Abstract
The land disturbed by open-pit oil sands mining must be restored to support the survival and growth of native boreal plants. Because tailings sand and sodic shale overburden are commonly used as an underlying parent substrate that is capped by boreal forest cover soils, the soil pH in reclamation sites is often higher compared with undisturbed boreal forest soil. Sulfur is a major byproduct of oil sands refining and could potentially be used as an amendment to lower the soil pH on reclamation sites. In this study, we examined the effects of soil pH and elemental sulfur on growth and physiological responses in Saskatoon berry and beaked hazelnut seedlings. We found that elemental sulfur was effective in lowering soil pH. However, addition of elemental sulfur to a forest soil of pH 5.7 lowered the soil pH to around 3, which impaired the growth and physiological performance of both plant species. The addition of 5 and 25 g kg−1 elemental sulfur to the pH 8.5 soil did not substantially improve the examined growth and physiological parameters in Saskatoon berry and beaked hazelnut seedlings. Further, excess addition of elemental sulfur in high pH soil could reduce the uptake of nitrogen, phosphorus, and calcium in Saskatoon berry. The results demonstrate that the amount of sulfur applied to the soil would need to be carefully determined for different soil types and pH levels to avoid potential toxicity effects.
Keywords:
land reclamation; boreal forest; oil sands; sulfur; growth; photosynthesis; transpiration; tissue elements 1. Introduction
Reforestation of severely disturbed sites is a challenging task that requires prior characterization of chemical, physical, and biological soil factors, and may involve additional steps to improve soil properties to ensure plant survival and growth in these areas. Reforestation following surface mining activities is especially difficult since the soil must be stripped from the site prior to mining. For the oil sands open pit mining that takes place in the Canadian boreal forest in northeastern Alberta, all forest vegetation and soil are removed prior to bitumen recovery. Then, after removal of the overburden (a bitumen-free layer consisting of sand, silt, clay, and shale that lies on top of the bitumen-rich oil sands deposit), the oil sands ore is mined, which creates open pits that are up to 100 m deep and several kilometers wide [1]. For site reclamation, these large pits are subsequently filled with mine waste and overburden. Then, the freshly harvested or stock-piled soil are placed on the surface of the underlying parent substrate [1,2]. The surface mining of oil sands disturbed an area in Canada close to 1000 km2 [3] that must be reclaimed to re-establish a functioning boreal forest ecosystem, including traditional use areas for indigenous people and wildlife habitat [4]. The local species and genetic sources that are adapted to specific soil conditions including low soil pH are used for the revegetation of oil sands mining areas [5]. However, in many reclamation areas soil pH may exceed 8.0 due to the high pH of the underlying layers, which challenges the survival and establishment of reclamation plants [5,6].
Soil pH is among the major environmental factors affecting plant survival and growth. It has a profound effect on soil chemistry and the solubility of potentially phytotoxic compounds and affects the uptake of essential nutrients and water by plants [7,8]. The effects of high soil pH (>7) on plants are complex: high pH commonly reduces the availability of Fe, Mn, P, and Zn to plants [9,10,11]. It can also reduce root water hydraulic conductivity [12,13], likely due to the negative effects of high pH on the function of aquaporins [13,14,15]. The effects of high soil pH on nutrient and water relations may result in stomatal closure, reduce plant water and nutrient uptake, and inhibit growth [12,16].
Several studies have indicated that elemental sulfur can be added to lower the soil pH and restore the acid–base balance of the soil [17,18]. Elemental sulfur has been found to improve the availability of mineral nutrients [19] by affecting redox balance in the soil [20]. Supplementing the soil with elemental sulfur can also affect the activities of soil microorganisms that are beneficial to plants [21,22].
Since large amounts of elemental sulfur are recovered from oil sands processing [23], the notion of amending the soil with sulfur to lower its pH in the reclamation areas is appealing. However, determining the exact amount of sulfur that is required to bring down soil pH to a desirable level for plant growth improvement is critical, since the amount depends on the initial soil pH level and the type of soil [24]. Additionally, soil pH levels vary within and between the reclamation sites and the effectiveness of sulfur on lowering soil pH changes over time [5,25]. Therefore, it is unavoidable that sulfur application may miss its intended targets in some planting locations and for some plants.
For this study, we applied two levels of elemental sulfur powder to the forest floor mineral mix (FMM) soil that is commonly used for oil sands reclamation. We either increased the soil pH level to 8.5 with Ca(OH)2, or left it at the original pH of 5.7 and then mixed homogeneously into the soil 0 (control), 5, and 25 g kg−1 elemental sulfur to examine the effects of these supplements on the soil pH, plant physiological parameters, nutrient uptake, and growth. We selected Saskatoon berry (Amelanchier alnifolia) and beaked hazelnut (Corylus cornuta) for the study, since these native boreal plants are among the species recommended for the revegetation of oil sands due to their ecological importance and cultural significance for indigenous people [4,26]. While both species show strong preference for slightly acidic soil [27], some field trials demonstrated that the Saskatoon berry can be successfully grown in soil pH as high as 8.0 [28].
The main objectives of this research were to examine the effects of relatively low and high levels of elemental sulfur in the reclamation soil on the soil pH, and plant growth and physiology of the two examined plant species. We hypothesized that (i) soil supplementation of high soil pH with the lower level of elemental sulfur would be more beneficial to hazelnut compared with Saskatoon berry due to its sensitivity to high soil pH, and (ii) the addition of higher level of sulfur would be detrimental to both plant species by excessively lowering pH of the soil regardless of its initial pH value.
2. Materials and Methods
2.1. Soil Preparation
Approximately 50 cm of the top mineral soil layer was collected from a boreal forest site in the vicinity of the Canadian Natural Resources Limited Horizon lease (57.3273193, −111.9045732) about 70 km north of Fort McMurray, Alberta, Canada [2]. Soils at this area are dominated by organic Mesisols, with Fibrisols, Cryosols, and Orthic and peaty Gleysols. Other studies showed that the mineral soil in this region has a C:N ratio of 33.1 (0.7), sand percentage of 51.4 (1.0), silt percentage of 35.7 (0.6), clay percentage of 12.9 (0.6), and bulk density of 0.82 (0.06) mg m−3 [29]. The soil was sealed in pails and delivered to the University of Alberta. Large aggregates, stones, grass, and tree branches were removed, and the soil was air dried for 3–4 days. The initial pH of the soil was 5.7 as measured in a soil to deionized water ratio of 1:2 (w/v) with an Orion STAR A111 pH meter (Thermo Fisher Scientific Inc., Waltham, MA, USA). Elemental sulfur treatments were carried out with the pH 5.7 soil and after increasing the soil pH to 8.5 by mixing it with 50 g kg−1 Ca(OH)2 [30]. To both pH 5.7 and 8.5 soils, elemental sulfur powder (99.5%, Thermo Fisher Scientific Chemicals, Inc., Ottawa, ON, Canada) was mixed into the soil at the concentrations of 0 (control), 5 and 25 g kg−1. These concentrations were selected following a preliminary experiment, which showed that after two weeks of the elemental sulfur treatment, soil pH decreased from 8.5 to about 7.5 and 5.9, respectively.
2.2. Plant Material and Experimental Set-Up
One-year-old greenhouse-grown Saskatoon berry (Amelanchier alnifolia) and beaked hazelnut (Corylus cornuta) dormant seedlings were obtained from the Tree Time Services Inc., Edmonton, Alberta, Canada. Seedlings were stored for two weeks at 4 °C prior to the experiment. After removing from cold storage, the seedlings were planted in 2 L pots. The plants were grown for two months in the growth room at 22/18 °C (day/night) temperature, 65 ± 10% relative humidity and 16-h photoperiod with 300 μmol m−2 s−1 photosynthetic photon flux density (PPDF) at the top of the seedlings provided by full-spectrum fluorescent bulbs (Philips high output, F96T8/TL835/HO, Markham, ON, Canada).
The experiment was a 2 × 3 completely randomized factorial design (fully randomized factorial design), with two initial pH levels (5.7 and 8.5) and three elemental sulfur powder concentrations (0, 5, and 25 g kg−1 soil). There were ten replicates for each treatment combination. All plants were watered with tap water in growth chamber every two days and provided with 500 mL 100% Hoagland’s mineral solution [31] to each pot once a week. Soil pH during the experiment was monitored weekly with a soil pH meter (IQ160G, IQ Scientific Instruments, Carlsbad, CA, USA). Six plants were randomly selected for physiological measurements from ten replicates of each treatment combination.
2.3. Leaf Chlorophyll Concentrations
Leaf chlorophyll-a, chlorophyll-b, and total chlorophyll concentrations were determined in fully expanded leaves removed from the mid-parts of the shoots. The leaves were dried in a freeze-drier (Freeze Dry Lyph-Lock, Labconco, KS, USA) for 72 h and ground in a Thomas Wiley Mini-Mill (Thomas Scientific, New Jersey, NJ, USA). Chlorophyll was extracted from the leaf samples (10 mg dry weight) with 8 mL dimethyl sulfoxide (DMSO) at 65 °C for 22 h. After filtering, chlorophyll concentrations were measured in DMSO extracts with a spectrophotometer (Genesys 10S UV-Vis, Thermo Fisher Scientific, Waltham, MA, USA), at 648 nm and 665 nm. Total chlorophyll concentration was calculated using the Arnon’s equation [32].
2.4. Net Photosynthesis (Pn) and Transpiration (E) Rates
Six seedlings per species were randomly selected from each treatment combination for the measurements of gas exchange after two months of treatments. The Pn and E rates were measured in the uppermost fully developed leaves using an infrared gas analyzer (LI-6400, LI-COR, Lincoln, NE, USA) at 400 μmol m−2 s−1 photosynthetic photon flux density (PPDF), relative humidity at 50%, reference CO2 concentration at 400 μmol mol−1, flow rate at 200 μmol s−1, leaf chamber temperature at 20 °C, at approximately 4–9 h after the onset of photoperiod.
2.5. Leaf Elemental Concentrations
Leaf elemental concentrations were determined in six plants of each plant species from each treatment combination. For P, K, Mg, Ca, S, Fe, and Mn analysis, ground dry leaf samples (0.2 g dry weight) were digested with 10 mL 70% HNO3 and diluted with Milli-Q water to 40 mL. The extracts were then filtered and analyzed by Thermo Scientific iCAP6300 inductively coupled plasma-optical emission spectrometer (ICP-OES) (Thermo Fisher Corp., Cambridge, UK). For total nitrogen analysis, ground dry leaf samples (3 mg dry weight) were packed into a tin or silver capsule, and then analyzed by the Thermo FLASH 2000 Organic Elemental Analyzer (Thermo Fisher Scientific Ic., Bremen, Germany).
2.6. Statistical Analysis
All data were analyzed by two-way ANOVA for each species using the R software of version 3.5.2 [33] to determine statistically significant (p ≤ 0.05) differences between the treatments. Soil pH and elemental sulfur levels were the main factors. Comparisons between the treatment means were conducted using the Tukey HSD test.
3. Results
3.1. Soil pH
The soil pH fluctuated around the original pH values (5.7 and 8.5, respectively) when no sulfur was added at both initial soil pH levels (Figure 1). In the control soil (pH 5.7), the addition of 5 g kg−1 sulfur lowered the pH over time by up to two units and the addition of 25 g kg−1 sulfur lowered the pH by up to three units. The decrease of soil pH was most prominent in the first three weeks (Figure 1a). In the pH 8.5 soil supplemented with Ca(OH)2, the pH declined by up to one unit due to the addition of 5 g kg−1 sulfur, and by up to five units due to the addition of 25 g kg−1 sulfur. Most of the decline occurred in the first six weeks (Figure 1b).
Figure 1.
Changes of soil pH following the addition of 0, 5, and 25 g kg−1 elemental sulfur to soil with an initial pH of 5.7 (a) and 8.5 (b). Means (n = 6) ± SE are shown.
3.2. Chlorophyll Concentrations
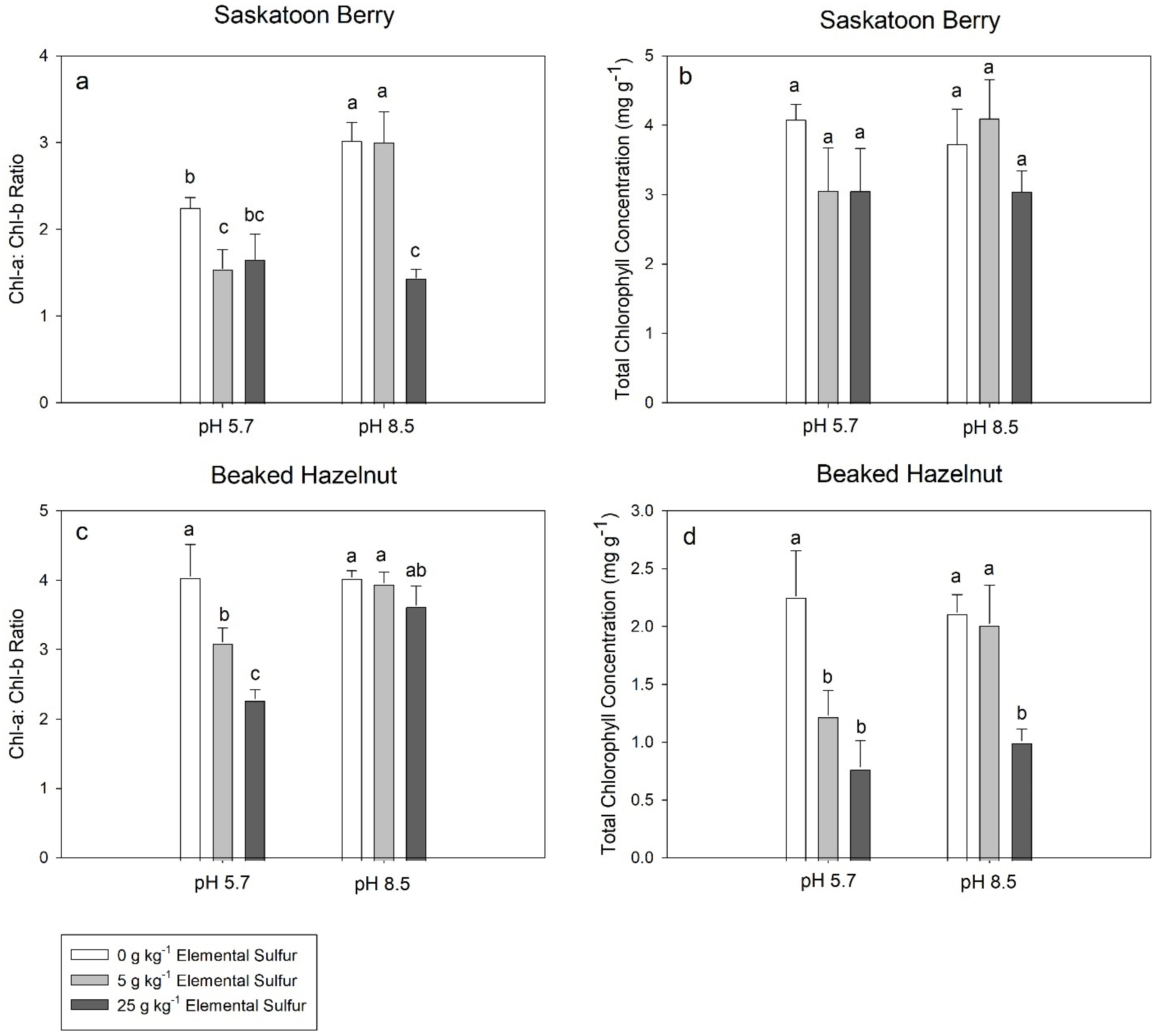
There were significant interactions between pH and sulfur on chlorophyll-a: chlorophyll-b ratios in both species (Table 1 and Table 2). Sulfur addition significantly affected total chlorophyll concentration in beaked hazelnut (Table 2).
Table 1.
ANOVA table showing p-values of the effects of pH and S treatments on the parameters measured in Saskatoon berry (n = 6).
Table 2.
ANOVA table showing p-values effects of pH and S treatments on the parameters measured in beaked hazelnut (n = 6).
In Saskatoon berry, at both initial soil pH 5.7 and 8.5, elemental sulfur addition significantly decreased chlorophyll-a: chlorophyll b ratios (Figure 2a). In beaked hazelnut, chlorophyll-a:chlorophyll-b ratio at soil pH 5.7, and total chlorophyll concentrations at both soil pH levels were significantly reduced by the addition of elemental sulfur (Figure 2c,d).
Figure 2.
Leaf chlorophyll-a and chlorophyll-b concentrations in Saskatoon berry (a,b) and beaked hazelnut (c,d). Plants were grown for two months in the soil of the initial pH 5.7 and 8.5 that was supplemented with 0, 5, and 25 g kg−1 elemental sulfur. Different letters above the bars indicate significant differences (α = 0.05) between treatments determined by Tukey HSD test. Means (n = 6) ± SE are shown.
3.3. Net Photosynthesis (Pn) and Transpiration (E) Rates
In Saskatoon berry, soil pH significantly affected E, while sulfur addition significantly changed both Pn and E. There was a significant interaction between pH and sulfur on Pn of Saskatoon berry (Table 1). In beaked hazelnut, soil pH significantly affected Pn and sulfur addition significantly changed E. The interaction between soil pH and sulfur was significant on responses of E (Table 2).
In Saskatoon berry, at soil pH 5.7, 5 g kg−1 sulfur addition significantly reduced both Pn and E; at soil pH 8.5, 25 g kg−1 sulfur addition significantly decreased both Pn and E (Figure 3a,b). In beaked hazelnut, E was significantly decreased with sulfur addition at soil pH 5.7 (Figure 3d).
Figure 3.
Net photosynthesis (Pn) and transpiration (E) rates in Saskatoon berry (a,b) and beaked hazelnut (c,d). Plants were grown for two months in the soil of the initial pH 5.7 and 8.5 that was supplemented with 0, 5, and 25 g kg−1 elemental sulfur. Different letters above the bars indicate significant differences (α = 0.05) between treatments determined by Tukey HSD test. Means (n = 6) ± SE are shown.
3.4. Leaf Elemental Concentrations
Soil pH significantly affected leaf Mg, Fe, and Mn concentrations in Saskatoon berry, and sulfur addition significantly affected K and S concentrations (Table 1). There were significant interactions between pH and sulfur addition on leaf N, P, Ca, and S concentrations (Table 1). In beaked hazelnut, soil pH significantly affected leaf Mg, Ca, S, Fe, and Mn concentrations (Table 2).
In Saskatoon berry, at soil pH 8.5, 25 g kg−1 sulfur addition significantly reduced concentrations of N, P, Mg, and Ca (Figure 4a,b, Figure 5b and Figure 6c), while no significant reductions of leaf element concentration were measured at soil pH 5.7 (Figure 4, Figure 5, Figure 6 and Figure 7). However, there were significant increases in concentrations of K and S at soil pH 5.7 and 8.5 with increasing sulfur addition (Figure 5a and Figure 6b).
Figure 4.
Leaf N and P concentrations in Saskatoon berry (a,b) and beaked hazelnut (c,d). Plants were grown for two months in the soil of the initial pH 5.7 and 8.5 that was supplemented with 0, 5, and 25 g kg−1 elemental S. Different letters above the bars indicate significant differences (α = 0.05) between treatments determined by Tukey HSD test. Means (n = 6) ± SE are shown.
Figure 5.
Leaf K and Mg concentrations in Saskatoon berry (a,b) and beaked hazelnut (c,d). Plants were grown for two months in the soil of the initial pH 5.7 and 8.5 that was supplemented with 0, 5, and 25 g kg−1 elemental S. Different letters above the bars indicate significant differences (α = 0.05) between treatments determined by Tukey HSD test. Means (n = 6) ± SE are shown.
Figure 6.
Leaf Ca and S concentrations in Saskatoon berry (a,b) and beaked hazelnut (c,d). Plants were grown for two months in the soil of the initial pH 5.7 and 8.5 that was supplemented with 0, 5, and 25 g kg−1 elemental S. Different letters above the bars indicate significant differences (α = 0.05) between treatments determined by Tukey HSD test. Means (n = 6) ± SE are shown.
Figure 7.
Leaf Fe and Mn concentrations in Saskatoon berry (a,b) and beaked hazelnut (c,d). Plants were grown for two months in the soil of the initial pH 5.7 and 8.5 that was supplemented with 0, 5, and 25 g kg−1 elemental S. Different letters above the bars indicate significant differences (α = 0.05) between treatments determined by Tukey HSD test. Means (n = 6) ± SE are shown.
4. Discussion
In the present study, we examined growth and physiological responses of Saskatoon berry and beaked hazelnut plants to different levels of elemental sulfur that was added to the soil with the initial pH of 5.7 and 8.5. The soil pH in the boreal forest is typically below 6.0, with wet peatland sites having the lowest pH values [34,35]. The soil pH in some of the oil sands reclamation areas located in Northeastern Alberta, Canada is higher than 8.0 [2]. In the reclamation sites affected by oil sands tailings, high soil pH may be due to the effects of saline-sodic shale overburden as well as NaOH, which is added during the processes of oil extraction and increases the pH of tailing sands deposited in the reclamation sites [6,11,36].
In this study, Ca(OH)2 was added to the soil to increase its pH to 8.5, which may be expected in many reclamation sites. Ca(OH)2 is commonly used to amend acidic soils, since it has no significant negative impact on plants [30]. Calcium can be overly abundant in some reclamation soils due to large amounts of gypsum being commonly used in the treatment of oil sands tailings ponds [37]. In this study, calcium amendment in pH 8.5 soil did not significantly increase leaf Ca concentration compared with pH 5.7 soil in either Saskatoon berry or beaked hazelnut. Since bitumen refining produces large amounts of elemental sulfur [38], it could be potentially useful as an additive to lower soil pH in the reclamation sites. Previous studies demonstrated that soil bacteria oxidize elemental sulfur and, during this process, H+ is released into the soil [18,39,40,41]. The results of soil pH changes in this study also demonstrated that elemental sulfur was effective in reducing soil pH, which declined by one and five units, respectively, when 5 and 25 g of sulfur were added per kg of pH 8.5 soil. The soil pH change leveled out after two months and, at that time, the plants showed obvious stress symptoms. Therefore, the plants were harvested after two months of the treatment period. The amount of sulfur that would be required to lower the pH of this soil to the optimum pH value of 5 to 7 for most plants [42] falls somewhere within the range that was used in the present study. However, the exact amount would depend on the soil chemical and physical properties [43]. In this study, adding 5 and 25 g kg−1 sulfur to the 8.5 pH soil did not bring pH to the desirable level. The optimum soil pH is 6.0–7.0 for Saskatoon berry [44] and 5.3–6.1 for beaked hazelnut [45]. The addition of 5 g kg−1 sulfur decreased the pH only to 7.7, while 25 g kg−1 sulfur lowered the pH to 3.3.
The addition of 5 and 25 g of sulfur per kg of soil at pH 5.7 resulted in high soil acidity (pH 3.7 and pH 2.7, respectively), which negatively affects most plants [46]. The plants growing in low pH soil may face a variety of stresses, including ion toxicity, nutrient deficiencies, altered cell wall formation, and enzyme activities, which can affect plant growth and increase mortality [7,47,48]. The present study clearly demonstrates that excessive soil acidity can be of concern when elemental sulfur is added to the slightly acidic soil. Therefore, careful measurements of soil pH across the reclamation site must be carried out before sulfur is added.
In the pH 5.7 soil, a significant decrease of Pn, E, and chlorophyll a:b ratios were observed in Saskatoon berry when 5 g kg−1 elemental sulfur was added to the soil at pH 5.7, and in beaked hazelnut these decreases were also accompanied by the reduced total chlorophyll concentrations. The decrease of photosynthesis and transpiration rates are often caused by reductions of stomata conductance induced by high root zone pH [11,12,46]. The decrease of chlorophyll a:b ratios in plants indicates that chlorophyll a was more affected by the sulfur treatment compared with chlorophyll b. This demonstrates that the leaf chlorosis of beaked hazelnut treated with sulfur supplementation was mainly caused by reduced concentration of chlorophyll a. Other studies [10,49] also demonstrated that chlorophyll a is less stable than chlorophyll b under various environmental conditions including low and high pH soils. The mechanisms of how sulfur supplementation impairs the synthesis or metabolism of chlorophyll requires further investigation.
In the pH 8.5 soil, the decreases of chlorophyll a:b ratios, Pn and E were observed in Saskatoon berry when 25 g kg−1 elemental sulfur was added, compared with 0 and 5 g kg−1 elemental sulfur treatments. However, contrary to beaked hazelnut, there was no significant decrease in the total leaf chlorophyll concentrations. The reduction of stomatal conductance may be still the main factor for lowering Pn and E in Saskatoon berry. In beaked hazelnut, the decrease of total chlorophyll concentrations was likely mainly due to the inhibition of chlorophyll synthesis by low pH [50]. However, the Pn and E in Saskatoon berry, as well as the total leaf chlorophyll concentrations in beaked hazelnut, were significantly higher in plants subjected to the 5 g kg−1 sulfur treatment compared with the 25 g kg−1 sulfur treatment, while there were no significant differences between the 5 g kg−1 sulfur treatment and the control. Therefore, when using elemental sulfur to lower soil pH, the possible detrimental impact should also be considered.
Since pH impacts availability of mineral nutrients, plants may face nutrient deficiencies when grown under very low or high soil pH conditions [9]. In the pH 5.7 soil, significant increases of leaf K and S concentrations were observed in Saskatoon berry, with the addition of sulfur and significant increases of leaf Mn concentrations that were observed when 5 g kg−1 sulfur was added to the soil. In beaked hazelnut, the significant increases of leaf Mn, Mg, and S concentrations were observed with the addition of 5 g kg−1 and 25 g kg−1 sulfur. Additionally, leaf Fe and Ca concentrations significantly increased in the 5 g kg−1 sulfur treatment compared with control. These differences are likely due to the biomass dilution effect, since control plants produced more biomass compared with treated plants, likely resulting in dilution of the elements [2]. The decrease in leaf N may be due to unbalanced ratio of available N and S in the soil that resulted in a reduced N uptake [51,52]. In Saskatoon berry grown in pH 8.5 soil with 25 g kg−1 sulfur addition, the lower leaf N and P concentrations might contribute to the decreased photosynthesis rates.
In the pH 8.5 soil, significant increases of leaf K and S concentrations were observed in Saskatoon berry after the addition of 5 g kg−1 and 25 g kg−1 sulfur. In beaked hazelnut, the leaf Mg, Ca, and Mn concentrations significantly increased with the addition of 25 g kg−1 sulfur and the leaf S concentrations significantly increased by both 5 g kg−1 and 25 g kg−1 sulfur treatments. These results were likely due to the high soil H+ concentrations that can facilitate nutrient uptake [53,54]. However, in Saskatoon berry, leaf N, Mg, and Ca concentrations significantly decreased with the addition of 25 g kg−1 sulfur and leaf P concentrations significantly increased by the 5 g kg−1 sulfur treatment but decreased when 25 g kg−1 sulfur was added to the soil. These differences between the plant species likely reflect their different pH requirements for nutrient uptake [10].
In beaked hazelnut treated with pH 8.5 soil, leaf Ca concentrations significantly increased with the addition of 25 g kg−1 sulfur, which is in agreement with the results reported for lowbush blueberry [55] and demonstrate that sulfur amendment can improve Ca uptake from the soil. However, leaf Ca concentrations in Saskatoon berry in the 25 g kg−1 sulfur treatment of pH 8.5 soil showed an opposite trend, with a decrease in the leaf Ca concentrations, suggesting that high sulfur concentrations in the soil interfered with Ca uptake and (or) root to leaf transport at this soil pH level. The results indicated that Saskatoon berry and beaked hazelnut responded differently to elemental sulfur treatments, which were likely due to the different range of suitable pH levels of two species, which were 6.0–7.0 and 5.3–6.1 for Saskatoon berry and beaked hazelnut, respectively [44,45]. Saskatoon berry may be more sensitive than beaked hazelnut to much lower soil pH caused by elemental sulfur treatment. However, a previous study illustrated that lower pH can limit the nutrient uptake [10], but the results above showed that some leaf element increased under much lower soil pH. The results were likely due to long process of sulfur oxidation in soil [56] and the short growth period in this study. The chemistry dynamics of sulfur in the soil and the effect on soil pH should be better characterized and validated by field studies.
5. Conclusions
The results of this study demonstrated that elemental sulfur was effective in lowering pH of reclamation soil. However, the sulfur addition in high pH soil did not prominently improve the physiological responses in either Saskatoon berry or beaked hazelnut. The addition of sulfur to the pH 5.7 soil lowered its pH to the levels that can be harmful to plants and resulted in impaired growth and physiological performance of Saskatoon berry and beaked hazelnut plants. Contrary to our original hypothesis, both Saskatoon berry and beaked hazelnut seedlings did not benefit from the addition of 5 and 25 g kg−1 sulfur to the soil with initial 8.5 pH. In addition to the initial soil pH, the exact sulfur concentration required to lower soil pH to the desirable level may likely vary depending on the soil type and chemistry and should be experimentally determined for the different sites. In field conditions, addition of organic materials like ground bark biomass might provide another option to adjust soil pH by creating humus, which can be more ecologically sustainable. However, maintaining uniform soil pH level in reclamation sites over time may also be highly challenging.
Author Contributions
Conceptualization, J.J.Z. and I.S.; Methodology, X.S. and W.Z.; Investigation, X.S. and W.Z.; Data curation, X.S. and W.Z.; Writing—original draft preparation, X.S.; Writing—review & editing, W.Z., R.V., I.S., N.D. and J.J.Z.; Funding acquisition, J.J.Z., R.V. and I.S. All authors have read and agreed to the published version of the manuscript.
Funding
Funding for this research was provided to J.J.Z. by the Canadian Natural Resources Limited (CNRL), Canada’s Oil Sands Innovation Alliance (COSIA), and the Natural Sciences and Engineering Research Council of Canada (NSERC) through the Collaborative Research and Development Grant.
Institutional Review Board Statement
Not applicable.
Informed Consent Statement
Not applicable.
Data Availability Statement
Data associated with this study is available upon request from correspondence author.
Conflicts of Interest
The authors declare no conflict of interest.
References
- Rowland, S.M.; Prescott, C.E.; Grayston, S.J.; Quideau, S.A.; Bradfield, G.E. Recreating a Functioning Forest Soil in Reclaimed Oil Sands in Northern Alberta: An Approach for Measuring Success in Ecological Restoration. J. Environ. Qual. 2009, 38, 1580–1590. [Google Scholar] [PubMed] [Green Version]
- Zhang, W.; Fleurial, K.; Sherr, I.; Vassov, R.; Zwiazek, J.J. Growth and physiological responses of tree seedlings to oil sands non-segregated tailings. Environ. Pollut. 2020, 259, 113945. [Google Scholar]
- Environment and Parks. Oil Sands Mine Reclamation and Disturbance Tracking by Year. 2017. Available online: http://osip.alberta.ca/library/Dataset/Details/27# (accessed on 5 May 2021).
- Alberta Environment. Guidelines for Reclamation to Forest Vegetation in the Athabasca Oil Sands Region, 2nd ed.; Terrestrial Subgroup of the Reclamation Working Group of the Cumulative Environmental Management Association: Fort McMurray, AB, Canada, 2010. [Google Scholar]
- Howat, D. Acceptable Salinity, Sodicity and pH Values for Boreal Forest Reclamation; Alberta Environment, Environmental Sciences Division: Edmonton, AB, Canada, 2000. [Google Scholar]
- Fung, M.Y.; Macyk, T.M. Reclamation of oil sands mining areas. Reclam. Drastically Disturb. Lands 2000, 41, 755–774. [Google Scholar]
- Brady, N.C.; Weil, R.R. The Nature and Properties of Soils, 13th ed.; Prentice-Hall Inc.: Hoboken, NJ, USA, 2002. [Google Scholar]
- Rengel, Z. Handbook of Plant Growth pH as the Master Variable; CRC Press: Boca Raton, FL, USA, 2002. [Google Scholar]
- George, E.; Horst, W.J.; Neumann, E. Adaptation of plants to adverse chemical soil conditions. In Marschner’s Mineral Nutrition of Higher Plants; Elsevier: Amsterdam, The Netherlands, 2012; pp. 409–472. [Google Scholar]
- Zhang, W.; Xu, F.; Zwiazek, J.J. Responses of jack pine (Pinus banksiana) seedlings to root zone pH and calcium. Environ. Exp. Bot. 2015, 111, 32–41. [Google Scholar]
- Xu, F.; Tan, X.; Zhang, W.Q.; Zwiazek, J.J. Effects of iron and root zone pH on growth and physiological responses of paper birch (Betula papyrifera), trembling aspen (Populus tremuloides) and red-osier dogwood (Cornus stolonifera) seedlings in a split-root hydroponic system. Acta Physiol. Plant. 2019, 41, 142. [Google Scholar]
- Kamaluddin, M.; Zwiazek, J.J. Effects of root medium pH on water transport in paper birch (Betula papyrifera) seedlings in relation to root temperature and abscisic acid treatments. Tree Physiol. 2004, 24, 1173–1180. [Google Scholar] [PubMed] [Green Version]
- Siemens, J.A.; Zwiazek, J.J. Hebeloma crustuliniforme modifies root hydraulic responses of trembling aspen (Populus tremuloides) seedlings to changes in external pH. Plant Soil 2011, 345, 247–256. [Google Scholar]
- Törnroth-Horsefield, S.; Wang, Y.; Hedfalk, K.; Johanson, U.; Karlsson, M.; Tajkhorshid, E.; Neutze, R.; Kjellbom, P. Structural mechanism of plant aquaporin gating. Nature 2006, 439, 688–694. [Google Scholar] [PubMed]
- Tournaire-Roux, C.; Sutka, M.; Javot, H.; Gout, E.; Gerbeau, P.; Luu, D.-T.; Bligny, R.; Maurel, C. Cytosolic pH regulates root water transport during anoxic stress through gating of aquaporins. Nature 2003, 425, 393–397. [Google Scholar] [PubMed]
- Tang, C.; Turner, N.C. The influence of alkalinity and water stress on the stomatal conductance, photosynthetic rate and growth of Lupinus angustifolius L. and Lupinus pilosus Murr. Aust. J. Exp. Agric. 1999, 39, 457–464. [Google Scholar]
- Cai, X.; Ma, Y.; Wang, W.; Wei, C.; Wang, X.; Dun, S. Effects of applying sulphur on alkali soil pH and its consequence on yield and quality of flue-cured tobacco. Acta Table Sin. 2008, 14, 19–22. [Google Scholar]
- Sun, L.; Duan, D.; Peng, C.; He, J.; Shi, J. Influence of sulfur on the speciation transformation and phyto-availability of heavy metals in soil: A review. Chin. J. Appl. Ecol. 2014, 25, 2141–2148. [Google Scholar]
- Cui, Y.; Wang, Q.; Dong, Y.; Li, H.; Christie, P. Enhanced uptake of soil Pb and Zn by Indian mustard and winter wheat following combined soil application of elemental sulphur and EDTA. Plant Soil 2004, 261, 181–188. [Google Scholar]
- Slaton, N.A.; Norman, R.J.; Gilmour, J.T. Oxidation rates of commercial elemental sulfur products applied to an alkaline silt loam from Arkansas. Soil Sci. Soc. Am. J. 2001, 65, 239–243. [Google Scholar]
- Banerjee, M.R.; Chapman, S.J. The significance of microbial biomass sulphur in soil. Biol. Fertil. Soils 1996, 22, 116–125. [Google Scholar]
- Rao, P.S.; Karunasagar Iddya Otta, S.K.; Karunasagar, I. Incidence of bacteria involved in nitrogen and sulphur cycles in tropical shrimp culture ponds. Agric. Int. 2000, 8, 463–472. [Google Scholar]
- D’Aquin, G. Sulphur output from oil sands: Dramatically changing Alberta’s sulphur balance. In Proceedings of the 2008 Oil Sands Heavy Oil Technologies Conference: Stepping Up: Preparation for Growth, Calgary, AB, Canada, 15–17 July 2008; PennWell Corp: Tulsa, OK, USA, 2008; p. 1000. [Google Scholar]
- Lindemann, W.C.; Aburto, J.J.; Haffner, W.M.; Bono, A.A. Effect of sulfur source on sulfur oxidation. Soil Sci. Soc. Am. J. 1991, 55, 85–90. [Google Scholar]
- Watkinson, J.H.; Blair, G.J. Modelling the oxidation of elemental sulfur in soils. Fertil. Res. 1993, 35, 115–126. [Google Scholar]
- Wildflower Center. Corylus cornuta (Beaked Hazelnut). Native Plants of North America. Available online: https://www.wildflower.org/plants/result.php?id_plant=coco6 (accessed on 25 October 2021).
- Rutter, P.A.; Shepard, M.L. Hybrid Hazelnut Handbook, 1st ed.; Badgersett Research Corporation: Canton, MN, USA, 2002. [Google Scholar]
- Alberta Agriculture and Rural Development (AARD). Saskatoon Berry Production Manual; Alberta Agriculture and Rural Development: Edmonton, AB, Canada, 2013. [Google Scholar]
- Forsch, K.B.C.; Dhar, A.; Naeth, M.A. Effects of woody debris and cover soil types on soil properties and vegetation 4–5 years after oil sands reclamation. Restor. Ecol. 2021, 29, e13420. [Google Scholar]
- Wang, S.; Hu, C.; Cheng, D.; Liao, W.; Li, N.; Chen, L.; Fang, J. Effects of soil pH regulation on indigenous microflora and physiological groups in tea plantations. Soils 2011, 43, 76–80. [Google Scholar]
- Epstein, E. Mineral Nutrition of Plants: Principles and Perspectives; Wiley: New York, NY, USA, 1972. [Google Scholar]
- Sestak, Z.; Catský, J.; Jarvis, P.G. Plant Photosynthetic Production; Manual of Methods; Dr. W. Junk Publishers: The Hague, The Netherlands, 1971. [Google Scholar]
- R Core Team. R: A Language and Environment for Statistical Computing; R Foundation for Statistical Computing: Vienna, Austria, 2018; Available online: https://www.R-project.org/ (accessed on 25 October 2021).
- Natural Regions Committee. Natural Regions and Subregions of Alberta; Downing, D.J., Pettapiece, W.W., Eds.; Government of Alberta: Edmonton, AB, Canada, 2006. [Google Scholar]
- Calvo-Polanco, M.; Zhang, W.; Macdonald, S.E.; Señorans, J.; Zwiazek, J.J. Boreal forest plant species responses to pH: Ecological interpretation and application to reclamation. Plant Soil 2017, 420, 195–208. [Google Scholar]
- Chalaturnyk, R.J.; Don Scott, J.; Özüm, B. Management of oil sands tailings. Pet. Sci. Technol. 2002, 20, 1025–1046. [Google Scholar]
- Ramos-Padrón, E.; Bordenave, S.; Lin, S.; Bhaskar, I.M.; Dong, X.; Sensen, C.W.; Fournier, J.; Voordouw, G.; Gieg, L.M. Carbon and sulfur cycling by microbial communities in a gypsum-treated oil sands tailings pond. Environ. Sci. Technol. 2011, 45, 439–446. [Google Scholar] [PubMed]
- Engelhardt, R.; Todirescu, M. An Introduction to Development in Alberta’s Oil Sands; University of Alberta: Edmonton, AB, Canada, 2005. [Google Scholar]
- Zhang, C.; Zhang, M.; Zeng, Y. Effects of sulphur on chemical properties of calcareous soil. Chin. J. Appl. Ecol. 2007, 7, 1453–1458. [Google Scholar]
- Zhao, X.; Li, Y.; Mai, W.; Tian, X.; Lai, H.; Lv, J. A preliminary study on amendment of saline soil through addition of sulphur. Agric. Res. Arid. Areas 2008, 4, 74–78. [Google Scholar]
- Cao, Y.; Zhao, Y.; Zhao, W.; Lv, J. Research on effect of sulfur application on saline-alkaline soil pH and availability of trace elements in Huanghe River irrigation district in Ningxia. Agric. Res. Arid. Areas 2010, 28, 199–201. [Google Scholar]
- Perry, L. pH for the Garden. 2003. Available online: http://pss.uvm.edu/ppp/pubs/oh34.htm (accessed on 25 October 2021).
- Soaud, A.A.; Al Darwish, F.H.; Saleh, M.E.; El-Tarabily, K.A.; Sofian-Azirun, M.; Rahman, M.M. Effects of elemental sulfur, phosphorus, micronutrients and ‘Paracoccus versutus’ on nutrient availability of calcareous soils. Aust. J. Crop Sci. 2011, 5, 554. [Google Scholar]
- CNPS. Saskatoon Serviceberry, Amelanchier Alnifolia. 2021. Available online: https://calscape.org/Amelanchier-alnifolia-() (accessed on 25 October 2021).
- Gill, J.D.; Healy, W.M. Shrubs and Vines for Northeastern Wildlife; USDA Forest Service, Northeastern Forest Experiment Station: Upper Darby, PA, USA, 1974.
- Tang, K.; Zhu, W.; Zhou, W.; Yi, Z.; Tu, N. Research progress on effects of soil pH on plant growth and development. Crop Res. 2013, 27, 207–212. [Google Scholar]
- Rout, G.; Samantaray, S.; Das, P. Aluminium toxicity in plants: A review. Agronomie 2001, 21, 4–5. [Google Scholar]
- Kopittke, P.M.; Menzies, N.W.; Wang, P.; Blamey, F.P.C. Kinetics and nature of aluminium rhizotoxic effects: A review. J. Exp. Bot. 2016, 67, 4451–4467. [Google Scholar] [PubMed]
- Koca, N.; Karadeniz, F.; Burdurlu, H.S. Effect of pH on chlorophyll degradation and colour loss in blanched green peas. Food Chem. 2007, 100, 609–615. [Google Scholar]
- Karimizarchi, M.; Aminuddin, H.; Khanif, M.Y.; Radziah, O. Elemental sulphur application effects on nutrient availability and sweet maize (Zea mays L.) response in a high pH soil of Malaysia. Malays. J. Soil Sci. 2014, 18, 75–86. [Google Scholar]
- Janzen, H.H.; Bettany, J.R. Sulfur nutrition of rapeseed: I. Influence of fertilizer nitrogen and sulfur rates. Soil Sci. Soc. Am. J. 1984, 48, 100–107. [Google Scholar]
- Orman, S. Effects of elemental sulphur and farmyard manure applications to calcareous saline clay loam soil on growth and some nutrient concentrations of tomato plants. J. Food Agric. Environ. 2012, 10, 720–725. [Google Scholar]
- Lambers, H.; Chapin III, F.S.; Pons, T.L. Plant Physiological Ecology; Springer Science & Business Media: New York, NY, USA, 2008. [Google Scholar]
- Viani, R.A.; Rodrigues, R.R.; Dawson, T.E.; Lambers, H.; Oliveira, R.S. Soil pH accounts for differences in species distribution and leaf nutrient concentrations of Brazilian woodland savannah and seasonally dry forest species. Perspect. Plant Ecol. Evol. Syst. 2014, 16, 64–74. [Google Scholar]
- Starast, M.; Karp, K.; Vool, E. Effect of NPK fertilization and elemental sulphur on growth and yield of lowbush blueberry. Agric. Food Sci. 2007, 16, 34–45. [Google Scholar]
- Modaihsh, A.S.; Al-Mustafa, W.A.; Metwally, A.I. Effect of elemental sulphur on chemical changes and nutrient availability in calcareous soils. Plant Soil 1989, 116, 95–101. [Google Scholar]
Publisher’s Note: MDPI stays neutral with regard to jurisdictional claims in published maps and institutional affiliations. |
© 2022 by the authors. Licensee MDPI, Basel, Switzerland. This article is an open access article distributed under the terms and conditions of the Creative Commons Attribution (CC BY) license (https://creativecommons.org/licenses/by/4.0/).






