Identifying Brazilwood’s Marker Component, Urolithin C, in Historical Textiles by Surface-Enhanced Raman Spectroscopy
Abstract
:1. Introduction
2. Materials and Methods
2.1. High Performance Liquid Chromatography (HPLC-DAD/HPLC-ESI-Q-ToF-MS)
2.2. Surface-Enhanced Raman Spectroscopy
3. Results and Discussion
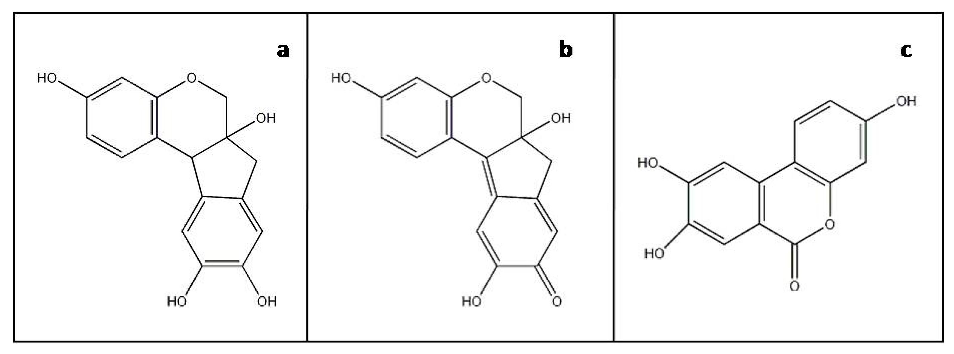
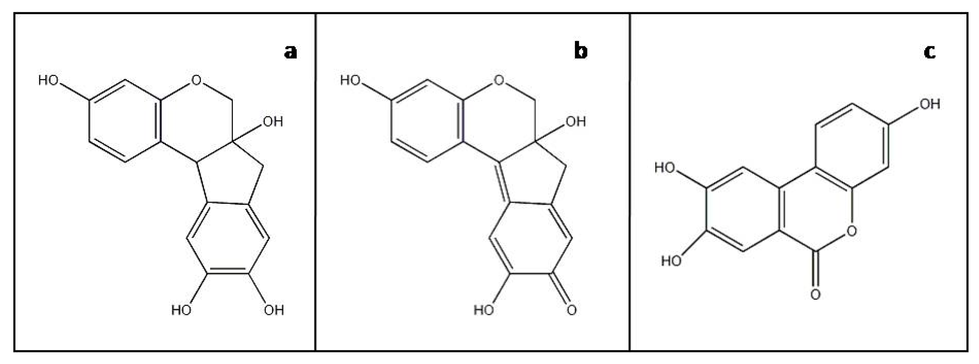
3.1. Brazilin Reference and Brazilwood Pigment
3.2. Urolithin C Standard
3.3. Historical Textile Samples
4. Conclusions
Supplementary Materials
Author Contributions
Funding
Data Availability Statement
Conflicts of Interest
References
- Cardon, D. Natural Dyes: Sources, Tradition, Technology and Science; Archetype Publications Ltd: London, UK, 2007. [Google Scholar]
- Kirby, J.; Saunders, D.; Spring, M. The Object in Context: Crossing Conservation Boundaries. In Proceedings of the Contributions to the Munich Congress, Munich, Germany, 28 August–1 September 2006; Studies in Conservation. Volume 51, pp. 236–243. [Google Scholar] [CrossRef]
- Kirby, J.; Spring, M.; Higgitt, C. The Technology of Red Lake Pigment Manufacture: Study of the Dyestuff Substrate. Natl. Gallery Tech. Bull. 2005, 26, 71–88. [Google Scholar]
- Bomford, D.; Kirby, J.; Roy, A.; Rüger, A.; White, R. Art in the Making: Rembrandt; National Gallery Company Ltd: London, UK, 2006; pp. 41–44. [Google Scholar]
- Centeno, S.A.; Hale, C.; Carò, F.; Cesaratto, A.; Shibayama, N.; Delaney, J.; Dooley, K.; van der Snickt, G.; Janssens, K.; Stein, S.A. Van Gogh’s Irises and Roses: The contribution of chemical analyses and imaging to the assessment of color changes in the red lake pigments. Herit. Sci. 2017, 5, 18. [Google Scholar] [CrossRef] [Green Version]
- Kirby, J.; Van Bommel, M.; Verhecken, A. Natural Colorants for Dyeing and Lake Pigments Practical Recipes and Their Historical Sources; Archtype Publications Ltd: London, UK, 2014. [Google Scholar]
- de Graaff, J.H.H. The Colourful Past: Origins, Chemistry and Identification of Natural Dyestuffs; Abbeg-Stiftung: Riggisberg & Archetype Publications Ltd: London, UK, 2004. [Google Scholar]
- De Oliveira, L.F.C.; Edwards, H.G.M.; Velozo, E.S.; Nesbitt, M. Vibrational spectroscopic study of brazilin and brazilein, the main constituents of brazilwood from Brazil. Vib. Spectrosc. 2002, 28, 243–249. [Google Scholar] [CrossRef]
- Edwards, H.G.M.; De Oliveira, L.F.; Nesbitt, C.M. Fourier-transform Raman characterization of brazilwood trees and substitutes. Analyst 2003, 128, 82–87. [Google Scholar] [CrossRef]
- Nowik, W. The Possibility of Differentiation and Identification of Red and Blue Soluble Dyewoods. Determination of Species used in Dyeing and Chemistry of their Dyestuffs. Dyes in History and Archaeology16/17. Presented at the 16th Meeting, Lyons, France, 1997 and the 17th Meeting, Greenwich, UK, 1998; Kirby, J., Ed.; Archetype Publications Ltd.: London, UK, 2001; pp. 129–144. [Google Scholar]
- Lluveras-Tenorio, A.; Parlanti, F.; Degano, I.; Lorenzetti, G.; Demosthenous, D.; Colombini, M.P.; Rasmussen, K.L. Spectroscopic and mass spectrometric approach to define the Cyprus Orthodox icon tradition—The first known occurrence of Indian lac in Greece/Europe. Microchem. J. 2017, 131, 112–119. [Google Scholar] [CrossRef]
- Peggie, D.A.; Kirby, J.; Poulin, J.; Genuit, W.; Romanuka, J.; Wills, D.F.; De Simone, A.; Hulme, A.N. Historical mystery solved: A multi-analytical approach to the identification of a key marker for the historical use of brazilwood (Caesalpinin spp.) in paintings and textiles. Anal. Methods 2018, 10, 617–662. [Google Scholar] [CrossRef] [Green Version]
- Nirma, N.P.; Rajput, M.S.; Prasad, R.G.S.V.; Ahmad, M. Brazilin from Caesalpinia sappan heartwood and its pharmacological activities: A review. Asian Pac. J. Trop. 2015, 8, 421–430. [Google Scholar] [CrossRef] [PubMed] [Green Version]
- Tamburini, D. Investigating Asian colourants in Chinese textiles from Dunhuang (7th–10th century AD) by high performance liquid chromatography tandem mass spectrometry—Towards the creation of a mass spectra database. Dye. Pigment. 2019, 163, 454–474. [Google Scholar] [CrossRef]
- Yin, P.; Zhang, J.; Yan, L.; Yang, L.; Sun, L.; Shi, L.; Ma, C.; Liu, Y.; Urolithin, C. A gut metabolite of ellagic acid, induces apoptosis in PC12 cells through a mitochondria-mediated pathway. RSC Adv. 2017, 7, 17254–17263. [Google Scholar] [CrossRef] [Green Version]
- Espín, J.C.; Larrosa, M.; García-Conesa, M.T.; Tomás-Barberán, F. Evidence-Based Complementary and Alternative Medicine; Hindawi Publishing Corporation: London, UK, 2013. [Google Scholar] [CrossRef] [Green Version]
- Dillmann, P.; Bellot-Gurlet, L.; Nenner, I. (Eds.) Nanoscience and Cultural Heritage; Atlantis Press: Paris, France, 2016. [Google Scholar]
- Leona, M.; Stenger, J.; Ferloni, E. Application of Surface-Enhanced Raman scattering techniques to the ultrasensitive identification of natural dyes in works of art. J. Raman Spectrosc. 2006, 37, 981–992. [Google Scholar] [CrossRef]
- Cleland, E.; Marjorie, E.; Wieseman, E. Renaissance Splendor—Catherine de’ Medici’s Valois Tapestries; With contributions by de Luca, F., Griffo, A., Perrone Da Zara, C., Beyer, C., Eds.; The Cleveland Museum of Art: Yale University Press: New Haven, CT, USA, 2019; ISBN-13: 978-0300237061. [Google Scholar]
- Lee, P.C.; Meisel, D. Adsorption and surface-enhanced Raman of dyes on silver and gold sols. J. Phys. Chem. 1982, 86, 3391–3395. [Google Scholar] [CrossRef]
- Le Ru, E.; Etchegoin, P. Principles of Surface-Enhanced Raman Spectroscopy and Related Plasmonic Effects, 1st ed.; Elsevier: Amsterdam, The Netherlands, 2008. [Google Scholar]
- Idone, A.; Gulmini, M.; Henry, A.I.; Casadio, F.; Chang, L.; Appolonia, L.; Van Duyne, R.P.; Shah, N.C. Silver colloidal pastes for dye analysis of reference and historical textile fibers using direct, extractionless, non-hydrolysis surface-enhanced Raman spectroscopy. Analyst 2013, 138, 5895. [Google Scholar] [CrossRef] [PubMed]
- Pozzi, F.; Zaleski, S.; Casadio, F.; Van Duyne, R.P. SERS Discrimination of Closely Related Molecules: A Systematic Study of Natural Red Dyes in Binary Mixtures. J. Phys. Chem. C 2016, 120, 21017–21026. [Google Scholar] [CrossRef]
- Alajtal, A.I.; Edwards, H.G.M.; Elbagerma, M.A.; Scowen, I.J. The effect of laser wavelength on the Raman Spectra of phenanthrene, chrysene and tetracene: Implications for extra-terrestrial detection of polyaromatic hydrocarbons. Spectrochim. Acta A 2010, 76, 1–5. [Google Scholar] [CrossRef]
- Bruni, S.; Guglielmi, V.; Pozzi, F. Historical organic dyes: A surface-enhanced Raman scattering (SERS) spectral database on Ag Lee–Meisel colloids aggregated by NaClO4. J. Raman Spectrosc 2011, 42, 1267–1281. [Google Scholar] [CrossRef]
- Fazio, E.; Neri, F.; Valenti, A.; Ossi, P.M.; Trusso, S.; Ponterio, R.C. Raman spectroscopy of organic dyes adsorbed on pulsed laser deposited silver thin films. Appl. Surf. Sci. 2013, 278, 259–264. [Google Scholar] [CrossRef]
- Martina, I.; Wiesinger, R.; Jembrih-Simbürger, D.; Schreiner, M. Micro-Raman characterisation of silver corrosion products: Instrumental set up and reference database. E Preserv. Sci. 2012, 9, 1–8. [Google Scholar]
- Arivazhagan, M.; Subhasini, V.P.; Kavitha, R. Density functional theory investigations on the conformational stability, molecular structure and vibrational spectra of 6-methyl-2-chromenone. Spectrochim. Acta 2014, 128, 527–539. [Google Scholar] [CrossRef] [PubMed]
- Wang, X.; Xu, Q.; Hu, X.; Han, F.; Zhu, C. Silver-nanoparticles/graphene hybrids for effective enrichment and sensitive SERS detection of polycyclic aromatic hydrocarbons. Spectrochim. Acta A 2020, 228, 117783. [Google Scholar] [CrossRef]
- Murray, C.A.; Bodoff, S. Depolarization effects in Raman scattering from cyanide on silver island films. Phys. Rev. B 1985, 32, 671. [Google Scholar] [CrossRef]
- Hulme, A.N.; McNab, H.; Peggie, D.A.; Quye, A. Negative ion electrospray mass spectrometry of neoflavonoids. Phytochemistry 2005, 66, 66–70. [Google Scholar] [CrossRef]
- Degano, I.; Biesaga, M.; Colombini, M.P.; Trojanowicz, M. Historical and archaeological textiles: An insight on degradation products of wool yarns. J. Chromatogr. A 2011, 1218, 5837–5847. [Google Scholar] [CrossRef]
- Gao, J.; Hu, Y.; Li, S.; Zhang, Y.; Chen, X. Adsorption of benzoic acid, phthalic acid on gold substrates studied by surface-enhanced Raman scattering spectroscopy and density functional theory calculations. Spectrochim. Acta A 2013, 104, 41–47. [Google Scholar] [CrossRef]
- Peggie, D.A. The Development and Application of Analytical Methods for the Identification of Dyes on Historical Textiles; University of Edinburgh: Edinburgh, Scotland, 2006; Available online: http://hdl.handle.net/1842/15623 (accessed on 7 December 2020).
- Lee, S.J.; Cheong, B.S.; Cho, H.G. Surface-enhanced Raman Spectroscopic Studies of Ellagic Acid in Silver Colloids. Bull. Korean Chem. Soc. 2015, 36, 1637–1644. [Google Scholar] [CrossRef]
- Valianou, L.; Stathopoulou, K.; Karapanagiotis, I.; Magiatis, P.; Pavlidou, E.; Skaltsounis, A.L. Phytochemical analysis of young fustic (Cotinuscoggygria heartwood) and identification of isolated colourants in historical textiles. Anal. Bioanal. Chem. 2009, 394, 871–882. [Google Scholar] [CrossRef]
- Pozzi, F.; Lombardi, J.R.; Bruni, S.; Leona, M. Sample treatment considerations in the analysis of organic colorants by surface-enhanced Raman scattering. Anal. Chem. 2012, 84, 3751–3757. [Google Scholar] [CrossRef]




| Sample Abbreviation | Provenance | Description |
|---|---|---|
| S#5 | Valois Tapestries, Fontainebleau, c. 1576, based on a design by Antoine Caron, woven under the direction of Master MPG, Brussels (Gallerie degli Uffizi, Florence) | Brown wool |
| S#11 | Valois Tapestries, Whale, c. 1576, based on a design by Antoine Caron, woven under the direction of Master MPG, Brussels (Gallerie degli Uffizi, Florence) | Pale orange silk core fiber of a golden metal thread |
| S#27 | Ecclesiastical garment | Red–brown linen tunic support |
| S#9 | Ecclesiastical garment | Orange–brown silk chenille |
| Brazilin Reference | Brazilwood Lake Pigment | Urolithin C | Urolithin C | Tentative Assignments [9,20,22,23,24] |
|---|---|---|---|---|
| SERS | SERS on Hydrolysis | SERS | Raman | |
| 1619 | 1616 | ν (C=C) + ν(C = O) | ||
| 1562 | 1564 | 1589 1569 | ν(C=C) + δ(OH) | |
| 1530 | 1530 | ν(C=C) and νas(O-C-O) | ||
| 1515 | 1500 | |||
| 1497 | ||||
| 1429 | ν (C=C) + δ(ring) + δ(COH) | |||
| 1395 | ν(C-C) and δ(HCC) | |||
| 1377 | C=C(=O)=C=C | |||
| 1352 | 1354 | ν(C-O), δ(OCC) + δ(CH2) | ||
| 1335 | 1313 | υsy(OCO) | ||
| 1259 | 1255 | 1252 | ν (C-O) + ν(C-C) + δ(CH2) | |
| 1219 | 1227 | 1208 | ν (C-O) + ν(C-C) | |
| 1168 | 1176 | 1167 | 1167 | δ(C-H) and ν(C-C) |
| 1028 | in-plane δ(CH) | |||
| 990 | 987 | ν (C=C) + ν(C=O) | ||
| 958 | ρ (CH2) | |||
| 925 | 935 | |||
| 813 | ||||
| 715 | 728 | 704 | 719 | γ (CO) + γ(CH) |
| 676 | 661 | γ (CH) + δ(CC-O) | ||
| 623 | 611 | γ (CH) | ||
| 549 | 549 | 550 | def.(ring) | |
| 466 | 467 | 469 | def.(ring) | |
| 390 | ||||
| 370 |
| Sample Abbreviation | Dyestuffs and Other Components Identified | ||
|---|---|---|---|
| HPLC-DAD and HPLC-ESI-Q-ToF | SERS | ||
| Colloidal | HF Pre-Treatment | ||
| S#5 | Brazilwood (Urolithin C, sappanol *); 4-hydroxybenzoic acid | Urolithin C 4-hydroxybenzoic acid | Urolithin C 4-hydroxybenzoic acid |
| S#11 | Brazilwood (Urolithin C); Ellagic acid; young fustic (sulfuretin); 4-hydroxybenzoic acid | Urolithin C | Urolithin C Ellagic acid |
| S#27 | Brazilwood (Urolithin C, sappanol *, brazilein *); logwood (hematein *, hematoxylin *); ellagic acid; 4-hydroxybenzoic acid | Urolithin C Neoflavonoid-Brazilein/haematin? | Urolithin C, Logwood-Haematin? |
| S#9 | Brazilwood (Urolithin C, sappanol *); young fustic (sulfuretin, sulfuretin-glucoside *, fisetin *); flavonoid dye (luteolin); indigo or woad (indigotin); 4-hydroxybenzoic acid | Urolithin C, Luteolin, Flavonoid-fustic? | Urolithin C, Luteolin, Flavonoid-fustic? |
Publisher’s Note: MDPI stays neutral with regard to jurisdictional claims in published maps and institutional affiliations. |
© 2021 by the authors. Licensee MDPI, Basel, Switzerland. This article is an open access article distributed under the terms and conditions of the Creative Commons Attribution (CC BY) license (https://creativecommons.org/licenses/by/4.0/).
Share and Cite
Doherty, B.; Degano, I.; Romani, A.; Higgitt, C.; Peggie, D.; Colombini, M.P.; Miliani, C. Identifying Brazilwood’s Marker Component, Urolithin C, in Historical Textiles by Surface-Enhanced Raman Spectroscopy. Heritage 2021, 4, 1415-1428. https://doi.org/10.3390/heritage4030078
Doherty B, Degano I, Romani A, Higgitt C, Peggie D, Colombini MP, Miliani C. Identifying Brazilwood’s Marker Component, Urolithin C, in Historical Textiles by Surface-Enhanced Raman Spectroscopy. Heritage. 2021; 4(3):1415-1428. https://doi.org/10.3390/heritage4030078
Chicago/Turabian StyleDoherty, Brenda, Ilaria Degano, Aldo Romani, Catherine Higgitt, David Peggie, Maria Perla Colombini, and Costanza Miliani. 2021. "Identifying Brazilwood’s Marker Component, Urolithin C, in Historical Textiles by Surface-Enhanced Raman Spectroscopy" Heritage 4, no. 3: 1415-1428. https://doi.org/10.3390/heritage4030078
APA StyleDoherty, B., Degano, I., Romani, A., Higgitt, C., Peggie, D., Colombini, M. P., & Miliani, C. (2021). Identifying Brazilwood’s Marker Component, Urolithin C, in Historical Textiles by Surface-Enhanced Raman Spectroscopy. Heritage, 4(3), 1415-1428. https://doi.org/10.3390/heritage4030078

