor, which limits wheat production. At the same time, the climatic conditions favor the crop, meaning that remediating soil fertility contributes to the expansion of wheat cultivation in these regions, transforming these soils into suitable ones for the crop [8,9,10,11]. Brazilian Cerrado it presents a challenge for chronic water, with irregular rainfall, especially in the spiking phenophase of wheat, high water demand, which, without enough water, reduces the number of ears of corn and grains, which impacts income [12,13,14]. The use of technologies such as irrigation can be implemented to increase the productivity of wheat and other crops [14].
This water vulnerability highlights the need to adopt resilient crops, manage efficiently from water, improve genetics, adapt these conditions, and develop technologies that are complementary to guarantee productivity in Brazilian Cerrado soils. Bacillus aryabhattai is one bacterium plant growth promoter (PGP), have received attention for their ability to mitigate abiotic stresses, such as drought, in wich crops, including wheat [15]. Studies have investigated the synthesis of phytohormones (IAA), the enzyme ACC-deaminase, which solubilizes phosphorus, potassium and zinc, in addition to stimulating the activity of enzymes, such as catalase (CAT), superoxide dismutase (SOD), and peroxidase (POD), contributing to greater germination, force and production under water stress [16]. In wheat, isolation of this microorganism has been demonstrated to improve the leaf content water, growth rate and yield under conditions of irrigation limited and high salinity [17,18]. Although many studies are still conducted under controlled conditions, field trials report that productivity increases in crops subjected to mild to moderate drought [19]. The deficit irrigation conditions when the crop is inoculated with B. aryabhattai suggest that the results favorable an alternative that is promising in tropical systems.
The use of images (RGB, multispectral and hyperspectral) in experiments in the field, if effective for discriminating treatments, can be used to monitor vegetative, reflection green, health leaf and plant vigor, determining soil organic matter, and soil color analysis content [20,21,22,23,24,25]. In the Cerrado, tactics experimental studies using images during the cultivation cycle can anticipate and predict positive responses in treatment with B. aryabhattai, even before differences visible the naked eye, enhancing decision agronomics. Thus, the combination of visual field data with biometric assessments strengthens the scientific basis, provides greater robustness to the analyses and supports the adoption of this microbiological remediator in the management of water deficit in wheat crops.
The analysis carried out from images allows the establishment of relation ships that offer the value of certain elements that make up the cultivar under study [26]. According to Ram et al. [27], image collection is rich in data for solving agricultural problems, such as detecting diseases, weeds and water stress, as well as in crop monitoring, nutrient application, soil mineralogy analysis, productivity estimation and cultivar classification.
Among the various image processing techniques that explore this potential, those that stand out on the basis of texture analysis provide data statisticians capable of complementing and reinforcing analyses of the agronomic characteristics of cultivars [28]. For Juwono et al. [29], when processing images, a texture can be considered one set of similarities in one image. There are typically four types of texture features: statistical, structural, model based features and features obtained through transformations. The author emphasized that the analysis of the descriptor statistics of image textures is the most suitable for applications agronomics because they present characteristics that correlate with the metrics collected in real experiments [29].
Among the statistical techniques most commonly used for this purpose, GLCM stands out. The matrix proposed by Haralick et al. [30] allows the extraction of descriptors texturally from the relationship spatial distribution between the intensity levels of the image pixels [30,31]. According to Löfstedt et al. [31] in the analysis of textures via image features plays a fundamental role in various aplicattion of processing of images. Among them, stand out those that use this type of analysis texture to identify corn leaf diseases [32], in the analysis of breast tumors in images [33,34] and in the evaluation of voice signals [35], showing the diversity of uses of this technique.
The present study aimed to develop and validate a methodology for the assessment of a cultivar of wheat, TBIO Calibre, via the processing of images as a tool for analysis. The experiment was conducted considering three controlled levels of irrigation (100, 50 and 25%), with and without the application from the bacterium B. aryabhattai, at the environmentally controlled in Brazilian Cerrado soil. This approach allowed us to investigate, of both quantitative and destructive effects, combined water availability and, inoculation of bacterial on the development and physiological performance and production of wheat.

2. Materials and Methods

2.1. Conditions Experimental

The experiment was driven under greenhouse conditions, located at the Unit University of Cassilândia from the State University of Mato Grosso do Sul (UEMS), in Cassilândia, Mato Grosso do Sul, Brazil (19°0520 S; 51°4824 W and average altitude of 510 m), from January to July 2025. The soil used to fill the pots was Neossolo Quartzarênico (NQ), collected in the UEMS of Cassilândia represented the Brazilian Cerrado soil. This soil is characterized by its predominantly sandy texture, with 120 g kg−1 of clay, 40 g kg−1 of silt and 840 g kg−1 of sand. Prior to the installation of the experiment, a chemical analysis of the soil was carried out, the results of which guided the correction and fertilization plan.
In the implantation of experiment each pot, with a capacity of 8 L, it received 6 g of mineral fertilizer formulated 4-20-20 (N-P2O5-K2O) and 3. 0 g of limestone as a soil improver. Was employed in the cultivation of wheat TBIO Calibre. Two fertilizers with corrective, a urea base, were used to supply nitrogen, with applications of 31 g per pot. The control of pests, diseases and plant weeds was carried out according to the needs of the crop.

2.2. Experimental Design

In the experimental design adopted, were completely randomized, in a factorial 3 × 2 scheme, with five repetitions, resulting in 30 pots (plots). The first factor consists of three irrigation regimes [T1: control without water deficit (100% of field capacity); T2: 50% capacity field, and T3: 25% of field capacity]. The volume of water needed to saturate the soil in the 100% irrigation treatments was estimated by adding water and determining the soil’s saturation requirement. The volume was measured using a graduated probe. After verifying soil saturation and draining excess water, the volume of water to be applied in the other treatments was estimated, aiming to achieve 50% and 25% of the volume used to saturate the soil to 100%. The applied water stress was initiated when more than 50% of the plants presented ears, marking the beginning of the reproductive phase [36], a critical period for the crop. The stress period lasted 28 days, with start and end dates according to the crop’s phenology.
A second factor consisted of two levels of application from the bacterium (with and without application). To perform the treatments of inoculation, 15 pots of each cultivar received the bacteria B. aryabhattai via inoculation directly into the pot, following the recommendations from the manufacturer, applying 5 mL per pot ( 5.0 × 10 9 CFU mL−1), whereas the remaining 15 pots of each cultivar served as controls, without inoculation and applied water in the same proportion. The product employee was Acta Ary (Acta Bio, Jaboticabal, São Paulo) containing B. aryabhattai isolate CMAA 1363, with a concentration minimum of 1.0 × 10 9 colony forming units per milliliter (CFU mL−1) of inoculant.

2.3. Processing and Extration of Descriptors from the Image

The images were collected in a studio set up at the location where the experiment was being conducted. The vases were selected and positioned in front of a Canon EOS R6 Mark II camera equipped with an EF 70–200 mm f/2.8 L USM lens, Canon, Ōta, Tokio, Japon. The background used was a black panel, placed 1.5 m away, while the camera remained on a tripod with a height of 1 m. The RGB images obtained were later organized into specific directories.

2.4. Implementation Computational Analysis of the GLCM and Extraction of Descriptors

The computational implementation involves four fundamental processes: preprocessing, quantization, application of the GLCM technique, and finally, extraction of the descriptors.
In pre-processing, RGB images are organized into specific directories according to the treatments, and each image is converted to monochrome space, grayscale, preserving the original image.
During preprocessing, RGB images are organized into specific directories according to the treatments, and each image is converted to monochrome grayscale, preserving the original image.
The quantized value of the pixel I q ( i , j ) from the original image I ( i , j ) , located at position ( i , j ) and with intensity in the range [ 0 , 255 ] , is given by
I q ( i , j ) = I ( i , j ) · L 1 255 ,
where L denotes the desired number of quantization levels.
After this step, the spatial relationships (direction and distance) between pixels are defined, allowing the calculation of the frequencies of occurrence of intensity pairs, which make up GLCM.
GLCM is a matrix P ( i , j , D , θ ) that expresses the frequency with which pairs of pixels with intensity values i and j occur in a given relative position in an image, considering a distance D and an angular direction θ . According to Löfstedt et al. [31], the commonly analyzed directions are 0°, 45°, 90°, and 135°, represented by Equations (2)–(4) and (5), respectively. The distance between pixels generally used is 1 pixel, although variations are possible depending on the characteristics of each application [30].
M ( i , j , D , 0 ) = # { [ ( a , b ) , ( c , d ) ] V : | a b | = D , b d = 0 , G ( a , b ) = i e G ( c , d ) = j }
M ( i , j , D , 45 ) = # { [ ( a , b ) , ( c , d ) ] V : a c = D , b d = D , G ( a , b ) = i e G ( c , d ) = j }
M ( i , j , D , 90 ) = # { [ ( a , b ) , ( c , d ) ] V : a b = 0 , | b d | = D , G ( a , b ) = i e G ( c , d ) = j }
M ( i , j , D , 135 ) = # { [ ( a , b ) , ( c , d ) ] V : a b = D , b d = D , G ( a , b ) = i e G ( c , d ) = j }
where # denotes the number of elements in the set. The normalized cooccurrence matrix is
P ( i , j , D , θ ) = M ( i , j , D , θ ) i , j = 0 N 1 [ M ( i , j , D , θ ) ]
where i is the row number, j is the column number, M ( i , j ) is the cell content, P ( i , j ) is the probability of cell ( i , j ) , and N is the number of rows or columns, since M is a square matrix. The variable D represents the distance between neighbors in the analyzed direction; in this work, D = 1 was considered.
Using GLCM, it is possible to calculate various statistical descriptors that capture the textural properties of the image, as illustrated in Table 1.
The performance of GLCM depends strongly on image quantization, the choice of distance and direction, and the spatial resolution, parameters that will be selected based on the significance of the descriptors evaluated as part of the image processing. Figure 1 represents an example of an original image (Figure 1a) and transformed to grayscale (Figure 1b) obtained in the TBIO Calibre cultivar with an irrigation level of 25% and application of the bacterium B. aryabhattai. The Matrix (Figure 1c) presents the results of the GLCM process obtained from the grayscale image (Figure 1b) and Table 1 describes the 13 descriptors estimated by Haralick et al. [30] and calculated in this same process. The descriptors presented in Table 1 are used as variables to compare the treatments proposed in the experiment.
Initially, the descriptors obtained they were employees in one ANOVA, being evaluated the performance of each of them when considering the treatments applied, in order to select those that best separate you treatments.

2.5. Assessment of Production Components

When the wheat cultivar reached physiological maturity [36], the plants from each of the applied treatments were used to determine the following production components: plant height (PH, cm), number of spikes per plant (NS, unit), number of grains per spike (NGS, unit), average grain weight (AGW, g), and total prodution of grain (TPG, g). The plants were taken to the laboratory and, using a measuring tape, plant height was estimated. The spikes were individualized by plant within each pot, threshed manually, and the number of grains per plant was counted. After counting, the weight of the grains per plant and per pot was estimated using a precision scale.

2.6. Statistical Analysis

For statistical analysis, the collected data were subjected to analysis of variance (ANOVA), and treatment means were compared using Tukey’s test at 5% probability ( p < 0.05 ). The analyses were performed using the RBio statistical software version 236 [37]. Correlation analyses between variables were applied to investigate the relationship between growth parameters, were selected the best combination of the descriptor and angle of acquisition of the parameters associated with the grayscale image transformation.

3. Results

3.1. Processing of Images and Analysis

After applying the stress water in the plants and completing the cycle the crop cycle, images were obtained, and with them, a new grayscale image was generated, as illustrated in Figure 2. The values obtained for the 13 descriptors were different from those of the four angles (0°, 45°, 90° and 135°) of obtaining the images, as an example, Table 2 shows the information obtained at 25% irrigation level and application of the bacteria B. aryabhattai. In Figure 2a–f, the RGB images represent the treatments applied and in Figure 2g–l, the respective images transformed into grayscale, all of them considering the evaluated factors (irrigation levels and application of B. aryabhattai).
When considering the interactions between the factors (irrigation, bacteria and descriptors), no triple interactions were observed, and only a few double interactions were significant ( p < 0.05 ), specifically for the variables in the angular directions of the GLCM 90° and 135° in the I × D interaction, as highlighted in Table 3. When the directions 0° and 45° were analyzed as variables, only a few descriptors tested showed significant differences ( p < 0.05 ). The coefficients of variation (CV) for all variables were adequate, not exceeding 30%, which demonstrates the precision of the data obtained in the experiment for all variables corresponding to the angular directions of the GLCM, as highlighted in Table 3.
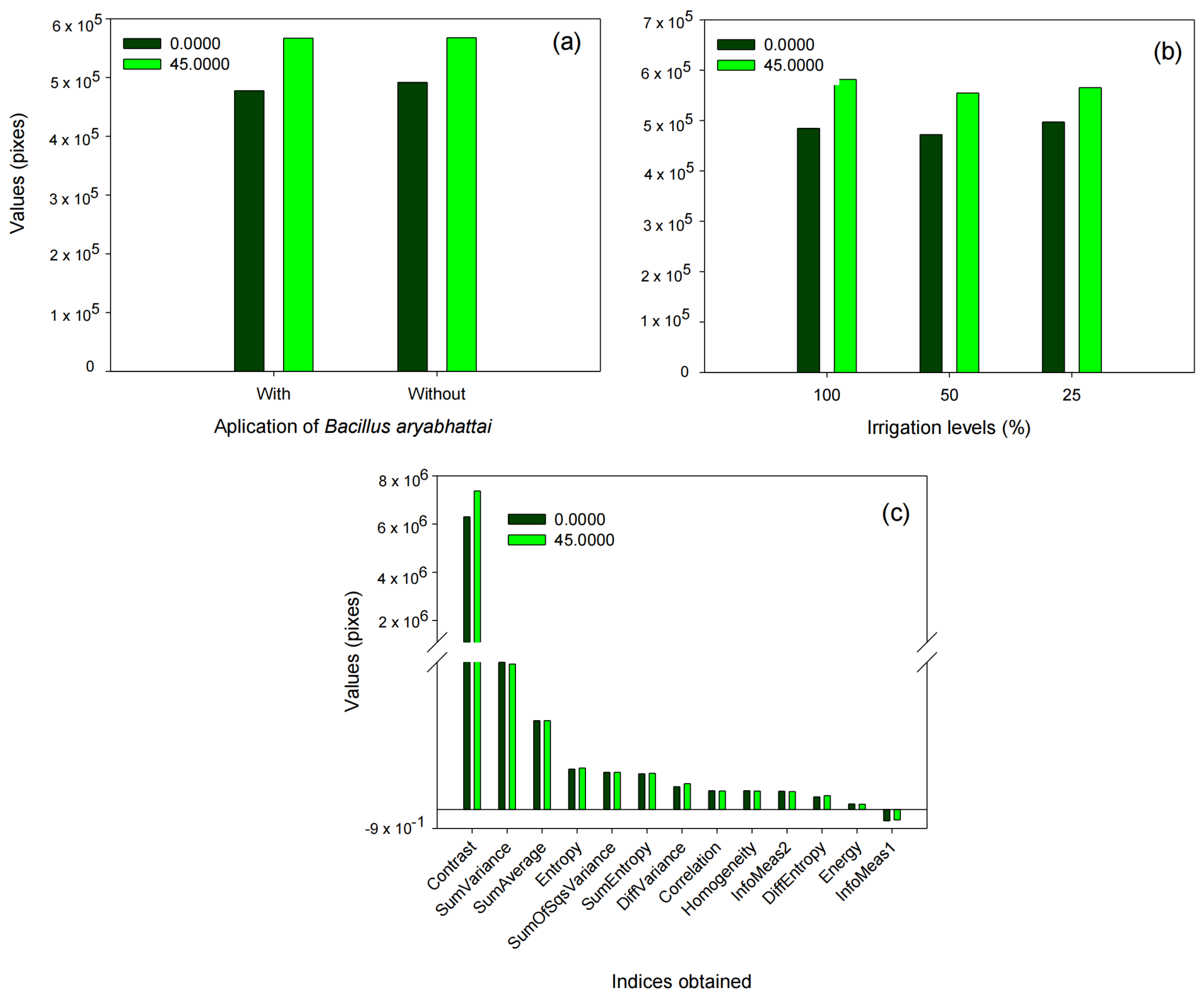
The results of the variables that did not present significant interactions are illustrated in Figure 3. Figure 3a shows the interaction between the use of the bacterium B. aryabhattai and the angular directions of the GLCM (0° and 45°) tested. Regardless of the direction of the GLCM evaluated, no significant differences were detected when the presence or absence of B. aryabhattai was compared. However, the values generated between the two angular directions evaluated presented different magnitudes, with maximum values in the 45° direction (Figure 3a).
The results for the variables that did not show significant interactions are illustrated in Figure 3. Figure 3a, shows the interaction between the use of the bacterium B . a r y a b h a t t a i and the angular directions of the GLCM (0° and 45°) tested. It can be shown that, regardless of the GLCM direction evaluated, no significant differences were observed when comparing the presence or absence of B . a r y a b h a t t a i . However, the values generated between the two angular directions evaluated showed different magnitudes, with maximum values in the 45° direction (Figure 3a).
When considering the irrigation levels in the variables in the angular directions (0° and 45°), it is observed that, for each angular direction, there were no significant differences between the irrigation levels tested (Figure 3b). When comparing the 0° and 45° directions in the 13 descriptors, it is observed that the results were preserved in both directions, with the Contrast descriptor being the only one that differed from the other 12 descriptors in all directions evaluated (Figure 3c).
The interactions between the descriptors and irrigation were significant when considering the angular directions of 90° and 135° (Table 4). When relating the descriptors and the irrigation levels in the 90° direction, it is observed that, regardless of the irrigation level applied, the Contrast descriptor presented higher values than the other 12 descriptors obtained. Now, when comparing, within each descriptor, the different irrigation levels, it can be seen that only in the Contrast descriptor were significant differences manifested, with the highest values in the 50% and 25% irrigations, which differed significantly from the 100% level (Table 4), showing that the variation obtained when transforming the image to gray scale allows the differentiation of treatments.
In Table 4, when relating the descriptors and the irrigation levels at the 135° angle, it is observed that, regardless of the irrigation level applied, the Contrast descriptor was superior to the other 12 descriptors obtained. When compared within each of the descriptors and observing the irrigation levels, the same behavior is observed as at the 90° angle (Table 4), where it is verified that only in the Contrast descriptor are significant differences manifested, with the highest values at 50% irrigation, differing significantly from the irrigation levels of 100% and 25%.

3.2. Effect of the Treatments and Components of Production

When evaluating the variables related to the production components for wheat subjected to various irrigation levels and the application of B. aryabhattai and their interaction, the ANOVA results are shown in Table 5. It was observed that only the B × I interaction for the WGP variable was significant ( p < 0.05 ). Among the bacteria factor, the PH and NS variables showed significant differences ( p < 0.05 ); however, in the irrigation factor, all variables showed significant differences ( p < 0.05 ) by the ANOVA F test (Table 5). The CV obtained were low, values below 20%, and are considered adequate for experiments under controlled greenhouse conditions. When considering the bacteria factor and the variables that did not show interaction, it was found that in PH the application of B. aryabhattai stimulates the variable with an increase of 7% in relation to non-application (Table 6).
In the NS variable, a behavior opposite to PH was observed, with an increase (13%) in the number of spikes in favor of the absence of application of the bacteria B. aryabhattai. For the variables NGS and AGW, no statistical differences were manifested between the presence and absence of B . a r y a b h a t t a i (Table 6). For the irrigation factor in the variables PH, NS, and NGS, the same results were obtained, with superiority of the treatments with 100% and 50%, with no statistical differences between them ( p < 0.05 ), evidencing the detrimental effect of the applied water stress, which is more accentuated when 25% of the field capacity was applied. For the variable AGW, the behavior was inverse, the variables mentioned above, with superiority for the irrigation treatment with 25% (Table 6), evidencing that the most severe stress, at the same time that it generated a smaller number of spikes), a smaller number of grains per spike, and a smaller plant height, promoted a greater weight of the grains that were produced in relation to 100% and 50%, as a compensatory effect of the plant.
When considering the interaction between the factors I × B for the variable total grain weight per pot, the comparisons are shown in Table 7. When considering the comparison in the presence of B. aryabhattai, it was observed that there was differentiation within the irrigation levels with no statistical differences ( p < 0.05 ) between the levels of 100% and 50%, which represents that the bacteria can attenuate the effect of the 50% deficit applied and maintain grain production at 80% in relation to the 100% level. Regarding the production with a 25% water deficit, the result shows that the use of the bacteria allows maintaining up to 43% of the production at this irrigation level. In the absence of B. aryabhattai, a differentiation is observed between all the irrigation levels evaluated, maintaining the 100% level as the highest value for grain weight per pot with 20.55 g, which represents 320% more production compared to that obtained at the 25% level (Table 7). The production potential of the TBIO Calibre cultivar is reduced with increasing water stress, representing a production loss of 22% and 76% when irrigated with 50% and 25% of field capacity in greenhouse conditions and using soil from the Brazilian Cerrado, respectively.
When observing the comparisons in the absence and presence of B. aryabhattai within the irrigation level, it is observed that there was only differentiation at the 100% irrigation level ( p < 0.05 ), and within them the absence of B. aryabhattai was the one that promoted the highest values with 20.55 g, evidencing that in the condition of 100% water availability the bacteria was not advantageous since it is observed that there was a decrease of 23% in grain production (Table 7).

3.3. Correlations of Selected Descriptors with Production Components

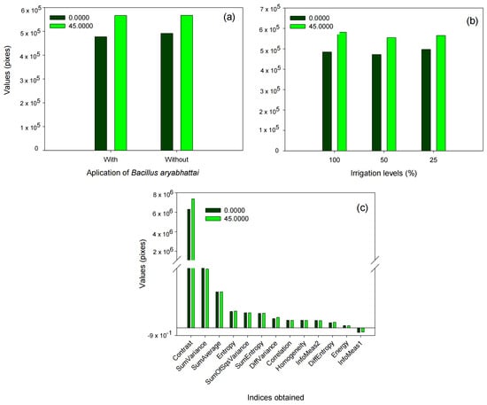
Correlation analyses were performed to determine the relationship that exists between the variables associated with the production components (PH, NS, NGS, AGW and TPG) and the variables associated with the transformation of the RGB images into grayscale (Contrast at 90° and Contrast at 135°) (Figure 4). Among the variables associated with the performance components, all correlations were significant, among them significant at 5% ( P H × N S , r = 0.48 ; N S × N G S , r = 0.44 ; N S × A G W , r = 0.44 ; and A G W × T P G , r = 0.37 ), at 1% ( P H × A G W , r = 0.58 ; and N G S × A G W , r = 0.53 ) and at 0.01% ( P H × N G S , r = 0.85 ; P H × T P G , r = 0.82 ; N S × T P G , r = 0.67 ; and N G S × T P G , r = 0.90 ) (Figure 4). When observing the correlations between the variables associated with the transformation of the grayscale images, it is observed that there is a significant correlation ( p < 0.01 ) between Contrast 90° × Contrast 135° ( r = 0.61 ) (Figure 4). When considering the combination of the variables of both groups (production and grayscale components), it is observed that only significant correlations were obtained in Contrast 90 with NS ( r = 0.48 , p < 0.05 ) and TPG ( r = 0.46 , p < 0.05 ). These correlations obtained show that the transformation of the image into grayscale is able to capture the variation obtained in the measured variables (NS and TPG), and show that among the variables associated with the transformation of the RGB image into grayscale, the best combination is the use of the Contrast descriptor and the 90° angle, as this combination shows correlations with two of the measured variables among the wheat crop production components.

4. Discussion

Transformations of RGB images into grayscale images have been used in other studies [20,23,28]. However, sophisticated methods have used this transformation and have generated diverse results in various areas [31,32,34,38,39]. This study suggests the use of RGB images transformed into grayscale, and the descriptor contrast and angle of 90° are the best predictors of the variations obtained in the wheat cultivar TBIO Calibre, which is irrigated with three levels of deficit water (100, 50 and 25% from the capacity of the field), and the application from the bacterium B. aryabhattai (absent and present) in specific conditions of a soil from the Cerrado of Mato Grosso do Sul, where conditions that are predominantly challenging for crop.

4.1. Selection of the Best Descriptors

In this work, texture descriptors based on the proposal by Haralick et al. [30] were used from RGB images. The images were converted to grayscale, a procedure that represented the main modification performed (Figure 1) and allowed obtaining the 13 descriptors analyzed. This transformation highlights texture characteristics that may reflect plant growth [19,20], leaf surface morphology, and its close relationship with variations observed under specific biotic [15] or abiotic [28] stress conditions. The selection of texture descriptors based on the proposal by Haralick et al. [30], extracted from the GLCM, was evaluated. Among the most appropriate descriptors, the basic information of the experiment was considered, in which the descriptors, the level of water stress (100%, 50% and 25%) and the presence or absence of the bacterium B. aryabhattai were defined as analysis factors. The results indicated that only the Contrast descriptor, associated with the 90° and 135° angles among the 52 possible combinations (13 descriptors × 4 angles), showed discriminatory capacity between the treatments. Among the angles, a better result was observed when considering the combination of the Contrast descriptor combined with the 90° angle (Table 4). For this evaluation, the image processing allows for a greater capacity to differentiate the treatments, mainly by capturing structural patterns and texture variations more directly associated with the development of the plants in the analyzed images [30]. Among the 13 descriptors, the Contrast descriptor proved to be the most sensitive for detecting changes in plant textural characteristics, reflecting variations caused by water deficit. Previous studies have shown that it is possible to use images to monitor water deficit in rice [40], as an objective and noninvasive tool capable of detecting abiotic stress in smart agricultural systems. Mohammed et al. [21] and Heinemann et al. [20] optimized drone-based phenotyping with RGB images in wheat breeding population tests, as crop improvement strategies. Unlike the authors, our approach uses RGB images obtained from professional cameras, which can make the process less costly and offers similar gains compared to descriptors obtained from image transformation. Although the use of multispectral images has currently been highlighted in relation to RGB [20,23], the usefulness of RGB is still important for detecting changes in the development and senescence of wheat based on the evaluation of the phenotype [20,21,23].

4.2. Deficit Water and Your Effect on Components of Production

Water deficit represents one of the main problems among the abiotic stresses that affect the survival of plants such as rice [40], soybean [41], sugarcane [42], corn [43,44,45], wheat [46,47,48,49,50], among other crops. Depending on the intensity and timing of water stress, it can lead to total crop loss [40,47]. It is the lack or absence of water availability during a critical period for the plant, in which physiological performance is compromised and, consequently, productivity is limited [49]. In the wheat evaluated, considering the image descriptors and the measured variables, it was evident that the applied water deficit (50 and 25%) promotes a decrease in crop productivity (Table 6 and Table 7), when considering the agronomic variables and the descriptor Contrast with the 90° angle (Table 4). Recent studies have demonstrated the importance of bacterial inoculation in mitigating the effects of water stress in wheat [47,48,49,51]. The mechanisms of action of this interaction are based on competition for space and nutrients with plant pathogens, increased nutrient availability and absorption, production of a wide range of active and bioprotective compounds, and induction of systemic stress tolerance as their main functions [18,52]. These functions highlight the remedial potential of Bacillus and the importance of their use in different production agrosystems.

4.3. Relationships Between You Descriptors Selected and You Components of Production

It was observed that treatments subjected to 50% and 100% water stress, associated with inoculation with B. aryabhattai, presented better performance in relation to all agronomic variables analyzed. This finding was evident and correlated during the collection of descriptors from the processed images. The use of the GLCM technique, combined with the descriptors of Haralick et al. [30], made it possible to obtain a data set that presented a strong correlation with the crop performance indicators (Figure 4). This approach highlighted the ability to differentiate between treatments, allowing the identification of the variation that the applied stress promotes in the plants and, as a consequence, differentiating the treatment that promotes greater productive potential (100%) in contrast to the 25%. The GLCM technique allowed identifying relevant features in the images by analyzing their structure in the 90° direction in relation to the reference pixel [30,31]. When combined with the Haralick Contrast descriptor, this approach evidenced significant variations in texture patterns, directly associated with the physiological responses of the crop under different irrigation and inoculation conditions of the B. aryabhattai bacterium. This result is in line with the research of Zhou et al. [53], which demonstrated that the 90° direction provided superior performance when associated with the Contrast descriptor, together with other descriptors analyzed in their tests, reinforcing its potential in discriminating texture patterns in GLCM based analyses [54,55,56].
The technique described for asays of this work can be employed in abiotic and abiotic stress experiments, promoting an improvement in the assessment of damage that can occur under these conditions. Although our experiment was conducted under controlled conditions, future work could demonstrate the application of this technique to field experiments. The ease with which images are obtained and processed ensures a rapid response with a high level of accuracy, allowing us to accurately recommend and select treatments and genotypes.

5. Conclusions

Among the descriptors tested, the Contrast descriptor, when used in the 90° direction of the GLCM, showed the greatest sensitivity in detecting changes in leaf texture, reflecting leaf changes caused by water deficit. This approach allowed for precise differentiation between treatments, providing objective metrics regarding the yield variables analyzed. The application of the bacterium B. aryabhattai proved promising for the climate and soil of the Brazilian Cerrado region, contributing to the mitigation of applied water stress. Thus, the use of bacteria represents a sustainable strategy to optimize irrigation management and wheat production efficiency, allowing better exploration of the agricultural potential of regions with challenging soil and climatic conditions.

Author Contributions

Conceptualization, J.G.A. and E.P.N.; Data curation, J.G.A., E.P.N., A.R.M., G.d.F.L., L.G.G. and B.F.d.S.; Formal analysis, J.G.A., E.P.N., A.R.M., G.d.F.L., L.G.G., B.F.d.S., F.S. and A.M.Z.; Funding acquisition, J.G.A.; Investigation, J.G.A., E.P.N., A.R.M., G.d.F.L., B.F.d.S., L.G.G., F.S. and A.M.Z.; Methodology, J.G.A., E.P.N., A.R.M., G.d.F.L., B.F.d.S., L.G.G., F.S. and A.M.Z.; Project administration, J.G.A.; Resources, J.G.A., A.R.M. and A.M.Z.; Software, J.G.A., E.P.N. and A.M.Z.; Supervision, J.G.A.; Validation, J.G.A., E.P.N., A.R.M., G.d.F.L., B.F.d.S., L.G.G. and F.S.; Visualization, J.G.A., E.P.N., A.R.M., G.d.F.L., B.F.d.S., L.G.G. and F.S.; Writing—original draft, J.G.A., E.P.N., A.R.M., G.d.F.L., B.F.d.S., L.G.G., F.S. and A.M.Z.; Writing—review & editing, J.G.A., E.P.N., A.R.M., G.d.F.L., B.F.d.S., L.G.G., F.S. and A.M.Z. All authors have read and agreed to the published version of the manuscript.

Funding

This study was financed in part by the Conselho Nacional de Desenvolvimento Cientifico e Tecnológico—CNPq [PQ 312145/2025-0 (J.G.A.) and PQ 306867/2025-7 (F.S.)]. We thank FUNDECT for the financial support in the Project: PGAC promoting sustainable agriculture in the Bolsão Region South Mato Grosso - FUNDECT No.: 403/2024; SIAFIC No.: 229.

Institutional Review Board Statement

Not applicable.

Informed Consent Statement

Not applicable.

Data Availability Statement

The data presented in this study are available within the article. Further inquiries can be directed to the corresponding authors.

Conflicts of Interest

The authors declare that they have no known competing financial interests or personal relationships that could have influenced the work reported in this paper.

References

  1. FAO Food and Agriculture Organization of the United Nations. Crops and Livestock Products. 2023. Available online: http://www.fao.org/faostat/en/#data/QC (accessed on 25 January 2025).
  2. CONAB Companhia Nacional de Abastecimento. Acompanhamento de Safra Brasileira: Grãos. Terceiro Levantamento, Dezembro 2022. Available online: https://www.conab.gov.br/component/k2/item/download/45427_510a1459a11d50bd53a250780fea86a4.pdf (accessed on 25 January 2025).
  3. Borém, A.; Miranda, G.V.; Fritsche-Neto, R. Melhoramento de Plantas, 8th ed.; Oficina dos Livros: São Paulo, Brazil, 2021. [Google Scholar]
  4. Casagrande, C.R.; Mezzomo, H.C.; de Sousa, D.J.P.; Santos, C.V.d.; Yamanaka, C.H.; Olivoto, T.; Dias, K.O.d.G.; Borém, A.; Nardino, M. Envirotypes applied to evaluate the adaptability and stability of wheat genotypes in the tropical region in Brazil. Euphytica 2024, 220, 27. [Google Scholar] [CrossRef]
  5. Mieth, F.M.; dos Santos, E.D.; Follmann, D.N.; Pereira, A.C.; Raddatz, R.I. Evaluation of top-dressing fertilization with nitrogen for the morphophysiology of wheat crops. Agron. Colomb. 2024, 42, e113430. [Google Scholar] [CrossRef]
  6. Soares, D.C.; Bonfim-Silva, E.M.; Da Silva, T.J.; Anicésio, É.C.; Duarte, T.F.; Oliveira, J.R. Growth and production of wheat cultivars under water tensions in Cerrado soil. Rev. Bras. Eng. AgríCola Ambient. 2023, 27, 279–286. [Google Scholar] [CrossRef]
  7. Rigatti, A.; Meira, D.; Olivoto, T.; Meier, C.; Nardino, M.; Lunkes, A.; Klein, L.A.; Fassini, F.; Moro, É.D.; Marchioro, V.S.; et al. Grain yield and its associations with pre-harvest sprouting in wheat. J. Agric. Sci. 2019, 11, 142–150. [Google Scholar] [CrossRef]
  8. Montezano, Z.F.; Corazza, E.J.; Muraoka, T. Variabilidade espacial da fertilidade do solo em área cultivada e manejada homogeneamente. Rev. Bras. Ciência Solo 2006, 30, 839–847. [Google Scholar] [CrossRef]
  9. Zonta, J.H.; Brandão, Z.N.; Medeiros, J.D.C.; Sana, R.S.; Sofiatti, V. Variabilidade espacial da fertilidade do solo em área cultivada com algodoeiro no Cerrado do Brasil. Rev. Bras. Eng. Agrícola Ambient. 2014, 18, 595–602. [Google Scholar] [CrossRef]
  10. Reis, D.A.; Portella, R.B. Atributos físico-hídricos de um latossolo cultivado com algodão sob plantio convencional e sistema plantio direto no cerrado brasileiro. Int. Contemp. Manag. Rev. 2024, 5, e174. [Google Scholar]
  11. Júnior, O.J.F.; dos Santos, A.C.; Júnior, C.H.N.; Mendes, F.C.; de Queiroz Ramalho, T.A.; de Sousa, W.L.; Teixeira, M.M.; Aguiar, G.R.; Flor, M.V.C. Spatial distribution of soil chemical properties in the cerrado of Tocantins. Rev. Eng. -Agric.-Reveng 2021, 29, 335–346. [Google Scholar] [CrossRef]
  12. Trindade, M.D.G.; Stone, L.F.; Heinemann, A.B.; Cánovas, A.D.; Moreira, J.A. Nitrogênio e água como fatores de produtividade do trigo no cerrado. Rev. Bras. Eng. Agrícola Ambient. 2006, 10, 24–29. [Google Scholar] [CrossRef][Green Version]
  13. Júnior, W.R.; Ramos, M.L.G.; Vasconcelos, U.; da Glória Trindade, M.; Ferreira, F.M.; Siqueira, M.M.H.; da Silva, H.L.M.; Rodrigues, G.C.; Guerra, A.F.; Rocha, O.C.; et al. Fenotipagem para tolerância à seca visando o melhoramento genético do trigo no cerrado. Embrapa Trigo. Circular Tecnica 21. Passo Fundo, RS Dezembro, 2006. Available online: https://www.cnpt.embrapa.br/biblio/ci/p_ci21.pdf (accessed on 18 April 2025).
  14. dos Anjos Antonini, J.C.; Muller, A.G.; de Oliveira, A.D.; Ribeiro, F.P.; Chagas, J.H.; Sussel, A.A.B.; Malaquias, J.V.; Santos, M.V.A.d.; Albrecht, J.C. Winter wheat irrigation parameters in the Brazilian Cerrado. Aust. J. Crop Sci. 2024, 18, 99–106. [Google Scholar]
  15. dos Santos Lopes, M.J.; Cardoso, A.F.; Dias-Filho, M.B.; Gurgel, E.S.C.; da Silva, G.B. Brazilian Amazonian microorganisms: A sustainable alternative for plant development. AIMS Microbiol. 2025, 11, 150. [Google Scholar] [CrossRef] [PubMed]
  16. Mendes, D.F.; Cabral, F.R., Filho; de Andrade, C.L.L.; Ventura, M.V.A. Root and aerial growth of corn subjected to different biological managements in seed treatment with B. aryabhattai. Braz. J. Sci. 2025, 4, 39–46. [Google Scholar] [CrossRef]
  17. Mehmood, S.; Khan, A.A.; Shi, F.; Tahir, M.; Sultan, T.; Munis, M.F.H.; Kaushik, P.; Alyemeni, M.N.; Chaudhary, H.J. Alleviation of salt stress in wheat seedlings via multifunctional B. aryabhattai PM34: An in-vitro study. Sustainability 2021, 13, 8030. [Google Scholar] [CrossRef]
  18. Castelo Sousa, H.; Gomes de Sousa, G.; de Araújo Viana, T.V.; Prudêncio de Araújo Pereira, A.; Nojosa Lessa, C.I.; Pires de Souza, M.V.; da Silva Guilherme, J.M.; Ferreira Goes, G.; da Silveira Alves, F.G.; Primola Gomes, S.; et al. B. aryabhattai mitigates the effects of salt and water stress on the agronomic performance of maize under an agroecological system. Agriculture 2023, 13, 1150. [Google Scholar] [CrossRef]
  19. Devi, N.S.A.; Kumutha, K.; An ham, R.; Krishnamoorthy, R.; Babu, R.; Gnanachitra, M. Plant growth promoting traits of firmibacteria under drought stress. Res. J. Agric. Sci. 2008, 9, 1294–1299. [Google Scholar]
  20. Heinemann, P.; Prey, L.; Hanemann, A.; Ramgraber, L.; Seidl-Schulz, J.; Noack, P.O. Enhancing model performance through date fusion in multispectral and RGB image-based field phenotyping of wheat grain yield. Precis. Agric. 2025, 26, 20. [Google Scholar] [CrossRef]
  21. Mohammed, A.; Ali, N.; Bais, A.; Ruan, Y.; Cuthbert, R.D.; Sangha, J.S. From fields to pixels: Uav multispectral and field-captured rgb imaging for high-throughput wheat spike and kernel counting. IEEE J. Sel. Top. Appl. Earth Obs. Remote Sens. 2024, 17, 17806–17819. [Google Scholar] [CrossRef]
  22. Wilke, N.; Siegmann, B.; Postma, J.A.; Muller, O.; Krieger, V.; Pude, R.; Rascher, U. Assessment of plant density for barley and wheat using UAV multispectral imagery for high-throughput field phenotyping. Comput. Electron. Agric. 2021, 189, 106380. [Google Scholar] [CrossRef]
  23. Cao, X.; Liu, Y.; Yu, R.; Han, D.; Su, B. A comparison of UAV RGB and multispectral imaging in phenotyping for stay green of wheat population. Remote Sens. 2021, 13, 5173. [Google Scholar] [CrossRef]
  24. Mansur, N.; Abbod, M. Machine learning-based estimation of soil organic matter using RGB values. Dysona-Appl. Sci. 2026, 7, 73–81. [Google Scholar] [CrossRef]
  25. Al-Naji, A.; Fakhri, A.B.; Gharghan, S.K.; Chahl, J. Soil color analysis based on a RGB camera and an artificial neural network towards smart irrigation: A pilot study. Heliyon 2021, 7, e06078. [Google Scholar] [CrossRef]
  26. Bi, C.; Bi, X.; Liu, J.; Xie, H.; Zhang, S.; Chen, H.; Wang, M.; Shi, L.; Song, S. Identification of maize kernel varieties based on interpretable ensemble algorithms. Front. Plant Sci. 2025, 16, 1511097. [Google Scholar] [CrossRef] [PubMed]
  27. Ram, B.G.; Oduor, P.; Igathinathane, C.; Howatt, K.; Sun, X. A systematic review of hyperspectral imaging in precision agriculture: Analysis of its current state and future prospects. Comput. Electron. Agric. 2024, 222, 109037. [Google Scholar] [CrossRef]
  28. Yin, H.; Yang, H.; Hu, Y.; Li, F.; Yu, K. Identifying optimized spectral and spatial features of UAV-based RGB and multispectral images to improve potato nitrogen content estimation. Smart Agric. Technol. 2025, 12, 101255. [Google Scholar] [CrossRef]
  29. Juwono, F.H.; Wong, W.K.; Verma, S.; Shekhawat, N.; Lease, B.A.; Apriono, C. Machine learning for weed–plant discrimination in agriculture 5.0: An in-depth review. Artif. Intell. Agric. 2023, 10, 13–25. [Google Scholar] [CrossRef]
  30. Haralick, R.M.; Shanmugam, K.; Dinstein, I. Textural features for image classification. IEEE Trans. Syst. Man Cybern. 1973, SMC-3, 610–621. [Google Scholar] [CrossRef]
  31. Löfstedt, T.; Brynolfsson, P.; Asklund, T.; Nyholm, T.; Garpebring, A. Gray-level invariant Haralick texture features. PLoS ONE 2019, 14, e0212110. [Google Scholar] [CrossRef]
  32. Zhu, H.; Chu, B.; Zhang, C.; Liu, F.; Jiang, L.; He, Y. Hyperspectral imaging for presymptomatic detection of tobacco disease with successive projections algorithm and machine-learning classifiers. Sci. Rep. 2017, 7, 4125. [Google Scholar] [CrossRef]
  33. Ma, Y.; Ma, L.; Zhang, Q.; Huang, C.; Yi, X.; Chen, X.; Hou, T.; Lv, X.; Zhang, Z. Cotton yield estimation based on vegetation indices and texture features derived from RGB image. Front. Plant Sci. 2022, 13, 925986. [Google Scholar] [CrossRef]
  34. Rezaee, Z.; Ranjan, S.; Solanki, D.; Bhattacharya, M.; Srivastava, M.P.; Lahiri, U.; Dutta, A. Feasibility of combining functional near-infrared spectroscopy with electroencephalography to identify chronic stroke responders to cerebellar transcranial direct current stimulation—A computational modeling and portable neuroimaging methodological study. Cerebellum 2021, 20, 853–871. [Google Scholar] [CrossRef]
  35. Neves, E.P.; Duarte, M.A.Q.; Vieira, J., Filho; de Abreu, C.C.E.; de Oliveira, B.R. Model predictive PESQ-ANFIS/FUZZY C-MEANS for image-based speech signal evaluation. Speech Commun. 2023, 154, 102972. [Google Scholar] [CrossRef]
  36. Scheeren, P.L. Informações Sobre o Trigo Triticum spp.; Embrapa Trigo: Passo Fundo, Brazil, 1986; 34p, Documentos, 2; Available online: https://www.infoteca.cnptia.embrapa.br/infoteca/bitstream/doc/843763/1/CNPTDOCUMENTOS2INFORMACOESSOBREOTRIGOTRITICUMSPPFL13606.pdf (accessed on 13 April 2025).
  37. Bhering, L.L. Rbio: A Tool For Biometric And Statistical Analysis Using The R Platform. Crop Breed. Appl. Biotechnol. 2017, 17, 187–190. [Google Scholar] [CrossRef]
  38. Montanez, J.J.F. Detection of Soil Nitrogen Levels via Grayscale Conversion: A Full-Factorial Design of Experiment Approach. Int. J. Comput. 2025, 17, 1–10. [Google Scholar] [CrossRef]
  39. Petrović, N.; Moyà-Alcover, G.; Jaume-i-Capó, A.; González-Hidalgo, M. Sickle-cell disease diagnosis support selecting the most appropriate machine learning method: Towards a general and interpretable approach for cell morphology analysis from microscopy images. Comput. Biol. Med. 2020, 126, 104027. [Google Scholar] [CrossRef] [PubMed]
  40. Yang, C.Y.; Zhang, Y.C.; Hou, Y.L. Assessing water status in rice plants in water-deficient environments using thermal imaging. Bot. Stud. 2025, 66, 6. [Google Scholar] [CrossRef] [PubMed]
  41. Steiner, F.; Zuffo, A.M.; da Silva Oliveira, C.E.; Ardon, H.J.V.; de Oliveira Sousa, T.; Aguilera, J.G. Can potassium fertilization alleviate the adverse effects of drought stress on soybean plants? Rev. em Agronegocio Meio Ambiente 2022, 15, e8240. [Google Scholar] [CrossRef]
  42. Silva, K.C.; Steiner, F.; Zuffo, A.M.; Ratke, R.F.; Aguilera, J.G. Índices de seleção para identificar variedades de ca-na-de-açúcar tolerantes à deficiência hídrica moderada e severa. Rev. em Agronegocio Meio Ambiente 2024, 17, e11215. [Google Scholar] [CrossRef]
  43. Zuffo, A.M.; Steiner, F.; Oliveira, A.M.; Ratke, R.F.; Aguilera, J.G.; Santos, A.S. Tamanho de sementes e estresse hídrico e salino na germinação do milho. Rev. em Agronegocio Meio Ambiente 2024, 17, e11420. [Google Scholar] [CrossRef]
  44. Vilas-Boas, J.K.; Steiner, F.; Zuffo, A.M.; Aguilera, J.G.; Alves, C.Z. Tolerance of high-yielding corn hybrids to early-season drought stress. Rev. Cienc. Agron. 2025, 56, e202493937. [Google Scholar] [CrossRef]
  45. Melo, S.S.; Barbosa, R.T.; de Oliveira, B.R.; Aguilera, J.G.; Zuffo, A.M.; Steiner, F. A dataset of 15 maize hybrids subjected to drought, salinity, and aluminum toxicity stresses. Trends Agric. Environ. Sci. 2025, e250002. [Google Scholar] [CrossRef]
  46. Zuffo, A.M.; Silva, F.C.S.; Mezzomo, R.; Barrozo, L.M.; Steiner, F.; Aguilera, J.G.; Oliveira, B.R.; Ratke, R.F.; Oliveira, G.C.; Moreira, K.M.M.; et al. Potential of RGB Spectral Information in the Selection of Wheat (Triticum aestivum L.) Genotypes Adapted to Early Drought and Salinity Stresses. J. Agron. Crop Sci. 2025, 211, e70060. [Google Scholar] [CrossRef]
  47. Lastochkina, O.V. Adaptation and tolerance of wheat plants to drought mediated by natural growth regulators Bacillus spp.: Mechanisms and practical importance. Agric. Biol. 2021, 56, 843–867. [Google Scholar] [CrossRef]
  48. Karimzad, L.; Khakvar, R.; Younessi-Hamzekhanlu, M.; Norouzi, M.; Amani, M.; Sabourmoghaddam, N. Drought tolerance induction in wheat by inoculation of seeds with a novel growth-promoting bacteria. Biocatal. Agric. Biotechnol. 2023, 47, 102594. [Google Scholar] [CrossRef]
  49. Barquero, M.; Poveda, J.; Laureano-Marín, A.M.; Ortiz-Liébana, N.; Brañas, J.; González-Andrés, F. Mechanisms involved in drought stress tolerance triggered by rhizobia strains in wheat. Front. Plant Sci. 2022, 13, 1036973. [Google Scholar] [CrossRef]
  50. Zuffo, A.M.; Aguilera, J.G.; Silva, F.C.D.S.; Mezzomo, R.; Barrozo, L.M.; Steiner, F.; Oliveira, B.R.d.; Soto, C.A.M.; Morales-Aranibar, C.G.; Linares-Gutiérrez, N.; et al. Multivariate Adaptability of Tropical Wheat Cultivars to Drought and Salinity Stresses. Plants 2025, 14, 1021. [Google Scholar] [CrossRef]
  51. Rashid, U.; Yasmin, H.; Hassan, M.N.; Naz, R.; Nosheen, A.; Sajjad, M.; Ilyas, N.; Keyani, R.; Jabeen, Z.; Mumtaz1, S.; et al. Drought-tolerant Bacillus megaterium isolated from semi-arid conditions induces systemic tolerance of wheat under drought conditions. Plant Cell Rep. 2022, 41, 549–569. [Google Scholar] [CrossRef]
  52. Roy, B.; Raghavendra, N.; Gupta, N.; Nighojkar, A. Isolation of Plant Growth-Promoting Microorganisms and Their Impact on Growth and Yield of Durum Wheat. Appl. Biochem. Microbiol. 2024, 60, 315–330. [Google Scholar] [CrossRef]
  53. Zhou, J.; Yan Guo, R.; Sun, M.; Di, T.T.; Wang, S.; Zhai, J.; Zhao, Z. The Effects of GLCM parameters on LAI estimation using texture values from Quickbird Satellite Imagery. Sci. Rep. 2017, 7, 7366. [Google Scholar] [CrossRef]
  54. Zhang, Y.; Huang, M.; Chen, Y.; Xiao, X.; Li, H. Land cover classification in high-resolution remote sensing: Using Swin Transformer deep learning with texture features. J. Spat. Sci. 2025, 70, 205–229. [Google Scholar] [CrossRef]
  55. Martín, L.; Medina, J.; Upegui, E. Assessment of image-Texture improvement applied to unmanned aerial vehicle imagery for the identification of biotic stress in espeletia. Case study: Moorlands of Chingaza (Colombia). Cienc. Ing. Neogranadina 2020, 30, 27–44. [Google Scholar] [CrossRef]
  56. Gonzalez, R.C.; Woods, R.E. Digital Image Processing, 4th ed.; Pearson: New York, NY, USA, 2018. [Google Scholar]
Figure 1. Image representative of one image original (a), image transformed at the scale of gray (b) and headquarters of data obtained for the GLCM the leave from the image transformed (c).
Figure 1. Image representative of one image original (a), image transformed at the scale of gray (b) and headquarters of data obtained for the GLCM the leave from the image transformed (c).
Agriengineering 08 00028 g001
Figure 2. Representation of the grayscale image processing of the TBIO Calibre wheat cultivar. Original image (af) and transformed to grayscale (gl). Treatment with 100% irrigation (a,d,g,j), 50% irrigation (b,e,h,k) and 25% irrigation (c,f,i,l). The bacteria B. aryabhattai were treated without application (ac,gi) or with application (df,j,k,l).
Figure 2. Representation of the grayscale image processing of the TBIO Calibre wheat cultivar. Original image (af) and transformed to grayscale (gl). Treatment with 100% irrigation (a,d,g,j), 50% irrigation (b,e,h,k) and 25% irrigation (c,f,i,l). The bacteria B. aryabhattai were treated without application (ac,gi) or with application (df,j,k,l).
Agriengineering 08 00028 g002
Figure 3. Comparison of the average values obtained when obtaining pixel data at the grayscale, considering an experiment with a wheat TBIO Calibre and application from the bacterium B. aryabhattai (a), irrigation with three different levels (b) and different descriptors obtained in combination with the 0° angles and 45° angles in grayscale images (c), obtained in an experiment with wheat in greenhouse conditions in Brazilian Cerrado soil.
Figure 3. Comparison of the average values obtained when obtaining pixel data at the grayscale, considering an experiment with a wheat TBIO Calibre and application from the bacterium B. aryabhattai (a), irrigation with three different levels (b) and different descriptors obtained in combination with the 0° angles and 45° angles in grayscale images (c), obtained in an experiment with wheat in greenhouse conditions in Brazilian Cerrado soil.
Agriengineering 08 00028 g003
Figure 4. Analysis of Pearson correlations obtained to compare variables associated with components of pro-duction of the wheat TBIO Calibre and the contrast descriptor at 90° and 135° angles, obtained by transforming RGB images to grayscale in an experiment with wheat under conditions of greenhouse in the soil of Brazilian Cerrado. Plant height (PH), number of spikes (NS), number of grains per spikes (NGS), average grain weight (AGW), total prodution of grains (TPG), descriptor contrast angle of 90° (Descriptor 90) and descriptor contrast in angle of 135° (Descriptor 135) were used. The correlation values with the symbols, and represent significant differences at 0.5, 0.1 and 0.01%, respectively. The diagonal of the figure represents the frequency of the data, and the curve is associated with the distribution of the data. Below the diagonal, the circles with a white background represent the combination of the data for each pair of variables, and the red line represents the curve associated with the distribution of these values.
Figure 4. Analysis of Pearson correlations obtained to compare variables associated with components of pro-duction of the wheat TBIO Calibre and the contrast descriptor at 90° and 135° angles, obtained by transforming RGB images to grayscale in an experiment with wheat under conditions of greenhouse in the soil of Brazilian Cerrado. Plant height (PH), number of spikes (NS), number of grains per spikes (NGS), average grain weight (AGW), total prodution of grains (TPG), descriptor contrast angle of 90° (Descriptor 90) and descriptor contrast in angle of 135° (Descriptor 135) were used. The correlation values with the symbols, and represent significant differences at 0.5, 0.1 and 0.01%, respectively. The diagonal of the figure represents the frequency of the data, and the curve is associated with the distribution of the data. Below the diagonal, the circles with a white background represent the combination of the data for each pair of variables, and the red line represents the curve associated with the distribution of these values.
Agriengineering 08 00028 g004
Table 1. Haralick descriptors computed from Gray Level Co-occurrence Matrix in the specified order.
Table 1. Haralick descriptors computed from Gray Level Co-occurrence Matrix in the specified order.
N° DescriptorsDescriptorsExpressions
1Contrast i = 1 N j = 1 N | i j | 2 P ( i , j )
2Energy i = 0 N 1 j = 0 N 1 P ( i , j ) 2
3Sum of squares variance i = 0 N 1 j = 0 N 1 ( 1 μ ) 2 P ( i , j )
4Entropy i = 0 N 1 j = 0 N 1 P ( i , j ) × log ( P ( i , j ) )
5Homogeneity i = 0 N 1 j = 0 N 1 1 1 + ( i + j ) 2 P ( i , j )
6Sum average j = 0 2 N 2 j P x + y ( j )
7Sum entropy i = 0 2 N 2 P x + y ( i ) log ( P x + y ( i ) )
8Sum variance j = 0 2 N 2 ( j μ x + y ) 2 P x + y ( j )
9Difference entropy i = 0 N 1 P x + y ( i ) log ( P x + y ( i ) )
10Difference variance j = 0 N 1 ( j μ x y ) 2 P x y ( j )
11Information measure of correlation 1 H X Y H X Y 1 max { H X , H Y }
12Information measure of correlation 2 1 exp [ 2 ( H X Y 2 H X Y ) ]
13Correlation i = 0 N 1 j = 0 N 1 { i × j } × P ( i , j ) { μ x × μ y } σ x × σ y
Source: Löfstedt et al. [31].
Table 2. Descriptors of Haralick in the four directions from the GLCM to process the image obtained in the cultivate TBIO Calibre with a 25% irrigation level and application of the bacteria B. aryabhattai.
Table 2. Descriptors of Haralick in the four directions from the GLCM to process the image obtained in the cultivate TBIO Calibre with a 25% irrigation level and application of the bacteria B. aryabhattai.
Descriptors */Direction45°90°135°
Contrast5,534,0326,797,8643,812,6146,880,852
Energy0.2706920.2575490.2731000.255284
Sum Of Sqs Variance1.6184311.6182171.6177591.618217
Entropy1.8650701.9238311.8126261.930911
Homogeneity0.8987850.8813660.9098950.879230
Sum Average4.1662624.1662714.1659394.166271
Sum Entropy1.6622651.6850251.6514211.690642
Sum Variance6.4038156.3064596.5126386.296226
DiffEntropy0.5701430.6336630.5077930.638811
DiffVariance0.9934991.1599980.8070471.172687
InfoMeas1− 0.556354−0.510724−0.596678−0.505243
InfoMeas20.8732040.8559970.8865230.853767
Correlation0.8999270.8770240.9310380.875522
* Definition of the descriptors of Haralick from the image referent to the directions θ (0°, 45°, 90° and 135°) from the GLCM.
Table 3. Summary of the ANOVA results obtained to assess the descriptors as factors and the angles of the pixel data at the grayscale, considering one experiment with wheat TBIO Calibre, which was irrigated with three different levels, and the bacterium B. aryabhattai was applied in the conditions of the greenhouse in the Brazilian Cerrado soil.
Table 3. Summary of the ANOVA results obtained to assess the descriptors as factors and the angles of the pixel data at the grayscale, considering one experiment with wheat TBIO Calibre, which was irrigated with three different levels, and the bacterium B. aryabhattai was applied in the conditions of the greenhouse in the Brazilian Cerrado soil.
FVGl45°90°135°
Irrigation (I)20.50500.60010.00390.1392
Biological (B)10.42100.97070.74370.3304
Descriptor (D)120.00000.00000.00000.0000
I × B20.59860.72760.73320.5688
I × D240.85960.97150.00000.0064
B × D120.79561.00000.99990.4959
I × B × D240.97060.99910.99930.9482
CV (%) 27.6629.5621.9030.58
Angular direction θ (0°, 45°, 90° e 135°) of the GLCM. CV: coefficient of variation.
Table 4. Comparison of the means of the values obtained for variables with significant interactions ( p < 0.05 ) associated with the descriptor contrast and angles of 90° and 135° in obtaining pixel data at the grayscale, considering one experiment with three different levels of irrigation in the TBIO Calibre wheat and the application of the bacterium B . a r y a b h a t t a i in a greenhouse in the Brazilian Cerrado soil.
Table 4. Comparison of the means of the values obtained for variables with significant interactions ( p < 0.05 ) associated with the descriptor contrast and angles of 90° and 135° in obtaining pixel data at the grayscale, considering one experiment with three different levels of irrigation in the TBIO Calibre wheat and the application of the bacterium B . a r y a b h a t t a i in a greenhouse in the Brazilian Cerrado soil.
Direction GLCM90°135°
Water Stress100%50%25%100%50%25%
Descriptors Contrast3,570,545  Ab3,916,669 Aa4,000,303 Aa7,371,372 Ac8,125,102 Aa7,692,037 Ab
Sum Variance7.613691 Ba7.190074 Ba6.656606 Ba7.338214 Ba6.898000 Ba6.400824 Ba
Sum Average4.254441 Ba4.223137 Ba4.184314 Ba4.254841 Ba4.223519 Ba4.184652 Ba
Entropy1.827250 Ba1.865900 Ba1.839661 Ba1.974124 Ba2.017501 Ba1.973443 Ba
Sum Of Sqs Variance1.869234 Ba1.785929 Ba1.656359 Ba1.869782 Ba1.786438 Ba1.656819 Ba
Sum Entropy1.675484 Ba1.699140 Ba1.670650 Ba1.725052 Ba1.747117 Ba1.713036 Ba
DiffVariance0.7677187 Ba0.8298072 Ba0.8447331 Ba1.219588 Ba1.315061 Ba1.272093 Ba
Correlation0.9439350 Ba0.9356863 Ba0.9293793 Ba0.8847294 Ba0.8667054 Ba0.8641343 Ba
Homogeneity0.9146521 Ba0.9062631 Ba0.9039449 Ba0.8782839 Ba0.8680191 Ba0.8691098 Ba
InfoMeas20.8955695 Ba0.8884270 Ba0.8807811 Ba0.8571273 Ba0.8454057 Ba0.8408600 Ba
DiffEntropy0.4895238 Ba0.5195912 Ba0.5263733 Ba0.6505133 Ba0.6850347 Ba0.6740892 Ba
Energy0.2742349 Ba0.2619656 Ba0.2654343 Ba0.2548092 Ba0.2418299 Ba0.2459739 Ba
InfoMeas1−0.6143503 Ba−0.5889834 Ba−0.5781818 Ba−0.5031469 Ba−0.4745028 Ba−0.4748930 Ba
Angular direction (90° and 135°) of the GLCM. Different lowercase letters in the line and uppercase in the column indicate significant differences according to Tukey’s test at 5% probability. 100%, 50% and 25% represent the levels of irrigation applied in the experiment.
Table 5. Summary of the ANOVA results, values of significance (p-values) and coefficients of variation (CVs) for the different variables analyzed, considering one experiment with wheat TBIO Calibre, which was irrigated with three different levels of water and was applied to the bacteria B. aryabhattai under greenhouse conditions in soil from Brazilian Cerrado.
Table 5. Summary of the ANOVA results, values of significance (p-values) and coefficients of variation (CVs) for the different variables analyzed, considering one experiment with wheat TBIO Calibre, which was irrigated with three different levels of water and was applied to the bacteria B. aryabhattai under greenhouse conditions in soil from Brazilian Cerrado.
VariableBacterium (B)Irrigation (I)B × ICV (%)
Plant Height (PH, cm)0.003920.000000.827045.62
Number of Spikes (NS, unit)0.034490.000940.0508512.89
Number of grains per spikes (NGS, unit)0.848610.000000.4124418.00
Average grain weight (AGW, g)0.631100.000510.3637913.72
Total prodution of grains (TPG, g)0.053340.000000.0365519.42
Table 6. Averages of variables that did not present significant interactions when evaluating the wheat cultivar TBIO Calibre subjected to water stress and the application of B. aryabhattai under greenhouse conditions in Brazilian Cerrado soil.
Table 6. Averages of variables that did not present significant interactions when evaluating the wheat cultivar TBIO Calibre subjected to water stress and the application of B. aryabhattai under greenhouse conditions in Brazilian Cerrado soil.
Bacterium PH (cm)NS (unit)NGS (unit)AGW (g)
With65.00 a4.04 b18.25 a0.0270 a
Without60.25 b4.56 a18.52 a0.0278 a
IrrigationPH (cm)NS (unit)NGS (unit)AGW (g)
100%70.25 a4.89 a24.74 a0.0236 b
50%66.38 a4.38 a21.49 a0.0261 b
25%51.25 b3.63 b8.93 b0.0325 a
With and without represent the presence and absence of application of B. aryabhattai. 100%, 50% and 25% represent the levels of irrigation applied in the experiment. Plant height (PH), number of spikes (NS), number of grains per spikes (NGS) and average grain weight (AGW). Letters with different lowercase letters in the column indicate significant differences according to Tukey’s test at 5% probability.
Table 7. Averages of variables that presented significant interactions when the cultivation of wheat TBIO Calibre subjected to stress water and the application of B. aryabhattai under conditions of greenhouse in Brazilian Cerrado Soil.
Table 7. Averages of variables that presented significant interactions when the cultivation of wheat TBIO Calibre subjected to stress water and the application of B. aryabhattai under conditions of greenhouse in Brazilian Cerrado Soil.
IrrigationTotal Prodution of Grains (g pot−1)
WithWithout
100%15.80 Ab20.55 Aa
50%12.62 Aa16.04 Ba
25%6.77 Ba4.89 Ca
With and without represent the presence and absence of application of B. aryabhattai. 100%, 50% and 25% represent the levels of irrigation applied in the experiment. Different lowercase letters in the row and uppercase letters in the column indicate differences. significant according to Tukey’s test at 5% probability.
Disclaimer/Publisher’s Note: The statements, opinions and data contained in all publications are solely those of the individual author(s) and contributor(s) and not of MDPI and/or the editor(s). MDPI and/or the editor(s) disclaim responsibility for any injury to people or property resulting from any ideas, methods, instructions or products referred to in the content.

Share and Cite

MDPI and ACS Style

Aguilera, J.G.; Neves, E.P.; Maas, A.R.; Lima, G.d.F.; de Souza, B.F.; Ganzella, L.G.; Steiner, F.; Zuffo, A.M. RGB Image Processing Allows Differentiation of the Effects of Water Deficit and Bacillusaryabhattai on Wheat. AgriEngineering 2026, 8, 28. https://doi.org/10.3390/agriengineering8010028

AMA Style

Aguilera JG, Neves EP, Maas AR, Lima GdF, de Souza BF, Ganzella LG, Steiner F, Zuffo AM. RGB Image Processing Allows Differentiation of the Effects of Water Deficit and Bacillusaryabhattai on Wheat. AgriEngineering. 2026; 8(1):28. https://doi.org/10.3390/agriengineering8010028

Chicago/Turabian Style

Aguilera, Jorge González, Eder Pereira Neves, Adriano Rasia Maas, Gabriel de Freitas Lima, Beatriz Freitas de Souza, Luiza Guidi Ganzella, Fábio Steiner, and Alan Mario Zuffo. 2026. "RGB Image Processing Allows Differentiation of the Effects of Water Deficit and Bacillusaryabhattai on Wheat" AgriEngineering 8, no. 1: 28. https://doi.org/10.3390/agriengineering8010028

APA Style

Aguilera, J. G., Neves, E. P., Maas, A. R., Lima, G. d. F., de Souza, B. F., Ganzella, L. G., Steiner, F., & Zuffo, A. M. (2026). RGB Image Processing Allows Differentiation of the Effects of Water Deficit and Bacillusaryabhattai on Wheat. AgriEngineering, 8(1), 28. https://doi.org/10.3390/agriengineering8010028

Article Metrics

Back to TopTop