Spectral Light Fading of Inkjet Prints
Abstract
1. Introduction
2. Materials and Methods
3. Results
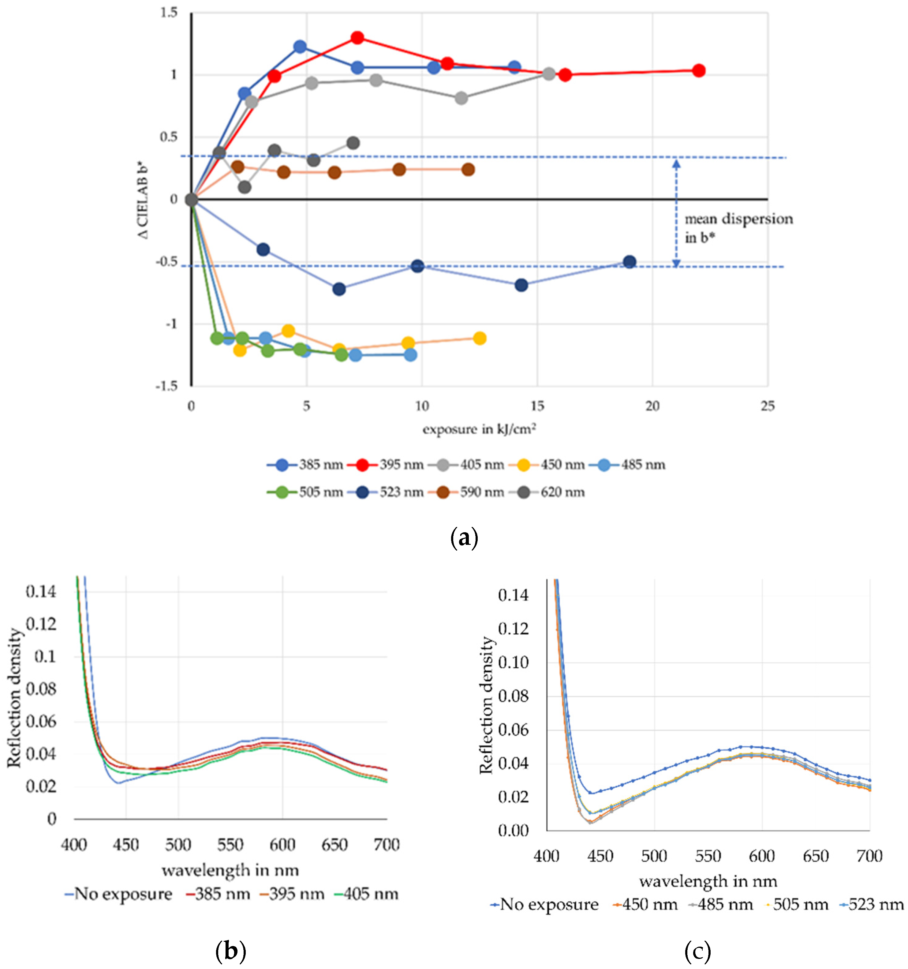
3.1. Color Change of Paper White
3.2. Sensitivity Curves of Three Inkjet Color Patches
3.3. Action Spectra of Three Inkjet Color Patches
3.4. Prediction of Fading of White Light LED
4. Discussion
Author Contributions
Funding
Data Availability Statement
Acknowledgments
Conflicts of Interest
References
- Delgado, M.F.; Dirk, C.W.; Druzik, J.; WestFall, N. Lighting the world’s treasures: Approaches to safer museum lighting. Color Res. Appl. 2010, 36, 238–254. [Google Scholar] [CrossRef]
- Berns, R.S. Designing white-light LED lighting for the display of art: A feasibility study. Color Res. Appl. 2011, 36, 324–334. [Google Scholar] [CrossRef]
- Wilhelm, H.G.; Brower, C. The Permanence and Care of Color Photographs: Traditional and Digital Color Prints, Color Negatives, Slides, and Motion Pictures, 1st ed.; Preservation Pub. Co.: Grinnell, IA, USA, 1993. [Google Scholar]
- Farke, M.; Binetti, M.; Hahn, O. Light damage to selected organic materials in display cases: A study of different light sources. Stud. Conserv. 2016, 61 (Suppl. 1), 83–93. [Google Scholar] [CrossRef]
- Jürgens, M.C. The Digital Print: Identification and Preservation, 1st ed.; Getty Conservation Institute: Los Angeles, CA, USA, 2009. [Google Scholar]
- Druzik, J.; Michalski, S. Guidelines for Selecting Solid-State Lighting for Museums; Getty Conservation Institute: Los Angeles, CA, USA, 2012. [Google Scholar] [CrossRef]
- Aurélien, D.; Whitehead, L.A. LED-based white light. C. R. Phys. 2018, 19, 169–181. [Google Scholar]
- Lavédrine, B.; Gandolfo, J.-P.; Monod, S. A Guide to the Preventive Conservation of Photographic Collections; Getty Conservation Institute: Los Angeles, CA, USA, 2003; pp. 159–161. [Google Scholar]
- Saunders, D.; Kirby, J. Wavelength-dependent fading of artists’ pigments. Stud. Conserv. 1994, 39 (Suppl. 2), 190–194. [Google Scholar] [CrossRef]
- Schaeffer, T.T. Effects of Light on Materials in Collections: Data on Photoflash and Related Sources; Getty Conservation Institute: Los Angeles, CA, USA, 2001; pp. 10–13. [Google Scholar]
- Baumann, E.; Hofmann, R. The Equivalence of Light Sources in Light Stability Testing. In Proceedings of the IS&T’s International Conference on Digital Printing Technologies, Salt Lake City, UT, USA, 31 October–5 November 2004; 2004; pp. 699–704. [Google Scholar]
- Pinilla, S.M.; Vázqueza, D.; Fernández-Balbuenaa, A.A.; Murob, C.; Muñoza, J. Spectral damage model for lighted museum paintings: Oil, acrylic and gouache. J. Cult. Herit. 2016, 22, 931–939. [Google Scholar] [CrossRef]
- Feller, R.L. Accelerated aging: Photochemical and Thermal Aspects; del Rey, M., Ed.; Research in conservation, 4; Getty Conservation Institute: Los Angeles, CA, USA, 1994; pp. 23–54. [Google Scholar]
- Saitmacher, K.; Geisenberger, J.; Macholdt, H.-T.; Menzel, H. Stability of inkjet prints to gas fading—New developments. In Proceedings of the IS&T’s International Conference on Digital Printing Technologies, New Orleans, LA, USA, 28 September–3 October 2003; pp. 334–395. [Google Scholar]
- Kopperl, D.F.; Mizen, M.B. The effect of ozone on the quality and stability of inkjet, chromogenic and silver digital images. In Proceedings of the IS&T’s International Conference on Digital Printing Technologies, New Orleans, LA, USA, 28 September–3 October 2003; pp. 458–459. [Google Scholar]
- Dang, R.; Yuan, Y.; Liu, G.; Liu, J. Chromaticity changes of inorganic pigments in Chinese traditional paintings due to the illumination of frequently-used light sources in museum. Color Res. Appl. 2018, 43, 596–605. [Google Scholar] [CrossRef]
- Luo, H.W.; Chou, C.J.; Chen, H.S.; Luo, M.R. Museum lighting with LEDs: Evaluation of lighting damage to contemporary photographic materials. Light. Res. Technol. 2018, 0, 1–15. [Google Scholar] [CrossRef]
- Piccablotto, G.; Aghemo, C.; Pellegrino, A.; Iacomussi, P.; Radis, M. Study on Conservation Aspects Using LED Technology for Museum Lighting. Energy Procedia 2015, 78, 1347–1352. [Google Scholar] [CrossRef]
- Angelin, E.M.; Cucci, C.; Picollo, M. What about discoloration in plastic artifacts? The use of Fiber Optic Reflectance Spectroscopy in the scope of conservation. Color Cult. Sci. J. 2021, 14, 87–93. [Google Scholar] [CrossRef]
- Whitmore, P.; Pan, X.; Bailie, C. Predicting the fading of objects: Identification of fugitive colorants through direct non-destructive lightfastness measurements. J. Am. Inst. Conserv. 1999, 38, 395–409. [Google Scholar] [CrossRef]
- Whitmore, P.M.; Bailie, C.; Connors, S.A. Micro-fading tests to predict the result of exhibition: Progress and prospects. Stud. Conserv. 2000, 38, 200–205. [Google Scholar] [CrossRef]
- Pesme, C.; Lerwill, A.; Beltran, V.; Druzik, J. Development of Contact Portable Microfade Tester to Assess Light Sensitivity of Collection Items. J. Am. Inst. Conserv. 2016, 55, 117–137. [Google Scholar] [CrossRef]
- Lerwill, A.; Brookes, A.; Townsend, J.H.; Hackney, S.; Liang, H. Micro-fading spectrometry: Investigating the wavelength specificity of fading. Appl. Phys. A 2015, 118, 457–463. [Google Scholar] [CrossRef]
- Li, Z.; Song, X.; Zhang, F.; Dang, R. Method to Obtain LED Spectrum Optimizing Protection Effect and Color Quality for Lighting Dyed Cultural Relics Painted With Inorganic Pigments. IEEE Photon- J. 2021, 13, 1–8. [Google Scholar] [CrossRef]
- Dang, R.; Zhang, F.; Yang, D.; Guo, W.; Liu, G. Spectral damage model for lighting paper and silk in museum. J. Cult. Heritage 2020, 45, 249–253. [Google Scholar] [CrossRef]
- Lee, S.-K.; Mills, A.; O’Rourke, C. Action spectra in semiconductor photocatalysis. Chem. Soc. Rev. 2017, 46, 4877–4894. [Google Scholar] [CrossRef]
- Hattori, H.; Yoshizumi, K.; Crews, P.C. Wavelength sensitivity of AATCC Blue wool lightfastness standards under light radiation. Dye. Pigment. 2012, 92, 936–941. [Google Scholar] [CrossRef]
- Liu, Y.; Fearn, T.; Strlič, M. Spectral sensitivity of the discoloration of Historical rag paper. Talanta Open 2021, 4, 100058. [Google Scholar] [CrossRef]
- Haas, C.P.; Roider, T.; Hoffmann, R.W.; Tallarek, U. Light as a reaction parameter—Systematic wavelength screening in photochemical synthesis. React. Chem. Eng. 2019, 4, 1912–1916. [Google Scholar] [CrossRef]
- Van Ackere, G.; Kanora, H.; Graindourze, M.; Friedel, H.; Lingier, S. Interpretation of Life-of-Display Prediction Calculated from Accelerated Light Fading Tests. In Proceedings of the IS&T’s International Conference on Digital Printing Technologies, Fort Lauderdale, FL, USA, 30 September–5 October 2001; pp. 213–217. [Google Scholar]
- Hofmann-Sievert, R. A Method to Predict the Light Stability of Colour Prints displayed under LED Light with different Spectral Irradiance. In Proceedings of the 2nd Edition of Colour Photography and Film, Florence, Italy, 15–16 September 2022. [Google Scholar]
- Sharma, G.; Wu, W.; Dalal, E. The CIEDE2000 color-difference formula: Implementation notes, supplementary test data, and mathematical observations. Color Res. Appl. 2005, 30, 21–30. [Google Scholar] [CrossRef]
- Ishizuka, H.; Groen, E.; Uchino, N.; Shibahara, Y.; Soejima, S.; der Kinderen, W. Endpoint criteria for evaluation of image permanence of photographic prints. In Proceedings of the NIP & Digital Fabrication Conference, San Francisco, CA, USA, 29 September–2 October September 2019; pp. 197–202. [Google Scholar]
- Wilhelm, H. Yellowish Stain Formation in Inkjet Prints and Traditional Silver-Halide Color Photographs. In Proceedings of the IS&T’s International Conference on Digital Printing Technologies, New Orleans, LA, USA, 28 September–3 October 2003; pp. 444–449. [Google Scholar]
- Reber, J.; Hofmann, R.; Fuerholz, U.; Pauchard, M. Spectroscopic Investigation of IJ Layer Yellowing. In Proceedings of the IS&T’s International Conference on Digital Printing Technologies and Digital Fabrication, Anchorage, AK, USA, 16–21 September 2007; pp. 711–715. [Google Scholar]
- Meyer, A.; Bermane, D. Stability and Permanence of Cibachrome Images. J. Appl. Photogr. Eng. 1983, 9, 121–125. [Google Scholar]
- Wilhelm, H. A Review of Accelerated Test Methods for Predicting the Image Life of Digitally-Printed Photographs—Part II. In Proceedings of the IS&T’s International Conference on Digital Printing Technologies, Salt Lake City, UT, USA, 31 October 31–5 November 2004; pp. 664–669. [Google Scholar] [CrossRef]
- Zhao, Y.; Berns, R.S. Image based spectral reflectance reconstruction using the matrix R. method. Color Res. Appl. 2007, 32, 343–351. [Google Scholar] [CrossRef]
- Berns, R. Artist Acrylic Paint Spectral, Colorimetric, and Image Dataset. In Proceedings of the Archiving Conference 19, Lisbon, Portugal, 14–17 May 2019; pp. 45–49. [Google Scholar] [CrossRef]
- Berns, R.S. Digital color reconstructions of cultural heritage using color-managed imaging and small-aperture spectrophotometry. Color Res. Appl. 2019, 44, 531–546. [Google Scholar] [CrossRef]
- Walowit, E.; Buhr, H.; Wüller, D. Multidimensional Estimation of Spectral Sensitivities, Environmental Science. Proceedins of the 25th Color and Imaging Conference, Lillehammer, Norway, 11–15 September 2017. [Google Scholar] [CrossRef]
- Lehtonen, J.; Parkkinen, J.; Jaaskelainen, T.; Kamshilin, A. Principal component and sampling analysis of color spectra. Opt. Rev. 2009, 16, 81–90. [Google Scholar] [CrossRef]
- Ishizuka, H.; Groen, E.; Uchino, N.; Shibahara, Y.; Soejima, S. Image Permanence of Photographic Prints under LED lighting. In Proceedings of the NIP & Digital. Fabrication Conference, San Francisco, CA, USA, 29 September–2 October 2019; pp. 192–196. [Google Scholar]
- Hofmann, R.; Baumann, E.; Hagen, R. Densitometry versus Colorimetry for Permanence Investigations. In Proceedings of the IS&T’s International Conference on Digital Printing Technologies, Fort Lauderdale, FL, USA, 30 September–5 October 2001; pp. 209–212. [Google Scholar]
- Del Hoyo-Meĺendez, J.M.; Mecklenburg, M.F. An Investigation of the Reciprocity Principle of Light Exposures Using Microfading Spectrometry. Spectrosc. Lett. 2011, 44, 52–62. [Google Scholar] [CrossRef]






| Center Wavelength of LED | Irradiance in mWcm−2 |
|---|---|
| 385 nm | 27 |
| 395 nm | 42 |
| 405 nm | 31 |
| 450 nm | 24 |
| 485 nm | 19 |
| 505 nm | 12 |
| 523 nm | 38 |
| 590 nm | 23 |
| 620 nm | 14 |
| 6500 K | 18 |
| 5000 K | 100 |
| 4000 K | 24 |
| 2700 K | 22 |
| Narrow Band LED Wavelength in nm | White LED 6500 K | White LED 5000 K | White LED 4000 K | White LED 2700 K |
|---|---|---|---|---|
| 385 | 0.00 | 0.00 | 0.00 | 0.00 |
| 395 | 0.00 | 0.00 | 0.00 | 0.00 |
| 405 | 0.00 | 0.00 | 0.00 | 0.00 |
| 450 | 0.31 | 0.38 | 0.32 | 0.18 |
| 485 | 0.08 | 0.00 | 0.00 | 0.03 |
| 505 | 0.00 | 0.00 | 0.00 | 0.00 |
| 523 | 0.31 | 0.31 | 0.30 | 0.29 |
| 590 | 0.30 | 0.31 | 0.38 | 0.50 |
| 620 | 0.00 | 0.00 | 0.00 | 0.00 |
| Narrow Band Exposure | White Light Exposure | |
|---|---|---|
| For LED | Predicted Density Changes D20−D0 | Actual Density Changes D20−D0 |
| 2700 K | −0.135 ± 0.015 | −0.14 ± 0.04 |
| 4000 K | −0.21 ± 0.02 | −0.195 ± 0.025 |
| 5000 K | −0.205 ± 0.025 | −0.205 ± 0.055 |
| 6500 K | −0.21 ± 0.025 | −0.195 ± 0.055 |
Publisher’s Note: MDPI stays neutral with regard to jurisdictional claims in published maps and institutional affiliations. |
© 2022 by the authors. Licensee MDPI, Basel, Switzerland. This article is an open access article distributed under the terms and conditions of the Creative Commons Attribution (CC BY) license (https://creativecommons.org/licenses/by/4.0/).
Share and Cite
Hofmann, M.; Hofmann-Sievert, R. Spectral Light Fading of Inkjet Prints. Heritage 2022, 5, 4061-4073. https://doi.org/10.3390/heritage5040209
Hofmann M, Hofmann-Sievert R. Spectral Light Fading of Inkjet Prints. Heritage. 2022; 5(4):4061-4073. https://doi.org/10.3390/heritage5040209
Chicago/Turabian StyleHofmann, Manfred, and Rita Hofmann-Sievert. 2022. "Spectral Light Fading of Inkjet Prints" Heritage 5, no. 4: 4061-4073. https://doi.org/10.3390/heritage5040209
APA StyleHofmann, M., & Hofmann-Sievert, R. (2022). Spectral Light Fading of Inkjet Prints. Heritage, 5(4), 4061-4073. https://doi.org/10.3390/heritage5040209

