Feasibility of Determination of Foodborne Microbe Contamination of Fresh-Cut Shredded Cabbage Using SW-NIR
Abstract
:1. Introduction
2. Materials and Methods
2.1. Preparation of Shredded Cabbage
2.2. Preparation of Bacterial Suspension
2.3. Bacterial Inoculum Procedures
2.4. SW-NIR Spectrum Acquisition
2.5. Microbial Analysis
2.6. Data Analysis
3. Results and Discussion
3.1. Microbiological Analysis
3.2. SW-NIR Spectra Analysis
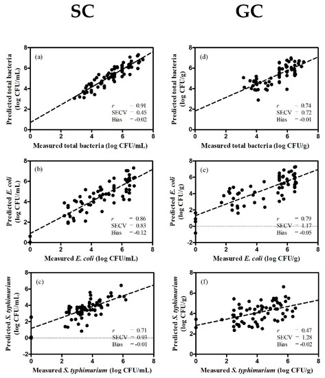
3.3. Feasibility of SW-NIR Used for Bacterial Detection
4. Conclusions
Author Contributions
Funding
Conflicts of Interest
References
- Yu, H.; Neal, J.A.; Sirsat, S.A. Consumers’ food safety risk perceptions and willingness to pay for fresh-cut produce with lower risk of foodborne illness. Food Control 2018, 86, 83–89. [Google Scholar] [CrossRef]
- Fung, F.; Wang, H.S.; Menon, S. Food safety in the 21st century. Biomed. J. 2018, 41, 88–95. [Google Scholar] [CrossRef]
- Sivapalasingam, S.; Friedman, C.R.; Cohen, L.; Tauxe, R.V. Fresh produce: A growing cause of outbreaks of foodborne illness in the United States, 1973 through 1997. J. Food Prot. 2004, 67, 2342–2353. [Google Scholar] [CrossRef]
- Söderström, A.; Osterberg, P.; Lindqvist, A.; Jönsson, B.; Lindberg, A.; Blide Ulander, S.; Welinder-Olsson, C.; Löfdahl, S.; Kaijser, B.; De Jong, B.; et al. A large Escherichia coli O157 outbreak in Sweden associated with locally produced lettuce. Foodborne Pathog. Dis. 2008, 5, 339–349. [Google Scholar]
- Nma, O.N.; Oruese, O.M. Prevalence of Salmonella species and Escherichia coli in fresh cabbage and lettuce sold in Port Harcourt Metropolis, Nigeria. Rep. Opin. 2013, 5, 1–8. [Google Scholar]
- Abadias, M.; Usall, J.; Anguera, M.; Solsona, C.; Viñas, I. Microbiological quality of fresh, minimally-processed fruit and vegetables, and sprouts from retail establishments. Int. J. Food Microbiol. 2008, 123, 121–129. [Google Scholar] [CrossRef] [PubMed]
- Kumagai, Y.; Gilmour, S.; Ota, E.; Momose, Y.; Onishi, T.; Bilano, V.L.F.; Kasuga, F.; Sekizaki, T.; Shibuya, K. Estimating the burden of foodborne diseases in Japan. Bull. World Health Organ. 2015, 93, 540–549. [Google Scholar] [CrossRef] [PubMed]
- Shiina, T.; Hasegawa, Y. Trends of fresh-cut vegetables in Japan. Acta Hortic. 2007, 746, 39–44. [Google Scholar] [CrossRef]
- Suthiluk, P.; Saranwong, S.; Kawano, S.; Numthuam, S.; Satake, T. Possibility of using near infrared spectroscopy for evaluation of bacterial contamination in shredded cabbage. Int. J. Food Sci. Technol. 2008, 43, 160–165. [Google Scholar] [CrossRef]
- Jordano, R.; Lopez, C.; Rodriguez, V.; Cordoba, G.; Medina, L.M.; Barrios, J. Comparison of Petrifilm method to conventional methods for enumerating aerobic bacteria, coliforms, Escherichia coli and yeasts and molds in foods. Acta Microbiologica et Immunologica Hungarica 1995, 42, 255–259. [Google Scholar]
- Nicolaï, B.M.; Beullens, K.; Bobelyn, E.; Peirs, A.; Saeys, W.; Theron, K.I.; Lammertyn, J. Nondestructive measurement of fruit and vegetable quality by means of NIR spectroscopy: A review. Postharvest Biol. Technol. 2007, 46, 99–118. [Google Scholar] [CrossRef]
- Dos Santos, C.A.; Lopo, M.; Pascoa, R.N.; Lopes, J.A. A review on the applications of portable near-infrared spectrometers in the agro-food industry. Appl. Spectrosc. 2013, 67, 1215–1233. [Google Scholar] [CrossRef] [PubMed]
- Feng, Y.Z.; Downey, G.; Sun, D.W.; Walsh, D.; Xu, J.L. Towards improvement in classification of Escherichia coli, Listeria innocua and their strains in isolated systems based on chemometric analysis of visible and near-infrared spectroscopic data. J. Food Eng. 2015, 149, 87–96. [Google Scholar] [CrossRef]
- Rodriguez-Saona, L.E.; Khambaty, F.M.; Fry, F.S.; Calvey, E.M. Rapid detection and identification of bacterial strains by Fourier transform near-infrared spectroscopy. J. Agric. Food Chem. 2001, 49, 574–579. [Google Scholar] [CrossRef] [PubMed]
- Siripatrawan, U.; Makino, Y.; Kawagoe, Y.; Oshita, S. Near infrared spectroscopy integrated with chemometrics for rapid detection of E. coli ATCC 25922 and E. coli K12. Sens. Actuators B Chem. 2010, 148, 366–370. [Google Scholar] [CrossRef]
- Lin, M.; Al-Holy, M.; Mousavi-Hesary, M.; Al-Qadiri, H.; Cavinato, A.G.; Rasco, B.A. Rapid and quantitative detection of the microbial spoilage in chicken meat by diffuse reflectancee spectroscopy (600–1100° nm). Lett. Appl. Microbiol. 2004, 39, 148–155. [Google Scholar] [CrossRef] [PubMed]
- Duan, C.; Chen, C.; Khan, M.N.; Liu, Y.; Zhang, R.; Lin, H.; Cao, L. Non-destructive determination of the total bacteria in flounder fillet by portable near infrared spectrometer. Food Control 2014, 42, 18–22. [Google Scholar] [CrossRef]
- Al-Qadiri, H.M.; Lin, M.; Al-Holy, M.A.; Cavinato, A.G.; Rasco, B.A. Monitoring quality loss of pasteurized skim milk using visible and short wavelength near-infrared spectroscopy and multivariate analysis. J. Dairy Sci. 2008, 91, 950–958. [Google Scholar] [CrossRef]
- Cámara-Martos, F.; Lopes, J.A.; Moreno-Rojas, R.; Pérez-Rodríguez, F. Detection and quantification of Escherichia coli and Pseudomonas aeruginosa in cow milk by near-infrared spectroscopy. Int. J. Dairy Technol. 2015, 68, 357–365. [Google Scholar] [CrossRef]
- AOAC. Official Methods of Analysis, 15th ed.; Helrich, K., Ed.; Association of Official Analytical Chemists, Inc.: Arlington, VA, USA, 1990; Volume 1. [Google Scholar]
- ISO. ISO12099. Animal feeding stuffs, cereals and milled cereal products. In Guidelines for the Application of near Infrared Spectrometry; The International Organization for Standardization: Geneva, Switzerland, 2010; p. 40. [Google Scholar] [CrossRef]
- Risk Assessment Section, Food and Environmental Hygiene Department. In Microbiological Guidelines for Ready-to-Eat Food; Risk Assessment Section, Food and Environmental Hygiene Department: Hong Kong, China, 2001; pp. 1–6.
- Chen, J.Y.; Iyo, C.; Terada, F.; Kawano, S. Effect of multiplicative scatter correction on wavelength selection for near infrared calibration to determine fat content in raw milk. J. Near Infrared Spectrosc. 2002, 10, 301–307. [Google Scholar] [CrossRef]
- Norris, K.H.; Williams, P.C. Optimization of mathematical treatments of raw near-infrared signal in the measurement of protein in Hard Red Spring wheat. I. Influence of Particle Size. Am. Assoc. Cereal Chem. 1984, 61, 158–165. [Google Scholar]
- Rodriguez-Saona, L.E.; Khambaty, F.M.; Fry, F.S.; Dubois, J.; Calvey, E.M. Detection and identification of bacteria in a juice matrix with Fourier transform-near infrared spectroscopy and multivariate analysis. J. Food Prot. 2004, 67, 2555–2559. [Google Scholar] [CrossRef]
- Alexandrakis, D.; Downey, G.; Scanell, A.G.M. Detection and identification of bacteria in an isolated system with near-infrared spectroscopy and multivariate analysis. J. Agric. Food Chem. 2008, 56, 3431–3437. [Google Scholar] [CrossRef]
- Williams, P.; Saranwong, S.; Kawano, S.; Isaksson, T.; Segtnan, V.H. Applications to sgricultural and marine products. In Near-Infrared Spectroscopy in Food Science and Technology; Ozaki, Y., McClure, W.F., Christy, A.A., Eds.; John Wiley & Sons, Inc.: Hoboken, NJ, USA, 2006. [Google Scholar] [CrossRef]
- Penchaiya, P.; Bobelyn, E.; Verlinden, B.E.; Nicolaï, B.M.; Saeys, W. Non-destructive measurement of firmness and soluble solids content in bell pepper using NIR spectroscopy. J. Food Eng. 2009, 94, 267–273. [Google Scholar] [CrossRef]
- Saeys, W.; Mouazen, A.M.; Ramon, H. Potential for onsite and online analysis of pig manure using visible and near infrared reflectance spectroscopy. Biosyst. Eng. 2005, 91, 393–402. [Google Scholar] [CrossRef]
- Kiefer, J.; Ebel, N.; Schlückerb, E.; Leipertza, A. Characterization of Escherichia coli suspensions using UV/Vis/NIR absorption spectroscopy. Anal. Methods 2010, 2, 123–128. [Google Scholar] [CrossRef]
- Bellon-Maurel, V.; Fernandez-Ahumada, E.; Palagos, B.; Roger, J.M.; McBratney, A. Critical review of chemometric indicators commonly used for assessing the quality of the prediction of soil attributes by NIR spectroscopy. TrAC Trends Anal. Chem. 2010, 29, 1073–1081. [Google Scholar] [CrossRef]
- Williams, P.C. Variables affecting near-infrared reflectance spectroscopic analysis. In Near-Infrared Technology in the Agricultural and Food Industries; Williams, P.C., Norris, K., Eds.; American Association of Cereal Chemists: St. Paul, MN, USA, 1987; p. 158. [Google Scholar]
- Blazquez, C.; Downey, G.; O’Callaghan, D.; Howard, V.; Delahunty, C.; Sheehan, E.; Everard, C.; O’Donnell, C.P. Modelling of sensory and instrumental texture parameters in processed cheese by near infrared reflectance spectroscopy. J. Dairy Res. 2006, 73, 58–69. [Google Scholar] [CrossRef]
- Williams, P.C. Implementation of near-infrared technology. In Near-Infrared Technology in the Agricultural and Food Industries, 2nd ed.; Williams, P.C., Norris, K., Eds.; American Association of Cereal Chemists: St. Paul, MN, USA, 2001. [Google Scholar]
- De Marchi, M. On-line prediction of beef quality traits using near infrared spectroscopy. Meat Sci. 2013, 94, 455–460. [Google Scholar] [CrossRef]




| Sample | Bacteria | Microbial growth for SC in log CFU·mL−1/ for GC in log CFU·g−1) | |||||
|---|---|---|---|---|---|---|---|
| Min | Max | Mean | SD | IQ1 | IQ3 | ||
| SC | Total bacteria | 2.88 | 7.11 | 5.29 | 1.09 | 4.45 | 5.98 |
| E. coli | 0.00 | 6.84 | 4.66 | 1.62 | 3.41 | 6.27 | |
| S. typhimurium | 0.00 | 6.18 | 3.53 | 1.26 | 3.00 | 4.29 | |
| GC | Total bacteria | 3.15 | 7.06 | 5.35 | 1.03 | 4.58 | 6.25 |
| E. coli | 0.00 | 6.59 | 4.60 | 1.88 | 2.85 | 6.00 | |
| S. yphimurium | 0.00 | 6.50 | 4.06 | 1.42 | 2.88 | 5.24 | |
| Sample | Bacteria | N | r | SECV | Bias | Tb | RPD | RPIQ | RER |
|---|---|---|---|---|---|---|---|---|---|
| SC | Total bacteria | 72 | 0.91 | 0.45 | −0.02 | 0.10 | 2.44 | 3.40 | 9.55 |
| E. coli | 72 | 0.86 | 0.83 | −0.12 | 0.20 | 1.95 | 3.45 | 8.18 | |
| S. typhimurium | 72 | 0.71 | 0.93 | −0.01 | 0.22 | 1.36 | 1.39 | 6.72 | |
| GC | Total bacteria | 69 | 0.74 | 0.72 | −0.01 | 0.17 | 1.44 | 2.32 | 5.48 |
| E. coli | 69 | 0.79 | 1.17 | −0.05 | 0.28 | 1.61 | 2.70 | 5.67 | |
| S. typhimurium | 70 | 0.47 | 1.28 | −0.02 | 0.31 | 1.11 | 1.84 | 5.10 |
© 2019 by the authors. Licensee MDPI, Basel, Switzerland. This article is an open access article distributed under the terms and conditions of the Creative Commons Attribution (CC BY) license (http://creativecommons.org/licenses/by/4.0/).
Share and Cite
Matulaprungsan, B.; Wongs-Aree, C.; Penchaiya, P.; Maniwara, P.; Kanlayanarat, S.; Ohashi, S.; Nakano, K. Feasibility of Determination of Foodborne Microbe Contamination of Fresh-Cut Shredded Cabbage Using SW-NIR. AgriEngineering 2019, 1, 246-256. https://doi.org/10.3390/agriengineering1020018
Matulaprungsan B, Wongs-Aree C, Penchaiya P, Maniwara P, Kanlayanarat S, Ohashi S, Nakano K. Feasibility of Determination of Foodborne Microbe Contamination of Fresh-Cut Shredded Cabbage Using SW-NIR. AgriEngineering. 2019; 1(2):246-256. https://doi.org/10.3390/agriengineering1020018
Chicago/Turabian StyleMatulaprungsan, Benjamaporn, Chalermchai Wongs-Aree, Pathompong Penchaiya, Phonkrit Maniwara, Sirichai Kanlayanarat, Shintaroh Ohashi, and Kazuhiro Nakano. 2019. "Feasibility of Determination of Foodborne Microbe Contamination of Fresh-Cut Shredded Cabbage Using SW-NIR" AgriEngineering 1, no. 2: 246-256. https://doi.org/10.3390/agriengineering1020018
APA StyleMatulaprungsan, B., Wongs-Aree, C., Penchaiya, P., Maniwara, P., Kanlayanarat, S., Ohashi, S., & Nakano, K. (2019). Feasibility of Determination of Foodborne Microbe Contamination of Fresh-Cut Shredded Cabbage Using SW-NIR. AgriEngineering, 1(2), 246-256. https://doi.org/10.3390/agriengineering1020018

