Formation of Conserved Charge at the de Sitter Space
Abstract
1. Introduction
2. Method
2.1. Accumulation of the Assymetry
2.2. Extra Spatial Dynamics
3. Results
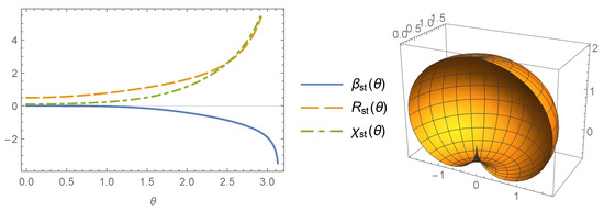
3.1. Stationary Configuration
3.2. Small Perturbations
3.3. Accumulation of the Conserved Number
4. Conclusions and Further Research
Author Contributions
Funding
Acknowledgments
Conflicts of Interest
References
- Blagojević, M.; Hehl, F.W. (Eds.) Gravitation and Gauge Symmetries; Institute of Physics Publishing: Bristol, UK,, 2002. [Google Scholar]
- Carroll, S.M.; Geddes, J.; Hoffman, M.B.; Wald, R.M. Classical stabilization of homogeneous extra dimensions. Phys. Rev. D 2002, 66, 024036. [Google Scholar] [CrossRef]
- Bronnikov, K.A.; Rubin, S.G. Self-stabilization of extra dimensions. Phys. Rev. D 2006, 73, 124019. [Google Scholar] [CrossRef]
- Nikulin, V.V.; Rubin, S.G. Inflationary limits on the size of compact extra space. Int. J. Mod. Phys. D 2019, 28, 1941004. [Google Scholar] [CrossRef]
- Popov, A.A.; Rubin, S.G. Evolution of sub-spaces at high and low energies. Eur. Phys. J. 2019, C79, 892. [Google Scholar] [CrossRef]
- Kirillov, A.A.; Korotkevich, A.A.; Rubin, S.G. Emergence of symmetries. Phys. Lett. 2012, B718, 237–240. [Google Scholar] [CrossRef]
- Cianfrani, F.; Marrocco, A.; Montani, G. Gauge theories as a geometrical issue of a Kaluza–Klein framework. Int. J. Mod. Phys. D 2005, 14, 1195–1231. [Google Scholar] [CrossRef]
- Bronnikov, K.A.; Budaev, R.I.; Grobov, A.V.; Dmitriev, A.E.; Rubin, S.G. Inhomogeneous compact extra dimensions. J. Cosmol. Astroparticle Phys. 2017, 10, 001. [Google Scholar] [CrossRef][Green Version]
- Rubin, S.G. Cosmology and Matter-Induced Branes. Symmetry 2020, 12, 45. [Google Scholar] [CrossRef]
- Sarkar, U. Particle and Astroparticle Physics; CRC Press: Boca Raton, FL, USA, 2007. [Google Scholar]
- Berry, C.P.; Gair, J.R. Linearized f (R) gravity: Gravitational radiation and solar system tests. Phys. Rev. D 2011, 83, 104022. [Google Scholar] [CrossRef]
- Abbott, R.B.; Barr, S.M.; Ellis, S.D. Kaluza-Klein Cosmologies and Inflation. Phys. Rev. D 1984, D30, 720. [Google Scholar] [CrossRef]
- Nasri, S.; Silva, P.J.; Starkman, G.D.; Trodden, M. Radion stabilization in compact hyperbolic extra dimensions. Phys. Rev. D 2002, 66, 045029. [Google Scholar] [CrossRef]
- Khlopov, M.Y. Composite Dark Matter from 4-th Generation. Pis’ma Zh. Ehksp. Teor. Fiz. 2006, 83, 3–6. [Google Scholar]
- Dolgov, A.D.; Kawasaki, M.; Kevlishvili, N. Inhomogeneous baryogenesis, cosmic antimatter, and dark matter. Nucl. Phys. B 2009, 807, 229–250. [Google Scholar] [CrossRef]
- Belotsky, K.M.; Dmitriev, A.E.; Esipova, E.A.; Gani, V.A.; Grobov, A.V.; Khlopov, M.Y.; Kirillov, A.A.; Rubin, S.G.; Svadkovsky, I.V. Signatures of primordial black hole dark matter. Mod. Phys. Lett. A 2014, 29, 1440005. [Google Scholar] [CrossRef]
- Dolgov, A.; Silk, J. Baryon isocurvature fluctuations at small scales and baryonic dark matter. Phys. Rev. D 1993, 47, 4244–4255. [Google Scholar] [CrossRef] [PubMed]



© 2020 by the authors. Licensee MDPI, Basel, Switzerland. This article is an open access article distributed under the terms and conditions of the Creative Commons Attribution (CC BY) license (http://creativecommons.org/licenses/by/4.0/).
Share and Cite
Nikulin, V.V.; Petriakova, P.M.; Rubin, S.G. Formation of Conserved Charge at the de Sitter Space. Particles 2020, 3, 355-363. https://doi.org/10.3390/particles3020027
Nikulin VV, Petriakova PM, Rubin SG. Formation of Conserved Charge at the de Sitter Space. Particles. 2020; 3(2):355-363. https://doi.org/10.3390/particles3020027
Chicago/Turabian StyleNikulin, Valery V., Polina M. Petriakova, and Sergey G. Rubin. 2020. "Formation of Conserved Charge at the de Sitter Space" Particles 3, no. 2: 355-363. https://doi.org/10.3390/particles3020027
APA StyleNikulin, V. V., Petriakova, P. M., & Rubin, S. G. (2020). Formation of Conserved Charge at the de Sitter Space. Particles, 3(2), 355-363. https://doi.org/10.3390/particles3020027

