Harnessing Natural Product Compounds to Target Dormancy Survival Regulator (DosR) in Latent Tuberculosis Infection (LTBI): An In Silico Strategy Against Dormancy
Highlights
- M3 among all screened natural product based compounds, demonstrated the strongest binding affinity and stability with DosR protein.
- M3 outperformed reference compound Ursolic acid in molecular docking, MD Simulation and MM/GBSA.
- M3 emerges as a potential candidate for further experimental studies against LTBI.
- Targeting DosR-regulated dormancy mechanisms could contribute to the development of more effective treatments against LTBI.
Abstract
1. Introduction
2. Methods
2.1. Retrieval and Preparation of Protein
2.2. Selection of Compound Library
2.3. Protein Active Site Residue Prediction
2.4. Structure-Based Virtual Screening
2.5. Molecular Docking
2.6. Molecular Dynamics Simulation
2.7. Calculation of Molecular Mechanics/Generalized Born Surface Area (MM/GBSA)
3. Results
3.1. Structure-Based Virtual Screening (SBVS) and Redocking Analysis
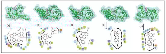
3.2. Intermolecular Interaction Analysis
3.3. Molecular Dynamics Simulation Analysis
Structural Stability and Equilibration Dynamics
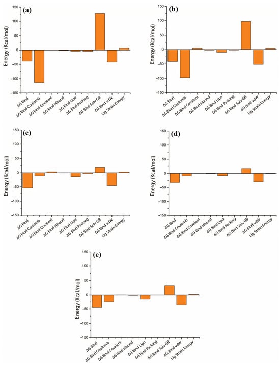
3.4. Binding Free Energy Analysis
4. Discussion
5. Conclusions
Supplementary Materials
Author Contributions
Funding
Institutional Review Board Statement
Informed Consent Statement
Data Availability Statement
Acknowledgments
Conflicts of Interest
References
- Grange, J.M. The Mystery of the Mycobacterial ‘Persistor’. Tuber. Lung Dis. 1992, 73, 249–251. [Google Scholar] [CrossRef]
- Gupta, R.K.; Thakur, T.S.; Desiraju, G.R.; Tyagi, J.S. Structure-Based Design of DevR Inhibitor Active against Nonreplicating Mycobacterium Tuberculosis. J. Med. Chem. 2009, 52, 6324–6334. [Google Scholar] [CrossRef] [PubMed]
- Parrish, N.M.; Dick, J.D.; Bishai, W.R. Mechanisms of Latency in Mycobacterium Tuberculosis. Trends Microbiol. 1998, 6, 107–112. [Google Scholar] [CrossRef]
- Wu, Y.; Xiong, Y.; Zhong, Y.; Liao, J.; Wang, J. Role of Dormancy Survival Regulator and Resuscitation-Promoting Factors Antigens in Differentiating between Active and Latent Tuberculosis: A Systematic Review and Meta-Analysis. BMC Pulm. Med. 2024, 24, 541. [Google Scholar] [CrossRef] [PubMed]
- Global Tuberculosis Report. 2024. Available online: https://www.who.int/teams/global-programme-on-tuberculosis-and-lung-health/tb-reports/global-tuberculosis-report-2024 (accessed on 29 May 2025).
- Jee, B.; Sharma, P.P.; Goel, V.K.; Kumar, S.; Singh, Y.; Rathi, B. Natural Metabolite Ursolic Acid as an Inhibitor of Dormancy Regulator DosR of Mycobacterium Tuberculosis: Evidence from Molecular Docking, Molecular Dynamics Simulation and Free Energy Analysis. Curr. Comput. Aided Drug Des. 2023, 19, 425–437. [Google Scholar] [CrossRef] [PubMed]
- Huaman, M.A.; Sterling, T.R. Treatment of Latent Tuberculosis Infection—An Update. Clin. Chest Med. 2019, 40, 839–848. [Google Scholar] [CrossRef]
- Treatment with Isoniazid or Rifampin for Latent Tuberculosis Infection: Population-Based Study of Hepatotoxicity, Completion and Costs|European Respiratory Society. Available online: https://publications.ersnet.org/content/erj/55/3/1902048 (accessed on 31 May 2025).
- Treatment of Drug-Resistant Tuberculosis. An Official ATS/CDC/ERS/IDSA Clinical Practice Guideline|American Journal of Respiratory and Critical Care Medicine. Available online: https://www.atsjournals.org/doi/full/10.1164/rccm.201909-1874ST (accessed on 31 May 2025).
- Kumar, A.; Majid, M.; Kunisch, R.; Rani, P.S.; Qureshi, I.A.; Lewin, A.; Hasnain, S.E.; Ahmed, N. Mycobacterium Tuberculosis DosR Regulon Gene Rv0079 Encodes a Putative, ‘Dormancy Associated Translation Inhibitor (DATIN)’. PLoS ONE 2012, 7, e38709. [Google Scholar] [CrossRef]
- Rustad, T.R.; Harrell, M.I.; Liao, R.; Sherman, D.R. The Enduring Hypoxic Response of Mycobacterium Tuberculosis. PLoS ONE 2008, 3, e1502. [Google Scholar] [CrossRef]
- Leistikow, R.L.; Morton, R.A.; Bartek, I.L.; Frimpong, I.; Wagner, K.; Voskuil, M.I. The Mycobacterium Tuberculosis DosR Regulon Assists in Metabolic Homeostasis and Enables Rapid Recovery from Nonrespiring Dormancy. J. Bacteriol. 2010, 192, 1662–1670. [Google Scholar] [CrossRef]
- Liu, Y.; Li, H.; Dai, D.; He, J.; Liang, Z. Gene Regulatory Mechanism of Mycobacterium Tuberculosis during Dormancy. Curr. Issues Mol. Biol. 2024, 46, 5825–5844. [Google Scholar] [CrossRef]
- Qualls, J.E.; Murray, P.J. Immunometabolism within the Tuberculosis Granuloma: Amino Acids, Hypoxia, and Cellular Respiration. Semin. Immunopathol. 2016, 38, 139–152. [Google Scholar] [CrossRef] [PubMed]
- Sharma, S.; Tyagi, J.S. Mycobacterium Tuberculosis DevR/DosR Dormancy Regulator Activation Mechanism: Dispensability of Phosphorylation, Cooperativity and Essentiality of A10 Helix. PLoS ONE 2016, 11, e0160723. [Google Scholar] [CrossRef]
- Voskuil, M.I.; Visconti, K.C.; Schoolnik, G.K. Mycobacterium Tuberculosis Gene Expression during Adaptation to Stationary Phase and Low-Oxygen Dormancy. Tuberculosis 2004, 84, 218–227. [Google Scholar] [CrossRef]
- Zheng, H.; Abramovitch, R.B. Inhibiting DosRST as a New Approach to Tuberculosis Therapy. Future Med. Chem. 2020, 12, 457–467. [Google Scholar] [CrossRef]
- Kaur, K.; Taneja, N.K.; Dhingra, S.; Tyagi, J.S. DevR (DosR) Mimetic Peptides Impair Transcriptional Regulation and Survival of Mycobacterium Tuberculosis under Hypoxia by Inhibiting the Autokinase Activity of DevS Sensor Kinase. BMC Microbiol. 2014, 14, 195. [Google Scholar] [CrossRef]
- Roberts, D.M.; Liao, R.P.; Wisedchaisri, G.; Hol, W.G.J.; Sherman, D.R. Two Sensor Kinases Contribute to the Hypoxic Response of Mycobacterium Tuberculosis. J. Biol. Chem. 2004, 279, 23082–23087. [Google Scholar] [CrossRef]
- Yang, H.; Sha, W.; Liu, Z.; Tang, T.; Liu, H.; Qin, L.; Cui, Z.; Chen, J.; Liu, F.; Zheng, R.; et al. Lysine Acetylation of DosR Regulates the Hypoxia Response of Mycobacterium Tuberculosis. Emerg. Microbes Infect. 2018, 7, 34. [Google Scholar] [CrossRef] [PubMed]
- Doddam, S.N.; Peddireddy, V.; Yerra, P.; Sai Arun, P.P.; Qaria, M.A.; Baddam, R.; Sarker, N.; Ahmed, N. Mycobacterium Tuberculosis DosR Regulon Gene Rv2004c Contributes to Streptomycin Resistance and Intracellular Survival. Int. J. Med. Microbiol. 2019, 309, 151353. [Google Scholar] [CrossRef] [PubMed]
- Leyten, E.M.S.; Lin, M.Y.; Franken, K.L.M.C.; Friggen, A.H.; Prins, C.; van Meijgaarden, K.E.; Voskuil, M.I.; Weldingh, K.; Andersen, P.; Schoolnik, G.K.; et al. Human T-Cell Responses to 25 Novel Antigens Encoded by Genes of the Dormancy Regulon of Mycobacterium Tuberculosis. Microbes Infect. 2006, 8, 2052–2060. [Google Scholar] [CrossRef]
- Gao, X.; Wu, C.; He, W.; Wang, X.; Li, Y.; Wang, Y.; Jia, Y.; Yuan, R.; Li, H.; Zhang, B. DosR Antigen Rv1737c Induces Activation of Macrophages Dependent on the TLR2 Pathway. Cell. Immunol. 2019, 344, 103947. [Google Scholar] [CrossRef]
- Ben Amar, J.; Dhahri, B.; Aouina, H.; Azzabi, S.; Baccar, M.A.; El Gharbi, L.; Bouacha, H. Treatment of tuberculosis. Rev. Pneumol. Clin. 2015, 71, 122–129. [Google Scholar] [CrossRef] [PubMed]
- Chouhan, M.; Tiwari, P.K.; Moustafa, M.; Chaubey, K.K.; Gupta, A.; Kumar, R.; Sahoo, A.K.; Azhar, E.I.; Dwivedi, V.D.; Kumar, S. Inhibition of Mycobacterium Tuberculosis Resuscitation-Promoting Factor B (RpfB) by Microbially Derived Natural Compounds: A Computational Study. J. Biomol. Struct. Dyn. 2024, 42, 948–959. [Google Scholar] [CrossRef]
- Shanmuga Priya, V.G.; Bhandare, V.; Muddapur, U.M.; Swaminathan, P.; Fandilolu, P.M.; Sonawane, K.D. Molecular Modeling Approach to Identify Inhibitors of Rv2004c (Rough Morphology and Virulent Strain Gene), a DosR (Dormancy Survival Regulator) Regulon Protein from Mycobacterium Tuberculosis. J. Biomol. Struct. Dyn. 2022, 40, 3242–3257. [Google Scholar] [CrossRef]
- Sharma, S.; Chikhale, R.; Shinde, N.; Khan, A.M.; Gupta, V.K. Targeting Dormant Phenotype Acquired Mycobacteria Using Natural Products by Exploring Its Important Targets: In Vitro and in Silico Studies. Front. Cell Infect. Microbiol. 2023, 13, 1111997. [Google Scholar] [CrossRef] [PubMed]
- Wisedchaisri, G.; Wu, M.; Sherman, D.R.; Hol, W.G.J. Crystal Structures of the Response Regulator DosR from Mycobacterium Tuberculosis Suggest a Helix Rearrangement Mechanism for Phosphorylation Activation. J. Mol. Biol. 2008, 378, 227–242. [Google Scholar] [CrossRef] [PubMed]
- Berman, H.M.; Westbrook, J.; Feng, Z.; Gilliland, G.; Bhat, T.N.; Weissig, H.; Shindyalov, I.N.; Bourne, P.E. The Protein Data Bank. Nucleic Acids Res. 2000, 28, 235–242. [Google Scholar] [CrossRef]
- Pettersen, E.F.; Goddard, T.D.; Huang, C.C.; Couch, G.S.; Greenblatt, D.M.; Meng, E.C.; Ferrin, T.E. UCSF Chimera—A Visualization System for Exploratory Research and Analysis. J. Comput. Chem. 2004, 25, 1605–1612. [Google Scholar] [CrossRef]
- Trott, O.; Olson, A.J. AutoDock Vina: Improving the Speed and Accuracy of Docking with a New Scoring Function, Efficient Optimization, and Multithreading. J. Comput. Chem. 2010, 31, 455–461. [Google Scholar] [CrossRef]
- Labbé, C.M.; Rey, J.; Lagorce, D.; Vavruša, M.; Becot, J.; Sperandio, O.; Villoutreix, B.O.; Tufféry, P.; Miteva, M.A. MTiOpenScreen: A Web Server for Structure-Based Virtual Screening. Nucleic Acids Res. 2015, 43, W448–W454. [Google Scholar] [CrossRef]
- Laskowski, R.A.; Jabłońska, J.; Pravda, L.; Vařeková, R.S.; Thornton, J.M. PDBsum: Structural Summaries of PDB Entries. Protein Sci. 2018, 27, 129–134. [Google Scholar] [CrossRef]
- Gautam, U.S.; Sikri, K.; Tyagi, J.S. The Residue Threonine 82 of DevR (DosR) Is Essential for DevR Activation and Function in Mycobacterium Tuberculosis Despite Its Atypical Location. J. Bacteriol. 2011, 193, 4849–4858. [Google Scholar] [CrossRef] [PubMed]
- Bharadwaj, S.; Azhar, E.I.; Kamal, M.A.; Bajrai, L.H.; Dubey, A.; Jha, K.; Yadava, U.; Kang, S.G.; Dwivedi, V.D. SARS-CoV-2 Mpro Inhibitors: Identification of Anti-SARS-CoV-2 Mpro Compounds from FDA Approved Drugs. J. Biomol. Struct. Dyn. 2022, 40, 2769–2784. [Google Scholar] [CrossRef] [PubMed]
- Chouhan, M.; Tiwari, P.K.; Mishra, R.; Gupta, S.; Kumar, M.; Almuqri, E.A.; Ibrahim, N.A.; Basher, N.S.; Chaudhary, A.A.; Dwivedi, V.D.; et al. Unearthing Phytochemicals as Natural Inhibitors for Pantothenate Synthetase in Mycobacterium tuberculosis: A Computational Approach. Front. Pharmacol. 2024, 15, 1403900. [Google Scholar] [CrossRef] [PubMed]
- Maestro; Schrödinger, LLC: New York, NY, USA, 2021.
- Bowers, K.; Chow, E.; Xu, H.; Dror, R.; Eastwood, M.; Gregersen, B.; Klepeis, J.; Kolossváry, I.; Moraes, M.; Sacerdoti, F.; et al. Scalable algorithms for molecular dynamics simulations on commodity clusters. In Proceedings of the 2006 ACM/IEEE Conference on Supercomputing, Tampa, FL, USA, 11–17 November 2006; p. 84. [Google Scholar]
- Maestro-Desmond Interoperability Tools; Schrödinger: New York, NY, USA, 2021–2023.
- Price, D.J.; Brooks, C.L., III. A Modified TIP3P Water Potential for Simulation with Ewald Summation. J. Chem. Phys. 2004, 121, 10096–10103. [Google Scholar] [CrossRef]
- Han, G.; Deng, Y.; Glimm, J.; Martyna, G. Error and Timing Analysis of Multiple Time-Step Integration Methods for Molecular Dynamics. Comput. Phys. Commun. 2007, 176, 271–291. [Google Scholar] [CrossRef]
- Harder, E.; Damm, W.; Maple, J.; Wu, C.; Reboul, M.; Xiang, J.Y.; Wang, L.; Lupyan, D.; Dahlgren, M.K.; Knight, J.L.; et al. OPLS3: A Force Field Providing Broad Coverage of Drug-like Small Molecules and Proteins. J. Chem. Theory Comput. 2016, 12, 281–296. [Google Scholar] [CrossRef]
- Prime; Schrödinger, LLC: New York, NY, USA, 2021.
- Kumar, M.; Tripathi, M.K.; Gupta, D.; Kumar, S.; Biswas, N.R.; Ethayathulla, A.S.; Kaur, P. N-Acetylglucosamine-Phosphatidylinositol de-N-Acetylase as a Novel Target for Probing Potential Inhibitor against Leishmania Donovani. J. Biomol. Struct. Dyn. 2023, 41, 1904–1918. [Google Scholar] [CrossRef]
- Kumar Tiwari, P.; Chouhan, M.; Mishra, R.; Gupta, S.; Chaudhary, A.A.; Al-Zharani, M.; Ahmed Qurtam, A.; Nasr, F.A.; Jha, N.K.; Pant, K.; et al. Structure-Based Virtual Screening Methods for the Identification of Novel Phytochemical Inhibitors Targeting Furin Protease for the Management of COVID-19. Front. Cell. Infect. Microbiol. 2024, 14, 1391288. [Google Scholar] [CrossRef]









| Compound Name | Binding Energy (kcal/mol) | Redocking Score (kcal/mol) |
|---|---|---|
| M1 | −8.5 | −8.7 |
| M2 | −8.4 | −8.5 |
| M3 | −8.2 | −8.1 |
| M4 | −8.2 | −8.2 |
| reference compound (CID_64945 ursolic acid) | - | −6.2 |
| Sr. No. | Drugs | Hydrogen-Bond | Hydrophobic | Polar | Negative | Positive | Glycine |
|---|---|---|---|---|---|---|---|
| a | DosR-M1 | Arg197, Asn183 | Val55, Leu161, Val185, Leu189, Met194 | Asn61, Thr82, Asn167, Asn183, Ser186, Thr198, Gln199 | Glu195 | Arg56, Lys179, Lys182, Arg197 | -- |
| b | DosR-M2 | - | Val55, Pro58, Leu161, Leu165, Val185, Leu189 | His10, Asn61, Thr166, Asn167 | Asp9 | Arg56, Lys182 | Gly60, Gly164 |
| c | DosR-M3 | Asn61 | Val55, Leu57 Pro58, Leu161, Leu165, Ile170, Val185 | Asn61, Thr166, Asn167 | - | Arg56, Lys182 | Gly60, Gly164 |
| d | DosR-M4 | Asn167 | Val55, Leu57 Val185, Leu189 | Asn61, Thr166, Asn167, Ser186 | - | Arg56, Lys182 | Gly60 |
| e | DosR- Ursolic acid (CID_64945) (reference compound) | Asn61 | Val55, Leu57, Pro58, Leu161, Leu165, Leu189, Val185, | Asn61, Thr166, Asn167, Ser186, Gln199 | Asp59, Glu195 | Arg56, Lys182 | Gly164 |
Disclaimer/Publisher’s Note: The statements, opinions and data contained in all publications are solely those of the individual author(s) and contributor(s) and not of MDPI and/or the editor(s). MDPI and/or the editor(s) disclaim responsibility for any injury to people or property resulting from any ideas, methods, instructions or products referred to in the content. |
© 2025 by the authors. Published by MDPI on behalf of the Polish Respiratory Society. Licensee MDPI, Basel, Switzerland. This article is an open access article distributed under the terms and conditions of the Creative Commons Attribution (CC BY) license (https://creativecommons.org/licenses/by/4.0/).
Share and Cite
Chouhan, M.; Kumar, M.; Dwivedi, V.D.; Kashyap, V.K.; Singh, H.N.; Kumar, S. Harnessing Natural Product Compounds to Target Dormancy Survival Regulator (DosR) in Latent Tuberculosis Infection (LTBI): An In Silico Strategy Against Dormancy. Adv. Respir. Med. 2025, 93, 19. https://doi.org/10.3390/arm93030019
Chouhan M, Kumar M, Dwivedi VD, Kashyap VK, Singh HN, Kumar S. Harnessing Natural Product Compounds to Target Dormancy Survival Regulator (DosR) in Latent Tuberculosis Infection (LTBI): An In Silico Strategy Against Dormancy. Advances in Respiratory Medicine. 2025; 93(3):19. https://doi.org/10.3390/arm93030019
Chicago/Turabian StyleChouhan, Mandeep, Mukesh Kumar, Vivek Dhar Dwivedi, Vivek Kumar Kashyap, Himanshu Narayan Singh, and Sanjay Kumar. 2025. "Harnessing Natural Product Compounds to Target Dormancy Survival Regulator (DosR) in Latent Tuberculosis Infection (LTBI): An In Silico Strategy Against Dormancy" Advances in Respiratory Medicine 93, no. 3: 19. https://doi.org/10.3390/arm93030019
APA StyleChouhan, M., Kumar, M., Dwivedi, V. D., Kashyap, V. K., Singh, H. N., & Kumar, S. (2025). Harnessing Natural Product Compounds to Target Dormancy Survival Regulator (DosR) in Latent Tuberculosis Infection (LTBI): An In Silico Strategy Against Dormancy. Advances in Respiratory Medicine, 93(3), 19. https://doi.org/10.3390/arm93030019

