Hybrid Dual-Scale Neural Network Model for Tracking Complex Maneuvering UAVs
Abstract
:1. Introduction
- To improve the multi-model algorithm of the Markov transfer chain, GRMM provides an effective Markov transfer matrix according to the database when the prior parameters of maneuvering UAVs are unknown, which improves the discrimination of the motion state of the maneuvering target and uses CIF nonlinear filtering to filter the measured value to improve the tracking accuracy of the maneuvering UAVs.
- We design a dual-scale Bi-LSTM network to correct state delay and improve the state estimation of the filter for maneuvering UAVs. This structure considers the temporal relationships of the maneuvering target’s state vector at different scales, which enhances the filter’s adaptability to complex maneuvering motions and reduces tracking errors caused by delays.
2. Target Tracking Problem Definition
2.1. Nonlinear Motion Mode of Maneuvering Targets
2.2. IMM-CIF Method of Maneuvering Targets
- Interaction of state estimation assuming
- Model update
- Model output
3. Proposed Tracking Method
3.1. Based on GRMM-CIF Maneuvering Target Multi-Model Tracking
3.2. Dual-Scale Bi-LSTM Tracjectory Prediction Method
3.2.1. Bidirectional Gated Recurrent Unit
3.2.2. Neural Network Structure for Maneuvering Target Trajectory Prediction
3.3. Trajectory Reconstruction
3.3.1. Sliding Window Prediction Track Reconstruction
3.3.2. Dual-Scale Predictive Track Reconstruction Based on OSPA
4. System Implementation and Performance Analysis
4.1. Generation of Trajectory Database
4.2. Preprocessing of Trajectory Data
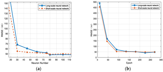
4.3. Neural Network Parameter Setting and Performance Analysis
4.4. Simulation Scenario Configuration
4.5. Analysis of Filtering Performance under Different Noise Conditions
5. Discussion
6. Conclusions
Author Contributions
Funding
Data Availability Statement
Conflicts of Interest
References
- Gu, J.; Su, T.; Wang, Q.; Du, X.; Guizani, M. Multiple moving targets surveillance based on a cooperative network for multi-UAV. IEEE Commun. 2018, 56, 82–89. [Google Scholar] [CrossRef]
- Tian, W.; Fang, L.; Li, W.; Ni, N.; Wang, R.; Hu, C.; Liu, H.; Luo, W. Deep-Learning-Based Multiple Model Tracking Method for Targets with Complex Maneuvering Motion. Remote Sens. 2022, 14, 3276–3299. [Google Scholar] [CrossRef]
- Roonizi, A.K. An Efficient Algorithm for Maneuvering Target Tracking [Tips & Tricks]. IEEE Signal Proc. 2021, 38, 122–130. [Google Scholar]
- Singer, R. Estimating optimal tracking filter performance for manned maneuvering targets. IEEE Trans. Aerosp. Electron. Syst. 1970, 4, 473–483. [Google Scholar] [CrossRef]
- Frencl, V.; do Val, J.B.; Mendes, R.; Zuniga, Y. Turn rate estimation using range rate measurements for fast manoeuvring tracking. IET Radar Sonar Navig. 2017, 11, 1099–1107. [Google Scholar] [CrossRef]
- Lan, H.; Ma, J.; Wang, Z.; Pan, Q.; Xu, X. A message passing approach for multiple maneuvering target tracking. Signal Process. 2020, 174, 107621. [Google Scholar] [CrossRef]
- Genovese, A. The interacting multiple model algorithm for accurate state estimation of maneuvering targets. J. Hopkins APL Tech. Dig. 2001, 22, 614–623. [Google Scholar]
- Revach, G.; Shlezinger, N.; Ni, X.; Escoriza, A.; van Sloun, R.J.; Eldar, Y. KalmanNet: Neural Network Aided Kalman Filtering for Partially Known Dynamics. IEEE Trans. Signal Process. 2022, 70, 1532–1547. [Google Scholar] [CrossRef]
- Zhang, D.; Shen, Z.; Song, Y. Robust adaptive fault-tolerant control of nonlinear uncertain systems tracking uncertain target trajectory. Inf. Sci. 2017, 415, 446–460. [Google Scholar] [CrossRef]
- Li, X.; Jilkov, V. Survey of maneuvering target tracking. Part V: Multiple-model methods. IEEE Trans. Aerosp. Electron. Syst. 2005, 41, 1255–1321. [Google Scholar]
- Munir, A.; Mirza, J. Parameter adjustment in the turn rate models in the interacting multiple model algorithm to track a maneuvering target. In Proceedings of the Twenty-First IEEE International Multi Topic Conference, Lahore, Pakistan, 30 December 2001; pp. 262–266. [Google Scholar]
- Blom, H.; Barshalom, Y. The interacting multiple model algorithm for systems with Markovian switching coefficients. IEEE Trans. Autom. Control 1988, 33, 780–783. [Google Scholar] [CrossRef]
- Youn, W.; Ko, N.; Gadsden, S.; Myung, H. A Novel Multiple-Model Adaptive Kalman Filter for an Unknown Measurement Loss Probability. IEEE Trans. Instrum. Meas. 2021, 70, 1–11. [Google Scholar] [CrossRef]
- Na, K.; Choi, S.; Kim, J. Adaptive Target Tracking with Interacting Heterogeneous Motion Models. IEEE Trans. Intell. Transp. Syst. 2022, 23, 21301–21313. [Google Scholar] [CrossRef]
- Lu, C.; Feng, W.; Li, W.; Zhang, Y.; Guo, Y. An adaptive IMM filter for jump Markov systems with inaccurate noise covariances in the presence of missing measurements. Digit. Signal Process. 2022, 127, 1–12. [Google Scholar] [CrossRef]
- He, S.; Wu, P.; Li, X.; Bo, Y.; Yun, P. Adaptive Modified Unbiased Minimum-Variance Estimation for Highly Maneuvering Target Tracking with Model Mismatch. IEEE Trans. Instrum. Meas. 2023, 72, 103529. [Google Scholar] [CrossRef]
- Eltoukhy, M.; Ahmad, M.; Swamy, M. An Adaptive Turn Rate Estimation for Tracking a Maneuvering Target. IEEE Access 2020, 8, 94176–94189. [Google Scholar] [CrossRef]
- Yun, P.; Wu, P.; He, S.; Li, X. A variational Bayesian based robust cubature Kalman filter under dynamic model mismatch and outliers interference. Measurement 2022, 191, 110063. [Google Scholar] [CrossRef]
- Zhang, J.; Xiong, J.; Lan, X.; Shen, Y.; Chen, X.; Xi, Q. Trajectory Prediction of Hypersonic Glide Vehicle Based on Empirical Wavelet Transform and Attention Convolutional Long Short-Term Memory Network. IEEE Sens. J. 2022, 22, 4601–4615. [Google Scholar] [CrossRef]
- Xiong, W.; Zhu, H.; Cui, Y. A hybrid-driven continuous-time filter for manoeuvering target tracking. IET Radar Sonar Navig. 2022, 16, 2053–2066. [Google Scholar] [CrossRef]
- Wang, C.; Zheng, J.; Jiu, B.; Liu, H. Model-and-Data-Driven Method for Radar Highly Maneuvering Target Detection. IEEE Trans. Aerosp. Electron. Syst. 2021, 57, 2201–2217. [Google Scholar] [CrossRef]
- Gao, C.; Yan, J.; Zhou, S.; Varshney, P.; Liu, H. Long short-term memory-based deep recurrent neural networks for target tracking. Inf. Sci. 2019, 502, 279–296. [Google Scholar] [CrossRef]
- Liu, J.; Wang, Z.; Xu, M. DeepMTT: A deep learning maneuvering target-tracking algorithm based on bidirectional LSTM network. Inf. Fusion 2020, 53, 289–304. [Google Scholar] [CrossRef]
- Xie, Y.; Zhuang, X.; Xi, Z.; Chen, H. Dual-Channel and Bidirectional Neural Network for Hypersonic Glide Vehicle Trajectory Prediction. IEEE Access 2021, 9, 92913–92924. [Google Scholar] [CrossRef]
- Gao, C.; Liu, H.; Zhou, S.; Su, H.; Chen, B.; Yan, J.; Yin, K. Maneuvering Target Tracking with Recurrent Neural Networks for Radar Application. In Proceedings of the 2018 International Conference on Radar (Radar), Brisbane, QLD, Australia, 27–31 August 2018; pp. 1–5. [Google Scholar]
- Li, X.; Jilkov, V. Survey of maneuvering target tracking. Part I: Dynamic models. IEEE Trans. Aerosp. Electron. Syst. 2003, 39, 1333–1364. [Google Scholar]
- Arulampalam, S.; Badriasl, L.; Ristic, B. Closed-Form Estimator for Bearings-Only Fusion of Heterogeneous Passive Sensors. IEEE Trans. Signal Process. 2020, 68, 6681–6695. [Google Scholar] [CrossRef]
- Xie, G.; Sun, L.; Wen, T.; Hei, X.; Qian, F. Adaptive Transition Probability Matrix-Based Parallel IMM Algorithm. IEEE Trans. Syst. Man Cybern. Syst. 2021, 51, 2980–2989. [Google Scholar] [CrossRef]
- Yu, W.; Yu, H.; Du, J.; Zhang, M.; Liu, J. DeepGTT: A general trajectory tracking deep learning algorithm based on dynamic law learning. IET Radar Sonar Navig. 2021, 15, 1125–1150. [Google Scholar] [CrossRef]
- Chandra, K.; Gu, D.; Postlethwaite, I. Cubature information filter and its applications. In Proceedings of the 2011 IEEE American Control Conference, San Francisco, CA, USA, 29 June–1 July 2011; pp. 3609–3614. [Google Scholar]
- Jondhale, S.; Deshpande, R. Kalman Filtering Framework-Based Real Time Target Tracking in Wireless Sensor Networks Using Generalized Regression Neural Networks. IEEE Sens. J. 2019, 19, 224–233. [Google Scholar] [CrossRef]
- Gers, F.; Schtmidhuber, J. LSTM recurrent networks learn simple context-free and context-sensitive languages. IEEE Trans. Neural Netw. 2001, 12, 1333–1340. [Google Scholar] [CrossRef]
- Kingma, D.; Ba, J. Adam: A method for stochastic optimization. Comput. Sci. 2014, 1, 1–15. [Google Scholar]
- Schuhmacher, D.; Vo, B.T.; Vo, B.N. A consistent metric for performance evaluation of multi-object filters. IEEE Trans. Signal Process. 2008, 56, 3447–3457. [Google Scholar] [CrossRef]
- Hernandez, D.; Cecilia, M.; Calafate, T. The Kuhn-Munkres algorithm for efficient vertical takeoff of UAV swarms. In Proceedings of the Ninety-Third Vehicular Technology Conference, Helsinki, Finland, 25–28 April 2021. [Google Scholar]
- Kose, O.; Oktay, T. Simultaneous design of morphing hexarotor and autopilot system by using deep neural network and SPSA. Aircr. Eng. Aerosp. Technol. 2023, 95, 939–949. [Google Scholar] [CrossRef]
- Liang, C.; Lei, L.; Chen, L. Multi-UAV autonomous collision avoidance based on PPO-GIC algorithm with CNN-LSTM fusion network. Neural Netw. 2023, 162, 21–33. [Google Scholar] [CrossRef] [PubMed]















| Parameters Name | Value |
|---|---|
| Length of trajectory (s) | 50 |
| Sampling time interval (s) | 1 |
| Initial position ([] m) | Random (300, 1500) |
| Initial velocity ([] m/s) | Random (1, 20) |
| Initial acceleration velocity ([] m2/s) | Random (1, 10) |
| Initial angular velocity ([] °/s) | Random (−10,10) |
| Parameter Name | Long-Scale Network | Short-Scale Network |
|---|---|---|
| Batch size | 25 | 10 |
| Initial learning rate | 0.01 | 0.001 |
| Epoch | 225 | 75 |
| Dropout layer | 0.02 | 0.02 |
| Hidden unit numbers of the Bi-LSTM layer | 70 | 30 |
| Time series step size | 15 | 3 |
| Evaluation Indicators | Bi-LSTM Network Structure | |||
|---|---|---|---|---|
| One Layer | Two Layers | Three Layers | Four Layers | |
| MAPE | −0.08 | −0.05 | −0.02 | −0.02 |
| MAE | 12.441 | 7.858 | 3.407 | 4.007 |
| MSE | 1679.470 | 786.183 | 168.645 | 262.039 |
| RMSE | 12.959 | 8.867 | 4.107 | 5.118 |
| R | 0.71 | 0.86 | 0.97 | 0.95 |
| Index | Initial State | The First Part | The Second Part | The Third Part |
|---|---|---|---|---|
| 1 | [1200 m, 1400 m, 1300 m, 12 m/s, 7 m/s, 1 m/s] | 50 s, CT mode, = 4.5 °/s | 50 s, CV mode | 50 s, CT mode, = 3.5 °/s |
| 2 | [900 m, 700 m, 1100 m, 8 m/s, 5 m/s, 1 m/s] | 50 s, CT mode, = 4.5 °/s | 50 s, CT mode, = 2.5 °/s | 50 s, CT mode, = 3.5 °/s |
| 3 | [1100 m, 800 m, 500 m, 10 m/s, 6 m/s, 1 m/s] | 50 s, CV mode | 50 s, CT mode, = −4.5 °/s | 50 s, CA mode, a = [6 5 3] m/s2 |
Disclaimer/Publisher’s Note: The statements, opinions and data contained in all publications are solely those of the individual author(s) and contributor(s) and not of MDPI and/or the editor(s). MDPI and/or the editor(s) disclaim responsibility for any injury to people or property resulting from any ideas, methods, instructions or products referred to in the content. |
© 2023 by the authors. Licensee MDPI, Basel, Switzerland. This article is an open access article distributed under the terms and conditions of the Creative Commons Attribution (CC BY) license (https://creativecommons.org/licenses/by/4.0/).
Share and Cite
Gao, Y.; Gan, Z.; Chen, M.; Ma, H.; Mao, X. Hybrid Dual-Scale Neural Network Model for Tracking Complex Maneuvering UAVs. Drones 2024, 8, 3. https://doi.org/10.3390/drones8010003
Gao Y, Gan Z, Chen M, Ma H, Mao X. Hybrid Dual-Scale Neural Network Model for Tracking Complex Maneuvering UAVs. Drones. 2024; 8(1):3. https://doi.org/10.3390/drones8010003
Chicago/Turabian StyleGao, Yang, Zhihong Gan, Min Chen, He Ma, and Xingpeng Mao. 2024. "Hybrid Dual-Scale Neural Network Model for Tracking Complex Maneuvering UAVs" Drones 8, no. 1: 3. https://doi.org/10.3390/drones8010003
APA StyleGao, Y., Gan, Z., Chen, M., Ma, H., & Mao, X. (2024). Hybrid Dual-Scale Neural Network Model for Tracking Complex Maneuvering UAVs. Drones, 8(1), 3. https://doi.org/10.3390/drones8010003

