Abstract
Population expansion within agricultural lands applies pressure on natural resources, particularly water resources, and leads to contamination through different types of pollutants, such as heavy metals, that consequently alter the ecosystem and impact human health. In the present work, several heavy metals in sediment along the Kitchener drain were assessed using different soil quality and health indices; the Kitchener drain is one of the major drains in the Nile Delta. Sediments were collected from six stations along the drain from upstream to downstream. Soil physical and chemical properties were analyzed as well as four metal pollution indices and five ecological risk indices. Additionally, carcinogenic and noncarcinogenic risks for adults and children were evaluated. The data showed that the Kitchener drain is mainly contaminated with Cd, Pb, and Zn, where the concentrations decreased from upstream to downstream. The eco-toxicological indexes showed that Pb, Zn, and Cr were the most hazardous metals along the drain, mainly at upstream stations. The human health risk indices data revealed that the noncarcinogenic risk of the studied metals can be ordered as follows: Co > Cr > Pb > Mn > Ni > Cd > Cu > Zn for adults, while for children it was Cr > Mn > Co > Pb > Ni > Cd > Cu > Zn. The carcinogenic risk data showed that heavy metals ranged from low to medium in all sites, except for Pb and Zn, which have high carcinogenic risks. The present study showed more contamination upstream compared to downstream which can be attributed to urbanization and human activity, as shown from the land use/landcover map. This highlighted that the major drains inside the Nile Delta suffer from different anthropogenic activities that should be taken into consideration by researchers, scientists, and policymakers. Also, the source of heavy metal pollution, particularly upstream, should be controlled or treated before discharge into the drain. On the other side, downstream (toward the Mediterranean Sea), the heavy metals could affect the trophic levels of the marine ecosystem on the Mediterranean Sea which should be taken into consideration.
1. Introduction
Heavy metals can transported to surface water bodies in agroecosystems via weathering of metal-bearing rocks, volcanic eruptions, and atmospheric deposition during soil formation. In this context, atmospheric deposition is one of the major inputs of dust, metals, acids, nutrients, and pollutants into terrestrial and aquatic ecosystems [1]. In the last few decades, the environment has received different sources of pollutants, resulting from activities influenced by the urban population (e.g., agriculture, industry, and urban development) [2,3]. Heavy metals are ubiquitous environmental contaminants owing to their toxicity, persistence, and bioaccumulation. Weathering of metal-bearing rocks and volcanic eruptions are natural sources, whereas mining and industrial and agricultural operations are humanmade [4]. Biologically, heavy metals are categorized into essential metals such as Fe, Cu, Ni, and Zn, which are essential for the living organisms’ metabolism, and non-essential metals such as Cd, Pb, and Hg, which have toxic effects even in very small quantities [5,6].
HMs found in the wastewater accumulate on sediment, which may affect its final characteristics and consequently affect the aquatic ecosystem [7]. Therefore, the effective protection of the natural environment against pollution from heavy metals is of great concern nowadays. Sediments are one of the basic components of our environment, and are a reservoir for a variety of environmental contaminants [8]; thus, studies on heavy metal concentrations allow us to assess the degree of sediment pollution and the potential ecological risk that these elements may threaten the health of the human population and the environment [9].
In the past fifty years, research has shown that environmental factors have a significant impact on people’s health and social well-being [10]. Despite progress, there is still a wide gap in environmental quality and human health throughout the globe and even within individual nations. Multiple paths and interactions between environmental elements and human health are considered [11,12]. Heavy metals can be exhausted by humans via eating when the metals are incorporated into the food chain as well as via inhalation, or dermal contact if they are present in the topsoil, water, or air. Heavy metals, insecticides, and other substances that stick around for a long time are the major cause of worry [13,14]. Genital deformity, impaired neurodevelopment, sexual development, obesity, and cancer have all been linked to these substances. To prevent this underestimation of risk, a cumulative risk assessment is recommended [15,16].
In Egypt, the use of wastewater for the irrigation of field crops is crucial due to its composition of heavy metals [17]. The presence of heavy metals in high content within the sediments has venomous effects on ecosystems, where they alter the soil productivity, as well as change the soil biology and biochemistry [18,19,20]. The Nile Delta in Egypt is mainly dependent on the water of the Nile River which is inadequate for agriculture and the expansion of the population [21]. As compensation for this, farmers use sewage water for irrigation, which usually has a high concentration of heavy metals that affect human health as well as altering the other biota and the environment [22]. Heavy metal contamination due to using wastewater in agriculture has been reported by many researchers [23,24,25,26,27].
The middle Nile Delta is limited by two main branches: the Damietta branch (240 km long) and the Rosetta branch(235 km long). The Nile Delta region is the most crowded area of the country, and it is home to around 40% of the country’s industrial output [28,29]. The main drainage water pump stations in the middle Nile Delta are Nashart drain, Gharbia drain, Drain No. l, Tala drain, Sabal drain, Drain No. l1, Drain no.7, and Bahr Tira drain.
The Kitchener drain, also known as the Gharbia drain, was primarily constructed to collect and transport water from the surface and subsurface drains in agricultural settings. About 75% of the water in the Kitchener drain comes from agriculture, which contaminates the drain and its branches [30]. In addition to agricultural wastewater, the Kitchener drain received industrial wastewater (23%) that is discharged from industrial cities as well as municipal wastewater (2%) from cities and villages around the branches. The present study aimed to (i) evaluate the sediment contamination by heavy metals (Fe, Mn, Zn, Cu, Co, Cr, Ni, Cd, and Pb) along the Kitchener drain, from upstream to downstream (toward the Mediterranean Sea); (ii) assess the eco-toxicological risk along the drain using different pollution indices; (iii) determine the potential health risks of heavy metals as cumulative carcinogenic and noncarcinogenic risks via the multiple routes of ingestion, inhalation, and dermal exposure.
2. Materials and Methods
2.1. Study Area
The environmental, economic, and social damage caused by the Kitchener Drain makes it one of the most contaminated drains in Egypt. It has a total catchment area of over 1800 km2 and may be found in the heart of the Middle Nile Delta (Figure 1). With about 69 km long, it flows through the Governorates of Kafr El Sheikh (31°34′39.37 N, 31°11′05.41 E) and El-Gharbia before emptying into the Mediterranean Sea [24]. Kitchener drain (El-Gharbia drain), Sabal drain, Bahr Tira drain, El-Serw drain, Hadous drain, and Bahr El-Baqar drain are only a few of the key drains that make up the Nile Delta’s huge drainage system [10]. Together, they serve 64% of Egypt’s total of 29,600 km2 agricultural area. The Kitchener Drain is polluted by effluent from three primary sources: (i) inadequately treated and/or untreated household wastewater from multiple villages within the two governorates; (ii) effluent from an industrial wastewater discharge; and (iii) effluent from an agricultural drainage system including fertilizers and pesticides. The surrounding land use is seen in Figure 2. This image was generated based on the processing of the calibrated Landsat image using a maximum likelihood classifier to assess urban and agricultural activities surrounding the drain and to define the main resources in the study area. This map was made using Landsat 8 acquired in August 2015 and verified in the field.
Figure 1.
Location of the Kitchener drain within Nile Delta of Egypt showing the different stations.
Figure 2.
Up-to-date land use/landcover map of the area along the Kitchener drain generated using ArcGIS.
2.2. Sediment Samples Collection and Physicochemical Analysis
Along the Kitchener drain, six stations were selected to cover the whole drain from downstream (Mediterranean) to upstream. Within each station, at three points, three sediment samples were collected in plastic bags using the coring device at a depth of 10–20 cm. The soil samples are transferred to the Laboratory of Plant Ecology at the College of Science, Mansoura University, for further processing. A total of 54 soil samples were collected (6 stations × 3 points within each station × 3 replicas). The samples were spread and left to dry in air condition at room temperature (25 ± 3 °C) for 10 days. Air-dried samples were mixed well, sieved through a 2 mm mesh to remove any debris such as gravel and plant remnants, and then packed in plastic bags for further physical and chemical analyses. The grain size was determined by sieve methods [31], while soil organic matter (SOM) was determined by the chromic acid titration method according to Ryan et al. [32]. The content of calcium carbonate in the dried soil was determined according to Jackson [33]. After preparation of the soil solution (1:5), the pH was immediately measured using a pH meter (Model YK-2001PH, Lutron, Kuala Lumpur, Malaysia), while the electrical conductivity (EC) was measured with an EC meter (YSI Incorporated Model 33, Lutron, Kuala Lumpur, Malaysia). Three replications were conducted for each sample.
2.3. Extractable Element Content
The aqua regia extraction–microwave digestion (AR-MW) of the elements was performed following the International Organization for Standardization [34]. Up to 0.5 g of sample was mixed with 12 mL of aqua regia (37% hydrochloric acid: 70% nitric acid, or 3:1) in a Teflon vessel. Within 5.5 min, the microwave oven reached 180 °C, and the vessels stayed there for another 9.5 min. Based on the environmental relevance, Fe, Mn, Zn, Cu, Co, Cr, Ni, Cd, and Pb were determined via the standard calibration procedure using an inductivity coupled plasma atomic emission spectrometry instrument (Thermo ScientificTM, iCAPTM 7000 Plus Series ICP-OES, Waltham, MA USA). The ISO 11885 (2009) was used to determine which wavelengths to employ in ICP-OES.
2.4. Metal Pollution Indices in the Sediment
For the evaluation of soil pollution, four pollution indexes were used, including the geoaccumulation index (Igeo), the potential contamination index (PCI), the degree of contamination (Dc), and the pollution load index (PLI) [35,36,37,38,39,40,41,42]. These pollution indices were calculated for all collected samples based on the formulas and classes given in Table S1.
2.5. Eco-Toxicological Assessment of Heavy Metals
For assessing the ecological risk of the studied heavy metals along the Kitchener drain, five indices were calculated, including the mean effect range median quotient (mERMQ), the mean probable effects level quotient (mPELQ), the hazard quotients (HQ), the contamination severity index (CSI), and the modified hazard quotient (mHQ) [43,44,45,46,47,48,49]. The details about how these indexes were calculated are presented in Table S2, while Table S3 displays the categories and medians of the soil quality guidelines (SQGs) for those metals.
2.6. Health Risk Assessment
The hazard quotient (HQ) is a measure used to approximate the degree of risk (noncarcinogenic) posed by pollution. In order to estimate the HQ of heavy metals, one must first determine the extent to which humans are exposed to the metal in question by following the path taken by the pollutant on its way into the human body. The value of HQ depends upon chemical daily intake (CDI), dermal absorbed dose (DAD), exposure concentration (EC) of metals, and oral reference dose (RfD0) [50,51,52]. US-EPA (2011a-c) defines the hazard index (HI) for HQs as the product of the individual hazard quotients. To measure exposure to carcinogens, we computed the cancer risk (CR) using data from [50,53].
Based on the air quality guideline (National Ambient Air Quality Standards [NAAQS], 2014), average concentrations of heavy metals per unit volume of air were estimated using the conversion factor of inhalation (Cfinh). According to USEPA [50], RfD0 is the estimated daily exposure of metal without detrimental impact on the human body. USEPA [50] consulted for the values of RFD0, RfCi, SF0, GIABS, and IUR. Tables S4–S6 provide the categorization and inputs for health risk assessment equations.
2.7. Statistical Analysis
One-way analysis of variance (ANOVA) was performed on the hydrosoil variables and heavy metals analyses, and the means were separated using Duncan’s test at the 0.05 probability level using COSTAT 6.3 program.
3. Results and Discussion
3.1. Sediment Analysis
3.1.1. Physiochemical Parameters
Metal availability in the natural environment is contingent on a number of factors, including soil characteristics and the biogeochemical activities that take place there [54]. The types of land use and transportation have the greatest influence on metal dispersion and accumulation in sediments (Figure 1). The present data show a significant difference (p ≤ 0.05) in all the estimated parameters observed between stations along the Kitchener drain, except pH and CaCO3. In comparison to the other stations along the drain, downstream (station 6) had greater levels of SOM and fine fractions (silt and clay), whereas upstream (station 1) had higher levels of pH, EC, CaCO3, and sand (Table 1). All the stations along the drain had soil whose pH was in the alkaline range (7.84 to 8.18). These values were similar to those previously reported by Emara et al. [55] and El-Amier et al. [26] for different sites in Burullus drains receiving untreated wastewater. Sracek et al. [56] observed that the metals’ dissolution and bioavailability had strong pH effects; under acidic conditions, HMs can be mobilized and deposited onto several environmental media including soils. Otherwise, at the natural pH, HMs were immobilized and reacted with oxide and hydroxides of iron [56]. In contrast, high conductivity often results in heavy metals forming a complex with chloride ions, which reduces the metals’ mobility [57]. The addition of wastewater from agriculture and industrial activities in water–sediment systems of water bodies may have increased the conductivity [58]. The EC ranged from 1.74 dS.m−1 in station 6 to 3.44 dS.m−1 in station 1, salinization processes are usually due to seawater intrusion. Notably, climatic conditions, Mediterranean Sea water, and groundwater all contribute to salinization, which is a problem in the northern regions of the Nile Delta [30]. Soil types in the Nile Delta vary from calcaric fluvisols to gleyic solonchaks [59] depending on soil groups/land cover.
Table 1.
Sediment physicochemical analysis of different stations (S1–S6) along the Kitchener drain.
According to Kaninga et al. [60], the diverse components of SOM, oxides of Al, Fe, and Mn, clays, and other amorphous soil minerals serve as a primary reservoir for HMs. Researchers have reported that soil is a major reservoir for HMs through its various constituents, such as SOM, oxides of Al, Fe and Mn, clays, and other amorphous soil minerals. The SOM in the present study ranged from 1.43% to 2.65% in stations 5 and 6, respectively. Significant negative correlations have also been recorded between heavy metals availability and SOM through the immobilization of these metals [61,62]. Waly et al. [63] found that the pH of soil treated with wastewater dropped with time. This decrease is attributable to soil microorganisms producing carbon dioxide and organic acids. On the other hand, the CaCO3 content varied from 2.16% to 3.12% in stations 6 and 1, respectively. Heavy metals are preserved in the soil by adsorption, sedimentation, and stabilization in the soil structure. However, the retention and accumulation of minerals in all soil components depends on the soil texture [54,64]. Sediments were found to be sandy in all of the investigated samples, with the proportion of sand increasing nearer the Mediterranean shore, from 68.57% to 88.70%.
3.1.2. Heavy Metal Distribution in Sediments
In recent decades, the main impacts on the distribution and accumulation of hazardous substances in sediments are anthropogenic activities. HMs represent a high risk to ecosystem components and human health [4,11]. The concentrations of nine heavy metals at different sites along the Kitchener drain are summarized in Table 2. There are highly significant differences (p ≤ 0.05) between the metal concentrations in all sites. These high concentrations likely indicate the excess of anthropogenic inputs derived from rapid urbanization and industrialization and have been enough to make considerable changes in the sediment in all sites. Similarly, the highest concentration of HMs in the sediments was shown in the Burullus drains, middle Nile Delta [26]. Generally, the concentrations of HMs (mg kg−1) in different sites along the Kitchener drain ranged from and follow a descending order: Fe (3435.99–70956.05 mg kg−1) > Mn (205.22–1034.44) > Pb (16.75–869.04) > Cr (25.55–263.44) > Zn (13.06–251.32) > Cu (0.01–184.09) > Ni (0.28–61.66) > Co (3.12–40.32) > Cd (0.28–9.83). HMs in sediments from the different sites were compared to EU [65], CSQGD [66], and US-EPA [67] soil values (Table 2).
Table 2.
The concentration of nine heavy metals (mg kg−1) in the sediment of the studied sites (S1–S6) along Kitchener drain, Egypt.
The highest levels of iron and manganese are found in the S2 sediment (downstream). This site is the confluence of three major drainages and is characterized by dense urbanization around it (Figure 2), which resulted in a significant volume of sewage wastes, chemicals, paints, and road traffic. The distance from the outfall, as well as significant anthropogenic activities, influence Fe sediment concentrations, according to Yan et al. [68]. In this case, the sediment sample from site S1 was found in the outfall zone, showing that the rate of suspended particle deposition near the discharged region is higher. Approximately 91% of environmental manganese is released into the soil, and its content is associated with the sand fraction. Except for site S2, the Mn concentration is greater than the US-EPA [67] soil standards (550 mg kg−1), owing to sewage discharge from several villages along the drains, as well as the release of organic waste and fertilizers from agriculture [69].
The highest concentrations of Cd, Cr, Cu, Ni, and Zn were found at site S5 (near upstream). This might be ascribed to the LU/LC activity of agricultural wastes, particularly those containing superphosphate fertilizers and pesticides, as well as industrial effluents, particularly those from leather tanning, paint production, and textile industries in El-Mehalla El-Kobra, and anthropogenic outputs derived from household products. Furthermore, sources of Zn in water bodies might include the electroplating industry and sewage effluents [70]. These pollution sources were concentrated in the Nile Delta’s middle area. This study is supported by the findings of El-Alfy et al. [25] and El-Amier et al. [26]. According to Negm et al. [29], the middle Nile Delta is the most densely inhabited agricultural area in Egypt, with roughly 40% of all Egyptian industry concentrated there.
In the present century, the highest concentration of Pb was recorded at S6 (upstream). This might be attributed to urban activities, including automotive exhaust and batteries, industrial effluents, sewage sludge, fertilizers, and pesticide application. In contrast, the highest mean value of Co was recorded at site S2 (near the downstream) could be attributed to the LULC activity in the agriculture sector, especially the introduction of several pollutants such as chemical fertilizers, herbicides, and insecticides. This observation is in agreement with the study of El-Alfy et al. [24]. On the other hand, the lowest values of Pb and Co were recorded at site S1 (downstream), which might be attributed to the lack of industrialization and agriculture practices, where this area is characterized by bare land (Figure 1).
The quantities of metals in sediments along the Kitchener drain are unequal at different locations. This might be due to the lack of a continuous and reliable supply into the drain, which is in line with the results of Chen et al. [71]. Furthermore, agricultural wastewater is the primary source of contamination along drains and their branches, accounting for 75% of drainage water [30].
3.2. Contamination Assessment of Heavy Metals in Sediment
3.2.1. Potential Contamination Index (PCI)
The calculated potential contamination index is shown in Figure 3 for metal ions of Fe, Mn, Ni, Cr, Cd, Co, Cu, Pb, and Zn indicated strong or severe contamination for Cd, Pb, Zn, Cr, and Cu (i.e, PCI ≥ 3), moderate contamination for Fe, Mn, and Co (1 ≤ PCI ≤ 3) and unpolluted or low level of pollution for Ni (PCI < 1). Based on the calculations of the PCI, the metals can be ordered in this sequence Pb (43.45) > Cd (32.77) > Zn (13.39) > Cu (4.09) > Cr (3.47) > Mn (2.16) > Co (2.12) > Fe (1.50) > Ni (0.91) (Figure 3). The bioavailability and toxicity of metals in sediment samples are dependent not only on their concentrations but also on the chemical form in which they are found [72]. According to El-Alfy et al. [25], Cd is the most polluted due to several LULC sources, such as agriculture (fertilizers and pesticides) and industry.
Figure 3.
Potential contamination index (PCI) of the nine heavy metals in the sediment of the studied stations (S1–S6) along the Kitchener drain. Different letters within each parameter mean values significant at p ≤ 0.05.
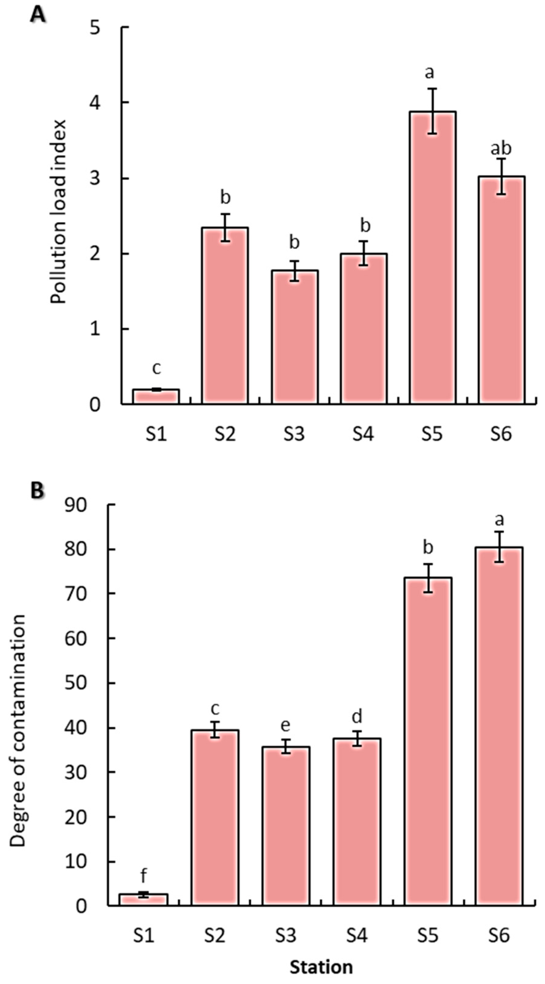
3.2.2. Degree of Contamination (Dc) and Pollution Load Index (PLI)
The ratio of metal concentration (Csample) in the sediment to metal concentration (Cref) in unpolluted sediment permits the assessment of sediment contamination, with the determined degree of contamination based on each metal’s contamination factor. The degree of contamination (DC) indicated that most of the sites attained DC > 32 (i.e., very high degree of contamination), with values of 80.46, 73.53, 37.55, 35.76, and 39.56 at sites S2–S6, respectively. While S1 attained Dc < 8 (i.e., low degree of contamination) with a value of 2.68. It is clear that the degree of contamination decreases from upstream (inside the Nile Delta) to downstream (towards the Sea coast), i.e., with decreasing anthropogenic activity (i.e., agricultural land, sewage, and tributaries). According to the findings of Hakanson [38] and Caeiro et al. [37], the present results indicate serious anthropogenic pollution.
The pollution load index (PLI) of a single site is the root of the number (n) of multiplied contamination factor (CF) values. A PLI score of zero represents ideal quality; a value of one indicates just baseline levels of contaminants; and values over one indicate increasing degradation of site quality [41,42]. In the present study, PLI indicates metal contamination in all sites is polluted (PLI > 1), except S1 (PLI < 1) (Figure 4). PLI-ordered sites appear in the following sequence: S5 (3.89) > S6 (3.03) > S2 (2.38) > S4 (2.01) > S3 (1.77) > S1 (0.19) (Figure 4).
Figure 4.
(A) The pollution load index (PLI) and (B) degree of contamination (Dc) by nine heavy metals in the sediment of the studied stations (S1–S6) along the Kitchener drain. Different letters within each parameter mean values significant at p ≤ 0.05.
3.2.3. Geo-Accumulation Index (Igeo)
Heavy metal concentration in aquatic sediments may be determined with the use of the Igeo, the most trusted and extensively used index for doing so. The element’s geochemical background value in a typical shale was used in the Igeo calculation. According to Muller [40], Igeo for measured metals showed unpolluted degree for Fe, Mn, Cu, Ni, and Co with values of −0.244, −0.190, −0.095, −0.672, and −0.135, while Cd, Pb, Cr, and Zn attained 0 < Igeo < 1 (i.e., uncontaminated to moderately contaminated) with values of 0.503, 0.133, 0.058, and 0.995, respectively (Figure 5). The high level of Cd in sediments of the Kitchener drain may be attributed to the increased rate of non-treatment industrial waste, which is discharged. This is agreed with El-Amier et al. [26] and El-Alfy et al. [25] who obtained high levels of Cd and Pb contamination at drains of Burullus Lake (middle Nile Delta) and Bahr El-Baqar drain (east Nile Delta), respectively.
Figure 5.
Mean values of geoaccumulation index (Igeo) of nine heavy metals in the sediment of the studied stations (S1–S6) along the Kitchener drain. Different letters within each parameter mean values significant at p ≤ 0.05.
Igeo’s findings were consistent with those of PCI, Dc, and PLI, suggesting that Cd and Pb (human origin) are the primary contaminants in the Kitchener drain.
3.3. Eco-Toxicity Indices
3.3.1. Sediment Quality Guidelines SQGs
According to the limits of sediment quality guidelines SQGs (Table S3), 16.67% of samples are lower than ERL, TEL, and GBC, and 33.33% of samples are higher than ERM, PEL, and SEL for Pb. For Cd, levels are lower in 16.67% of samples than ERL, TEL, PEL, and GBC, 83.33% of samples are lower than ERM, and 100% of samples are lower than SEL. Ni concentrations are higher in 83.33% of samples than ERL, TEL, and PEL, 66.67% of samples are lower than ERM and 100% of samples are lower than SEL and GBC. For Cu, 83.33, 16.67, 100, 100, 83.33, and 50% of samples are lower than ERL, TEL, ERM, PEL, SEL, and GBC. Zn contents are lower in 16.67% of samples than ERL, TEL, and GBC, and 83.33% of samples are lower than ERM, PEL, and SEL. While for Cr, 16.67% of samples are lower than the used limits of SQGs (Table S3). In this study, Cr and Cd were shown to be the most hazardous contaminants.
3.3.2. Contamination Severity Index (CSI)
In order to measure the ecological risk of heavy metal contamination in sediments, Pejman et al. [73] created the contamination severity index (CSI). This index’s framework is derived from the ERL and ERM values provided by Long et al. [48] and Graney and Eriksen [74]. In the present study, CSI ordered six heavy metals in this sequence: Pb (13.83) > Zn (5.47) > Cr (4.61) > Ni (2.04) > Cd (1.72) > Cu (0.82). According to heavy metal analysis (Table 2) and the different levels of CSI (Figure 6), Cu showed very low severity of contamination (0.5 ≤ CSI < 1), Cd showed low to moderate severity of contamination (1.5 ≤ CSI < 2), Ni showed moderate severity of contamination (2 ≤ CSI < 2.5), Cr showed very high severity of contamination (4 ≤ CSI < 5), and Pb and Zn showed ultra-high severity of contamination (CSI ≥ 5). In contrast, El-Alfy et al. [25] found that the El-Serw and Hadous drains were uncontaminated for Pb and Cr but had low severity of contamination for Ni and moderate–high contamination for Cd, while Cd had very high severity of contamination in the Bahr El-Baqar drain (eastern region of the Nile Delta).
Figure 6.
Mean values of the contamination severity index (CSI) among the studied stations (S1–S6) along the Kitchener drain (A) and for the determined heavy metals (B). Different letters within each parameter mean values significant at p ≤ 0.05.
Regarding sites, the mean values of CSI ordered in this sequence: S6 (13.32) > S5 (8.27) > S2 (2.33) > S3 (2.14) > S4 (2.06) > S1 (0.33) (Figure 6B). Based on CSI values for the total of sampling sites in the Kitchener drain, S1 (downstream) is uncontaminated; S2, S3, and S4 are moderate severity of contamination; the ultra-high severity of contamination is calculated at sites S5 and S6 (upstream).
3.3.3. The mPELq and mERMq Indices
In the present study, the mPELq ranged between 0.099 at S1 (mPELq ≤ 0.1; i.e., low degree of contamination) to 2.84 at S6 (mPELq > 2.3; i.e., high degree of contamination) with 33.3% probability with the maximum score for ecotoxicological risk (Figure 7). Sites S2, S3, and S4 attained values of 1.35, 1.25, and 1.25, respectively (0.1 < mPELq ≤ 1.5; i.e., medium–low degree of contamination), while S5 attained a value of 2.70 (mPELq > 2.3; i.e., high degree of contamination). In contrast, El-Alfy et al. [25] found that the El-Serw and Hadous drains ranged between low and medium degrees of contamination, while in Bahr El-Baqar, it ranged between a low and a high degree of contamination. Inconsistently, El-Alfy et al. [25] observed that the value of mPELq in the Bahr El-Baqar drain ranged from low to high levels; in contrast, in the El-Serw and Hadous drains, were polluted at low–medium levels.
Figure 7.
The probable effect level quotient (mPELQ) and effect range median quotient (mERMQ) of nine heavy metals in the sediment of the studied stations (S1–S6) along the Kitchener drain. Different letters within each parameter mean values significant at p ≤ 0.05.
On the other hand, the mERMq was calculated by dividing each chemical concentration by its respective ERM and averaging the individual quotients [15]. The mean values of mERMq ordered in this sequence: S6 (2.10) > S5 (2.06) > S2 (0.86) > S3 (0.79) > S4 (0.78) > S1 (0.07). From the classification of the predictive ability of mERMq for the total of sampling sites in the Kitchener drain, S1–S4 are low-priority risk level sites, while S5 and S6 are high-priority risk level sites. Seawater intrusion may be causing the dilution of metal concentrations at these sites. In other studies, the value of mERMq in some drains (east Nile delta) ranged from medium–low priority to high–medium priority [25].
3.3.4. Hazard Quotients (HQ and mHQ)
The relative toxicity of trace metals to the environment and organisms in aquatic ecosystems can be assessed using hazard quotients (HQ) values. In the present study, the mean values of hazard quotient HQ for all heavy metals in sampling sites are moderate hazards (1 < HQ < 10), except Cd is a high hazard (HQ > 10). The mean values of HQ can be ordered in this sequence; Cd (10.91) > Pb (6.45) > Cr (6.21) > Cu (3.67) > Zn (2.83) > Ni (2.42). On the other hand, the values of mHQ for all investigated metals are extreme severity of contamination (Figure 8A). The mHQ values ranged between 13.57 for Ni and 50.23 for Cr. For Pb, Zn, Cu, and Cd. The values of mHQ were 47.09, 41.94, 16.27, and 9.37, respectively. This is agreed with El-Alfy et al. [24] who obtained high levels of HQ and mHQ for Ni, Cd, Cr, and Pb. According to Benson et al. [43], the mHQ is a reliable and effective pollution tool for estimating the amount of pollution state, site-specific status, and aggregative heavy metal contamination impacts in aquatic ecosystems.
Figure 8.
Mean values of hazard quotients (HQ) and modified hazard quotient (mHQ) of the studied stations (S1–S6) along the Kitchener drain (A) and for the determined heavy metals (B). Different letters within each parameter mean values significant at p ≤ 0.05.
Based on these indices, the sediments of the Kitchener drain reflect considerable pollution, which could be due to anthropogenic activities such as urbanization, industry, aquaculture, and watercourse alterations. The upstream stations (S5 and S6) attained higher HQ values compared to the downstream stations (S1–S4), where S5 and S attained HQ values of 9.79 and 8.85, respectively (Figure 8B). However, station S1 attained the lowest value of HQ (0.29).
3.4. Human Health Risk Assessment
According to the health risk assessment approach proposed by the US EPA (US-EPA, 2011), heavy metals may be analyzed and computed based on three pathways: ingestion (CDI), dermal (DAD), and inhalation (EC). In accordance with the US EPA’s [51] Guidelines for Health Risk Assessment of Chemical Mixtures, Table 3 displays the hazard indices (HIs) calculated for each HM in this investigation.
Table 3.
Hazard quotient and hazard index values for adults and children within sites (S1–S6) along Kitchener drain, Egypt.
3.4.1. Noncarcinogenic Hazard Assessment
The results of HQ and HI for adults and children are obtained in Table 4. In adults, the values of HQ for those pathways of this study decreased in the order of EC > DAD > CDI for Mn and Ni; DAD > EC > CDI for Cr and Cd; CDI > EC > DAD for Co; CDI > DAD for Pb, Zn, and Cu. For children, values of HQ based on the exposure pathways take the following subsequences: CDI > EC > DAD for Cd, Cr, Co, and Ni; EC > CDI > DAD for Mn; CDI > DAD for Pb, Cu, and Zn.
Table 4.
Carcinogenic risk values from different exposure pathways within sites (S1–S6) along Kitchener drain, Egypt.
All metals except Cr showed no significant hazards of noncarcinogenic effects along drain sites, which may be attributed to sewage wastes and agricultural wastes. Co, on the other hand, showed a relatively high potential hazard of noncarcinogenic effects along drain sites, which may be attributed to the use of fertilizers in various agricultural activities. Pb at site 6 (upstream) may be attributed to urban activities, including automotive exhaust and batteries, industrial effluents, sewage sludge, fertilizers, and pesticide application. This finding is lower than that reported by El-Alfy et al. [24] on agricultural areas irrigated with wastewater from the Kitchener drain and Burullus Lake shoreline, respectively.
For adults, the cumulative hazard index (HI) value of Cr is more than one (i.e., chance of noncarcinogenic effects) along drain sites except site S1, characterized by distinct LULC activities. For other metals, HI is less than one (i.e., no significant hazard of noncarcinogenic effects) at all sites. As for children, HI showed no significant hazards of noncarcinogenic effects along drain sites (HI < 1) for all metals except Pb; HI is more than 1 at site S6 (downstream). There was no clear trend in the noncarcinogenic effects of Cr, Mn, Co, and Pb among age groups in this investigation. Based on the average hazard index (HI) for adults, the heavy metals can be ordered as follows: Co > Cr > Pb > Mn > Ni > Cd > Cu > Zn. For children, it can be sequenced as follows: Cr > Mn > Co > Pb > Ni > Cd > Cu > Zn.
As the majority of exposure may be linked to farming activities, it was discovered that HQ is acquired by dermal contact rather than ingestion or inhalation. Pb and Cr were major contributors to exposures through ingestion and dermal contact, whereas Ni and Co may have the largest impact through ingestion contact and inhalation exposure. Previous epidemiological studies have found a link between exposure to high levels of certain metals, such as Ni, Cd, Cu, and Cr, and indicators of cardiovascular disease [75]. Moreover, in toxicological studies, the incidence of hyperglycemia, insulin resistance, glycemic deregulation, and hypertension from exposure to Ni and Cd have been reported [76,77].
3.4.2. Carcinogenic Risk (CR)
The incremental chance of developing cancer throughout a lifetime as a result of exposure to a possible carcinogen is known as carcinogenic risk. The values of carcinogenic risk of metal ions through DAD, CDI, and inhalation (Inh) are shown in Table 4. For an adult, carcinogenic risk values of investigated metals range from low CR (10−6 ≤ CR < 10−5) to medium CR (10−5 ≤ CR < 10−4) in all sites, except for Pb and Zn, which have high CR (10−4 ≤ CR < 10−3) through CDI at sites S6 and S5 (upstream), respectively, and Cr through DAD at sites S2–S6. For the inhalation pathway, it showed acceptable limits. This may be ascribed to urbanization (traffic and the use of leaded gasoline), agriculture (fertilizers and pesticides), industrial effluents, and home products, among other factors [70].
For children, carcinogenic risk values of investigated metals showed cancer risk for all metals in different sites through CDI except sites 1 for Cu, Ni, Co, and Cd, where values were higher than those of carcinogenic impacts. The CR values of investigated metals range from high CR (10−4 ≤ CR < 10−3) to very high CR (CR > 10−3) at sites S2–S6, whereas S1 showed fluctuation in class according to the type of metal (Table 4). Another exposure pathway is DAD, which attained a range from low CR (10−6 ≤ CR < 10−5) to medium CR (10−5 ≤ CR < 10−4) in all sites except S1 (downstream); Cd showed acceptable limits. The inhalation pathway showed acceptable limits for all metals except Cr, which showed low CR.
In this investigation, it was discovered that ingestion and dermal exposure may induce carcinogenic effects in adults and children. Furthermore, the lower carcinogenic risk for children than for adults might be ascribed to the shorter period of exposure for children or the nature of adult activities [78].
4. Conclusions
The data of heavy metal analysis in the present study revealed that Kitchener Drain, middle Nile Delta, is contaminated mainly with Cd, Pb, and Zn. Moreover, these metal concentrations were decreased from upstream to downstream (toward the Mediterranean Sea). Based on the assessed ecotoxicology indexes, it is clear that Pb, Zn, and Cr were the most hazardous metals along the drain, particularly at upstream stations. The studied human health risk assessment showed that the noncarcinogenic risk of the studied metals for adults can be sequenced according to the hazard index: Co > Cr > Pb > Mn > Ni > Cd > Cu > Zn. For children, it was as follows: Cr > Mn > Co > Pb > Ni > Cd > Cu > Zn. However, the carcinogenic risk data revealed that the studied heavy metals ranged from low to medium in all sites, except for Pb and Zn, which have high carcinogenic risks. Thereby, it is recommended that the source of the heavy metal pollution, particularly upstream, is screened and determined; then, these sources should controlled or treated before discharge into the drain.
Supplementary Materials
The following supporting information can be downloaded at: https://www.mdpi.com/article/10.3390/soilsystems7040085/s1, Table S1: Pollution quantification (single and total complex indices) used in this study; Table S2. Eco-toxicity indices used in the present study; Table S3. Threshold, midrange, and extreme effects sediment guidelines for selected metals; Table S4. Health risk assessment indices were used in this study; Table S5. Input parameters to characterize the HI values; Table S6. Toxicity parameters used to investigate noncarcinogenic and carcinogenic risks.
Author Contributions
Conceptualization, Y.A.E.-A. and A.M.A.-E.; formal analysis, Y.A.E.-A., G.B. and A.M.A.-E.; investigation, Y.A.E.-A., G.B. and A.M.A.-E.; writing—original draft preparation, Y.A.E.-A. and A.M.A.-E.; writing—review and editing, Y.A.E.-A., G.B. and A.M.A.-E.; visualization, Y.A.E.-A., G.B. and A.M.A.-E. All authors have read and agreed to the published version of the manuscript.
Funding
This research was funded by the Researchers Supporting Project number (RSPD2023R676), King Saud University, Riyadh, Saudi Arabia.
Institutional Review Board Statement
Not applicable.
Informed Consent Statement
Not applicable.
Data Availability Statement
Not applicable.
Acknowledgments
The authors extend their appreciation to The Researchers Supporting Project number (RSPD2023R676), King Saud University, Riyadh, Saudi Arabia.
Conflicts of Interest
The authors declare no conflict of interest.
References
- Anderson, K.A.; Downing, J.A. Dry and wet atmospheric deposition of nitrogen, phosphorus and silicon in an agricultural region. Water Air Soil Pollut. 2006, 176, 351–374. [Google Scholar] [CrossRef]
- Wang, H.; Li, X.; Chen, Y.; Li, Z.; Hedding, D.W.; Nel, W.; Ji, J.; Chen, J. Geochemical behavior and potential health risk of heavy metals in basalt-derived agricultural soil and crops: A case study from Xuyi County, eastern China. Sci. Total Environ. 2020, 729, 139058. [Google Scholar] [CrossRef] [PubMed]
- Gautam, P.K.; Gautam, R.K.; Banerjee, S.; Chattopadhyaya, M.; Pandey, J. Heavy metals in the environment: Fate, transport, toxicity and remediation technologies. Nova Sci. Publ. 2016, 60, 101–130. [Google Scholar]
- Ali, H.; Khan, E.; Ilahi, I. Environmental chemistry and ecotoxicology of hazardous heavy metals: Environmental persistence, toxicity, and bioaccumulation. J. Chem. 2019, 2019, 6730305. [Google Scholar] [CrossRef]
- Cobbina, S.J.; Chen, Y.; Zhou, Z.; Wu, X.; Feng, W.; Wang, W.; Mao, G.; Xu, H.; Zhang, Z.; Wu, X. Low concentration toxic metal mixture interactions: Effects on essential and non-essential metals in brain, liver, and kidneys of mice on sub-chronic exposure. Chemosphere 2015, 132, 79–86. [Google Scholar] [CrossRef]
- Roy, S. Overview of heavy metals and aquatic environment with notes on their recovery. Ecoscan 2010, 4, 235–240. [Google Scholar]
- Rajeshkumar, S.; Liu, Y.; Zhang, X.; Ravikumar, B.; Bai, G.; Li, X. Studies on seasonal pollution of heavy metals in water, sediment, fish and oyster from the Meiliang Bay of Taihu Lake in China. Chemosphere 2018, 191, 626–638. [Google Scholar] [CrossRef]
- Edokpayi, J.; Odiyo, J.; Popoola, O.; Msagati, T. Assessment of trace metals contamination of surface water and sediment: A case study of Mvudi River, South Africa. Sustainability 2016, 8, 135. [Google Scholar] [CrossRef]
- Ntakirutimana, T.; Du, G.; Guo, J.-s.; Gao, X.; Huang, L. Pollution and potential ecological risk assessment of heavy metals in a lake. Pol. J. Environ. Stud. 2013, 22, 1129–1134. [Google Scholar]
- Elbehiry, F.; Elbasiouny, H.; El-Ramady, H.; Brevik, E.C. Mobility, distribution, and potential risk assessment of selected trace elements in soils of the Nile Delta, Egypt. Environ. Monit. Assess. 2019, 191, 713. [Google Scholar] [CrossRef]
- Corvalan, C.; Hales, S.; McMichael, A.J.; Butler, C.; McMichael, A. Ecosystems and Human Well-Being: Health Synthesis; World Health Organization: Geneva, Switzerland, 2005. [Google Scholar]
- Drakvik, E.; Altenburger, R.; Aoki, Y.; Backhaus, T.; Bahadori, T.; Barouki, R.; Brack, W.; Cronin, M.T.; Demeneix, B.; Bennekou, S.H. Statement on advancing the assessment of chemical mixtures and their risks for human health and the environment. Environ. Int. 2020, 134, 105267. [Google Scholar] [CrossRef]
- Jaishankar, M.; Tseten, T.; Anbalagan, N.; Mathew, B.B.; Beeregowda, K.N. Toxicity, mechanism and health effects of some heavy metals. Interdiscip. Toxicol. 2014, 7, 60–72. [Google Scholar] [CrossRef]
- Mishra, S.; Bharagava, R.N.; More, N.; Yadav, A.; Zainith, S.; Mani, S.; Chowdhary, P. Heavy metal contamination: An alarming threat to environment and human health. In Environmental Biotechnology: For Sustainable Future; Springer: Berlin/Heidelberg, Germany, 2019; pp. 103–125. [Google Scholar]
- Boobis, A.R.; Ossendorp, B.C.; Banasiak, U.; Hamey, P.Y.; Sebestyen, I.; Moretto, A. Cumulative risk assessment of pesticide residues in food. Toxicol. Lett. 2008, 180, 137–150. [Google Scholar] [CrossRef]
- Valcke, M.; Bourgault, M.-H.; Rochette, L.; Normandin, L.; Samuel, O.; Belleville, D.; Blanchet, C.; Phaneuf, D. Human health risk assessment on the consumption of fruits and vegetables containing residual pesticides: A cancer and non-cancer risk/benefit perspective. Environ. Int. 2017, 108, 63–74. [Google Scholar] [CrossRef]
- El-Bady, M.S. Spatial distribution of some important heavy metals in the soils south of Manzala Lake in Bahr El-Baqar region, Egypt. Nova J. Eng. Appl. Sci. 2014, 2, 1–15. [Google Scholar]
- Abdu, N.; Abdullahi, A.A.; Abdulkadir, A. Heavy metals and soil microbes. Environ. Chem. Lett. 2017, 15, 65–84. [Google Scholar] [CrossRef]
- Fleeger, J.W.; Carman, K.R.; Nisbet, R.M. Indirect effects of contaminants in aquatic ecosystems. Sci. Total Environ. 2003, 317, 207–233. [Google Scholar] [CrossRef]
- Abdousalam, A. Effect of heavy metals on soil microbial processes and population. Egypt. Acad. J. Biol. Sci. 2010, 2, 9–14. [Google Scholar]
- Wolters, W.; Smit, R.; Nour El-Din, M.; Sayed Ahmed, E.; Froebrich, J.; Ritzema, H. Issues and challenges in spatial and temporal water allocation in the Nile Delta. Sustainability 2016, 8, 383. [Google Scholar] [CrossRef]
- El-Amier, Y.A.; Bonanomi, G.; Abd-ElGawad, A.M. Assessment of heavy metals contamination and ecological risks in coastal sediments of the Mediterranean seashore. Reg. Stud. Mar. Sci. 2023, 63, 103017. [Google Scholar] [CrossRef]
- Abdel-Moati, M.; El-Sammak, A. Man-made impact on the geochemistry of the Nile Delta Lakes. A study of metals concentrations in sediments. Water Air Soil Pollut. 1997, 97, 413. [Google Scholar] [CrossRef]
- El-Alfy, M.A.; El-Amier, Y.A.; Abd El-Hamid, H.T. Soil quality and health risk assessment of heavy metals in agricultural areas irrigated with wastewater from Kitchener Drain, Nile Delta, Egypt. J. Sci. Agric. 2017, 1, 158–170. [Google Scholar] [CrossRef][Green Version]
- El-Alfy, M.A.; El-Amier, Y.A.; El-Eraky, T.E. Land use/cover and eco-toxicity indices for identifying metal contamination in sediments of drains, Manzala Lake, Egypt. Heliyon 2020, 6, e03177. [Google Scholar] [CrossRef]
- El-Amier, Y.A.; Bonanomi, G.; Al-Rowaily, S.L.; Abd-ElGawad, A.M. Ecological Risk Assessment of Heavy Metals along Three Main Drains in Nile Delta and Potential Phytoremediation by Macrophyte Plants. Plants 2020, 9, 910. [Google Scholar] [CrossRef] [PubMed]
- El-Serehy, H.A.; Aboulela, H.; Al-Misned, F.; Kaiser, M.; Al-Rasheid, K.; El-Din, H.E. Heavy metals contamination of a Mediterranean coastal ecosystem, eastern Nile Delta, Egypt. Turk. J. Fish. Aquat. Sci. 2012, 12, 751–760. [Google Scholar]
- Stanley, D.J.; Warne, A.G. Nile Delta in its destruction phase. J. Coast. Res. 1998, 14, 795–825. [Google Scholar]
- Negm, A.M.; Saavedra, O.; El-Adawy, A. Nile Delta biography: Challenges and opportunities. In The Nile Delta; Negm, A., Ed.; Springer: Cham, Switzerland, 2016; pp. 3–18. [Google Scholar]
- Khalifa, H.; Moussa, H. Soil and Agriculture After the Aswan High Dam. In Irrigated Agriculture in Egypt; Satoh, M., Aboulroos, S., Eds.; Springer: Cham, Switzerland, 2017; pp. 81–124. [Google Scholar]
- Piper, C.S. Soil and Plant Analysis; Interscience Publishers, Inc.: New York, NY, USA, 1947. [Google Scholar]
- Ryan, J.; Estefan, G.; Rashid, A. Soil and Plant Analysis Laboratory Manual; ICARDA: Aleppo, Syria, 2001. [Google Scholar]
- Jackson, M.L. Soil Chemical Analysis; Constable and Co., Ltd: London, UK, 1962. [Google Scholar]
- ISO 12914; Soil Quality—Microwave-Assisted Extraction of the Aqua Regia Soluble Fraction for the Determination of Elements. 2012. Available online: https://www.iso.org/obp/ui/#iso:std:iso:12914:ed-1:v1:en (accessed on 8 August 2023).
- Dauvalter, V.; Rognerud, S. Heavy metal pollution in sediments of the Pasvik River drainage. Chemosphere 2001, 42, 9–18. [Google Scholar] [CrossRef]
- Wu, Q.; Leung, J.Y.; Geng, X.; Chen, S.; Huang, X.; Li, H.; Huang, Z.; Zhu, L.; Chen, J.; Lu, Y. Heavy metal contamination of soil and water in the vicinity of an abandoned e-waste recycling site: Implications for dissemination of heavy metals. Sci. Total Environ. 2015, 506, 217–225. [Google Scholar] [CrossRef]
- Caeiro, S.; Costa, M.H.; Ramos, T.; Fernandes, F.; Silveira, N.; Coimbra, A.; Medeiros, G.; Painho, M. Assessing heavy metal contamination in Sado Estuary sediment: An index analysis approach. Ecol. Indic. 2005, 5, 151–169. [Google Scholar] [CrossRef]
- Hakanson, L. An ecological risk index for aquatic pollution control. A sedimentological approach. Water Res. 1980, 14, 975–1001. [Google Scholar] [CrossRef]
- Lu, S.; Bai, S. Contamination and potential mobility assessment of heavy metals in urban soils of Hangzhou, China: Relationship with different land uses. Environ. Earth Sci. 2010, 60, 1481–1490. [Google Scholar] [CrossRef]
- Muller, G. Index of geoaccumulation in sediments of the Rhine River. Geojournal 1969, 2, 108–118. [Google Scholar]
- Seshan, B.; Natesan, U.; Deepthi, K. Geochemical and statistical approach for evaluation of heavy metal pollution in core sediments in southeast coast of India. Int. J. Environ. Sci. Technol. 2010, 7, 291–306. [Google Scholar] [CrossRef]
- Tomlinson, D.; Wilson, J.; Harris, C.; Jeffrey, D. Problems in the assessment of heavy-metal levels in estuaries and the formation of a pollution index. Helgoländer Meeresunters. 1980, 33, 566–575. [Google Scholar] [CrossRef]
- Benson, N.U.; Adedapo, A.E.; Fred-Ahmadu, O.H.; Williams, A.B.; Udosen, E.D.; Ayejuyo, O.O.; Olajire, A.A. New ecological risk indices for evaluating heavy metals contamination in aquatic sediment: A case study of the Gulf of Guinea. Reg. Stud. Mar. Sci. 2018, 18, 44–56. [Google Scholar] [CrossRef]
- Burton, J.R.; Allen, G. Sediment quality criteria in use around the world. Limnology 2002, 3, 65–76. [Google Scholar] [CrossRef]
- Carr, S.R.; Chapman, D.C.; Long, E.R.; Windom, H.L.; Thursby, G.; Sloane, G.M.; Wolfe, D.A. Sediment quality assessment studies of Tampa Bay, Florida. Environ. Toxicol. Chem. 1996, 15, 1218–1231. [Google Scholar] [CrossRef]
- Feng, H.; Jiang, H.; Gao, W.; Weinstein, M.P.; Zhang, Q.; Zhang, W.; Yu, L.; Yuan, D.; Tao, J. Metal contamination in sediments of the western Bohai Bay and adjacent estuaries, China. J. Environ. Manag. 2011, 92, 1185–1197. [Google Scholar] [CrossRef] [PubMed]
- Long, E.R. Calculation and uses of mean sediment quality guideline quotients: A critical review. Environ. Sci. Technol. 2006, 40, 1726–1736. [Google Scholar] [CrossRef] [PubMed]
- Long, E.R.; MacDonald, D.D.; Severn, C.G.; Hong, C.B. Classifying probabilities of acute toxicity in marine sediments with empirically derived sediment quality guidelines. Environ. Toxicol. Chem. 2000, 19, 2598–2601. [Google Scholar] [CrossRef]
- MacDonald, D.D.; Ingersoll, C.G.; Berger, T. Development and evaluation of consensus-based sediment quality guidelines for freshwater ecosystems. Arch. Environ. Contam. Toxicol. 2000, 39, 20–31. [Google Scholar] [CrossRef]
- USEPA. Users’ Guide and Background Technical Document for USEPA Region 9’s Preliminary Remediation Goals (PRG) Table; United States Environmental Protection Agency: Washington, DC, USA, 2011.
- USEPA. Integrated Risk Information System (IRIS); U.S. Environmental Protection Agency: Washington, DC, USA, 2011.
- Abdelhafez, A.A.; Li, J. Environmental monitoring of heavy metal status and human health risk assessment in the agricultural soils of the Jinxi River area, China. Hum. Ecol. Risk Assess. 2015, 21, 952–971. [Google Scholar] [CrossRef]
- Li, F.; Huang, J.; Zeng, G.; Huang, X.; Liu, W.; Wu, H.; Yuan, Y.; He, X.; Lai, M. Spatial distribution and health risk assessment of toxic metals associated with receptor population density in street dust: A case study of Xiandao District, Changsha, Middle China. Environ. Sci. Pollut. Res. 2015, 22, 6732–6742. [Google Scholar] [CrossRef] [PubMed]
- Xu, Y. Stabilization of heavy metal-contaminated sediment with a chelator and humic acid mixture. Water Air Soil Pollut. 2017, 228, 20. [Google Scholar] [CrossRef]
- Emara, E.K.; Farfour, S.A.; Mousa, I.E. Environmental Studies on the Effects of Aquaculture and Drainage Wastewaters on Lake Burullus. Am. -Eurasian J. Agric. Environ. Sci. 2016, 16, 410–423. [Google Scholar]
- Sracek, O.; Mihaljevič, M.; Kříbek, B.; Majer, V.; Veselovský, F. Geochemistry and mineralogy of Cu and Co in mine tailings at the Copperbelt, Zambia. J. Afr. Earth Sci. 2010, 57, 14–30. [Google Scholar] [CrossRef]
- Acosta, J.; Jansen, B.; Kalbitz, K.; Faz, A.; Martínez-Martínez, S. Salinity increases mobility of heavy metals in soils. Chemosphere 2011, 85, 1318–1324. [Google Scholar] [CrossRef] [PubMed]
- Singh, A.; Sharma, R.K.; Agrawal, M.; Marshall, F. Effects of wastewater irrigation on physicochemical properties of soil and availability of heavy metals in soil and vegetables. Commun. Soil Sci. Plant Anal. 2009, 40, 3469–3490. [Google Scholar] [CrossRef]
- FAO. Guidelines for Soil Description, 4th ed.; FAO: Rome, Italy, 2006. [Google Scholar]
- Kaninga, B.K.; Chishala, B.H.; Maseka, K.K.; Sakala, G.M.; Lark, M.R.; Tye, A.; Watts, M.J. mine tailings in an African tropical environment—Mechanisms for the bioavailability of heavy metals in soils. Environ. Geochem. Health 2019, 42, 1069–1094. [Google Scholar] [CrossRef]
- Yi, L.; Hong, Y.; Wang, D.; Zhu, Y. Determination of free heavy metal ion concentrations in soils around a cadmium rich zinc deposit. Geochem. J. 2007, 41, 235–240. [Google Scholar] [CrossRef]
- Sharma, M.R.; Raju, N. Correlation of heavy metal contamination with soil properties of industrial areas of Mysore, Karnataka, India by cluster analysis. Int. Res. J. Environ. Sci. 2013, 2, 22–27. [Google Scholar]
- Waly, T.; Abd Elnaim, E.; Omran, M.; El Nashar, B. Effect of sewage water on chemical properties and heavy metals content of El Gabal El Asfar sandy soils. Biol. Wastes 1987, 22, 275–284. [Google Scholar] [CrossRef]
- Bradl, H.B. Adsorption of heavy metal ions on soils and soils constituents. J. Colloid Interface Sci. 2004, 277, 1–18. [Google Scholar] [CrossRef] [PubMed]
- EU. Heavy Metals in Wastes, European Commission on Environment. Available online: http://ec.europa.eu/environment/waste/studies/pdf/heavy_metalsreport.pdf (accessed on 1 February 2002).
- CSQGD. Canadian Soil Quality Guidelines for the Protection of Environment and Human Health; Canadian Council of Ministers of the Environment (CCME): Winnipeg, MB, Canada, 2007. [Google Scholar]
- US-EPA. Screening Level Ecological Risk Assessment Protocol for HazardousWaste Combustion Facilities; Appendix E: Toxicity Reference Values; EPA530-D99-001C; USA EPA: Dallas, TX, USA, 1999; Volume 3.
- Yan, G.; Mao, L.; Liu, S.; Mao, Y.; Ye, H.; Huang, T.; Li, F.; Chen, L. Enrichment and sources of trace metals in roadside soils in Shanghai, China: A case study of two urban/rural roads. Sci. Total Environ. 2018, 631, 942–950. [Google Scholar] [CrossRef]
- Arslan Topal, E.I.; Topal, M.; Öbek, E. Assessment of heavy metal accumulations and health risk potentials in tomatoes grown in the discharge area of a municipal wastewater treatment plant. Int. J. Environ. Health Res. 2022, 32, 393–405. [Google Scholar] [CrossRef]
- Boxall, A.; Comber, S.; Conrad, A.; Howcroft, J.; Zaman, N. Inputs, monitoring and fate modelling of antifouling biocides in UK estuaries. Mar. Pollut. Bull. 2000, 40, 898–905. [Google Scholar] [CrossRef]
- Chen, Z.; Salem, A.; Xu, Z.; Zhang, W. Ecological implications of heavy metal concentrations in the sediments of Burullus Lagoon of Nile Delta, Egypt. Estuar. Coast. Shelf Sci. 2010, 86, 491–498. [Google Scholar] [CrossRef]
- Kwon, Y.-T.; Lee, C.-W.; Ahn, B.-Y. Sedimentation pattern and sediments bioavailability in a wastewater discharging area by sequential metal analysis. Microchem. J. 2001, 68, 135–141. [Google Scholar] [CrossRef]
- Pejman, A.; Nabi Bidhendi, G.; Ardestani, M.; Saeedi, M.; Baghvand, A. A new index for assessing heavy metals contamination in sediments: A case study. Ecol. Indic. 2015, 58, 365–373. [Google Scholar] [CrossRef]
- Graney, J.R.; Eriksen, T.M. Metals in pond sediments as archives of anthropogenic activities: A study in response to health concerns. Appl. Geochem. 2004, 19, 1177–1188. [Google Scholar] [CrossRef]
- Meng, Q.; Richmond-Bryant, J.; Lu, S.-E.; Buckley, B.; Welsh, W.J.; Whitsel, E.A.; Hanna, A.; Yeatts, K.B.; Warren, J.; Herring, A.H. Cardiovascular outcomes and the physical and chemical properties of metal ions found in particulate matter air pollution: A QICAR study. Environ. Health Perspect. 2013, 121, 558–564. [Google Scholar] [CrossRef] [PubMed]
- Das Gupta, A.; Dhara, P.C.; Dhundasi, S.i.A.; Das, K.K. Effect of garlic (Allium sativum) on nickel II or chromium VI induced alterations of glucose homeostasis and hepatic antioxidant status under sub-chronic exposure conditions. J. Basic Clin. Physiol. Pharmacol. 2009, 20, 1–14. [Google Scholar] [CrossRef] [PubMed]
- Xu, X.; Rao, X.; Wang, T.-Y.; Jiang, S.Y.; Ying, Z.; Liu, C.; Wang, A.; Zhong, M.; Deiuliis, J.A.; Maiseyeu, A.; et al. Effect of co-exposure to nickel and particulate matter on insulin resistance and mitochondrial dysfunction in a mouse model. Part. Fibre Toxicol. 2012, 9, 40. [Google Scholar] [CrossRef] [PubMed]
- Koki, I.B.; Bayero, A.S.; Umar, A.; Yusuf, S. Health risk assessment of heavy metals in water, air, soil and fish. Afr. J. Pure Appl. Chem. 2015, 9, 204–210. [Google Scholar]
Disclaimer/Publisher’s Note: The statements, opinions and data contained in all publications are solely those of the individual author(s) and contributor(s) and not of MDPI and/or the editor(s). MDPI and/or the editor(s) disclaim responsibility for any injury to people or property resulting from any ideas, methods, instructions or products referred to in the content. |
© 2023 by the authors. Licensee MDPI, Basel, Switzerland. This article is an open access article distributed under the terms and conditions of the Creative Commons Attribution (CC BY) license (https://creativecommons.org/licenses/by/4.0/).







