Abstract
Focusing on elastic neutrino–electron scattering events, we explore the prospect of constraining new physics beyond the Standard Model at the DUNE Near Detector (ND). Specifically, we extract the attainable sensitivities for motivated scenarios such as neutrino generalized interactions (NGIs), the sterile neutrino dipole portal and unitarity violation. We furthermore examine the impact of the -optimized flux at the DUNE-ND and compare our results with those obtained using the standard CP-optimized flux. We find that our present analysis is probing a previously unexplored region of the parameter space, complementing existing results from cosmological observations and terrestrial experiments.
1. Introduction
The Deep Underground Neutrino Experiment (DUNE) is the leading next-generation neutrino experiment [1,2]. DUNE will consist of a near and far baseline detector, with the primary goal to further constrain the neutrino oscillation parameters, having a special focus on CP violation [3]. The purpose of the near detector (ND), which will be located at a distance of 574 m from the source, is to perform calibration measurements to facilitate the signal reconstruction at the far detector. On the other hand, the highly intense neutrino beam generated at the Fermi National Accelerator Laboratory (FNAL) combined with the 67 tonnes of DUNE-ND fiducial mass constitutes a prime vehicle to look for new physics opportunities [4,5]. For instance, DUNE-ND is a unique facility for conducting generic beyond the Standard Model (SM) physics searches involving neutrinos [6,7] and the production of heavy neutral leptons; see, e.g., [8,9,10]. Moreover, recent studies have expanded the physics reach of the DUNE-ND opening new directions for light dark matter [11,12] and axion-like particles [13,14] investigations.
In this work, focusing on the liquid argon time projection chamber (LArTPC) module of the DUNE-ND we will devote an effort to quantify its discovery potential regarding a number of motivated new physics scenarios. In particular, we will explore the prospects of constraining generalized neutrino interactions [15], electromagnetic neutrino properties [16] and deviations from the unitarity of the lepton mixing matrix [17]. Our present study is based on elastic neutrino–electron scattering (EES) events, for which we take into account important reconstruction effects [18], mainly due to the finite resolution of DUNE-ND. We then extract realistic sensitivities by performing a statistical analysis that takes into account all relevant uncertainties and backgrounds. Before closing this discussion, we would like to note that here we consider the new physics effects to occur either in detection (NGIs and electromagnetic neutrinos) or at production (non-unitarity) but not at both production and detection. For such an example in the context of nonstandard interactions see, e.g., [19].
The remainder of this work is structured as follows. In Section 2 we provide a brief description of the EES formalism and we also discuss the main details concerning the evaluation of the expected signal at the DUNE-ND. In Section 3 we present the resulted DUNE-ND sensitivities concerning the studied exotic neutrino scenarios. Finally, in Section 4 we summarize our main concluding remarks.
2. Elastic Neutrino–Electron Scattering in the SM and Beyond
In this section we provide the relevant cross sections for describing EES within and beyond the SM. We also provide our assumptions regarding the methodology followed for computing the expected event rates at DUNE-ND.
2.1. Standard Model
Assuming SM interactions only, the tree-level differential cross section is given by [20]
where is the Fermi constant, the incoming neutrino energy, the electron mass and the electron recoil energy. The vector and axial-vector SM couplings, and , are flavor-dependent and read
with being the weak mixing angle for which we take [21]. For antineutrino scattering, the differential cross section is given by Equation (1) and the substitution .
2.2. Neutrino Generalized Interactions (NGIs)
NGIs provide a more generic framework [15,22,23] that goes one step beyond the exhaustively studied neutrino nonstandard interactions (NSIs) [24,25]. In particular, they enable a model-independent study of all possible Lorentz-invariant structures: scalar (S), pseudoscalar (P), vector (V), axial-vector (A) and tensor (T). For the various NGIs , we are interested to explore the effect of the corresponding light mediators and respective couplings on the event rates detectable by DUNE-ND as well as to extract constraints on relevant parameter space.
First, focusing on vector and axial-vector interactions, the corresponding differential cross sections are given by SM one; see, e.g., Equation (1) with the substitution
where denotes the mass of the corresponding light mediator and the respective coupling.
Then, for the cases of the scalar, pseudoscalar and tensor NGIs, the differential cross sections are written as
Notice that for interactions there is interference with the SM, which is not the case for . It is also interesting to note that for the typical DUNE-ND recoil energies, i.e., a few GeV, it holds that , hence the scalar and pseudoscalar cross sections become practically identical.
2.3. Sterile Dipole Portal
Active-sterile neutrino transitions are possible not only via oscillations in propagation but also through a neutrino transition magnetic moment interaction according to the Lagrangian of [26]
Here, denotes the photon field strength tensor and is a complex matrix written in terms of the hermitian matrices describing the magnetic, , and electric, , dipole moments, respectively. For Majorana neutrinos is antisymmetric, while for Dirac neutrinos it is a general complex matrix [27]. The sterile-dipole portal leads to sterile neutrino production with mass via upscattering: . This process will add incoherently to the SM EES cross section, as [28]
Notice that in the limit of , the cross section reduces to the standard active–active neutrino magnetic moment cross section [29]. At this point it should be stressed that, since the produced sterile neutrino is massive, the kinematics of the process imply the following condition:
The produced sterile neutrinos will eventually decay to a light neutrino and a photon, i.e., . The corresponding decay rate in the sterile neutrino frame is given by the expression
If the sterile neutrino is sufficiently short-lived, it is possible to decay inside the DUNE-ND detector, leading to an additional signal deposition in the LArTPC. The corresponding probability reads
where is the boost factor to go from the center of mass to the laboratory reference frame and m is the size of the LArTPC.
2.4. Non-Unitarity of the Leptonic Mixing Matrix
Within the context of type-I seesaw models, several new heavy neutral leptons can be accommodated. In this case, the full unitary lepton mixing matrix with 3 light neutrinos and heavy neutral leptons can be written in block form
where N describes the mixing among light states, S and V describe the mixing between heavy and light states and T the mixing among the heavy states. The relevant sub-block is represented by the rectangular matrix where N is a and S a matrix. The presence of new heavy neutral leptons implies that N is non-unitary. Indeed, the unitarity of K implies that , with N being
Here, is the standard unitary lepton mixing matrix, while stands for a new physics (NP) matrix, which accounts for unitarity violation effects [17]. In this work, we adopt the following parametrization:
where the diagonal entries are real and the diagonal ones are complex. For a detailed description, see Ref. [17].
To simplify the analysis, following Ref. [30] we will express the results in power series of the seesaw expansion parameter (see Ref. [30] for details), keeping up to terms. Here, M is the mediator mass scale, is the SM vacuum expectation value and Y is the Yukawa matrix. Then, the SM EES cross sections in the presence of NU read
2.5. Evaluation of the Number of Events
Previous studies focusing on DUNE-ND [31] and MINERa [32] detectors have emphasized the importance of performing EES measurements based on selection, where stands for the total electron energy and is the electron scattering angle with respect to the direction of the incoming neutrino beam. As explained in these references, in comparison to pure recoil energy measurements the shape of the signature allows for a drastic background rejection, the latter mainly coming from charged current quasielastic scattering (CCQE) and missidentified pions ().
The kinematics of the EES process implies that , where denotes the inelasticity, which takes values in the range ( is the electron recoil threshold). For the forward final state electrons arising from EES interactions occurring within DUNE-ND this translates to , hence for an ideal detector the expected EES rates will be characterized by . We are therefore motivated to compute the expected EES rates in space as follows:
where
Here, and denote the running time and the number of electron targets in the LArTPC detector, while stands for the protons on target per year and finally represents the FNAL beam at DUNE-ND (see, e.g., Chapter 4 in Ref. [4]). Concerning the integration limits for SM and NGIs, one has , while the upper limit is taken from the endpoint of the FNAL neutrino beam. For sterile dipole portal it instead holds because of the nonzero mass. The inelasticity parameter in that case is also slightly modified and reads .
2.6. Signal Reconstruction Method
In our effort to obtain as accurate as possible predictions of the expected signal at DUNE-ND, we also take into account the effects of finite energy and angular resolution of the detector. Assuming an energy resolution as done in Refs. [18,33] we concluded that its effect is tiny and hence it can be safely ignored. Turning now to angular resolution effects, it has been previously shown that a typical Gaussian function may lead to an overestimation of the smearing since the azimuthal angle is crucial when applying the smearing [18,33].
For this reason, we begin our analysis by expressing the true electron momentum vector as , where the incoming neutrino beam is assumed to be in the direction, with being the true scattering angle. Then, will be related to the reconstructed momentum vector via the expression [18]
Here, represents the rotation matrix about the axis through the angle , while the reconstructed angle is obtained from . This procedure is important for achieving control on the smearing (for details see the discussion in Ref. [7]). Assuming an angular resolution of , we perform a Monte Carlo calculation and eventually obtain the reconstructed angle in a given bin.
3. Results and Discussion
In this section, we present our results obtained in view of future EES measurements by the LArTPC detection system of DUNE-ND, assuming both the CP- and -optimized flux configurations [34,35]. In what follows, our extracted sensitivities are obtained through a statistical analysis that relies on the following function:
where the index i refers to the reconstructed bins taken to be 20 bins in the range as done in Ref. [7], while the index j corresponds to the neutrino (3.5 years) and antineutrino (3.5 years) mode. We have furthermore assumed two nuisance parameters and , which are introduced to account for neutrino flux (). We have checked that by using a more conservative uncertainty of up to 10% [18,33] and background uncertainties (), the results presented below remain essentially unaltered. The theoretical number of events at the LArTPC is , with the background being dominated by CCQE and events, i.e., [18]. Finally, accounts for the simulated data at DUNE-ND, including SM, new-physics effects and backgrounds.
We begin our analysis by computing the SM EES event rates at the DUNE-ND. As mentioned in the previous section, we consider a resolution of and express our reconstructed signal in terms of . The resulting spectra are shown in the left panel of Figure 1 for both CP- and -optimized flux configurations with blue and red color, respectively. The results are shown separately for neutrino (solid lines) and antineutrino (dashed lines) modes as well as for both neutrino and antineutrino modes. Since the -optimized flux is not available for the off-axis locations, here we show the results for the on-axis (OA) location only. However, as demonstrated in Ref. [7], the OA location is dominating the event spectra, hence ignoring the off-axis spectra will not affect the extracted sensitivities. As can be seen from the plot, the expected signal is extending beyond the physical limit that is dictated by the kinematics of the process. This is due to the reconstruction of EES assuming a finite resolution of . For the sake of completeness, let us note that a finite resolution in the reconstruction of will leave the results unaffected; see, e.g., Ref. [7]. It is worth noticing that for the SM case the -optimized configuration will lead to enhanced rates compared to the standard CP-optimized configuration. In the right panel of Figure 1 we show the event distributions normalized to unity. This is performed in order to appreciate spectral differences due to the two different flux configurations. We find that the CP-optimized flux will lead to a narrower spectrum in comparison to the one expected in view of the -optimized flux.
Figure 1.
(Left): Standard Model EES events as a function of at DUNE-ND. The results are shown for both CP- and -optimized flux configurations and neutrino/antineutrino modes (for details see the main text). (Right): same as the left panel with the event rates being normalized to unity.
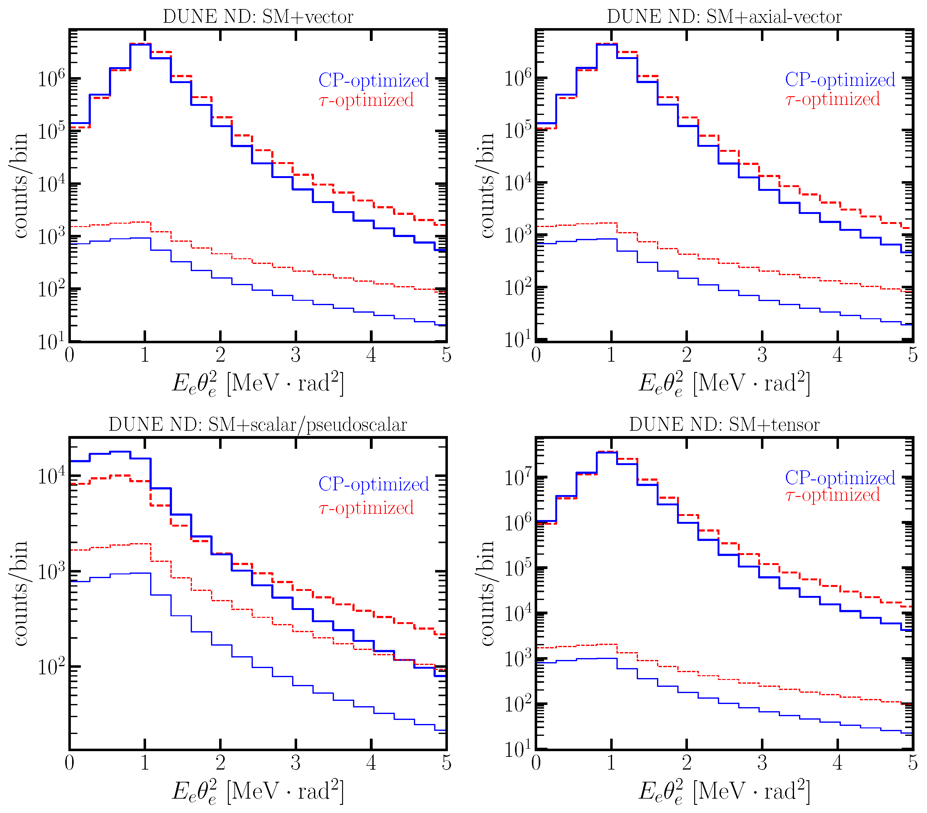
We are now interested in focusing on the NGI scenario. In the first step of our analysis, we evaluate the expected events at the DUNE-ND for the different interactions . Figure 2 shows example spectra for the CP- vs. -optimized configuration, displayed with blue and red color, respectively. For illustration purposes the event spectra are calculated for two choices of mediator mass, namely keV (thick lines) and MeV (thin lines), with the coupling fixed to in both cases. From the results it can be seen that in all cases the lower the mediator mass the larger the number of events. This can be immediately understood from the cross sections’ dependence on the mediator mass, i.e., . For the cases we find a similar spectral behavior concerning the CP- vs. -optimized flux. When heavy mediator masses are involved, the low-lying spectra corresponding to the -optimized flux are essentially similar to those obtained with the CP-optimized flux, and they eventually become slightly enhanced for the higher bins. On the other hand, for light mediator masses the -optimized configuration always leads to enhanced spectra. Focusing now on the scalar/pseudoscalar case, the following conclusions can be drawn. First, for light mediators the same behavior is found as discussed previously for the cases. However for heavy mediator masses one sees that the low-lying spectra obtained with the CP-optimized flux are quite enhanced in comparison to those obtained with the -optimized configuration, while for the higher bins the latter behavior is reversed.
Figure 2.
Typical NGI spectra expected at DUNE-ND for vector (upper left), axial-vector (upper right), scalar/pseudoscalar (lower left) and tensor (lower right) interactions. In the depicted spectra the SM contribution has been included and a comparison between CP- vs. -optimized flux driven results is given. Thick (thin) lines correspond to a mediator mass of , and a fixed coupling of .
By performing a statistical analysis we obtain the attainable sensitivities at the DUNE-ND. The respective exclusion regions at 90% C.L. are shown in Figure 3, where a comparison between the CP- vs -optimized driven sensitivities is also given. From the results it can deduced that the scalar/pseudoscalar sensitivity is by one order of magnitude less compared to the cases. This is because the scalar/pseudoscalar cross section is suppressed compared to the other ones. For a detailed discussion the reader is referred to Ref. [7]. Furthermore, as a direct consequence of the high-energy profile of the -optimized flux, slight sensitivity improvements are feasible for large mediator masses , e.g., compare the solid vs. dashed curves.
Figure 3.
Exclusion regions at 90% C.L. for the different NGIs extracted from the analysis of DUNE-ND. A comparison between CP- vs. -optimized flux driven results is also given.
We now turn our attention to electromagnetic neutrino interactions beyond the SM involving a final state sterile neutrino. For simplicity, we neglect active-sterile transitions via oscillations in propagation. Specifically, we explore the sensitivity of DUNE-ND to the so-called sterile neutrino dipole portal scenario, which arises from the tensor-type interaction shown in the Lagrangian (7). A characteristic feature of the sterile dipole interaction cross section is the expected enhancement of the event rates for low recoil energies; see, e.g., Equation (8). This translates to an enhancement of the expected signal for low values of as demonstrated in the left panel of Figure 4. The spectra are presented for the case of incoming muon neutrinos only, since the corresponding rates from electron neutrinos are quite suppressed due to the flavor composition of the FNAL beam. The results are illustrated for different sterile neutrino masses , i.e., for MeV (green color) and MeV (red color) with the effective magnetic moment fixed at . As expected, the signal is larger when up-scaterring to lighter sterile neutrinos takes place, whereas the peak of the spectrum is also shifted towards larger bins. A comparison between the expected signals induced by the CP- vs. -optimized flux configuration is also given, with solid and dashed curves, respectively. Evidently, in the latter case the corresponding signal is enhanced and extends to larger bins following the features of the -optimized flux.
Figure 4.
(Left): Expected event rates at DUNE-ND in the presence of active-sterile neutrino transition neutrino magnetic moments. The results are shown for a sterile neutrino mass of MeV and a fixed magnetic moment of . A comparison of the expected spectra assuming the CP- and the -optimized flux is given. (Right): 90% C.L. DUNE-ND sensitivity on the sterile dipole portal scenario. Thick (thin) exclusion curves correspond to the analysis of upscattering (decay) events.
In the right panel of Figure 4 we present the DUNE-ND sensitivity to the sterile neutrino dipole portal. The individual exclusion regions obtained in the present work are depicted separately for the (blue curves) and (red curves) flavors. Moreover, the thick (thin) curves correspond to the analysis of scattering (decay) events. We find that the -induced sensitivities are improved by one order of magnitude in comparison to those extracted, assuming neutrinos. Focusing on the scattering case, it is interesting to notice that the extracted sensitivities are saturated for very low sterile neutrino masses, i.e., for MeV. Before closing this discussion it is worth noting that in the latter limit our results are in agreement with Ref. [33], which instead analyzed active–active magnetic moment EES events. We would like to note that the DUNE-ND constraints on the neutrino magnetic moment are not competitive to those extracted from, e.g., solar neutrinos, which are of the order of [36]. On the other hand, due to the highly energetic FNAL beam the DUNE-ND will be able to probe larger sterile neutrino masses (up to ∼200 MeV), a region in the parameter space that is not accessible in solar or reactor neutrino analyses [37].
The final scenario that we will consider in the present work is the violation of lepton unitarity. In this case, we assume the so-called zero-distance probabilities and completely ignore the propagation of neutrinos from the production point to the DUNE-ND since there is not enough time for them to develop. A similar analysis was recently performed in Ref. [30]; that was, however, based on the total number of events and assumed ideal resolution. Here, we instead consider reconstructed event rates that are binned in space. We furthermore perform a statistical analysis, taking into account shape and normalization information as well as realistic CCQE and backgrounds following Equation (20). Our result is therefore not as stringent for these reasons. We note, however, that following the assumptions reported in Ref. [30], their results are reproducible, thus the differences with respect to the present results are due to the different analysis strategy followed here.
The sensitivity contours obtained in this study assuming the CP- (blue curve) as well as the -optimized (red curve) flux configurations are shown in the left panel of Figure 5 where the allowed region in the parameter space of is presented. The result is compared to existing results from global oscillation analyses conducted in Ref. [38], which are currently more constraining. Then, following Ref. [30] in the right panel of Figure 5 we present the result coming out from a combined analysis of EES plus events, by noting that the latter depends only on in the presence of NU. As can be seen, in that case the combined analysis leads to an improved sensitivity for that directly competes with neutrino oscillation searches. Notice, however, that the latter result is calculated by neglecting shape information and signal reconstruction for the case, which is left for a future study. Before closing our discussion, let us stress that additional improvements in the understanding of DUNE-ND backgrounds and a better determination of the FNAL neutrino flux will offer more competitive results, further complementing the oscillation analyses.
Figure 5.
DUNE-ND sensitivity at 90% C.L. on the NU scenario. The results are shown for both CP- and -optimized flux configurations, while a comparison with result coming from the analysis of neutrino oscillation data is also given. The (left,right) panels present the results from the EES only (combined EES plus ) analysis.
4. Conclusions
In this work, we have explored the attainable sensitivities of the DUNE-ND on several options motivated beyond the SM scenarios. Our study is based on EES events expected to be measured by the LArTPC of DUNE-ND. Our analysis takes into account the EES signal reconstruction in terms of , shape information and all relevant uncertainties and backgrounds. We furthermore quantified the impact of the CP- vs. -optimized flux configurations on the extracted sensitivities. Concerning the new physics models, we focused on NGIs assuming all Lorentz non-derivative interactions, namely scalar, pseudoscalar, vector, axial-vector and tensor. We also considered electromagnetic neutrino interactions and, specifically, we focused on active-sterile neutrino transitions via a neutrino magnetic moment, often referred to as the sterile dipole portal. In that case we explored both the upscattering process and the subsequent decay of the sterile neutrino to an SM neutrino and a photon. Finally, we explored the prospect of constraining potential deviations from unitarity concerning the lepton mixing matrix and compared our results with existing ones in the literature.
Author Contributions
All authors equally contributed in all phases of this work. All authors have read and agreed to the published version of the manuscript.
Funding
This work was supported by the Hellenic Foundation for Research and Innovation (H.F.R.I.) under the “3rd Call for H.F.R.I. Research Projects to support Post-Doctoral Researchers” (Project Number: 7036).
Data Availability Statement
Data are contained within the article.
Acknowledgments
DKP is grateful to O. Miranda and S. Centelles Chulia for fruitful discussions.
Conflicts of Interest
The authors declare no conflicts of interest.
References
- Abi, B.; Acciarri, R.; Acero, M.A.; Adamov, G.; Adams, D.; Adinolfi, M.; Ahmad, Z.; Ahmed, J.; Alion, T.; Monsalve, S.A.; et al. Deep Underground Neutrino Experiment (DUNE), Far Detector Technical Design Report, Volume I Introduction to DUNE. J. Instrum. 2020, 15, T08008. [Google Scholar] [CrossRef]
- Abi, B.; Acciarri, R.; Adamov, G.; Adams, D.; Adinolfi, M.; Ahmad, Z.; Ahmed, J.; Alion, T.; Monsalve, S.A.; Alt, C.; et al. Deep Underground Neutrino Experiment (DUNE), Far Detector Technical Design Report, Volume II: DUNE Physics. arXiv 2020, arXiv:2002.03005. [Google Scholar]
- De Romeri, V.; Fernandez-Martinez, E.; Sorel, M. Neutrino oscillations at DUNE with improved energy reconstruction. J. High Energy Phys. 2016, 9, 30. [Google Scholar] [CrossRef]
- Hewes, V.; Abi, B.; Acciarri, R.; Acero, M.A.; Adamov, G.; Adams, D.; Adinolfi, M.; Aduszkiewicz, A.; Ahmad, Z.; Ahmed, J.; et al. Deep Underground Neutrino Experiment (DUNE) Near Detector Conceptual Design Report. Instruments 2021, 5, 31. [Google Scholar] [CrossRef]
- Abi, B.; Acciarri, R.; Adamov, G.; Adams, D.; Adinolfi, M.; Ahmad, Z.; Ahmed, J.; Alion, T.; Monsalve, S.A.; Alt, C.; et al. Prospects for beyond the Standard Model physics searches at the Deep Underground Neutrino Experiment. Eur. Phys. J. C 2021, 81, 322. [Google Scholar] [CrossRef]
- Ballett, P.; Hostert, M.; Pascoli, S.; Perez-Gonzalez, Y.F.; Tabrizi, Z.; Zukanovich Funchal, R. Z’s in neutrino scattering at DUNE. Phys. Rev. D 2019, 100, 055012. [Google Scholar] [CrossRef]
- Melas, P.; Papoulias, D.K.; Saoulidou, N. Probing generalized neutrino interactions with the DUNE Near Detector. J. High Energy Phys. 2023, 7, 190. [Google Scholar] [CrossRef]
- Ballett, P.; Boschi, T.; Pascoli, S. Heavy Neutral Leptons from low-scale seesaws at the DUNE Near Detector. J. High Energy Phys. 2020, 3, 111. [Google Scholar] [CrossRef]
- Beltrán, R.; Günther, J.; Hirsch, M.; Titov, A.; Wang, Z.S. Heavy neutral leptons from kaons in effective field theory. arXiv 2023, arXiv:2309.11546. [Google Scholar] [CrossRef]
- Candela, P.M.; De Romeri, V.; Melas, P.; Papoulias, D.K.; Saoulidou, N. Up-scattering production of a sterile fermion at DUNE: Complementarity with spallation source and direct detection experiments. arXiv 2024, arXiv:2404.12476. [Google Scholar]
- De Romeri, V.; Kelly, K.J.; Machado, P.A.N. DUNE-PRISM Sensitivity to Light Dark Matter. Phys. Rev. D 2019, 100, 095010. [Google Scholar] [CrossRef]
- Breitbach, M.; Buonocore, L.; Frugiuele, C.; Kopp, J.; Mittnacht, L. Searching for physics beyond the Standard Model in an off-axis DUNE near detector. J. High Energy Phys. 2022, 1, 48. [Google Scholar] [CrossRef]
- Kelly, K.J.; Kumar, S.; Liu, Z. Heavy axion opportunities at the DUNE near detector. Phys. Rev. D 2021, 103, 095002. [Google Scholar] [CrossRef]
- Brdar, V.; Dutta, B.; Jang, W.; Kim, D.; Shoemaker, I.M.; Tabrizi, Z.; Thompson, A.; Yu, J. Axionlike Particles at Future Neutrino Experiments: Closing the Cosmological Triangle. Phys. Rev. Lett. 2021, 126, 201801. [Google Scholar] [CrossRef] [PubMed]
- Aristizabal Sierra, D.; De Romeri, V.; Rojas, N. COHERENT analysis of neutrino generalized interactions. Phys. Rev. D 2018, 98, 075018. [Google Scholar] [CrossRef]
- Giunti, C.; Studenikin, A. Neutrino electromagnetic interactions: A window to new physics. Rev. Mod. Phys. 2015, 87, 531. [Google Scholar] [CrossRef]
- Escrihuela, F.J.; Forero, D.V.; Miranda, O.G.; Tortola, M.; Valle, J.W.F. On the description of nonunitary neutrino mixing. Phys. Rev. D 2015, 92, 053009, Erratum in Phys. Rev. D 2016, 93, 119905. [Google Scholar] [CrossRef]
- de Gouvea, A.; Machado, P.A.N.; Perez-Gonzalez, Y.F.; Tabrizi, Z. Measuring the Weak Mixing Angle in the DUNE Near Detector Complex. Phys. Rev. Lett. 2020, 125, 051803. [Google Scholar] [CrossRef] [PubMed]
- Giarnetti, A.; Meloni, D. Probing source and detector nonstandard interaction parameters at the DUNE near detector. Phys. Rev. D 2021, 104, 015027. [Google Scholar] [CrossRef]
- Kayser, B.; Fischbach, E.; Rosen, S.P.; Spivack, H. Charged and Neutral Current Interference in νee Scattering. Phys. Rev. D 1979, 20, 87. [Google Scholar] [CrossRef]
- Workman, R.L.; Burkert, V.D.; Crede, V.; Klempt, E.; Thoma, U.; Tiator, L.; Agashe, K.; Aielli, G.; Allanach, B.C.; Amsler, C.; et al. Review of Particle Physics. Prog. Theor. Exp. Phys. 2022, 2022, 083C01. [Google Scholar] [CrossRef]
- Rosen, S.P. Analog of the Michel Parameter for Neutrino - Electron Scattering: A Test for Majorana Neutrinos. Phys. Rev. Lett. 1982, 48, 842. [Google Scholar] [CrossRef]
- Rodejohann, W.; Xu, X.J.; Yaguna, C.E. Distinguishing between Dirac and Majorana neutrinos in the presence of general interactions. J. High Energy Phys. 2017, 5, 24. [Google Scholar] [CrossRef]
- Miranda, O.G.; Nunokawa, H. Non standard neutrino interactions: Current status and future prospects. New J. Phys. 2015, 17, 095002. [Google Scholar] [CrossRef]
- Babu, K.S.; Gonçalves, D.; Jana, S.; Machado, P.A.N. Neutrino Non-Standard Interactions: Complementarity Between LHC and Oscillation Experiments. Phys. Lett. B 2021, 815, 136131. [Google Scholar] [CrossRef]
- Grimus, W.; Schwetz, T. Elastic neutrino electron scattering of solar neutrinos and potential effects of magnetic and electric dipole moments. Nucl. Phys. B 2000, 587, 45–66. [Google Scholar] [CrossRef]
- Aristizabal Sierra, D.; Miranda, O.G.; Papoulias, D.K.; Garcia, G.S. Neutrino magnetic and electric dipole moments: From measurements to parameter space. Phys. Rev. D 2022, 105, 035027. [Google Scholar] [CrossRef]
- McKeen, D.; Pospelov, M. Muon Capture Constraints on Sterile Neutrino Properties. Phys. Rev. D 2010, 82, 113018. [Google Scholar] [CrossRef]
- Vogel, P.; Engel, J. Neutrino Electromagnetic Form-Factors. Phys. Rev. D 1989, 39, 3378. [Google Scholar] [CrossRef]
- Centelles Chuliá, S.; Miranda, O.; Valle, J.W.F. Leptonic neutral-current probes in a short-distance DUNE-like setup. arXiv 2024, arXiv:2402.00114. [Google Scholar] [CrossRef]
- Marshall, C.M.; McFarland, K.S.; Wilkinson, C. Neutrino-electron elastic scattering for flux determination at the DUNE oscillation experiment. Phys. Rev. D 2020, 101, 032002. [Google Scholar] [CrossRef]
- Park, J.; Aliaga, L.; Altinok, O.; Bellantoni, L.; Bercellie, A.; Betancourt, M.; Bodek, A.; Bravar, A.; Budd, H.; Cai, T.; et al. Measurement of Neutrino Flux from Neutrino-Electron Elastic Scattering. Phys. Rev. D 2016, 93, 112007. [Google Scholar] [CrossRef]
- Mathur, V.; Shoemaker, I.M.; Tabrizi, Z. Using DUNE to shed light on the electromagnetic properties of neutrinos. J. High Energy Phys. 2022, 10, 41. [Google Scholar] [CrossRef]
- Acciarri, R.; Acero, M.A.; Adamowski, M.; Adams, C.; Adamson, P.; Adhikari, S.; Ahmad, Z.; Albright, C.H.; Alion, T.; Amador, E.; et al. Long-Baseline Neutrino Facility (LBNF) and Deep Underground Neutrino Experiment (DUNE): Conceptual Design Report, Volume 2: The Physics Program for DUNE at LBNF. arXiv 2015, arXiv:1512.06148. [Google Scholar]
- Machado, P.; Schulz, H.; Turner, J. Tau neutrinos at DUNE: New strategies, new opportunities. Phys. Rev. D 2020, 102, 053010. [Google Scholar] [CrossRef]
- ShivaSankar, K.A.; Majumdar, A.; Papoulias, D.K.; Prajapati, H.; Srivastava, R. Implications of first LZ and XENONnT results: A comparative study of neutrino properties and light mediators. Phys. Lett. B 2023, 839, 137742. [Google Scholar] [CrossRef]
- Miranda, O.G.; Papoulias, D.K.; Sanders, O.; Tórtola, M.; Valle, J.W.F. Low-energy probes of sterile neutrino transition magnetic moments. J. High Energy Phys. 2021, 12, 191. [Google Scholar] [CrossRef]
- Forero, D.V.; Giunti, C.; Ternes, C.A.; Tortola, M. Nonunitary neutrino mixing in short and long-baseline experiments. Phys. Rev. D 2021, 104, 075030. [Google Scholar] [CrossRef]
Disclaimer/Publisher’s Note: The statements, opinions and data contained in all publications are solely those of the individual author(s) and contributor(s) and not of MDPI and/or the editor(s). MDPI and/or the editor(s) disclaim responsibility for any injury to people or property resulting from any ideas, methods, instructions or products referred to in the content. |
© 2024 by the authors. Licensee MDPI, Basel, Switzerland. This article is an open access article distributed under the terms and conditions of the Creative Commons Attribution (CC BY) license (https://creativecommons.org/licenses/by/4.0/).




