Abstract
This paper presents the validation of a digital image analysis method for the quantitative determination of physical quality parameters of apples by comparative analysis with a traditional measurement method. The method was used to determine the quality indicators of apples based on digital image analysis in accordance with standard requirements. Five popular apple varieties from Kazakhstan were selected for the study: Aport Alexander, Ainur, Sinap Almaty, Nursat and Kazakhskij Yubilejnyj. The parameters of the five apple varieties were measured both manually and digitally, which revealed close agreement between the obtained values. The analysis of the results of measuring the geometric parameters of the apples and the percentage of red color in the images was carried out. The maximum relative errors in determining the diameters (d, D) and height (h) were 2.99%, 3.03% and 4.12%, respectively. Regression models were developed to predict the weight and volume of apples. The best results in weight prediction were obtained for the Sinap Almatinsky variety using stepwise linear regression (R2 = 0.96), and volume prediction showed the best results for the Nursat variety (R2 = 0.92). This study lays the foundation for the development of automated systems for sorting apples by commercial varieties.
1. Introduction
Apple production in Kazakhstan is primarily concentrated in the southern region. The apple production industry in Kazakhstan includes 34 large companies, 195 medium-sized companies, 1370 small companies and several personal subsidiary farms, with a total area of 35.1 thousand hectares. In 2021, apple consumption in Kazakhstan totaled 374 thousand tons, of which only 230 thousand tons were grown by domestic producers. If we consider the processing of juices, purees and other products, then the demand for apple production is even greater. According to calculations, to fully meet the needs of the Republic of Kazakhstan’s population, approximately 1.3 million tons of apples need to be produced annually. This amount would be sufficient to provide each citizen with one apple a day, which is considered the best solution for improving population health. With the existing technologies for growing, harvesting, and transporting apples from gardens, the percentage of damaged and small fruits is quite high. Therefore, to effectively use refrigerated containers, it is necessary to separate substandard fruits before storage. After removal from storage, the products must be prepared for sale by sorting them in accordance with market requirements. An important stage of post-harvest and pre-sale processing of apples is determining whether the quality indicators meet the requirements of the standard. In accordance with the standard adopted by the Interstate Council for Standardization, Metrology and Certification (GOST 34314-2017), fresh apples are sold at retail in accordance with technical specifications [1]. Therefore, to determine the commercial grade, it is necessary to determine the mass, size and color of the selected sample of fruit. Similar requirements for fresh apples are specified [2], which concerns the marketing and control of the commercial quality of apples. Additionally, a study is needed to determine the volume of fruits for subsequent use when assessing internal defects and changes in fruit density during the storage of apples.
In recent decades, machine vision systems (MVS) have been widely used to determine the quantitative indicators of various objects. The advent of photoelectric transformation into object images, high spatial resolution, sufficient sensitivity, color video cameras and flexible digital image processing algorithms has facilitated the use of information about objects and their surrounding background. A classic example of such an approach for assessing the quality of fruits is the simultaneous measurement of fruit and vegetable diameter, height, area, shape and color, followed by the calculation of quantitative parameters, defect classification and product category determination [3,4]. The Kazakh National Agrarian Research University has some experience in developing systems based on MVS [5,6]. Algorithms and programs have been developed for determining the quality and sorting of potatoes and eggs using a computer image processing system [7,8,9,10].
To obtain quantitative information about the size, shape, and color of apples, additional research is needed to substantiate informative quantitative signs that correspond to the verbal descriptions of various indicators.
Objective quantitative methods for assessing the quality of vegetables and fruits have physical and chemical characteristics and can be categorized as follows: mechanical measurements of mass, size, volume, and density; physical measurements of thermal conductivity, acoustics, electrical conductivity, and permittivity; chemical measurements; electromagnetic measurements; and optical measurements of transmission and reflection coefficients in the visible and infrared regions. Optical measurement methods provide high measurement accuracy and meet the requirements for various crop quality evaluations [11,12]. Apples with surface defects can be classified relatively simply and safely via well-known sorting technologies [13,14]. Internal defects are “invisible”, requiring new approaches and methods that provide information about the internal state of the fruits. In addition to internal defects caused by diseases and structural disorders, maturity, including the amounts of solids, proteins, vitamins and other components, is also evaluated. Known methods for determining internal qualities are based mainly on the optical permeability of products in different regions of the electromagnetic radiation spectrum.
In view of the above, many researchers have carried out research, but few of them are closely related to computer vision systems. In [15], a detailed review of quality grading of fruits and vegetables, applying computer vision techniques, is done. The main focus of the research paper is feature extraction based on shape, color, texture and then the extracted feature is used by a certain type of classifier. A computer vision-based algorithm for golden delicious apple grading, using 16 extracted features including 8 statistical, 5 textural and 3 geometric features is proposed in [16]. Apples are graded into the two categories of healthy and defected. Apple quality is evaluated using different classifiers like SVM and KKN. The SVM classifier achieves an accuracy rate of 92.5% and 82.2% for healthy and defect categories. The disadvantage of the current article is that the apple weight is not measured during sorting. A review for the fruit grading system based on color, texture, and size is also presented in [17].
In most studies to determine the quality of apples, using computer vision, apples are quality graded into categories according to their size [18,19,20], color [21,22,23], shape, and for the presence of defects [24,25], but research on determining the weight and volume of the apples is too limited [26].
Modern research confirms the importance of using computer vision systems for fruit quality analysis, but existing methods have limitations in accuracy and reproducibility. Recent scientific papers emphasize the importance of implementing deep learning methods and image processing algorithms to analyze the shape, color, and texture of fruits. In particular, studies based on YOLO models and convolutional neural networks [27,28] demonstrate the promise of approaches for fruit detection and classification, but their use for Kazakhstan apple varieties is practically not presented. This study aims to fill this gap by developing a method for analyzing digital images for quantitative assessment of the quality parameters of apple fruits with the subsequent creation of a digital passport for each variety.
In this study, the relationship between apple quality indicators and informative quantitative features is examined, and algorithms, programs and digital tools for converting apple quality indicators into quantitative signs, as well as methods for implementing automated digital installation, are presented.
The aim of the study is to develop and test a digital method for assessing the quality indicators of apples using quantitative characteristics, including weight, volume, and percentage of color, followed by a comparison of the results obtained with existing methods for determining these indicators.
2. Materials and Methods
2.1. Apple Samples and Fruit Measurement
This study focused on five varieties of Kazakh apples: Aport Alexander, Ainur, Sinap Almatynski, Nursat, and Kazakhskij Yubilejnyj. These apple varieties were selected on the basis of recommendations from pomological garden breeders.
Fresh apples are divided into three commercial grades on the basis of a standard set of quality indicators: the highest grade, the first grade, and the second grade. Apples are also classified into four groups on the basis of the color of all or part of the surface: Group A—red; B—heterogeneous red; C—pinkish or striped with red; E—there are no requirements for the color of apples [29]. For example, the surface of the highest grade apples (Group A) must be at least 3/4 red, and the surface of first-grade apples should be at least 1/2 red. The proportion of the color area is not normalized for second-grade apples. In addition to color, for each apple variety, there are requirements regarding skin defects, the degree of maturity, fruit condition, smell, taste, the presence or absence of a peduncle and numerous other indicators. The above indicators, as well as skin browning, pulp condition, presence of weed admixture, presence of agricultural pests, damage by agricultural pests, rotting, rotting with signs of wilting, over ripening with pulp browning, and spoiling, are evaluated organoleptically. The organoleptic method has numerous significant disadvantages, including subjectivity, low accuracy and low productivity.
The weight and size of an apple is important for determining its commercial grade. In accordance with standard requirements, apples are calibrated on the basis of their largest transverse diameter or weight. The largest transverse diameter should be at least 60 mm and the weight should be at least 90 g. Moreover, for apples calibrated by diameter, the difference in diameter in the same package should not exceed 5 mm for the highest, first and second grades. The weight ranges for commercial varieties are as follows: 70.0–90.0 g, 90.0–135.0 g, 135.0–200.0 g, and 200.0–300.0 g. The permissible weight deviations range from 15 to 50 g, depending on the weight category. To measure the mass and diameter, the following measuring instruments are used: a static weighing scale of average accuracy class, with a maximum weight limit of 25 kg and a calibration increment of 50 g; a scale of average accuracy class, with a minimum weight of 3 kg and a calibration increment of 2 g; a stainless steel tape measure of second-class accuracy, with a nominal length of 1 m and a measurement error of ±0.1 mm; a caliper of first-class accuracy, with a measurement error of 0.05 mm; a caliper of second-class accuracy, with a measurement error of 1 mm; a laboratory press; a juicer; a refractometer; and other auxiliary materials and measuring instruments. These instruments require manual operation.
Based on the recommendations of breeders, five apple varieties were selected for the experiment: Aport Alexander, Ainur, Sinap Almaty, Nursat and Kazakhskij Yubilejnyj. All samples were collected in the pomological garden of the Talgar branch of the Kazakh Research Institute of Fruit and Vegetable Growing (GPS coordinates: 43.238949, 76.889709). The fruits were selected based on the criteria of maturity, visual integrity, and absence of defects. A combination of visual and instrumental control was used to select the fruits. Visual assessment included analysis of size, color, shape, and presence of defects, and instrumental assessment included measurement of weight, size, shape, and density. The sample included only fully ripe apples that met the characteristics of the variety and the requirements of GOST 34314-2017 [29]. In the experiment, 30 fruits of each variety were used, making a total of 150 fruits. Figure 1 shows a section of a pomological garden with apple trees of the Sinap Almatynski variety.
Figure 1.
A section of a pomological garden with apple trees of the Sinap Almatynski variety.
The fruits of the Sinap Almatynski variety are large and have an elongated-conical shape, with a dark red blurred blush covering the fruit. The flesh is white, grainy and juicy. These fruits ripen in September and are stored until February or March. The fruits of the Ainur variety are 170–200 g in size, round-conical, golden yellow with a slight blush, sweet and sour, and have a strong aroma. The flesh is creamy, juicy, dense and tender. These fruits ripen in mid-September and are stored in a refrigerator until March. The fruits of the Nursat variety are large, with an average weight of 180 g and a maximum weight of 250 g. The main color is golden yellow. The flesh is greenish, has a medium density, and is juicy. The taste is sweet and sour, with a moderate aroma. The fruits of the Kazakhskij Yubilejnyj variety are large and round-conical in shape with a strong waxy coating. They have a dark red, blurred, and striped blush with numerous large, bright subcutaneous spots. The flesh is white, medium density, juicy, crispy, fine-grained, aromatic, and has a good sweet and sour taste. The study was conducted in the research laboratory of the Department of Energy Saving and Automation of Kazakh National Agrarian Research University. The workstation for determining the apple parameters is shown in Figure 2.
Figure 2.
Workstation for apple parameter determination—(1) Studied apple varieties, (2) filling table, (3) caliper, (4) electronic scales, (5) dimensional flask.
The selected apple varieties include the main types of apple fruits on the basis of color, size, weight, and shape. The weight of each apple was determined on a DX1200 (A&D company, Tokyo, Japan) electronic scale with an accuracy of 0.01 g. The procedure for determining the weight of the fruit of the Aport Alexander variety is shown in Figure 3a.
Figure 3.
(a) Procedure for fruit mass determination; (b) procedure for fruit linear dimensions; (c) procedure for fruit volume determination.
An electronic caliper was used to measure the linear dimensions (diameters (D) and (d) in two perpendicular planes and height (h)) of each apple). The average time for measuring and recording these dimensions was 26 s. The measurement of the linear dimensions of an apple of the Ainur variety is shown in Figure 3b.
In addition to the standard parameters, the density of each fruit (ρ) was determined to identify the presence of possible defects and diseases. The density (ρ) was calculated as the ratio of the mass (m) to the volume (V) of the apple. The volume of the apple V was determined by measuring the volume of displaced water. The time for determining the density value was approximately 90 s. The procedure used for volume determination is shown in Figure 3c.
The assessment methodology complies with the standards GOST 34314-2017 and UNECE FFV-50 [1,2]. Digital processing methods described in previous studies on fruit sorting were also taken into account.
2.2. Algorithm for Assessing the Quality of Apple Fruits via a Digital Image Analysis
The proposed method differs from traditional systems for assessing fruit quality indicators by using feature ranking algorithms, which allows for automatic selection of the most significant parameters for assessing the weight and volume of fruits.
The digital method for estimating the apple quality indicators in this study is based on analyzing apple image captures in the visible range of optical radiation and determining the geometric determination of the fruit from these images. The data processing algorithm is developed and is shown in Figure 4.
Figure 4.
Algorithm for assessing the quality of apples via a digital method.
First, an apple image must be captured via a digital camera or a similar device capable of capturing images. The image must be clear and well illuminated for more accurate analysis. In this study, a Varifocus camera OV2710 (Ailipu Technology Co., Ltd., Zhejiang, China), with a resolution of 1080 P, a focal length range of 5–50 mm, a complementary metal–oxide–semiconductor (CMOS) OV2710 sensor, and the ability to capture video in the MJPEG format at frame rates of 30 fps, 60 fps, and 120 fps, is used. The obtained images are in the RGB color space and have a resolution of 960 × 1280 pixels. Images of the variety Sinap Almatynski are shown in Figure 5.
Figure 5.
Images of apples of the Sinap Almatynski variety.
Before an image is analyzed, preprocessing must be carried out. Preprocessing includes converting each image to the hue, saturation, and value (HSV) color space for more accurate color analysis, as well as applying filters to reduce noise and improve contrast. To implement the digital method, an experimental setup and a computer program in Python 3.12 (64 bit) have been developed [30,31]. The experimental software test results are shown in Figure 6.
Figure 6.
Experimental software testing.
The image captured by the camera is preprocessed via specialized algorithms and computer vision programs. Preprocessing includes outlining, segmenting the object, and analyzing the color information. Characteristics such as apple size (Dk, dk, hk), area (S), percentage of red (δr), and shape are determined via the standard function in Python for image object analysis. By using the OpenCV library in the Python programming language, the main features of an apple, such as contour, shape and color, are identified. Edge extraction is performed via the Canny algorithm. After the apple contour features are extracted, the shape of the apple is analyzed via geometric analysis methods, such as finding the contour length, area, and aspect ratio. Threshold segmentation methods were used to estimate the percentage of redness. Red varieties such as Aport Alexander and Kazakhskij Yubilejnyj showed a high percentage of red area, which corresponds to their varietal characteristics. To highlight red areas on the apple surface, color thresholds in HSV space were used: H =(0–10), S = (100–255), V = (50–255). These parameters were chosen based on experimental tests to minimize errors when changing illumination. This process allows the size, shape and red percentage of the apple to be determined. The duration of parameter evaluation for one apple is eight seconds.
Feature selection is based on the following algorithms: minimum redundancy maximum relevance (mRMR), and F test and RReliefF. MATLAB software R2022a is used for feature ranking [32]. The mRMR algorithm sequentially ranks the features by minimizing redundancy and maximizing relevance. The F test algorithm is based on the informativeness of each trait, which is analyzed separately via an F test. The traits are then ranked using the p values of the F test statistic. Each F test tests the hypothesis that the response values grouped by values of the predictor variable are drawn from populations with the same mean against the alternative hypothesis that the population means are not the same. The results correspond to –log(p). The RReliefF algorithm penalizes the feature points that give different values to neighbors of the same class, and rewards the feature points that give different values to neighbors of different classes. This algorithm estimates the significance of features on the basis of an estimate of the distance between two pairs of measurements. The results here also correspond to “–log(p)”.
The prediction of the main apple quality parameters, i.e., weight and volume, is based on the following 26 models in the Regression Learner App in MATLAB: trees–fine, medium and coarse; regression–linear, interactions linear, robust linear and stepwise linear; SVM–linear, quadratic, cubic, fine Gaussian, medium Gaussian and coarse Gaussian; ensemble–boosted trees and bagged trees; Gaussian process–Squared Exponentia, Matern, exponential and rational; neural network–narrow, medium, wide, bilayered and trilayered; and kernel–SVM and LSR [32].
To evaluate the accuracy of measuring the geometric parameters (D, d, and h) of apples via a digital method and analyzing their images, the absolute and relative errors are used. To assess how close the measured value is to the actual value of the corresponding parameter, the absolute error is calculated. The absolute error is the difference between the measured value and the actual value.
To compare the accuracy of both manual and digital measurements, the relative error, which is the ratio of the absolute error to the measured value of the parameter, is calculated.
where is the absolute error,
is the relative error,
is the measured value from the image analysis, and
is the manually measured value.
Additionally, a statistical test was implemented to verify the equivalence of the two manual and digital measurements, testing the hypothesis of equality of the mean values and variances. To test the hypothesis of equality of the means of the two measurements (with measuring instruments and with digital images), a t-test is used, which returns a test solution for the null hypothesis that the data in the vectors with manually measured values of apple parameters and those measured by the digital method with image analysis come from independent random samples from normal distributions with equal means and equal, but unknown, variances. T-test function returns the p-value, i.e., the probability of observing the given result, or one more extreme, by chance if the null hypothesis is true. Small values of P cast doubt on the validity of the null hypothesis. The test was performed with the ttest2 function of the MATLAB environment. The three probabilities for statistical significance for measuring diameters (D)— and (d)— in two perpendicular planes, and height (h) - were calculated.
3. Results and Discussion
3.1. Determination of the Physical Parameters of Apple Fruits
The measured geometric parameters of the five apple varieties (D, d, h, m, V, and ρ) and the results obtained from the images (Dk, dk, hk, δr, and S) using the proposed digital method are shown in Table 1. The statistical values of the parameters, i.e., average, standard deviation, minimum, maximum and probability of observing a test statistic are also calculated and shown in Table 1.
Table 1.
Experimental results.
The data in Table 1 indicate that there are no significant differences between the values of manually measured linear dimensions (D, d, and h) and the values determined from the images (Dk, dk, and hk), and they are nearly identical. When testing the hypothesis of equality of the mean values of the two measurements (with measuring instruments and with digital images), the t-test used showed that the test solution for the null hypothesis that the data in the vectors with manually measured values of apple parameters and those measured by the digital method with image analysis have the same mean values and the same variances. The results of the statistical test confirmed the null hypothesis for all measured apple parameters for all varieties. The results for the probability for statistical significance for all apple varieties are close to 1, which convincingly confirms the null hypothesis of equality of the mean values of all measurements. Therefore, it can be assumed that the measurement of geometric parameters with digital image analysis is equivalent to their measurement by standard means. The probability analysis showed that the highest statistical significance of the results was when measuring the geometric parameters of apples of the Nursat variety, followed by the two varieties Ainur and Aport Alexander. The lowest statistical significance was when measuring the geometric parameters of apples of the Kazakhskij Yubileinyj variety.
The densities of the Sinap Almatynski and Nursat apple varieties are slightly greater than those of other varieties. Through the digital method, together with the linear dimensions, the cross-sectional area of the fruit (S) and the percentage of redness (δr) are calculated. Apples from the Aport Alexander, Sinap Almatynski, and Kazakhskij Yubilejnyj varieties have a red color that corresponds to the appearance of the apples shown in Figure 2.
The results of the quantitative assessment of the accuracy of measuring the geometric parameters of apples by the digital method, based on the digital analysis of their images, with the calculated absolute and relative errors, are presented in Table 2.
Table 2.
Absolute and relative errors for geometric parameter measurements.
The results show that the absolute error is 0.45 on average for the three geometric parameters and that the maximum value is 1.7. The relative error for geometric parameter d is the smallest, averaging 0.79%, with a maximum error of 2.99%. For the geometric parameter h, the average value of the relative error is 0.80%, and the maximum error is 3.03%. For the geometric parameter D, the relative error is greater, with an average value of 1.08% and a maximum value of 4.12%.
The analysis of the results showed that the differences between manual measurements and digital image analysis measurements of the apples were small, which confirms the reliability of the proposed method. The calculated relative errors are less than 5%, which is an appropriate value for agricultural measurements.
3.2. Determination of the Weight and Volume of Apples via Digital Methods
Twenty-six models are trained and tested to determine the weight and volume of the apples. The procedure includes the steps shown in Figure 7. Regression models have been developed to predict the data via supervised machine learning.
Figure 7.
The main steps of the procedure for determining the weight and volume of the apples.
The training set includes 70% of data for each apple variety, and the remaining 30% of data is used for testing the models. The training and testing sets are compared, and the loss is estimated via cross-validation.
3.2.1. Apple Weight Prediction Results
The features of the images obtained through the analysis that are informative when building the models according to the three algorithms developed in MATLAB have been previously determined. The procedure for selecting informative characteristics to determine the weight for the Aport variety of apple is graphically presented. The results for the two applied algorithms are presented in Figure 8 and Figure 9.
Figure 8.
Feature ranking via the F test for weight.
Figure 9.
Feature ranking via RReliefF for weight.
For the remaining varieties, the results are summarized in Table 3.
Table 3.
Summarized results for assessment of parameter informativeness related to apple weight measurement.
The results show that feature combinations are more clearly separated when the F test is used. To reduce the time of calculation and training of the model, the first three most informative features are selected. For four of the varieties, these features are h, d, and S. D is informative only for the Ainur apple variety. The models are trained with the three most informative features ranked by the F test algorithm.
The weight predictions with the best-trained model for the Aport apple variety are shown in Figure 10. The models are assessed via the root mean square error (RMSE) and training set. The application also provides information related to the accuracy of the models.
Figure 10.
True (blue color) and predicted (yellow color) weight responses with the best trained model for the Aport apple variety.
When a model is built, it is necessary to check how well it works. To evaluate the model quality, we can consider the values of various metrics, such as the coefficient of determination, mean absolute error (MAE), and mean squared error.
The MAE indicates how much, on average, the values determined by the model differ from the actual values. The advantage of the MAE is that the results obtained are in the same units as the target variable and are not as affected by the presence of extreme values in the sample.
where is the actual parameter value and is the predicted parameter value.
The coefficient of determination (R2) indicates how well the values of the target variable are determined by the model when new data are introduced. R2 is a statistical metric that tells us what percentage of the variance of the target variable is predicted by the values of the independent variables.
where y is the mean value of the target variable.
Thus, it is an important measure of how well the regression model fits the data. The R2 value is always between zero and one, i.e., 0 ≤ R2 ≤ 1. An R2 value of 0.9 or above is very good, a value above 0.8 is good, and a value of 0.6 or above may be satisfactory in some applications.
The RMSE is the root mean square of the estimation error and is always positive. This metric is strongly affected by the presence of extreme values in the sample, as squaring further increases their weight.
In an ideal regression model, the predicted responses would equal the true responses, resulting in all points lying on the diagonal line. The vertical distance from the line to each point is the prediction error. A good model has small errors, with predictions scattered close to the line (Figure 11).
Figure 11.
Predicted vs. actual plot for the weight training set.
The results show that the models have good reliability and robustness, and the correlation rises to 0.92.
The models are also evaluated via a residual plot, which is also used to evaluate the model performance (Figure 12). The residual plot shows the difference between the predicted and true responses. When the models are built, they are tested against the data specified for the test sample. The predicted and actual weight values are visualized in Figure 13.
Figure 12.
The residuals plot for weight.
Figure 13.
Predicted vs. actual plot for the weight testing set.
Figure 14 shows the RMSE and MAE error values of the validation and testing processes, comparing predicted and actual values of apple weight measurements for the 26 prediction models and for the five apple cultivars.
Figure 14.
RMSE and MAE, comparing predicted and real measurements related to apple weight measurement.
Regarding apple weight prediction, the RMSE error values ranged from 7.16 to 134.12 for the training sample and from 3.54 to 96.03 for the test sample; the MAE varies from 6.11 to 47.78 for the training sample and from 2.65 to 79.56 for the test sample. The error is significantly smaller compared to (Miranda, et. al. (2023) [33]), where only allometric weight prediction models are used (MAE =9.184 ÷ 251.63). Neural network-based models predict significantly more error than models based on linear regression, SVM, and Gaussian Process Regression. The models based on Tree come close to linear regression and SVM, while Boasted and Bagged Trees have a higher error. The smallest errors both during training and during testing are found in apple variety Sinap Almatynski and variety Ainur. For the remaining three varieties, the errors increase. This is due to the more specific coloring and size of the apples in the two varieties of Sinap Almatynski and Ainur.
3.2.2. Apple Volume Prediction Results
In the developed models for apple volume prediction, informative parameters are again determined, and the three algorithms integrated into MATLAB are used. For the Aport variety, the results for the two applicable algorithms, i.e., the F test and RReliefF algorithms, are graphically presented in Figure 15 and Figure 16.
Figure 15.
Feature ranking via the F test for volume.
Figure 16.
Feature ranking via RReleifF for volume.
The summary information for the five apple varieties and the selection of informative characteristics are presented in Table 4. The results show that the mRMR algorithm is also applicable here. For three of the varieties, only the D parameter is informative. However, the F test algorithm is chosen for ranking the informative parameters.
Table 4.
Summarized results for assessment of parameter informativeness related to apple volume measurement.
The predictions with the best trained model for the Sinap Almatynski apple variety are shown in Figure 17. The predicted vs. actual plot for evaluating the performance of the model is shown in Figure 18, the residuals plot is shown in Figure 19, and the predicted and actual weight values for the testing set are shown in Figure 20.
Figure 17.
The true and predicted responses with the best trained model for the Sinap Almatynski apple variety for volume.
Figure 18.
Predicted vs. actual plot for the volume training set.
Figure 19.
Residuals plot for volume.
Figure 20.
Predicted vs. actual plot for the volume testing set.
The results in predicting apple volume again show that the models are reliable and robust, with a correlation reaching 0.91.
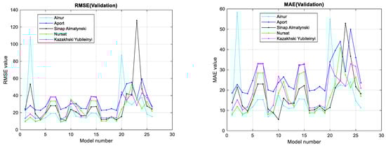
Figure 21 shows the RMSE and MAE error values of the validation and testing processes, comparing predicted and actual values of apple volume measurements for the 26 prediction models and for the five apple cultivars.

Figure 21.
RMSE and MAE, comparing predicted and real measurements related to apple volume measurement.
When predicting the volume of apples, an increase in the error values was observed compared to the weight prediction, the RMSE error values ranged from 9.00 to 127.71 for the training sample, and from 8.58 to 124.97 for the test sample; the MAE keeps changing within the limits of 5.59 to 58.20 for the training sample and from 6.52 to 89.74 for the test sample. Prediction using models like Linear and Stepwise Regression, SVM, Gaussian Process Regression, Trilayered Neural Network approaches the acceptable values for agricultural products. The remaining types of neural networks, Cubic SVM, Boasted and Bagged Trees predicted the volume of apples with a significantly larger varying error. It could be said that a good volume of prediction results was obtained for three of the apple varieties—Sinap Al-matynski, Nursat and Kazakhskij Yubilejnyj.
The summarized data of the developed regression models and the evaluation of the best models in terms of the accuracy of predicting the weights of the apples with training and test samples are presented in Table 5.
Table 5.
The accuracy of the developed regression models for apple weight prediction.
The results show that different apple varieties require different models. The linear SVM is applicable only for two apple varieties—Aport and Ainur. The RMSE varies from 7.17 to 12.83 for the five apple varieties. According to the R2 values with the training set, the stepwise linear regression model is the best, followed by rational quadratic Gaussian process regression and linear regression. The linear SVM model is a satisfactory model. According to R2 values with the test set, stepwise linear regression is the best model for the Sinap Almatynski variety, and for the Ainur variety, the linear SVM yields better results than it does with the training sample. The MAEs for both the training and test samples do not exceed 12.29. The training time of the models ranges from 0.60 s to 4.27 s, with the stepwise linear regression model performing best in both training and testing at 1.88 s each.
The best results for the Sinap Almatynski apples via stepwise linear regression were as follows: RMSEs of 7.17 for training and 4.83 for testing, R2 values of 0.9–0.92 for training and 0.96 for testing, and MAEs of 6.12 for training and 4.14 for testing.
For the two best models (Stepwise Linear Regression and Linear SVM) with the test sample, for which there is the highest value of R2 and the smallest value of MAE, the three same informative features h, d, and S are used. But, the training time of both models is higher compared to the others. The training and testing results in predicting the weight of apples show that there are objects where the geometry is irregular, and the color shades are of variable density on the surface of the apples.
The summarized data of the developed regression models and the evaluation of the best models in terms of the accuracy of predicting the volume of apples with training and test samples are presented in Table 6.
Table 6.
Accuracy of the developed regression models for apple volume.
The results show that different apple varieties require different pattern types. The RMSEs range from 9.84 to 22.75 for training, and 9.38 to 15.49 for testing for the five apple varieties. According to the R2 with the training data, the linear SVM and linear regression models are the best, followed by the quadratic SVM and robust linear regression. A satisfactory model is the quadratic exponential GPR. According to R2 with the test sample, linear regression is the best model for the Nursat variety, and for the Aport variety, linear regression yields better results than it does with the training data. The MAEs for both the training and test samples do not exceed 19.66. The training time of the models ranges from 0.41 s to 5.28 s, with the robust linear regression model performing best during both training and testing, with a time of 0.41 s.
The best results for the Nursat variety via linear regression were as follows: relatively small RMSEs of 9.84 for training and 9.65 for testing; R2 values of 0.9–0.91 for training and 0.92 for testing; and relatively small MAEs of 8.12 for training and 7.96 for testing. For the two best models with the test sample, for which there is the highest value of R2 and the smallest value of MAE, the two same informative features D and h are used. But, the training time of both models is higher compared to the others. The training and testing results in predicting the volume of apples show that there are objects where the geometry is irregular and the color shades are of variable density on the surface of the apples.
In the proposed digital approach for predicting weight and volume of apples by analyzing their images and their geometric parameters (the linear dimensions (diameters (D) and (d) in two perpendicular planes, height (h) and area (S) of each apple) three algorithms were applied to extract and evaluate the informativeness of these signs compared to (Miranda, et. al. (2023) [33], where the largest measurement was recorded as D1 and the smallest as D2 to predict the weight of apples The study also applied a total of 26 linear and non-linear regression models, tree-based models, SVM methods, and neural networks.
Marini, et. al. (2019) [26] determined fruit weight after ripening by image analysis and regression models with a coefficient of determination ranging from 0.54 to 0.944. The approach proposed in this article shows that the coefficient of determination of the obtained regression models is significantly higher—over 0.96.
A potential opportunity for further research and practical applications of the findings is to increase the sample with typical representatives of the respective apple varieties, with corresponding surface coloration and geometric dimensions, which would lead to a refinement of the informative features, eventually to obtain a general prediction model of weight and volume of apples, to reduce errors and improve prediction accuracy. The limitations of the study are related to the close color surfaces of the five varieties of apples, and their close and irregular geometric dimensions, which leads to difficulties in the classification of objects.
Another opportunity for further research and improvement of the proposed digital method is to assess the influence of the random position of the apples’ shooting on the accuracy of measuring the physical parameters of apples. This assessment is important in the construction of automatic apple sorting systems, where apples move along a conveyor belt and their images are captured at random apple positions.
Another challenge would be to develop a digital methodology for recognizing the varietal affiliation of apples, based on the analysis of color digital images of apples.
4. Conclusions
With the growth of apple production and the shortage of skilled workers in Kazakhstan, the development and implementation of digital technologies to improve the productivity of apple fruit quality assessment is an urgent issue.
The literature analysis confirms that technical vision systems, which use color video cameras and flexible algorithms for digital image processing, contribute to the use of information about the object of study and the surrounding background and are widely used for determining the quantitative indicators of various objects to solve the problem of determining fruit quality.
The developed method for determining the main physical parameters of apples by digital image analysis allows the evaluation of apple characteristics to an accuracy comparable to measurements by standard means.
The results of the statistical test confirmed this conclusion for all measured apple parameters for all varieties. The results for the probability for statistical significance for all apple varieties are close to 1, which convincingly confirms the null hypothesis of equality of the mean values of all measurements. Therefore, it can be assumed that the measurement of geometric parameters with digital image analysis is equivalent to their measurement by standard means.
The developed digital image analysis method achieved high accuracy in determining the size d of the fruit, with maximum relative errors of 2.99%, 3.03%, and 4.12% for the h, and D parameters, respectively. This method enables the quantification of the area and the percentage of color, which cannot always be detected with the naked eye, allowing for the automation and optimization of apple quality assessment.
Experimental studies were conducted, and regression models were developed to determine and predict the weight and volume of apples via a digital image analysis method. The regression models provided high accuracy in predicting the weight and volume of apples. The best results for the apple weight prediction were obtained for the Sinap Almatynski variety by stepwise linear regression with a coefficient of determination R2=0.96, and the apple volume prediction was obtained for the Nursat variety by linear regression with a coefficient of determination R2=0.92. The accuracy of the procedures could be improved by optimizing the models and increasing the number of datasets.
The regression equations obtained from the relationship between weight, volume and geometric parameters, together with the digital image analysis method for determining the color area, serve as the basis for the development of a compact instrument for the evaluation of quality indicators and the automatic sorting of apples by commercial variety.
The digital image analysis method can be implemented in automated sorting lines, which will improve the efficiency of crop processing. However, for optimal performance of the system, it is necessary to take into account the lighting conditions and the presence of shadows in the images, also the fact that in this study, the images of apples were acquired under stable conditions. In a practical application, the image of the apple will be acquired in a dynamic situation, where the model can be strongly influenced.
The results of the study will be applied in the development of a small-sized machine for automatic sorting of apples into commercial varieties. The machine should receive several images of the fruit in motion. Another challenge would be to develop a digital methodology for recognizing the varietal affiliation of apples based on the analysis of color digital images.
Author Contributions
Conceptualization, J.A.; Data curation, A.M., A.K. and Z.S.; Formal analysis, T.G.; Resources, D.Z. and A.N.; Writing—review and editing, P.D. All authors have read and agreed to the published version of the manuscript.
Funding
The research was conducted within the framework the grant of the Ministry of Science and Higher Education of the Republic of Kazakhstan under the Project AP19678983 “Development of digital technology and a small-sized machine for quality control and automatic sorting of apples into commercial varieties” and by the European Union-NextGenerationEU through the National Recovery and Resilience Plan of the Republic of Bulgaria, project No. BG-RRP-2.013–0001-C01.
Data Availability Statement
The raw/processed data required to reproduce these findings cannot be shared at this time as the data also form part of an ongoing study. However, the data can be provided to readers when kindly requested.
Conflicts of Interest
The authors declare no conflicts of interest.
References
- Fresh Apples Sold in Retail Trade. Technical Conditions. Available online: https://internet-law.ru/gosts/gost/66071/ (accessed on 1 December 2024).
- UNECE STANDARD FFV-50 Concerning the Marketing and Commercial Quality Control of APPLES. Available online: https://unece.org/sites/default/files/2020-12/50_Apples.pdf (accessed on 5 July 2023).
- Pothula, A.K.; Zhang, Z.; Lu, R. Evaluation of a new apple in-field sorting system for fruit singulation, rotation and imaging. Comput. Electron. Agric. 2023, 208, 107789. [Google Scholar] [CrossRef]
- Mizushima, A.; Lu, R. An image segmentation method for apple sorting and grading using support vector machine and Otsu’s method. Comput. Electron. Agric. 2013, 94, 29–37. [Google Scholar] [CrossRef]
- Alikhanov, J.; Penchev, S.M.; Georgieva, T.D.; Moldazhanov, A.; Shynybay, Z.; Daskalov, P.I. An indirect approach for egg weight sorting using image processing. J. Food Meas. Charact. 2018, 12, 87–93. [Google Scholar] [CrossRef]
- Nurtuleuov, A.; Moldazhanov, A.; Kulmahambetova, A.; Zinchenko, D. Methodology and Results Of Experimental Studies Of The Algorithm And Program For Determining Egg Quality Indicators On An Automated Optic Electronic Installation. Res. Results 2021, 3, 66. [Google Scholar]
- Alikhanov, D.; Shynybaj, Z.; Daskalov, P.; Tshonev, R. Express method and device for definition of potato tubers parameters. Bulg. J. Agric. Sci. 2013, 19, 866–874. [Google Scholar]
- Alikhanov, J.; Penchev, S.M.; Georgieva, T.D.; Moldazhanov, A.K.; Kulmakhambetova, A.T.; Shynybay, Z.; Stefanov, E.; Daskalov, P.I. Design and performance of an automatic egg sorting system based on computer vision. TEM J. 2019, 8, 1319–1325. [Google Scholar] [CrossRef]
- Georgieva, T.; Stefanov, E.; Alikhanov, J.; Kulmakhambetova, A.; Shynybay Zh Daskalov, P. Approach for egg defects assessment using image analysis. In Annals of DAAAM and Proceedings of the International DAAAM Symposium; DAAAM International: Vienna, Austria, 2019. [Google Scholar]
- Alikhanov, J.; Moldazhanov, A.; Kulmakhambetova, A.; Shynybay, Z.; Penchev, S.M.; Georgieva, T.D.; Daskalov, P.I. Express Methods and Procedures for Determination of the Main Egg Quality Indicators. TEM J. 2021, 10, 171–176. [Google Scholar] [CrossRef]
- Ozaki, Y.; McClure, W.F.; Christy, A.A. Near-Infrared Spectroscopy in Food Science and Technology; John Wiley & Sons: Hoboken, NJ, USA, 2007. [Google Scholar] [CrossRef]
- Roberts, C.A.; Workman, J.; Reeves, J.B. Near-Infrared Spectroscopy in Agriculture; IM Publications: Boston, MA, USA, 2004. [Google Scholar]
- Bhatt, A.K.; Pant, D. Automatic apple grading model development based on back propagation neural network and machine vision, and its performance evaluation. AI Soc. 2015, 30, 45–56. [Google Scholar] [CrossRef]
- Du, C.-J.; Sun, D.-W. Recent developments in the applications of image processing techniques for food quality evolution. Trends Food Sci. Technol. 2004, 15, 230–249. [Google Scholar]
- Bhargava, A.; Bansal, A. Fruits and vegetables quality evaluation using computer vision: A review. J. King Saud Univ.–Comput. Inf. Sci. 2018, 33, 243–257. [Google Scholar]
- Moallem, P.; Serajoddin, A.; Pourghassem, H. Computer vision based apple grading for golden delicious apples based on surface features. Inf. Process. Agric. 2017, 4, 33–40. [Google Scholar] [CrossRef]
- Ohali, Y. Computer vision based date fruit grading system: Design and implementation. J. King Saud Univ.–Comput. Inf. Sci. 2011, 23, 29–36. [Google Scholar] [CrossRef]
- Mirbod, O.; Choi, D.; Heinemann, P.H.; Marini, R.P.; He, L. On-tree apple fruit size estimation using stereo vision with deep learning-based occlusion handling. Biosyst. Eng. 2023, 226, 27–42. [Google Scholar] [CrossRef]
- Roy, P.; Isler, V. Surveying apple orchards with a monocular vision system. In Proceedings of the IEEE International Conference on Automation Science and Engineering, Fort Worth, TX, USA, 21–25 August 2016. [Google Scholar] [CrossRef]
- Butters, L.; Xu, Z.; Le Trung, K.; Klette, R. Measuring apple size distribution from a near topedown image. In Lecture Notes in Computer Science; Lee, C., Su, Z., Sugimoto, A., Eds.; 11854 LNCS; Springer International Publishing: Cham, Switzerland, 2019; pp. 255–268. [Google Scholar] [CrossRef]
- Nakano, K. Application of neural networks to the color grading of apples. Comput. Electron. Agric. 1997, 18, 105–116. [Google Scholar] [CrossRef]
- Garrido-Novell, C.; Pérez-Marin, D.; Amigo, J.M.; Fernández-Novales, J.; Guerrero, J.E.; Garrido-Varo, A. Grading and color evolution of apples using RGB and hyperspectral imaging vision cameras. J. Food Eng. 2012, 113, 281–288. [Google Scholar] [CrossRef]
- Sofu, M.M.; Er, O.; Kayacan, M.C.; Cetişli, B. Design of an automatic apple sorting system using machine vision. Comput. Electron. Agric. 2016, 127, 395–405. [Google Scholar] [CrossRef]
- Leemans, V.; Magein, H.; Destain, M.F. On-line fruit grading according to their external quality using machine vision. Biosyst. Eng. 2002, 83, 397–404. [Google Scholar] [CrossRef]
- Lee, J.-H.; Vo, H.-T.; Kwon, G.-J.; Kim, H.-G.; Kim, J.-Y. Multi-Camera-Based Sorting System for Surface Defects of Apples. Sensors 2023, 23, 3968. [Google Scholar] [CrossRef]
- Marini, R.P.; Schupp, J.R.; Baugher, T.A.; Crassweller, R. Relationships between fruit weight and diameter at 60 days after bloom and at harvest for three apple cultivars. HortScience 2019, 54, 86–91. [Google Scholar] [CrossRef]
- Rong, J.; Zhou, H.; Zhang, F.; Yuan, T.; Wang, P. Tomato cluster detection and counting using improved YOLOv5 based on RGB-D fusion. Comput. Electron. Agric. 2023, 207, 107741. [Google Scholar] [CrossRef]
- Cardellicchio, A.; Solimani, F.; Dimauro, G.; Petrozza, A.; Summerer, S.; Cellini, F.; Renò, V. Detection of tomato plant phenotyping traits using YOLOv5-based single stage detectors. Comput. Electron. Agric. 2023, 207, 107757. [Google Scholar] [CrossRef]
- Specifications, GOST 34314-2017, Fresh Apples for Retail, 2018. Available online: https://online.zakon.kz/Document/?doc_id=35799925 (accessed on 1 December 2024).
- Anjaneya, L.; Mahanthesha, U. Machine Learning Approach to the Classification and Identification of Hand Gesture Recog-Nition Using Python. Int. J. Recent Sci. Res. 2023, 14, 4372–4377. [Google Scholar]
- Verdhan, V. Computer Vision Using Deep Learning: Neural Network Architectures with Python and Keras; Apress: Berkeley, CA, USA, 2021. [Google Scholar]
- Roffo, G. Feature Selection Library (MATLAB Toolbox). arXiv 2016, arXiv:1607.01327. [Google Scholar]
- Miranda, J.C.; Arnó, J.; Gené-Mola, J.; Lordan, J.; Asín, L.; Gregorio, E. Assessing automatic data processing algorithms for RGB-D cameras to predict fruit size and weight in apples. Comput. Electron. Agric. 2023, 214, 108302. [Google Scholar] [CrossRef]
Disclaimer/Publisher’s Note: The statements, opinions and data contained in all publications are solely those of the individual author(s) and contributor(s) and not of MDPI and/or the editor(s). MDPI and/or the editor(s) disclaim responsibility for any injury to people or property resulting from any ideas, methods, instructions or products referred to in the content. |
© 2025 by the authors. Licensee MDPI, Basel, Switzerland. This article is an open access article distributed under the terms and conditions of the Creative Commons Attribution (CC BY) license (https://creativecommons.org/licenses/by/4.0/).