Pollution Risk Assessment of Heavy Metals along Kitchener Drain Sediment, Nile Delta
Abstract
1. Introduction
2. Materials and Methods
2.1. Study Area
2.2. Sediment Samples Collection and Physicochemical Analysis
2.3. Extractable Element Content
2.4. Metal Pollution Indices in the Sediment
2.5. Eco-Toxicological Assessment of Heavy Metals
2.6. Health Risk Assessment
2.7. Statistical Analysis
3. Results and Discussion
3.1. Sediment Analysis
3.1.1. Physiochemical Parameters
3.1.2. Heavy Metal Distribution in Sediments
3.2. Contamination Assessment of Heavy Metals in Sediment
3.2.1. Potential Contamination Index (PCI)
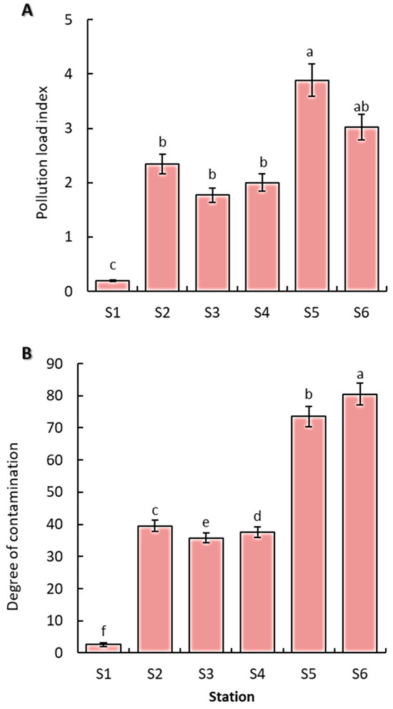
3.2.2. Degree of Contamination (Dc) and Pollution Load Index (PLI)
3.2.3. Geo-Accumulation Index (Igeo)
3.3. Eco-Toxicity Indices
3.3.1. Sediment Quality Guidelines SQGs
3.3.2. Contamination Severity Index (CSI)
3.3.3. The mPELq and mERMq Indices
3.3.4. Hazard Quotients (HQ and mHQ)
3.4. Human Health Risk Assessment
3.4.1. Noncarcinogenic Hazard Assessment
3.4.2. Carcinogenic Risk (CR)
4. Conclusions
Supplementary Materials
Author Contributions
Funding
Institutional Review Board Statement
Informed Consent Statement
Data Availability Statement
Acknowledgments
Conflicts of Interest
References
- Anderson, K.A.; Downing, J.A. Dry and wet atmospheric deposition of nitrogen, phosphorus and silicon in an agricultural region. Water Air Soil Pollut. 2006, 176, 351–374. [Google Scholar] [CrossRef]
- Wang, H.; Li, X.; Chen, Y.; Li, Z.; Hedding, D.W.; Nel, W.; Ji, J.; Chen, J. Geochemical behavior and potential health risk of heavy metals in basalt-derived agricultural soil and crops: A case study from Xuyi County, eastern China. Sci. Total Environ. 2020, 729, 139058. [Google Scholar] [CrossRef] [PubMed]
- Gautam, P.K.; Gautam, R.K.; Banerjee, S.; Chattopadhyaya, M.; Pandey, J. Heavy metals in the environment: Fate, transport, toxicity and remediation technologies. Nova Sci. Publ. 2016, 60, 101–130. [Google Scholar]
- Ali, H.; Khan, E.; Ilahi, I. Environmental chemistry and ecotoxicology of hazardous heavy metals: Environmental persistence, toxicity, and bioaccumulation. J. Chem. 2019, 2019, 6730305. [Google Scholar] [CrossRef]
- Cobbina, S.J.; Chen, Y.; Zhou, Z.; Wu, X.; Feng, W.; Wang, W.; Mao, G.; Xu, H.; Zhang, Z.; Wu, X. Low concentration toxic metal mixture interactions: Effects on essential and non-essential metals in brain, liver, and kidneys of mice on sub-chronic exposure. Chemosphere 2015, 132, 79–86. [Google Scholar] [CrossRef]
- Roy, S. Overview of heavy metals and aquatic environment with notes on their recovery. Ecoscan 2010, 4, 235–240. [Google Scholar]
- Rajeshkumar, S.; Liu, Y.; Zhang, X.; Ravikumar, B.; Bai, G.; Li, X. Studies on seasonal pollution of heavy metals in water, sediment, fish and oyster from the Meiliang Bay of Taihu Lake in China. Chemosphere 2018, 191, 626–638. [Google Scholar] [CrossRef]
- Edokpayi, J.; Odiyo, J.; Popoola, O.; Msagati, T. Assessment of trace metals contamination of surface water and sediment: A case study of Mvudi River, South Africa. Sustainability 2016, 8, 135. [Google Scholar] [CrossRef]
- Ntakirutimana, T.; Du, G.; Guo, J.-s.; Gao, X.; Huang, L. Pollution and potential ecological risk assessment of heavy metals in a lake. Pol. J. Environ. Stud. 2013, 22, 1129–1134. [Google Scholar]
- Elbehiry, F.; Elbasiouny, H.; El-Ramady, H.; Brevik, E.C. Mobility, distribution, and potential risk assessment of selected trace elements in soils of the Nile Delta, Egypt. Environ. Monit. Assess. 2019, 191, 713. [Google Scholar] [CrossRef]
- Corvalan, C.; Hales, S.; McMichael, A.J.; Butler, C.; McMichael, A. Ecosystems and Human Well-Being: Health Synthesis; World Health Organization: Geneva, Switzerland, 2005. [Google Scholar]
- Drakvik, E.; Altenburger, R.; Aoki, Y.; Backhaus, T.; Bahadori, T.; Barouki, R.; Brack, W.; Cronin, M.T.; Demeneix, B.; Bennekou, S.H. Statement on advancing the assessment of chemical mixtures and their risks for human health and the environment. Environ. Int. 2020, 134, 105267. [Google Scholar] [CrossRef]
- Jaishankar, M.; Tseten, T.; Anbalagan, N.; Mathew, B.B.; Beeregowda, K.N. Toxicity, mechanism and health effects of some heavy metals. Interdiscip. Toxicol. 2014, 7, 60–72. [Google Scholar] [CrossRef]
- Mishra, S.; Bharagava, R.N.; More, N.; Yadav, A.; Zainith, S.; Mani, S.; Chowdhary, P. Heavy metal contamination: An alarming threat to environment and human health. In Environmental Biotechnology: For Sustainable Future; Springer: Berlin/Heidelberg, Germany, 2019; pp. 103–125. [Google Scholar]
- Boobis, A.R.; Ossendorp, B.C.; Banasiak, U.; Hamey, P.Y.; Sebestyen, I.; Moretto, A. Cumulative risk assessment of pesticide residues in food. Toxicol. Lett. 2008, 180, 137–150. [Google Scholar] [CrossRef]
- Valcke, M.; Bourgault, M.-H.; Rochette, L.; Normandin, L.; Samuel, O.; Belleville, D.; Blanchet, C.; Phaneuf, D. Human health risk assessment on the consumption of fruits and vegetables containing residual pesticides: A cancer and non-cancer risk/benefit perspective. Environ. Int. 2017, 108, 63–74. [Google Scholar] [CrossRef]
- El-Bady, M.S. Spatial distribution of some important heavy metals in the soils south of Manzala Lake in Bahr El-Baqar region, Egypt. Nova J. Eng. Appl. Sci. 2014, 2, 1–15. [Google Scholar]
- Abdu, N.; Abdullahi, A.A.; Abdulkadir, A. Heavy metals and soil microbes. Environ. Chem. Lett. 2017, 15, 65–84. [Google Scholar] [CrossRef]
- Fleeger, J.W.; Carman, K.R.; Nisbet, R.M. Indirect effects of contaminants in aquatic ecosystems. Sci. Total Environ. 2003, 317, 207–233. [Google Scholar] [CrossRef]
- Abdousalam, A. Effect of heavy metals on soil microbial processes and population. Egypt. Acad. J. Biol. Sci. 2010, 2, 9–14. [Google Scholar]
- Wolters, W.; Smit, R.; Nour El-Din, M.; Sayed Ahmed, E.; Froebrich, J.; Ritzema, H. Issues and challenges in spatial and temporal water allocation in the Nile Delta. Sustainability 2016, 8, 383. [Google Scholar] [CrossRef]
- El-Amier, Y.A.; Bonanomi, G.; Abd-ElGawad, A.M. Assessment of heavy metals contamination and ecological risks in coastal sediments of the Mediterranean seashore. Reg. Stud. Mar. Sci. 2023, 63, 103017. [Google Scholar] [CrossRef]
- Abdel-Moati, M.; El-Sammak, A. Man-made impact on the geochemistry of the Nile Delta Lakes. A study of metals concentrations in sediments. Water Air Soil Pollut. 1997, 97, 413. [Google Scholar] [CrossRef]
- El-Alfy, M.A.; El-Amier, Y.A.; Abd El-Hamid, H.T. Soil quality and health risk assessment of heavy metals in agricultural areas irrigated with wastewater from Kitchener Drain, Nile Delta, Egypt. J. Sci. Agric. 2017, 1, 158–170. [Google Scholar] [CrossRef][Green Version]
- El-Alfy, M.A.; El-Amier, Y.A.; El-Eraky, T.E. Land use/cover and eco-toxicity indices for identifying metal contamination in sediments of drains, Manzala Lake, Egypt. Heliyon 2020, 6, e03177. [Google Scholar] [CrossRef]
- El-Amier, Y.A.; Bonanomi, G.; Al-Rowaily, S.L.; Abd-ElGawad, A.M. Ecological Risk Assessment of Heavy Metals along Three Main Drains in Nile Delta and Potential Phytoremediation by Macrophyte Plants. Plants 2020, 9, 910. [Google Scholar] [CrossRef] [PubMed]
- El-Serehy, H.A.; Aboulela, H.; Al-Misned, F.; Kaiser, M.; Al-Rasheid, K.; El-Din, H.E. Heavy metals contamination of a Mediterranean coastal ecosystem, eastern Nile Delta, Egypt. Turk. J. Fish. Aquat. Sci. 2012, 12, 751–760. [Google Scholar]
- Stanley, D.J.; Warne, A.G. Nile Delta in its destruction phase. J. Coast. Res. 1998, 14, 795–825. [Google Scholar]
- Negm, A.M.; Saavedra, O.; El-Adawy, A. Nile Delta biography: Challenges and opportunities. In The Nile Delta; Negm, A., Ed.; Springer: Cham, Switzerland, 2016; pp. 3–18. [Google Scholar]
- Khalifa, H.; Moussa, H. Soil and Agriculture After the Aswan High Dam. In Irrigated Agriculture in Egypt; Satoh, M., Aboulroos, S., Eds.; Springer: Cham, Switzerland, 2017; pp. 81–124. [Google Scholar]
- Piper, C.S. Soil and Plant Analysis; Interscience Publishers, Inc.: New York, NY, USA, 1947. [Google Scholar]
- Ryan, J.; Estefan, G.; Rashid, A. Soil and Plant Analysis Laboratory Manual; ICARDA: Aleppo, Syria, 2001. [Google Scholar]
- Jackson, M.L. Soil Chemical Analysis; Constable and Co., Ltd: London, UK, 1962. [Google Scholar]
- ISO 12914; Soil Quality—Microwave-Assisted Extraction of the Aqua Regia Soluble Fraction for the Determination of Elements. 2012. Available online: https://www.iso.org/obp/ui/#iso:std:iso:12914:ed-1:v1:en (accessed on 8 August 2023).
- Dauvalter, V.; Rognerud, S. Heavy metal pollution in sediments of the Pasvik River drainage. Chemosphere 2001, 42, 9–18. [Google Scholar] [CrossRef]
- Wu, Q.; Leung, J.Y.; Geng, X.; Chen, S.; Huang, X.; Li, H.; Huang, Z.; Zhu, L.; Chen, J.; Lu, Y. Heavy metal contamination of soil and water in the vicinity of an abandoned e-waste recycling site: Implications for dissemination of heavy metals. Sci. Total Environ. 2015, 506, 217–225. [Google Scholar] [CrossRef]
- Caeiro, S.; Costa, M.H.; Ramos, T.; Fernandes, F.; Silveira, N.; Coimbra, A.; Medeiros, G.; Painho, M. Assessing heavy metal contamination in Sado Estuary sediment: An index analysis approach. Ecol. Indic. 2005, 5, 151–169. [Google Scholar] [CrossRef]
- Hakanson, L. An ecological risk index for aquatic pollution control. A sedimentological approach. Water Res. 1980, 14, 975–1001. [Google Scholar] [CrossRef]
- Lu, S.; Bai, S. Contamination and potential mobility assessment of heavy metals in urban soils of Hangzhou, China: Relationship with different land uses. Environ. Earth Sci. 2010, 60, 1481–1490. [Google Scholar] [CrossRef]
- Muller, G. Index of geoaccumulation in sediments of the Rhine River. Geojournal 1969, 2, 108–118. [Google Scholar]
- Seshan, B.; Natesan, U.; Deepthi, K. Geochemical and statistical approach for evaluation of heavy metal pollution in core sediments in southeast coast of India. Int. J. Environ. Sci. Technol. 2010, 7, 291–306. [Google Scholar] [CrossRef]
- Tomlinson, D.; Wilson, J.; Harris, C.; Jeffrey, D. Problems in the assessment of heavy-metal levels in estuaries and the formation of a pollution index. Helgoländer Meeresunters. 1980, 33, 566–575. [Google Scholar] [CrossRef]
- Benson, N.U.; Adedapo, A.E.; Fred-Ahmadu, O.H.; Williams, A.B.; Udosen, E.D.; Ayejuyo, O.O.; Olajire, A.A. New ecological risk indices for evaluating heavy metals contamination in aquatic sediment: A case study of the Gulf of Guinea. Reg. Stud. Mar. Sci. 2018, 18, 44–56. [Google Scholar] [CrossRef]
- Burton, J.R.; Allen, G. Sediment quality criteria in use around the world. Limnology 2002, 3, 65–76. [Google Scholar] [CrossRef]
- Carr, S.R.; Chapman, D.C.; Long, E.R.; Windom, H.L.; Thursby, G.; Sloane, G.M.; Wolfe, D.A. Sediment quality assessment studies of Tampa Bay, Florida. Environ. Toxicol. Chem. 1996, 15, 1218–1231. [Google Scholar] [CrossRef]
- Feng, H.; Jiang, H.; Gao, W.; Weinstein, M.P.; Zhang, Q.; Zhang, W.; Yu, L.; Yuan, D.; Tao, J. Metal contamination in sediments of the western Bohai Bay and adjacent estuaries, China. J. Environ. Manag. 2011, 92, 1185–1197. [Google Scholar] [CrossRef] [PubMed]
- Long, E.R. Calculation and uses of mean sediment quality guideline quotients: A critical review. Environ. Sci. Technol. 2006, 40, 1726–1736. [Google Scholar] [CrossRef] [PubMed]
- Long, E.R.; MacDonald, D.D.; Severn, C.G.; Hong, C.B. Classifying probabilities of acute toxicity in marine sediments with empirically derived sediment quality guidelines. Environ. Toxicol. Chem. 2000, 19, 2598–2601. [Google Scholar] [CrossRef]
- MacDonald, D.D.; Ingersoll, C.G.; Berger, T. Development and evaluation of consensus-based sediment quality guidelines for freshwater ecosystems. Arch. Environ. Contam. Toxicol. 2000, 39, 20–31. [Google Scholar] [CrossRef]
- USEPA. Users’ Guide and Background Technical Document for USEPA Region 9’s Preliminary Remediation Goals (PRG) Table; United States Environmental Protection Agency: Washington, DC, USA, 2011.
- USEPA. Integrated Risk Information System (IRIS); U.S. Environmental Protection Agency: Washington, DC, USA, 2011.
- Abdelhafez, A.A.; Li, J. Environmental monitoring of heavy metal status and human health risk assessment in the agricultural soils of the Jinxi River area, China. Hum. Ecol. Risk Assess. 2015, 21, 952–971. [Google Scholar] [CrossRef]
- Li, F.; Huang, J.; Zeng, G.; Huang, X.; Liu, W.; Wu, H.; Yuan, Y.; He, X.; Lai, M. Spatial distribution and health risk assessment of toxic metals associated with receptor population density in street dust: A case study of Xiandao District, Changsha, Middle China. Environ. Sci. Pollut. Res. 2015, 22, 6732–6742. [Google Scholar] [CrossRef] [PubMed]
- Xu, Y. Stabilization of heavy metal-contaminated sediment with a chelator and humic acid mixture. Water Air Soil Pollut. 2017, 228, 20. [Google Scholar] [CrossRef]
- Emara, E.K.; Farfour, S.A.; Mousa, I.E. Environmental Studies on the Effects of Aquaculture and Drainage Wastewaters on Lake Burullus. Am. -Eurasian J. Agric. Environ. Sci. 2016, 16, 410–423. [Google Scholar]
- Sracek, O.; Mihaljevič, M.; Kříbek, B.; Majer, V.; Veselovský, F. Geochemistry and mineralogy of Cu and Co in mine tailings at the Copperbelt, Zambia. J. Afr. Earth Sci. 2010, 57, 14–30. [Google Scholar] [CrossRef]
- Acosta, J.; Jansen, B.; Kalbitz, K.; Faz, A.; Martínez-Martínez, S. Salinity increases mobility of heavy metals in soils. Chemosphere 2011, 85, 1318–1324. [Google Scholar] [CrossRef] [PubMed]
- Singh, A.; Sharma, R.K.; Agrawal, M.; Marshall, F. Effects of wastewater irrigation on physicochemical properties of soil and availability of heavy metals in soil and vegetables. Commun. Soil Sci. Plant Anal. 2009, 40, 3469–3490. [Google Scholar] [CrossRef]
- FAO. Guidelines for Soil Description, 4th ed.; FAO: Rome, Italy, 2006. [Google Scholar]
- Kaninga, B.K.; Chishala, B.H.; Maseka, K.K.; Sakala, G.M.; Lark, M.R.; Tye, A.; Watts, M.J. mine tailings in an African tropical environment—Mechanisms for the bioavailability of heavy metals in soils. Environ. Geochem. Health 2019, 42, 1069–1094. [Google Scholar] [CrossRef]
- Yi, L.; Hong, Y.; Wang, D.; Zhu, Y. Determination of free heavy metal ion concentrations in soils around a cadmium rich zinc deposit. Geochem. J. 2007, 41, 235–240. [Google Scholar] [CrossRef]
- Sharma, M.R.; Raju, N. Correlation of heavy metal contamination with soil properties of industrial areas of Mysore, Karnataka, India by cluster analysis. Int. Res. J. Environ. Sci. 2013, 2, 22–27. [Google Scholar]
- Waly, T.; Abd Elnaim, E.; Omran, M.; El Nashar, B. Effect of sewage water on chemical properties and heavy metals content of El Gabal El Asfar sandy soils. Biol. Wastes 1987, 22, 275–284. [Google Scholar] [CrossRef]
- Bradl, H.B. Adsorption of heavy metal ions on soils and soils constituents. J. Colloid Interface Sci. 2004, 277, 1–18. [Google Scholar] [CrossRef] [PubMed]
- EU. Heavy Metals in Wastes, European Commission on Environment. Available online: http://ec.europa.eu/environment/waste/studies/pdf/heavy_metalsreport.pdf (accessed on 1 February 2002).
- CSQGD. Canadian Soil Quality Guidelines for the Protection of Environment and Human Health; Canadian Council of Ministers of the Environment (CCME): Winnipeg, MB, Canada, 2007. [Google Scholar]
- US-EPA. Screening Level Ecological Risk Assessment Protocol for HazardousWaste Combustion Facilities; Appendix E: Toxicity Reference Values; EPA530-D99-001C; USA EPA: Dallas, TX, USA, 1999; Volume 3.
- Yan, G.; Mao, L.; Liu, S.; Mao, Y.; Ye, H.; Huang, T.; Li, F.; Chen, L. Enrichment and sources of trace metals in roadside soils in Shanghai, China: A case study of two urban/rural roads. Sci. Total Environ. 2018, 631, 942–950. [Google Scholar] [CrossRef]
- Arslan Topal, E.I.; Topal, M.; Öbek, E. Assessment of heavy metal accumulations and health risk potentials in tomatoes grown in the discharge area of a municipal wastewater treatment plant. Int. J. Environ. Health Res. 2022, 32, 393–405. [Google Scholar] [CrossRef]
- Boxall, A.; Comber, S.; Conrad, A.; Howcroft, J.; Zaman, N. Inputs, monitoring and fate modelling of antifouling biocides in UK estuaries. Mar. Pollut. Bull. 2000, 40, 898–905. [Google Scholar] [CrossRef]
- Chen, Z.; Salem, A.; Xu, Z.; Zhang, W. Ecological implications of heavy metal concentrations in the sediments of Burullus Lagoon of Nile Delta, Egypt. Estuar. Coast. Shelf Sci. 2010, 86, 491–498. [Google Scholar] [CrossRef]
- Kwon, Y.-T.; Lee, C.-W.; Ahn, B.-Y. Sedimentation pattern and sediments bioavailability in a wastewater discharging area by sequential metal analysis. Microchem. J. 2001, 68, 135–141. [Google Scholar] [CrossRef]
- Pejman, A.; Nabi Bidhendi, G.; Ardestani, M.; Saeedi, M.; Baghvand, A. A new index for assessing heavy metals contamination in sediments: A case study. Ecol. Indic. 2015, 58, 365–373. [Google Scholar] [CrossRef]
- Graney, J.R.; Eriksen, T.M. Metals in pond sediments as archives of anthropogenic activities: A study in response to health concerns. Appl. Geochem. 2004, 19, 1177–1188. [Google Scholar] [CrossRef]
- Meng, Q.; Richmond-Bryant, J.; Lu, S.-E.; Buckley, B.; Welsh, W.J.; Whitsel, E.A.; Hanna, A.; Yeatts, K.B.; Warren, J.; Herring, A.H. Cardiovascular outcomes and the physical and chemical properties of metal ions found in particulate matter air pollution: A QICAR study. Environ. Health Perspect. 2013, 121, 558–564. [Google Scholar] [CrossRef] [PubMed]
- Das Gupta, A.; Dhara, P.C.; Dhundasi, S.i.A.; Das, K.K. Effect of garlic (Allium sativum) on nickel II or chromium VI induced alterations of glucose homeostasis and hepatic antioxidant status under sub-chronic exposure conditions. J. Basic Clin. Physiol. Pharmacol. 2009, 20, 1–14. [Google Scholar] [CrossRef] [PubMed]
- Xu, X.; Rao, X.; Wang, T.-Y.; Jiang, S.Y.; Ying, Z.; Liu, C.; Wang, A.; Zhong, M.; Deiuliis, J.A.; Maiseyeu, A.; et al. Effect of co-exposure to nickel and particulate matter on insulin resistance and mitochondrial dysfunction in a mouse model. Part. Fibre Toxicol. 2012, 9, 40. [Google Scholar] [CrossRef] [PubMed]
- Koki, I.B.; Bayero, A.S.; Umar, A.; Yusuf, S. Health risk assessment of heavy metals in water, air, soil and fish. Afr. J. Pure Appl. Chem. 2015, 9, 204–210. [Google Scholar]








| Soil Parameters | Station No. | Mean | p-Value | |||||
|---|---|---|---|---|---|---|---|---|
| S1 | S2 | S3 | S4 | S5 | S6 | |||
| pH | 8.02 A | 8.18 A | 7.91 A | 8.14 A | 7.96 A | 7.84 A | 8.01 ± 0.02 | 0.9997 ns |
| EC dS.m−1 | 3.44 A | 3.12 A | 2.29 B | 2.03 B | 2.65 B | 1.74 D | 2.54 ± 0.11 | 0.0036 ** |
| SOM % | 1.46 B | 1.74 AB | 2.17 AB | 1.69 AB | 1.34 B | 2.65 A | 1.84 ± 0.06 | 0.0354 * |
| CaCO3 % | 3.21 A | 2.69 A | 2.89 A | 2.87 A | 2.54 A | 2.16 A | 2.73 ± 0.06 | 0.9171 ns |
| Sand % | 88.7 A | 79.21 B | 72.87 C | 76.33 BC | 79.38 B | 68.57 D | 77.51 ± 1.14 | <0.0001 *** |
| Silt % | 7.59 D | 13.73 BC | 16.51 B | 15.81 B | 11.81 C | 20.11 A | 14.26 ± 0.72 | <0.0001 *** |
| Clay % | 3.71 C | 7.06 B | 10.62 AB | 7.86 AB | 8.81 AB | 11.32 A | 8.23 ± 0.46 | 0.0039 ** |
| Element | Station No. | p-Value | Permissible Limits Worldwide | |||||||
|---|---|---|---|---|---|---|---|---|---|---|
| S1 | S2 | S3 | S4 | S5 | S6 | EU (2002) | CSQGD (2007) | US.EPA (2011) | ||
| Fe | 3435.99 E | 70956.05 A | 59498.56 D | 65858.16 C | 65902.14 C | 68731.64 B | <0.0001 *** | - | - | - |
| Mn | 205.22 D | 1837.27 A | 856.47 C | 974.48 B | 960.23 B | 1034.44 B | <0.0001 *** | - | - | 550 |
| Pb | 16.75 D | 54.12 CD | 73.02 C | 44.28 CD | 297.14 B | 869.04 A | <0.0001 *** | 300 | 70 | 19 |
| Cr | 25.55 B | 266.25 A | 276.98 A | 245.78 A | 311.89 A | 263.44 A | 0.0034 ** | 150 | 64 | 54 |
| Zn | 13.06 E | 212.5 BC | 131.65 D | 160.23 CD | 1271.67 A | 251.32 B | <0.0001 *** | 300 | - | 60 |
| Cu | 0.01 E | 36.69 C | 16.91 D | 54.78 B | 184.09 A | 60.18 B | <0.0001 *** | 140 | - | 25 |
| Ni | 0.28 B | 58.12 A | 42.81 A | 49.91 A | 61.66 A | 48.83 A | 0.0004 *** | 75 | 50 | 19 |
| Co | 3.12 B | 40.32 A | 30.22 A | 27.02 A | 29.04 A | 28.01 A | 0.0024 ** | 11.6 | 40 | 9.1 |
| Cd | 0.28 C | 7.26 AB | 6.83 B | 7.5 AB | 9.83 A | 7.57 AB | <0.0001 *** | 3 | 1.4 | 0.01–41 |
| Metals | Station No. | HQ (Adult) | HI | HQ (Child) | HI | ||||
|---|---|---|---|---|---|---|---|---|---|
| CDI | DAD | EC | CDI | DAD | EC | ||||
| Mn | S1 | 1.0 × 10−5 | 2.8 × 10−4 | 3.0 × 10−2 | 3.0 × 10−2 | 9.6 × 10−3 | 1.1 × 10−3 | 3.0 × 10−2 | 4.0 × 10−2 |
| S2 | 9.2 × 10−5 | 2.5 × 10−5 | 2.6 × 10−1 | 2.7 × 10−1 | 8.6 × 10−2 | 9.9 × 10−3 | 2.6 × 10−1 | 3.6 × 10−1 | |
| S3 | 4.3 × 10−5 | 1.2 × 10−5 | 1.2 × 10−1 | 1.2 × 10−1 | 4.0 × 10−2 | 4.6 × 10−3 | 1.2 × 10−1 | 1.7 × 10−1 | |
| S4 | 4.9 × 10−5 | 1.3 × 10−5 | 1.4 × 10−1 | 1.4 × 10−1 | 4.6 × 10−2 | 5.3 × 10−3 | 1.4 × 10−1 | 1.9 × 10−1 | |
| S5 | 4.8 × 10−5 | 1.3 × 10−5 | 1.4 × 10−1 | 1.4 × 10−1 | 4.5 × 10−2 | 5.2 × 10−3 | 1.4 × 10−1 | 1.9 × 10−1 | |
| S6 | 5.2 × 10−5 | 1.4 × 10−5 | 1.5 × 10−1 | 1.5 × 10−1 | 4.9 × 10−2 | 5.6 × 10−3 | 1.5 × 10−1 | 2.0 × 10−1 | |
| Pb | S1 | 0.0034 | 0.0009 | NA | 0.0043 | 0.0315 | 0.0001 | NA | 0.0316 |
| S2 | 0.0109 | 0.0030 | NA | 0.0138 | 0.1017 | 0.0003 | NA | 0.1020 | |
| S3 | 0.0147 | 0.0040 | NA | 0.0187 | 0.1372 | 0.0004 | NA | 0.1376 | |
| S4 | 0.0089 | 0.0024 | NA | 0.0113 | 0.0832 | 0.0002 | NA | 0.0834 | |
| S5 | 0.0598 | 0.0162 | NA | 0.0760 | 0.5582 | 0.0016 | NA | 0.5598 | |
| S6 | 0.1749 | 0.0475 | NA | 0.2224 | 1.6326 | 0.0047 | NA | 1.6373 | |
| Cr | S1 | 0.0060 | 0.1253 | 0.0063 | 0.1376 | 0.0560 | 0.0001 | 0.0063 | 0.0625 |
| S2 | 0.0625 | 1.3052 | 0.0660 | 1.4338 | 0.5836 | 0.0014 | 0.0660 | 0.6510 | |
| S3 | 0.0650 | 1.3578 | 0.0687 | 1.4916 | 0.6071 | 0.0015 | 0.0687 | 0.6773 | |
| S4 | 0.0577 | 1.2049 | 0.0610 | 1.3236 | 0.5387 | 0.0013 | 0.0610 | 0.6010 | |
| S5 | 0.0732 | 1.5290 | 0.0774 | 1.6796 | 0.6836 | 0.0017 | 0.0773 | 0.7626 | |
| S6 | 0.0619 | 1.2915 | 0.0653 | 1.4187 | 0.5774 | 0.0014 | 0.0653 | 0.6442 | |
| Zn | S1 | 0.0000 | 0.0000 | NA | 0.0000 | 0.0003 | 0.0001 | NA | 0.0004 |
| S2 | 0.0005 | 0.0001 | NA | 0.0006 | 0.0047 | 0.0011 | NA | 0.0058 | |
| S3 | 0.0003 | 8.4 × 10−5 | NA | 0.0004 | 0.0029 | 0.0007 | NA | 0.0036 | |
| S4 | 0.0004 | 0.0001 | NA | 0.0005 | 0.0035 | 0.0009 | NA | 0.0044 | |
| S5 | 0.0030 | 0.0008 | NA | 0.0038 | 0.0279 | 0.0069 | NA | 0.0347 | |
| S6 | 0.0006 | 0.0002 | NA | 0.0008 | 0.0055 | 0.0014 | NA | 0.0069 | |
| Cu | S1 | 1.8 × 10−7 | 4.8 × 10−8 | NA | 2.3 × 10−7 | 1.6 × 10−1=6 | 5.4 × 10−8 | NA | 1.7 × 10−6 |
| S2 | 0.0006 | 0.0002 | NA | 0.0008 | 0.0060 | 0.0002 | NA | 0.0062 | |
| S3 | 0.0003 | 8.1 × 10−5 | NA | 0.0004 | 0.0028 | 9.1 × 10−5 | NA | 0.0029 | |
| S4 | 0.0010 | 0.0003 | NA | 0.0012 | 0.0090 | 0.0003 | NA | 0.0093 | |
| S5 | 0.0032 | 0.0009 | NA | 0.0041 | 0.0303 | 0.0010 | NA | 0.0313 | |
| S6 | 0.0011 | 0.0003 | NA | 0.0013 | 0.0099 | 0.0003 | NA | 0.0102 | |
| Ni | S1 | 1.8 × 10−5 | 0.0001 | 0.0001 | 0.0003 | 0.0002 | 1.5 × 10−6 | 0.0001 | 0.0003 |
| S2 | 0.0037 | 0.0253 | 0.0299 | 0.0588 | 0.0347 | 0.0003 | 0.0299 | 0.0649 | |
| S3 | 0.0027 | 0.0186 | 0.0220 | 0.0433 | 0.0256 | 0.0002 | 0.0220 | 0.0478 | |
| S4 | 0.0032 | 0.0217 | 0.0256 | 0.0505 | 0.0298 | 0.0003 | 0.0256 | 0.0557 | |
| S5 | 0.0039 | 0.0268 | 0.0317 | 0.0624 | 0.0369 | 0.0003 | 0.0317 | 0.0689 | |
| S6 | 0.0031 | 0.0212 | 0.0251 | 0.0494 | 0.0292 | 0.0003 | 0.0251 | 0.0545 | |
| Co | S1 | 0.0073 | 0.0020 | 0.0037 | 0.0131 | 0.0684 | 1.7 × 10−5 | 0.0037 | 0.0721 |
| S2 | 0.0947 | 0.0257 | 0.0483 | 0.1687 | 0.8837 | 0.0002 | 0.0483 | 0.9323 | |
| S3 | 0.0710 | 0.0193 | 0.0362 | 0.1264 | 0.6624 | 0.0002 | 0.0362 | 0.6987 | |
| S4 | 0.0635 | 0.0172 | 0.0324 | 0.1131 | 0.5922 | 0.0001 | 0.0324 | 0.6248 | |
| S5 | 0.0682 | 0.0185 | 0.0348 | 0.1215 | 0.6365 | 0.0002 | 0.0348 | 0.6715 | |
| S6 | 0.0658 | 0.0179 | 0.0336 | 0.1172 | 0.6139 | 0.0002 | 0.0336 | 0.6476 | |
| Cd | S1 | 0.0002 | 0.0002 | 0.0002 | 0.0006 | 0.0018 | 1.5 × 10−7 | 0.0002 | 0.0020 |
| S2 | 0.0051 | 0.0056 | 0.0052 | 0.0159 | 0.0477 | 3.9 × 10−1 | 0.0052 | 0.0530 | |
| S3 | 0.0048 | 0.0052 | 0.0049 | 0.0149 | 0.0449 | 3.7 × 10−1 | 0.0049 | 0.0498 | |
| S4 | 0.0053 | 0.0057 | 0.0054 | 0.0164 | 0.0493 | 4.1 × 10−1 | 0.0054 | 0.0547 | |
| S5 | 0.0069 | 0.0075 | 0.0071 | 0.0215 | 0.0646 | 5.3 × 10−1 | 0.0071 | 0.0717 | |
| S6 | 0.0053 | 0.0058 | 0.0054 | 0.0166 | 0.0498 | 4.1 × 10−1 | 0.0054 | 0.0552 | |
| Metals | Species | Station No. | Mean | |||||
|---|---|---|---|---|---|---|---|---|
| 1 | 2 | 3 | 4 | 5 | 6 | |||
| Cancer Risk (Chemical daily Intake) | ||||||||
| Mn | Adult | 5.16 × 10−6 | 4.62 × 10−5 | 2.15 × 10−5 | 2.45 × 10−5 | 2.42 × 10−5 | 2.60 × 10−5 | 2.46 × 10−5 |
| Child | 4.82 × 10−3 | 4.31 × 10−2 | 2.01 × 10−2 | 2.29 × 10−2 | 2.25 × 10−2 | 2.43 × 10−2 | 2.30 × 10−2 | |
| Pb | Adult | 4.21 × 10−5 | 1.36 × 10−4 | 1.84 × 10−4 | 1.11 × 10−4 | 7.48 × 10−4 | 2.19 × 10−3 | 5.68 × 10−4 |
| Child | 3.93 × 10−4 | 1.27 × 10−3 | 1.71 × 10−3 | 1.04 × 10−3 | 6.98 × 10−3 | 2.04 × 10−2 | 5.30 × 10−3 | |
| Cr | Adult | 6.43 × 10−5 | 6.70 × 10−4 | 6.97 × 10−4 | 6.18 × 10−4 | 7.85 × 10−4 | 6.63 × 10−4 | 5.83 × 10−4 |
| Child | 6.00 × 10−4 | 6.25 × 10−3 | 6.50 × 10−3 | 5.77 × 10−3 | 7.32 × 10−3 | 6.19 × 10−3 | 5.44 × 10−3 | |
| Zn | Adult | 3.29 × 10−5 | 5.35 × 10−4 | 3.31 × 10−4 | 4.03 × 10−4 | 3.20 × 10−3 | 6.32 × 10−4 | 8.56 × 10−4 |
| Child | 3.07 × 10−4 | 4.99 × 10−3 | 3.09 × 10−3 | 3.76 × 10−3 | 2.99 × 10−2 | 5.90 × 10−3 | 7.99 × 10−3 | |
| Cu | Adult | 2.52 × 10−8 | 9.23 × 10−5 | 4.25 × 10−5 | 1.38 × 10−4 | 4.63 × 10−4 | 1.51 × 10−4 | 1.48 × 10−4 |
| Child | 2.35 × 10−7 | 8.62 × 10−4 | 3.97 × 10−4 | 1.29 × 10−3 | 4.32 × 10−3 | 1.41 × 10−3 | 1.38 × 10−3 | |
| Ni | Adult | 7.05 × 10−7 | 1.46 × 10−4 | 1.08 × 10−4 | 1.26 × 10−4 | 1.55 × 10−4 | 1.23 × 10−4 | 1.10 × 10−4 |
| Child | 6.58 × 10−6 | 1.36 × 10−3 | 1.01 × 10−3 | 1.17 × 10−3 | 1.45 × 10−3 | 1.15 × 10−3 | 1.02 × 10−3 | |
| Co | Adult | 7.85 × 10−6 | 1.01 × 10−4 | 7.60 × 10−5 | 6.80 × 10−5 | 7.31 × 10−5 | 7.05 × 10−5 | 6.61 × 10−5 |
| Child | 7.33 × 10−5 | 9.47 × 10−4 | 7.10 × 10−4 | 6.35 × 10−4 | 6.82 × 10−4 | 6.58 × 10−4 | 6.17 × 10−4 | |
| Cd | Adult | 7.05 × 10−7 | 1.83 × 10−5 | 1.72 × 10−5 | 1.89 × 10−5 | 2.47 × 10−5 | 1.90 × 10−5 | 1.65 × 10−5 |
| Child | 6.58 × 10−6 | 1.70 × 10−4 | 1.60 × 10−4 | 1.76 × 10−4 | 2.31 × 10−4 | 1.78 × 10−4 | 1.54 × 10−4 | |
| Cancer Risk (Dermal Absorbed Dose) | ||||||||
| Mn | Adult | 4.05 × 10−7 | 3.62 × 10−6 | 1.69 × 10−6 | 1.92 × 10−6 | 1.89 × 10−6 | 2.04 × 10−6 | 1.93 × 10−6 |
| Child | 4.35 × 10−5 | 3.89 × 10−4 | 1.82 × 10−4 | 2.07 × 10−4 | 2.04 × 10−4 | 2.19 × 10−4 | 2.07 × 10−4 | |
| Pb | Adult | 3.30 × 10−6 | 1.07 × 10−5 | 1.44 × 10−5 | 8.73 × 10−6 | 5.86 × 10−5 | 1.71 × 10−4 | 4.45 × 10−5 |
| Child | 3.55 × 10−6 | 1.15 × 10−5 | 1.55 × 10−5 | 9.39 × 10−6 | 6.30 × 10−5 | 1.84 × 10−4 | 4.78 × 10−5 | |
| Cr | Adult | 3.88 × 10−4 | 4.04 × 10−3 | 4.20 × 10−3 | 3.73 × 10−3 | 4.73 × 10−3 | 4.00 × 10−3 | 3.52 × 10−3 |
| Child | 5.42 × 10−6 | 5.64 × 10−5 | 5.87 × 10−5 | 5.21 × 10−5 | 6.61 × 10−5 | 5.58 × 10−5 | 4.91 × 10−5 | |
| Zn | Adult | 2.58 × 10−6 | 4.19 × 10−5 | 2.60 × 10−5 | 3.16 × 10−5 | 2.51 × 10−4 | 4.96 × 10−5 | 6.71 × 10−5 |
| Child | 2.77 × 10−6 | 4.50 × 10−5 | 2.79 × 10−5 | 3.40 × 10−5 | 2.70 × 10−4 | 5.33 × 10−5 | 7.21 × 10−5 | |
| Cu | Adult | 1.97 × 10−9 | 7.24 × 10−6 | 3.34 × 10−6 | 1.08 × 10−5 | 3.63 × 10−5 | 1.19 × 10−5 | 1.16 × 10−5 |
| Child | 2.12 × 10−9 | 7.78 × 10−6 | 3.58 × 10−6 | 1.16 × 10−5 | 3.90 × 10−5 | 1.28 × 10−5 | 1.25 × 10−5 | |
| Ni | Adult | 1.38 × 10−6 | 2.87 × 10−4 | 2.11 × 10−4 | 2.46 × 10−4 | 3.04 × 10−4 | 2.41 × 10−4 | 2.15 × 10−4 |
| Child | 5.94 × 10−8 | 1.23 × 10−5 | 9.07 × 10−6 | 1.06 × 10−5 | 1.31 × 10−5 | 1.04 × 10−5 | 9.24 × 10−6 | |
| Co | Adult | 6.15 × 10−7 | 7.95 × 10−6 | 5.96 × 10−6 | 5.33 × 10−6 | 5.73 × 10−6 | 5.53 × 10−6 | 5.19 × 10−6 |
| Child | 6.61 × 10−7 | 8.55 × 10−6 | 6.41 × 10−6 | 5.73 × 10−6 | 6.16 × 10−6 | 5.94 × 10−6 | 5.57 × 10−6 | |
| Cd | Adult | 2.21 × 10−6 | 5.73 × 10−5 | 5.39 × 10−5 | 5.92 × 10−5 | 7.76 × 10−5 | 5.97 × 10−5 | 5.16 × 10−5 |
| Child | 5.94 × 10−9 | 1.54 × 10−7 | 1.45 × 10−7 | 1.59 × 10−7 | 2.08 × 10−7 | 1.60 × 10−7 | 1.39 × 10−7 | |
| Cancer Risk (Inhalation) | ||||||||
| Pb | Adult | 9.64 × 10−9 | 3.11 × 10−8 | 4.20 × 10−8 | 2.55 × 10−8 | 1.71 × 10−7 | 5.00 × 10−7 | 1.30 × 10−7 |
| Child | 9.64 × 10−9 | 3.11 × 10−8 | 4.20 × 10−8 | 2.55 × 10−8 | 1.71 × 10−7 | 5.00 × 10−7 | 1.30 × 10−7 | |
| Cr | Adult | 1.65 × 10−6 | 1.72 × 10−5 | 1.79 × 10−5 | 1.59 × 10−5 | 2.02 × 10−5 | 1.71 × 10−5 | 1.50 × 10−5 |
| Child | 1.65 × 10−6 | 1.72 × 10−5 | 1.79 × 10−5 | 1.59 × 10−5 | 2.02 × 10−5 | 1.71 × 10−5 | 1.50 × 10−5 | |
| Ni | Adult | 4.83 × 10−10 | 1.00 × 10−7 | 7.39 × 10−8 | 8.61 × 10−8 | 1.06 × 10−7 | 8.43 × 10−8 | 7.53 × 10−8 |
| Child | 4.83 × 10−10 | 1.00 × 10−7 | 7.39 × 10−8 | 8.61 × 10−8 | 1.06 × 10−7 | 8.43 × 10−8 | 7.53 × 10−8 | |
| Cd | Adult | 3.62 × 10−9 | 9.40 × 10−8 | 8.84 × 10−8 | 9.71 × 10−8 | 1.27 × 10−7 | 9.80 × 10−8 | 8.47 × 10−8 |
| Child | 3.62 × 10−9 | 9.40 × 10−8 | 8.84 × 10−8 | 9.71 × 10−8 | 1.27 × 10−7 | 9.80 × 10−8 | 8.47 × 10−8 | |
Disclaimer/Publisher’s Note: The statements, opinions and data contained in all publications are solely those of the individual author(s) and contributor(s) and not of MDPI and/or the editor(s). MDPI and/or the editor(s) disclaim responsibility for any injury to people or property resulting from any ideas, methods, instructions or products referred to in the content. |
© 2023 by the authors. Licensee MDPI, Basel, Switzerland. This article is an open access article distributed under the terms and conditions of the Creative Commons Attribution (CC BY) license (https://creativecommons.org/licenses/by/4.0/).
Share and Cite
El-Amier, Y.A.; Bonanomi, G.; Abd-ElGawad, A.M. Pollution Risk Assessment of Heavy Metals along Kitchener Drain Sediment, Nile Delta. Soil Syst. 2023, 7, 85. https://doi.org/10.3390/soilsystems7040085
El-Amier YA, Bonanomi G, Abd-ElGawad AM. Pollution Risk Assessment of Heavy Metals along Kitchener Drain Sediment, Nile Delta. Soil Systems. 2023; 7(4):85. https://doi.org/10.3390/soilsystems7040085
Chicago/Turabian StyleEl-Amier, Yasser A., Giuliano Bonanomi, and Ahmed M. Abd-ElGawad. 2023. "Pollution Risk Assessment of Heavy Metals along Kitchener Drain Sediment, Nile Delta" Soil Systems 7, no. 4: 85. https://doi.org/10.3390/soilsystems7040085
APA StyleEl-Amier, Y. A., Bonanomi, G., & Abd-ElGawad, A. M. (2023). Pollution Risk Assessment of Heavy Metals along Kitchener Drain Sediment, Nile Delta. Soil Systems, 7(4), 85. https://doi.org/10.3390/soilsystems7040085
